Seismic Performance of Precast Double-Skin Composite Shear Wall with Horizontal Connection Region
Abstract
1. Introduction
2. Test Program
2.1. Specimen Design and Fabrication
- (1)
- Weld the steel plates according to the blueprint.
- (2)
- Install corrugated pipes at the injected holes and exit holes of the precast wall components.
- (3)
- Cast concrete and cure for 28 days. After curing, roughen the surface of the infilled concrete to a minimum depth of 6 mm to enhance the bonding performance between the grouting materials and the infilled concrete of the precast wall component.
- (4)
- Hoist the upper precast wall components above the lower precast wall components, and weld them together after alignment.
- (5)
- Inject grouting materials into the corrugated pipes of the lower precast wall components until it flows out from the grouting exit holes of the upper precast wall component. Seal the injected holes and exit holes with wire and execute pressure grouting on boundary columns individually.
- (6)
- After the curing of the grouting materials, cut off the corrugated pipes protruding from the surface of the precast DSC shear wall.
- (7)
- End the process with grinding and painting.
2.2. Material Properties
2.3. Test Setup and Loading Protocol
3. Results and Discussions
3.1. Failure Modes
3.2. Hysteretic Behavior
3.3. Skeleton Curves and Ductility
3.4. Bearing Capacity Degradation
3.5. Stiffness Degradation
3.6. Energy Consumption
3.7. Analysis of Lateral Deformation
4. Finite Element Analysis
4.1. Description of the FE Model
4.1.1. Material Constitutive
4.1.2. Establishment of FE Model
4.2. Verification of the FE Model
4.2.1. Comparison of Hysteretic Behavior
4.2.2. Comparison of Failure Modes
4.3. Stress Maps of Concrete and Steel
4.3.1. SWC-0.4 Specimen
4.3.2. SWP-0.4 Specimen
4.4. Parametric Analysis
4.4.1. Parameter Settings
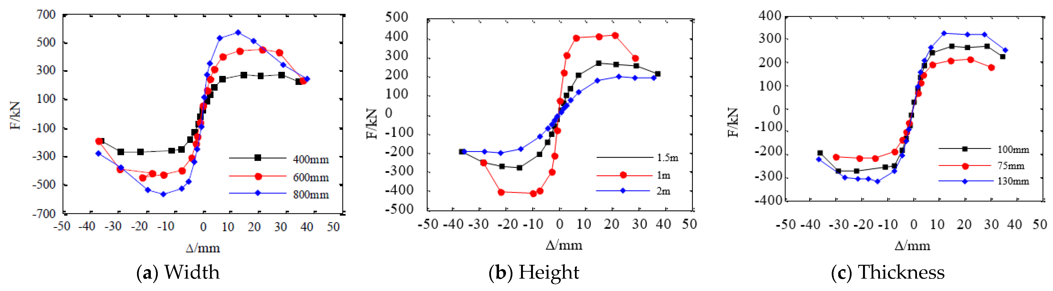
4.4.2. Influence of Shear Wall Parameters
4.4.3. The Effect of Exterior Steel Plates
4.4.4. The Effect of the Infilled Concrete
5. Conclusions
Author Contributions
Funding
Data Availability Statement
Conflicts of Interest
References
- Yang, J.; Yang, Y.; Deng, L.; Sun, B.; Gu, Z.; Zeng, L.; Zhao, S. Seismic Behaviors of Prefabricated Reinforced Concrete Shear Walls Assembled with a Cast-in-Place Vertical Joint. Buildings 2023, 13, 3013. [Google Scholar] [CrossRef]
- Xu, G.; Wang, Z.; Wu, B.; Bursi, O.S.; Tan, X.; Yang, Q.; Wen, L. Seismic performance of precast shear wall with sleeves connection based on experimental and numerical studies. Eng. Struct. 2017, 150, 346–358. [Google Scholar] [CrossRef]
- Zheng, Y.; Guo, Z.; Guan, D.; Zhang, X. Parametric study on a novel grouted rolling pipe splice for precast concrete construction. Constr. Build. Mater. 2018, 166, 452–463. [Google Scholar] [CrossRef]
- GB 50011-2010; Code for Seismic Design of Buildings. Ministry of Housing and Urban-Rural Development of the People’s Republic of China: Beijing, China, 2008. (In Chinese)
- CI. ACI 318-19; Building Code Requirements for Structural Concrete and Commentary. American Concrete Institute: Farmington Hills, MI, USA, 2019.
- EN. Eurocode 8; Design of Structures for Earthquake Resistance–Part 1: General Rules, Seismic Actions and Rules for Buildings. European Committee for Standardization: Brussels, Belgium, 2004.
- Qian, K.; He, P.; Deng, N.; Li, H. Impact of concrete strength on seismic behavior of T-shaped double-skin composite walls. Eng. Struct. 2021, 236, 112039. [Google Scholar] [CrossRef]
- Ji, X.; Jiang, F.; Qian, J. Seismic behavior of steel tube–double steel plate–concrete composite walls: Experimental tests. J. Constr. Steel Res. 2013, 86, 17–30. [Google Scholar] [CrossRef]
- Nie, J.-G.; Hu, H.-S.; Fan, J.-S.; Tao, M.-X.; Li, S.-Y.; Liu, F.-J. Experimental study on seismic behavior of high-strength concrete filled double-steel-plate composite walls. J. Constr. Steel Res. 2013, 88, 206–219. [Google Scholar] [CrossRef]
- Hu, H.-S.; Nie, J.-G.; Eatherton, M.R. Deformation capacity of concrete-filled steel plate composite shear walls. J. Constr. Steel Res. 2014, 103, 148–158. [Google Scholar] [CrossRef]
- Nie, J.-G.; Ma, X.-W.; Tao, M.-X.; Fan, J.-S.; Bu, F.-M. Effective stiffness of composite shear wall with double plates and filled concrete. J. Constr. Steel Res. 2014, 99, 140–148. [Google Scholar] [CrossRef]
- Chen, L.; Mahmoud, H.; Tong, S.-M.; Zhou, Y. Seismic behavior of double steel plate–HSC composite walls. Eng. Struct. 2015, 102, 1–12. [Google Scholar] [CrossRef]
- Luo, Y.; Guo, X.; Li, J.; Xiong, Z.; Meng, L.; Dong, N.; Zhang, J. Experimental Research on Seismic Behaviour of the Concrete-Filled Double-Steel-Plate Composite Wall. Adv. Struct. Eng. 2015, 18, 1845–1858. [Google Scholar] [CrossRef]
- Zhang, X.; Qin, Y.; Chen, Z.; Jie, L. Experimental behavior of innovative T-shaped composite shear walls under in-plane cyclic loading. J. Constr. Steel Res. 2016, 120, 143–159. [Google Scholar] [CrossRef]
- Zhang, X.; Qin, Y.; Chen, Z. Experimental seismic behavior of innovative composite shear walls. J. Constr. Steel Res. 2016, 116, 218–232. [Google Scholar] [CrossRef]
- Ji, X.; Cheng, X.; Jia, X.; Varma, A.H. Cyclic In-Plane Shear Behavior of Double-Skin Composite Walls in High-Rise Buildings. J. Struct. Eng. 2017, 143, 04017025. [Google Scholar] [CrossRef]
- Guo, L.; Wang, Y.; Zhang, S. Experimental study of rectangular multi-partition steel-concrete composite shear walls. Thin-Walled Struct. 2018, 130, 577–592. [Google Scholar] [CrossRef]
- Huang, S.-T.; Huang, Y.-S.; He, A.; Tang, X.-L.; Chen, Q.-J.; Liu, X.; Cai, J. Experimental study on seismic behaviour of an innovative composite shear wall. J. Constr. Steel Res. 2018, 148, 165–179. [Google Scholar] [CrossRef]
- Yan, J.-B.; Li, Z.-X.; Wang, T. Seismic behaviour of double skin composite shear walls with overlapped headed studs. Constr. Build. Mater. 2018, 191, 590–607. [Google Scholar] [CrossRef]
- Goman, H.; Liu, P.; Yin, C.; Ching, R.; Liu, M.; Zhu, L. Design and study on super high-rise structural system of Beijing Fortune Plaza 2 office tower. Build. Struct. 2009, 39, 1–8. [Google Scholar]
- Liu, P.; Yin, C.; Cheng, Y.; Zhu, Y.S.; Liu, Y.B.; Wu, H.; Li, X.; Yang, M.L.; Liu, H.; Li, Z.X. Structural design and research of Beijing CBD Core Area Z15 plot China Zun Tower. Build. Struct. 2014, 44, 1–8. [Google Scholar]
- Ge, D.; Zhang, B.; Wei, J.; Zhou, W. Welding of Main Tower at Stage a of World Trade Center Phase III. Archit. Technol. 2008, 39, 265–269. [Google Scholar]
- Lv, X.; Dong, Y.; Ding, Z. Study on seismic behavior of steel reinforced concrete wall. Earthq. Eng. Eng. Vib. 2006, 26, 101–107. [Google Scholar]
- Varma, A.H.; Malushte, S.R.; Sener, K.C.; Lai, Z. Steel-plate composite (SC) walls for safety related nuclear facilities: Design for in-plane forces and out-of-plane moments. Nucl. Eng. Des. 2014, 269, 240–249. [Google Scholar] [CrossRef]
- Sohel, K.; Liew, J.R.; Yan, J.; Zhang, M.; Chia, K. Behavior of Steel–Concrete–Steel sandwich structures with lightweight cement composite and novel shear connectors. Compos. Struct. 2012, 94, 3500–3509. [Google Scholar] [CrossRef]
- Chen, L.; Xia, D.; Liu, W.; Zhang, X. Experimental study on seismic behavior of double steel plates and concrete composite shear wall. China Civ. Eng. J. 2017, 50, 10–19. [Google Scholar]
- Mydin, M.; Wang, Y.C. Structural performance of lightweight steel-foamed concrete-steel composite walling system under compression. Thin-Walled Struct. 2011, 49, 66–76. [Google Scholar] [CrossRef]
- Zhu, J.-S.; Guo, Y.-L.; Wang, M.-Z.; Yang, X.; Zhu, B.-L. Strength design of concrete-infilled double steel corrugated-plate walls under uniform compressions. Thin-Walled Struct. 2019, 141, 153–174. [Google Scholar] [CrossRef]
- Zhu, J.-S.; Guo, Y.-L.; Wang, M.-Z.; Yang, X.; Pi, Y.-L. Seismic performance of concrete-infilled double steel corrugated-plate walls: Experimental research. Eng. Struct. 2020, 215, 110601. [Google Scholar] [CrossRef]
- Hutchinson, R.L.; Rizkalla, S.H.; Lau, M.; Heuvel, S. Horizontal Post-Tensioned Connections for Precast Concrete Load bearing Shear Wall Panels. PCI J. 1991, 36, 64–76. [Google Scholar] [CrossRef]
- Soudki, K.A.; Rizkalla, S.H.; Leblanc, B. Horizontal Connections for Precast Concrete Shear Walls Subjected to Cyclic Deformations Part 1: Mild Steel Connections. PCI J. 1995, 40, 78–96. [Google Scholar] [CrossRef]
- Soudki, K.A.; West, J.S.; Rizkalla, S.H.; Blackett, B. Horizontal Connections for Precast Concrete Shear Wall Panels Under Cyclic Shear Loading. PCI J. 1996, 41, 64–80. [Google Scholar] [CrossRef]
- Qian, J.; Peng, Y.; Qin, H. Tests on seismic behavior of pre-cast shear walls with vertical reinforcements grouted in holes and spliced indirectly. Build. Struct. 2011, 41, 7–11. [Google Scholar]
- Sun, J.; Qiu, H.; Lu, Y. Experimental study and associated numerical simulation of horizontally connected precast shear wall assembly. Struct. Des. Tall Spéc. Build. 2016, 25, 659–678. [Google Scholar] [CrossRef]
- GB/T 50081-2019; Standard for Test Methods of Concrete Physical and Mechanical Properties. China Building Industry Press: Beijing, China, 2019. (In Chinese)
- GB/T17671-1999; SBTS, Analysis Methods for Strength of Cement Mastic and Sand (ISO Methods). China Standards Press: Beijing, China, 1999. (In Chinese)
- GB/T 228.1-2010; Metallic Materials-Tensile Testing at Ambient Temperature. China Standards Press: Beijing, China, 2010. (In Chinese)
- JGJ/T 101—2015; Specification for Seismic Test of Buildings. China Architecture & Building Press: Beijing, China, 2015. (In Chinese)
- Park, R.; Priestley, M.J.N.; Gill, W.D. Ductility of Square-Confined Concrete Columns. J. Struct. Div. 1982, 108, 929–950. [Google Scholar] [CrossRef]
- Jafari, A.; Beheshti, M.; Shahmansouri, A.A.; Bengar, H.A. Cyclic response and damage status of coupled and hybrid-coupled shear walls. Structures 2024, 61, 106010. [Google Scholar] [CrossRef]
- Wang, X.; Ma, S.; Wu, W.; Fang, J.; Chen, Z. Tensile damage development and constitutive relationship establishment of recycled coarse aggregate concrete based on a double–interface numerical model. Constr. Build. Mater. 2023, 392, 131908. [Google Scholar] [CrossRef]


























| Position | Yield Strength (MPa) | Ultimate Tensile Strength (MPa) | Elasticity Modulus (GPa) |
|---|---|---|---|
| Shear wall | 287.5 | 422.5 | 211 |
| column | 305.2 | 420.3 | 213 |
| Specimens | Direction | Py (kN) | ∆y (mm) | θy | Pm (kN) | ∆m (mm) | θm | Pu (kN) | ∆u (mm) | θu | μ |
|---|---|---|---|---|---|---|---|---|---|---|---|
| SWC-0.4 | + | 250.8 | 7.649 | 1/161 | 334.4 | 22.53 | 1/61 | 284.2 | 35.04 | 1/40 | 4.58 |
| − | −232.4 | −10.88 | −309.9 | −26.74 | −263.4 | −39.15 | 3.60 | ||||
| SWP-0.4 | + | 261.7 | 7.787 | 1/182 | 348.9 | 18.93 | 1/76 | 296.6 | 30.07 | 1/52 | 3.86 |
| − | −252.0 | −8.610 | −252.0 | −20.74 | −285.6 | −27.32 | 3.17 | ||||
| SWP-0.2 | + | 249.0 | 7.852 | 1/154 | 332.0 | 25.91 | 1/50 | 282.2 | 42.94 | 1/35 | 5.58 |
| − | −230.2 | −11.70 | −306.9 | −34.45 | −260.9 | −42.45 | 3.63 |
| Number | L (mm) | H (mm) | T (mm) | t(mm) | Concrete | Grouting Material | Steel |
|---|---|---|---|---|---|---|---|
| SWP-Base (SWP-0.4) | 400 | 1500 | 100 | 3 | C40 | C50 | Q355 |
| SWP-1 | 600 | 1500 | 100 | 3 | C40 | C50 | Q355 |
| SWP-2 | 800 | 1500 | 100 | 3 | C40 | C50 | Q355 |
| SWP-3 | 400 | 1000 | 100 | 3 | C40 | C50 | Q355 |
| SWP-4 | 400 | 2000 | 100 | 3 | C40 | C50 | Q355 |
| SWP-5 | 400 | 1500 | 70 | 3 | C40 | C50 | Q355 |
| SWP-6 | 400 | 1500 | 130 | 3 | C40 | C50 | Q355 |
| SWP-7 | 400 | 1500 | 100 | 6 | C40 | C50 | Q355 |
| SWP-8 | 400 | 1500 | 100 | 8 | C40 | C50 | Q355 |
| SWP-9 | 400 | 1500 | 100 | 3 | C30 | C50 | Q355 |
| SWP-10 | 400 | 1500 | 100 | 3 | C50 | C50 | Q355 |
| SWP-11 | 400 | 1500 | 100 | 3 | C40 | C60 | Q355 |
| SWP-12 | 400 | 1500 | 100 | 3 | C40 | C80 | Q355 |
| SWP-13 | 400 | 1500 | 100 | 3 | C40 | C50 | Q235 |
| SWP-14 | 400 | 1500 | 100 | 3 | C40 | C50 | Q390 |
Disclaimer/Publisher’s Note: The statements, opinions and data contained in all publications are solely those of the individual author(s) and contributor(s) and not of MDPI and/or the editor(s). MDPI and/or the editor(s) disclaim responsibility for any injury to people or property resulting from any ideas, methods, instructions or products referred to in the content. |
© 2024 by the authors. Licensee MDPI, Basel, Switzerland. This article is an open access article distributed under the terms and conditions of the Creative Commons Attribution (CC BY) license (https://creativecommons.org/licenses/by/4.0/).
Share and Cite
Liu, H.; Shi, N.; Fu, X.; Zhang, J. Seismic Performance of Precast Double-Skin Composite Shear Wall with Horizontal Connection Region. Buildings 2024, 14, 1617. https://doi.org/10.3390/buildings14061617
Liu H, Shi N, Fu X, Zhang J. Seismic Performance of Precast Double-Skin Composite Shear Wall with Horizontal Connection Region. Buildings. 2024; 14(6):1617. https://doi.org/10.3390/buildings14061617
Chicago/Turabian StyleLiu, Huanqin, Nuoqi Shi, Xu Fu, and Jingjing Zhang. 2024. "Seismic Performance of Precast Double-Skin Composite Shear Wall with Horizontal Connection Region" Buildings 14, no. 6: 1617. https://doi.org/10.3390/buildings14061617
APA StyleLiu, H., Shi, N., Fu, X., & Zhang, J. (2024). Seismic Performance of Precast Double-Skin Composite Shear Wall with Horizontal Connection Region. Buildings, 14(6), 1617. https://doi.org/10.3390/buildings14061617

