Abstract
Amid the current global trend toward urbanization, there is a growing need for an improved quality of life. While rural public spaces are essential components of community life, their design and planning have traditionally focused on material aspects, neglecting the spiritual well-being of rural residents. This study uses the public spaces of Huixingtou Village in Handan City, Hebei Province, China, as an example to investigate the impact of five key elements within rural public spaces (architecture, streets, greenery, nodes, and landmarks) on individual emotions and perceptions, exploring how these elements contribute to the satisfaction of individuals’ spiritual lives. Initially, we compared the disparities among these elements concerning perceptual dimensions (functionality, technology, and aesthetics) and emotional dimensions (sense of achievement, safety, and well-being). This analysis revealed significant variations in emotional and perceptual dimensions influenced by different rural public space elements. Subsequently, we examined the associations between these elements and objective physiological response data from participants, using eye-tracking technology to delve into the interplay between emotions and perceptions. The results indicate that distinct rural public space elements elicit specific emotional responses, with visual elements and features exerting a pronounced influence on emotional reactions. This in-depth analysis provides comprehensive recommendations for emotional design strategies. Ultimately, this study furnishes emotionally driven design strategies for rural public spaces based on objective data, offering practical guidance for sustainable development and the enhancement of rural public space quality. These findings have significant implications for creating more attractive, inclusive, and sustainable rural spatial environments, addressing the needs of individuals seeking a high and enhanced quality of life.
1. Introduction
Against the backdrop of ongoing global urbanization, there is a growing demand for an enhanced quality of life. Rural public spaces emerge as pivotal elements in realizing this aspiration, providing rural communities with opportunities to connect with nature and serving as platforms for cultural preservation and social interaction []. Additionally, globally implemented rural revitalization policies aim to enhance quality of life and promote sustainable development in rural areas, underscoring the crucial role of rural public spaces []. However, a deeper understanding of the precise impact of these spaces on individual emotions and perceptions is imperative [].
In rural studies, the focus centers on residents’ well-being []. The communal attributes inherent in rural settings foster more frequent interactions among residents compared with urban environments []. Thus, scrutinizing the social spaces in rural areas holds significant importance for residents’ happiness []. These communal spaces, often public gathering areas situated between residences and streets or in village squares and street intersections, warrant investigation into their ability to meet the daily and emotional needs of individuals []. Such an inquiry can shed light on whether existing designs of rural public spaces align with people’s expectations for higher-quality spatial experiences, ultimately fulfilling their aspirations for an enhanced quality of life [].
In the current developmental stage in China, people’s demands for high-quality spaces are encapsulated in the satisfaction of feelings of happiness, security, and accomplishment []. The measurement of these emotional responses can be facilitated through the application of sensory engineering techniques. Sensory engineering [] utilizes technologies such as electroencephalography (EEG) [], eye-tracking [], and electrocardiography (ECG) [] to measure physiological response data during spatial utilization. The analysis of these data allows for the quantification of individuals’ emotions in spatial contexts, providing a more scientific observation of their satisfaction with the space [].
EEG primarily measures brain electrical activity, providing direct insight into cerebral functions and emotional responses, and facilitating the study of higher cognitive processes and emotions []. For example, Mintai Kim et al. used EEG technology to evaluate the safety and aesthetics of nighttime scenes. They found that differences in alpha and beta waves varied with the environment, indicating that EEG can serve as a measure for assessing nighttime scene characteristics. This provides new possibilities for improving the quality of nightscapes []. Krzysztof et al. used portable EEG headbands to assess calm and alert states in informal green spaces (IGSs) and explore emotional well-being. The results indicated that there were no significant differences in the emotional state levels of users at rest in IGSs compared with green spaces (GSs) []. However, EEG suffers from lower spatial resolution, making it difficult to pinpoint specific brain regions, and is susceptible to interference from scalp and hair artifacts. ECG measures cardiac electrical activity, offering insights into cardiac function and cardiovascular health, and is employed in the study of cardiovascular diseases and psychophysiology []. Timo Lanki et al.’s research found that visiting urban green environments can lower blood pressure and heart rate, thereby alleviating psychological stress []. Nadja and colleagues investigated the effects of short-term exposure to different urban green and street environments on physiological and psychological parameters related to cardiovascular health in elderly individuals. Their results indicated that visiting urban green spaces can promote cardiovascular health []. Yet ECG solely provides information related to cardiac function and does not directly reflect cognitive and emotional states. Eye-tracking technology measures eye movements, fixation durations, and gaze points, providing insights into individual visual attention distributions and durations, and is utilized in the study of attention and visual search []. Liu Wei et al. used eye-tracking experiments to analyze people’s visual perception of rural landscape elements. They found that the observation time of landscape elements depended on their proportion in the space, and subjective preferences were determined by the observation time of these elements []. Marek et al., by analyzing fixation and saccade data of people observing peri-urban landscapes in different seasons and weather conditions, found that warmer seasons led to a broader visual range and shorter fixations []. Overall, EEG is suitable for studying brain activity, eye-tracking for visual attention research, and ECG for investigating cardiac function.
This study focuses on the cognition and emotions of individuals within rural public spaces. Given that visual perception is the predominant mode of spatial observation and usage, paying attention to eye-tracking data in different rural public spaces allows for the observation of individuals’ cognitive processes. Consequently, the analysis discerns emotions in spatial contexts and provides a more precise examination of individuals’ spatial preferences. Considering that rural public space design primarily manifests in visual attention, this study utilizes eye-tracking technology to measure and evaluate people’s emotions and perceptions in these spaces. This approach aims to offer a scientific foundation for the human-centric planning and design of rural spaces.
1.1. Rural Public Space
Rural public spaces refer to open areas located in rural settings that are accessible to the public, aiming to promote community interaction, social cohesion, cultural heritage, and various social and cultural activities. These spaces may include rural squares, parks, markets, village squares, nature reserves, and other public facilities and locations. Rural public spaces play a pivotal role as an integral component of community life. They not only provide residents with places for leisure and socialization, but also symbolize cultural heritage and community cohesion. The design and planning of rural public spaces are of paramount importance in creating a pleasurable, fulfilling, and enriching living environment [].
In China, rural public space refers to the public activity venues within rural settlements that promote social events and activities. “Public” and “space” are its fundamental characteristics, where “space” represents its form, and “public” represents its nature. Rural public spaces contrast with private spaces, allowing members of society to enter freely or under certain conditions. They serve as foundations for various social connections and interpersonal interactions in rural communities, featuring attributes such as identification, recognition, gathering, belonging, communication, and satisfaction [].
In recent years, extensive urbanization has resulted in the substantial occupation of rural spaces [], leading to a significant reduction in public spaces within rural areas []. This phenomenon has not only diminished existing rural public spaces, but also limited their functionality, making them inadequate to accommodate the diverse social activity requirements of residents []. Furthermore, newly constructed public squares, parks, and other facilities are often located on the outskirts of villages, resulting in a significant reduction in the efficiency of public space utilization []. In terms of rural architectural aesthetics, a significant homogenization phenomenon is prevalent [], resulting in a lack of cultural distinctiveness []. Regarding road construction within villages, most roads lack differentiation between pedestrian and vehicular pathways, leading to mixed pedestrian and vehicular traffic situations []. Concerning the development of green landscapes within villages, most villages, due to limited public space areas and insufficient planning, experience a scarcity of greenery after road construction, thus encountering challenges related to insufficient landscaping []. In the context of cultural and artistic heritage preservation within villages, historical village planning has traditionally emphasized material and technical aspects while neglecting the historical and cultural memory of the village []. Consequently, public spaces often suffer from a deficiency in cultural and artistic elements, including landscapes, sculptures, and furnishings, which could otherwise reflect unique rural characteristics []. In terms of emotional identity, the development of rural public spaces, due to the pursuit of material development during the urbanization process, has often overlooked the exploration of rural characteristics and cultural heritage. This has resulted in a crisis of self-identification among villagers regarding their local culture []. There exists a contradiction between the current provision of rural public spaces and the demands of residents for their public life. Moreover, existing rural public spaces are inadequate in fulfilling people’s aspirations for a better quality of life [].
Currently, research on rural public spaces primarily focuses on the transformation and evaluation of existing physical spaces. For instance, Ye et al., based on the theory of spatial production, presented the spatial production of rural culture in Tangwan Village, Shanghai, from three dimensions: ideological space, representational space, and daily life space. They also analyzed the reasons for the gradual decline in rural culture []. They found that, under the pattern of spatial production dominated by power and capital, villages face challenges in maintaining rural cultures and developing new ones. The loss of culture leads to the decline of villages. Adequate daily living space is crucial for the prosperity of rural culture. Xu et al. used the Kano-IS model to assess the sustainability of rural residential environment improvement []. The model identifies the priority of elements that need improvement or maintenance, thereby assisting managers in rural settlements to create sustainable living environments and enhance resident satisfaction. Lyu, using Xingjing Town in Xixia District, Yinchuan City, Ningxia, as an example, sought to understand the development of rural public spaces through villagers’ perceptions. Their research found that villagers’ demands for public spaces are often related to accessibility, pleasant landscapes, and a good environment. Villagers hope to have more public spaces in their town to enrich their lives []. Li et al. explored the reconstruction of rural elderly public spaces from the perspective of community elderly care, analyzing the design of public elderly care activity spaces and facilities in villages from the perspectives of “convenience,” “cultural aspects,” and “safety” []. Jiao et al. based their study on the aesthetic interaction concept, applying interaction design principles to architectural design. They investigated the feasibility of using a design approach focused on “beauty” and centered on “interaction” in rural public space design. They summarized a set of reasonable and effective design methods from three aspects: spatial function diversification, locality, and sensory guidance []. Zhang et al. used Wuzhang Village in Chongren County, Jiangxi Province, as an example to study the integration design of rural public spaces and ancestral temple culture []. They found that, during the process of social development, folk temples, as ceremonial buildings, were severely suppressed, resulting in the disappearance of many temples. Consequently, they proposed redesigning and revitalizing the space to preserve and revive folk temples. Shen et al. evaluated the landscape performance of rural micro-landscapes in highly urbanized areas and proposed that micro-landscapes should maximize their therapeutic effects on users during the design phase, allowing users to relax and unwind better through micro-landscapes []. Soszyński et al. analyzed, summarized, and compared the public spaces of four villages in eastern Poland. They categorized rural public spaces into three types: places primarily for essential activities, places for social or recreational activities, and places mainly for entertainment. They introduced the uniqueness of rural public spaces and highlighted the importance of different types of public spaces for local communities []. Thompson et al. indicated that more green spaces can alleviate stress, enhance health, and increase happiness among individuals []. Roe et al. found that “green edges” composed of gardens and street trees along urban streets influence people’s health and well-being []. They used EEG technology to understand the emotional changes people experience when observing natural and urban scenes. They found that natural landscapes are associated with higher levels of meditation and lower arousal (i.e., excitement), whereas urban scenes are associated with higher arousal [].
Through reviewing the existing literature on rural public spaces, we found that current research tends to focus on two main aspects: (1) the optimization and evaluation of various elements in rural public spaces, including architecture, landscapes, and environmental improvements, with a lack of comprehensive summarization and comparison of these elements; and (2) the insufficient quantitative studies investigating the relationship between residents’ demand for public activity spaces in rural areas and the existing rural public spaces. Therefore, research on rural public spaces should start from human needs, analyze people’s preferences for various elements within rural public spaces, and delve into the preferences of individuals under different forms of these elements.
1.2. Eye-Tracking Technology
Eye-tracking technology is a novel method used in cognitive research [] and has been applied across multiple academic disciplines []. It records and detects the movement of the eyes in both time and space, aiding in the analysis of visual attention, perception of stimuli, and the interaction between the brain and the external environment []. In the context of urban architectural design, eye-tracking technology is primarily used to analyze people’s preferences for landscapes in public spaces. The objective and scientific nature of eye-tracking metrics addresses the limitations of subjective evaluations in previous research. Researchers like Su have utilized eye-tracking technology to explore the visual behavioral information and significance behind rural public space landscapes []. Zhou et al. employed eye-tracking metrics to analyze the influence of landscape elements in urban waterfront parks on visual behavior and public preferences []. Macro et al. analyzed eye-tracking reactions to videos of people walking in parks to identify the natural features that capture the most attention when walking in a park []. In the field of architectural heritage preservation, Li et al. used eye-tracking technology to study the visual behavioral characteristics of architectural heritage, finding that these characteristics were related to factors such as area, relative area, distance from the center, and perimeter []. Current research predominantly applies eye-tracking technology to investigate specific aspects of urban architecture, lacking comprehensive comparative studies of overall elements in the human living environment.
This study focuses on all constituent elements of rural public spaces. Utilizing eye-tracking technology, physiological response data are measured to assess individuals’ reactions to various elements within rural public spaces. By comparing the cognitive and emotional responses to different elements, this study aims to identify the elements that significantly impact people’s perceptions and emotions in rural public spaces. The findings will provide guidance for human-centric rural design, addressing the current shortcomings in eye-tracking technology research.
1.3. Research Objective
In the realm of urban planning and design, Kevin Lynch’s theory of the five elements of urban intentions stands as a seminal work, providing profound insights into the significance and interplay of various elements within urban spaces. However, research on public spaces in rural areas is relatively scarce and lacks a systematic theoretical framework. Therefore, drawing upon prior studies on rural public spaces, this paper endeavors to comprehensively classify and deeply explore them. Building upon Kevin Lynch’s theory of the five elements of urban intentions (District, Edge, Path, Node, and Landmark) [] and integrating previous research on the classification of urban and rural public space, this study has refined, classified, and deepened the components of rural public spaces from an architectural standpoint. Ultimately, the constituent components of rural public spaces have been categorized into five types: architecture, streets, greenery, nodes, and landmarks.
Each component is further divided into three types based on their distinct characteristics and constituent elements. Architecture serves not only as the visual focal point of rural communities, but also as a carrier of cultural heritage. The regional expression of architectural style is an important manifestation of rural characteristics. Thus, architecture is bifurcated into two parts: main facade and side facade. The main facade encompasses two distinct facade styles: the facade of new buildings and the facade of old buildings. Streets function as pathways for people’s movement and as connectors between different spaces, leading to their categorization into main roads, side roads, and residential streets based on location and function. Greenery plays a crucial role in environmental enhancement, ecological balance, and fostering a healthy atmosphere; thus, it can be categorized into artificial landscapes, natural forests, and natural lakes. Nodes, acting as intersection points, facilitate connections between various parts of the community, fostering interaction and vitality; hence, they can be divided into rural gardens, intersection gathering spaces, and roadside gathering spaces. Meanwhile, landmarks serve as cultural symbols and conduits for information transmission, shaping the distinctiveness of rural areas, thereby being categorized into political center landmarks, historical and cultural landmarks, and main entrance landmarks.
The central focus of this study lies in analyzing how the five components of rural public spaces, along with their different constituent elements, influence individuals’ emotions and perceptions. Through a comprehensive exploration of this question, we aim to better understand the pivotal roles played by these elements in rural public spaces in creating satisfying environments. This research seeks to provide practical guidance to meet people’s demands for a high-quality and improved life while simultaneously fostering more attractive, inclusive, and sustainable rural spatial environments, aligning with the objectives of rural revitalization policies.
Therefore, the objective of this study was to comprehensively analyze people’s cognitive behaviors toward existing rural public spaces using subjective perceptual questionnaires and objective eye-tracking technologies. It involves a horizontal comparative analysis of the emotional impact of five components within rural public spaces: architecture, streets, greenery, nodes, and landmarks. Additionally, it encompasses comparing the three types within each component, longitudinally analyzing the impact of different constituent elements on individual emotions within each component. Furthermore, this research explores the relationship between different elements of the five components of rural public spaces and levels of attention and human emotions within the dimensions of perception and emotion. Ultimately, through a combined subjective and objective analysis approach, this study aims to provide strategies for emotional design in rural public spaces and offers valuable insights for future rural space planning and design.
2. Study Area
China is currently undergoing rural revitalization, with significant disparities between southern and northern rural areas. Southern villages often benefit from favorable climatic and geographical conditions, leading to more advanced environments and living facilities compared with their northern counterparts. Consequently, the urgency for renewal is less pronounced in the south. Considering this context, our research focuses on a village in northern China to address the challenges specific to this region. The selected village exemplifies typical characteristics of rural areas in northern China. These include well-organized layouts, limited greenery in residential areas, underutilization of natural landscapes, simplistic street designs, monotonous architectural facades lacking rural characteristics, and insufficient inheritance of regional cultural elements.
Through the analysis of eye-tracking data and cognitive preferences regarding existing public spaces in this northern Chinese village, our research aims to provide effective guidance for the planning and design of rural spaces in the northern regions. By addressing the identified shortcomings in the village, we seek to gain insights into the cognitive behaviors of residents and their preferences for public spaces. Ultimately, our goal is to offer valuable guidance for enhancing and humanizing rural spatial planning in northern China during the ongoing rural revitalization process.
2.1. Study Site
Huixingtou Village is situated in Kangzhuang Township, Fuxing District, Handan City, Hebei Province, China. Nestled within a hilly terrain, it is flanked by Zongheng West Road to the east and Langtou Road to the west. The village enjoys convenient transportation links, with the Economic Development Zone of Fuxing District located to its north, ensuring well-connected road networks. Its strategic positioning to the east of Kangzhuang Township, in close proximity to the urban area, renders it part of the urban–rural integration strategy. Covering an area of 20.0 square kilometers, Huixingtou Village is surrounded by diverse landscapes. To its north sprawls a large industrial area with numerous factories, while to the west lies extensive ecological forestland. A residential area occupies the south, with a water body nestled within, serving as a demarcation between the new and old sections of the village. The new village accommodates a larger population, whereas the old village features numerous idle homesteads. Presently, Huixingtou Village comprises 251 households, with a total population of 971 individuals. Each household enjoys an average residential land area of 230 square meters, with approximately 30 plots lying idle and abandoned. The village’s predominant industry revolves around agriculture, supplemented by a small contingent of villagers employed in nearby industrial factories. Staple crops cultivated include wheat, corn, and soybeans, with an annual yield of around 4000 kg per hectare. Additionally, a handful of households are involved in sheep and shrimp farming activities. Huixingtou Village boasts a rich historical heritage, with one of its notable landmarks being the Xin Bridge situated to its west. Dating back to the Qianlong period, this ancient bridge spans approximately 20 m in length and rises around 6 m tall. Constructed using granite by ancient craftsmen, its arches are adorned with magnificent dragon carvings, adding to its architectural splendor.
In Huixingtou Village, several scattered public activity spaces are interconnected by main roads and side streets. Entrances are situated on the east and west sides of the village, with the main road of the new village serving as a link between the two entrances. The western entrance connects to the main road leading in and out of the village, functioning as the primary entry point. On the western side of the village, a small park is located. Additionally, the village committee doubles as a public cinema, while adjacent to it lies a fitness and cultural square. A village temple stands in close proximity to the fitness square. Plans are underway for the construction of a cultural square on the eastern side of the village. Toward the southern end of the village, a lake system is situated, with an ecological forest adjacent to the water system. This study introduces eye-tracking technology to comprehensively analyze the relationship between various public space elements within the village and emotional perception from a human-centric perspective. It delves into the significant impact of these elements on people’s emotions and ranks them accordingly. By addressing the issue of insufficient emotional appeal in village public space design, this research provides a foundation for optimizing designs in other rural public spaces.
2.2. Rural Public Space Elements Selection
In this study, photographs of rural public spaces taken in actual settings were used as stimuli, replacing real-life rural public spaces. Initially, high-quality photographs of rural public spaces were captured using digital single-lens reflex cameras equipped with wide-angle lenses. To ensure consistent lighting conditions across all photos, standardized shooting times and camera parameters were employed, alongside post-processing adjustments. Specifically, photographs were taken between 2 PM and 5 PM on sunny afternoons in June 2023, ensuring uniform lighting and weather conditions. During photography, the camera’s exposure parameters, position, and angle were fixed, and the white balance was manually set to avoid color casts caused by changes in light sources. Post-processing in Photoshop further standardized the exposure and white balance of all photographs, ensuring overall visual consistency and matched tones across all images. Next, 16 experienced professionals with backgrounds in architecture, landscape, and environmental psychology were invited to participate in the photo selection process. Prior to selection, the experts were provided with a detailed explanation of the experiment’s purpose, methods, and procedures. They were informed that the selected photos would be used as stimuli for the cognitive evaluation of rural public spaces based on eye-tracking technology. The experts initially categorized all photos of rural public spaces into five types: architecture, streets, greenery, nodes, and landmarks. They then selected three different photos for each type of public space. For the architecture category, photos included the main facade of a new building, the main facade of an old building, and the side facade of a building. In the street category, photos of main roads, branch, and house roads were chosen. For the greenery category, photos of artificial landscapes, natural forests, and natural lakes were selected. In the nodes category, photos of village gardens, gathering spaces at road intersections, and gathering spaces at road ends were chosen. For the landmarks category, photos of the political center landmarks (the village committee and square), cultural landmarks (a stone bridge and inscriptions from the Qianlong period), and the main entrance of the village were selected. Ultimately, 15 photos representing the five types of rural public spaces, with each type represented by three different space types, were meticulously selected (Table 1). Figure 1b illustrates the locations where the 15 photos were taken.
Table 1.
Five types of public space elements in Huixingtou Village.
Figure 1.
Maps of geographic areas and village pattern: (a) China—Hebei; (b) Huixingtou Village layout.
2.2.1. Architecture
The architectural elements within rural public spaces primarily refer to building facades, which serve as significant interfaces reflecting the cultural aspects of these rural environments. Different building facades embody distinct rural aesthetics. In this study, we focused on the main entrance facades and side facades of buildings in Huixingtou Village. For the main entrance facades, two different styles commonly found in rural areas were chosen: the main facade of a new building and the main facade of an old building. The main facade of the new building typically features reinforced concrete construction, tiled finishes, and a wide entrance gate. These structures are characterized by modern materials and construction methods, clean decorative lines, and an entrance gate with a height-to-width ratio close to 1:1. Conversely, the main facade of the old building is constructed with red bricks, surface-coated with paint, and features narrower entrance gates. These buildings showcase traditional materials and construction methods, decorative brick patterns, and an entrance gate with a height-to-width ratio close to 2:1 (Table 1; Pictures 1a, 2a, and 3a).
2.2.2. Street
Streets serve as the primary transportation spaces within rural public areas, reflecting the accessibility between different spaces and the convenience of passage in rural settings. In this study, we examined the main roads, branch, and house roads within Huixingtou Village. The main roads in the village are asphalt-paved, with newly added greenery on both sides, enhancing their visual appeal and functionality. The branch and house roads, on the other hand, feature cement surfaces, with some sections exhibiting uneven terrain, reflecting the varied conditions and maintenance levels in different parts of the village (Table 1; Pictures 1b, 2b, and 3b).
2.2.3. Greenery
In rural public spaces, greenery includes not only municipal greenery commonly associated with urban landscaping but also various natural landscapes. In Huixingtou Village, the artificial greenery landscape selected consists of the greenery on both sides of the main road. Natural landscapes in the village encompass a woodland on the western side and a water body to the south (Table 1; Picture 1c, 2c, 3c).
2.2.4. Node
Nodes refer to public spaces within the village that serve as focal points for communal activities. In Huixingtou Village, these nodes include an artificially constructed small park on the western side and the open spaces at road intersections. These spaces are regular gathering spots for villagers to engage in conversations and social interactions (Table 1; Picture 1d, 2d, 3d).
2.2.5. Landmark
The landmarks within Huixingtou Village primarily consist of the village committee and square, the stone bridge with inscriptions from the Qianlong period, and the main entrance to the village. The village committee serves as the political nucleus of the village and is adjacent to a small activity area that also functions as a hub for recreational and sports activities. The stone bridge, dating back to the Qianlong period, stands as a cultural landmark, symbolizing the village’s rich history. The main entrance, located on the western side, serves as the primary point of access and is adorned with an entrance feature wall. This entrance connects directly to the main village road (Table 1; Pictures 1e, 2e, and 3e).
3. Materials and Methods
In this study, we propose the following research hypotheses to explore the intricate relationship between rural public space elements and emotional perception, incorporating both subjective and objective physiological data:
- (1)
- Subjective Emotions Linked with Objective Physiological Data Hypotheses
- H1: Different elements of rural public spaces (architecture, streets, nodes, greenery, and landmarks) significantly influence individuals’ subjective emotions;
- H2: Different elements of rural public spaces (architecture, streets, nodes, greenery, and landmarks) significantly impact individuals’ physiological responses, including changes in pupil size and fixation duration, as measured by eye-tracking data.
- (2)
- Within-Element Variations Hypotheses
- H3: Different photographs within the same rural public space element elicit variations in individuals’ subjective emotions;
- H4: Different photographs within the same rural public space element induce variations in individuals’ physiological responses, including changes in pupil size and fixation duration, as measured by eye-tracking data.
By testing and validating these research hypotheses, we aim to gain a comprehensive understanding of how rural public space elements influence emotional perception. Additionally, we explore the roles of eye-tracking data within this process. Ultimately, this research seeks to provide a scientifically grounded basis and strategic recommendations for the emotional design of rural public spaces.
3.1. Participants
To ensure the objectivity and fairness of our research, we recruited participants with similar ages and academic backgrounds. During the recruitment process, it was explicitly stated that participants should not have previously resided in the research location to minimize the influence of prior experiences. After reviewing relevant literature on experimental research using eye-tracking technology, we observed that the sample sizes varied between 20 [] and 60 [] participants. Therefore, based on a comprehensive consideration of resources, time, and research objectives, we selected 21 educated young participants as research subjects. Their ages ranged between 18 and 35 years, and a total of 21 valid datasets were collected. Although we acknowledge the limitation of a small sample size, we deemed this number suitable for an exploratory study, given similar research and available resources. Among the 21 participants, there were 10 males and 11 females, resulting in a nearly equal gender ratio. During the screening process, we ensured that participants met the visual acuity and color vision requirements, excluding potential factors that could have affected the study results. Participants were required to have uncorrected or corrected visual acuity greater than 1.0, normal color vision, and no visual impairments. Prior to the experiment, all participants were informed about the research objectives and main procedures.
3.2. Experiment Apparatus
The eye-tracking experiment was conducted using the aSee Pro remote eye-tracking system. Participants sat in front of a 21-inch LCD computer monitor (Lecoo B2229E, Lecoo Technology Co. Ltd., Tianjin, China), maintaining a distance of approximately 60 cm between their eyes and the display. To ensure consistent lighting conditions, blackout curtains were used to block outdoor light, and the room was illuminated with overhead incandescent lights. This setup allowed the recording of eye movement data at a rate of 120 Hz. The system’s analysis software (aSee Studio 0.3.35.3) was installed on a computer equipped with an Nvidia GTX1060 graphics card (NVIDIA Quadro P600, GIGABYTE, Beijing, China), with a resolution of 1920 × 1080, running on a 64-bit Windows 10 Pro operating system. Additionally, 21 electronic questionnaires, a computer mouse, and a timer were utilized in the experiment.
3.3. Experimental Procedure
To minimize external interference factors during the experiment and reduce the impact of individual differences on the results, we ensured that all participants viewed the same stimuli in identical enclosed laboratory environments. The laboratory conditions, including lighting, temperature, and humidity, were kept consistent, and there was no noise interference. Before the experiment began, participants reviewed the questionnaire in advance, and we explained the basic principles behind each question (Table 2). Participants were seated in front of a computer equipped with a desktop eye tracker. They viewed 15 photographs of rural public spaces displayed on the computer screen, with each photograph being presented for a duration of 10 s. Subsequently, participants completed a subjective questionnaire immediately after viewing each photograph, with a time limit of 60 s for questionnaire completion, followed by a 10-s rest interval. The entire experimental procedure was conducted at the computer station, with each participant’s experimental session lasting for approximately 20 min. Throughout the entire experimental process, eye-tracking data of the participants were continuously recorded (Figure 2).
Table 2.
Subjective questionnaire questions and indicators.
Figure 2.
Experimental procedure diagram.
The experimental duration of 70 s comprised 10 s for viewing stimuli and 60 s for completing questionnaires. During the 10 s stimulus viewing period, rural public space photographs were presented on the computer monitor. During the 60 s questionnaire completion period, subjective questionnaire questions were presented on the computer monitor for participants to answer. During the 10 s rest period, a gray screen with a black crosshair in the center was displayed on the computer monitor.
The experimental procedure was as follows:
- The researcher explained the procedural steps and guidelines to the participants, ensuring that they had a comprehensive understanding of the experimental methods and requirements;
- Participants were instructed to sit in a comfortable position in front of the computer screen, relax their bodies, and avoid making large head and body movements;
- The eye-tracking calibration procedure was initiated. Participants underwent a 9-point eye-tracking calibration to ensure that the calibration results for both eyes were above 90;
- Upon completion of calibration, the researcher reminded the participants to refrain from making significant bodily movements. Each participant received standardized instructions: “The formal commencement of the experiment is now underway. You will be presented with authentic rural public space images on the computer screen. After viewing each image, kindly complete a survey questionnaire. Please ensure careful observation and minimize any sudden changes in your physical position.” Subsequently, the researchers exited the experimental room and entered the control room, leaving the participant alone in the experimental room to relax. The experiment began with the presentation of the words “Experiment Starts” on the computer monitor.
3.4. Indicators Extraction
This experiment yielded a total of 21 datasets, all of which were deemed valid for analysis. This research employs a comprehensive approach to data analysis, including both eye-tracking data analysis and subjective questionnaire analysis. Below, we provide a detailed account of each data analysis method.
3.4.1. Subjective Questionnaire
Participants completed subjective questionnaires after viewing each photograph, evaluating their emotional experiences. The questionnaire utilized a five-point emotional rating scale, where participants scored real-life photographs of rural public spaces in terms of perceptual and emotional dimensions. The perceptual dimension comprises three aspects: functionality, technology, and aesthetics, each consisting of two items. The emotional dimension encompasses three facets: a sense of achievement, safety, and well-being, with each facet comprising three items, as depicted in Table 2.
3.4.2. Eye-Tracking Data
During the experiment, eye-tracking data were collected using the aSee Pro remote eye-tracking system to capture participants’ gaze behavior while viewing 15 photographs of rural public spaces, each displayed for 10 s. The eye-tracking parameters recorded included gaze points, gaze duration, and change in pupil diameter. The collected eye-tracking data underwent preprocessing steps, which included outlier removal to eliminate data points that were not representative of the participant’s typical gaze behavior, drift correction to adjust for any gradual shifts in gaze data over time, and data alignment to ensure consistency across all datasets (Table 3).
Table 3.
Eye-tracking indicators and their relevance.
4. Results
4.1. Subjective Questionnaire Analysis
We conducted an in-depth analysis of the subjective questionnaire data collected during the experiment. Variations in ratings across perceptual and emotional dimensions emerged upon participants’ viewing of paragraphs of rural public spaces. Table 4 presents these differences, illustrating varying scores attributed to different paragraphs. In terms of functionality, technology, and security, greenery received the highest ratings, scoring 2.88, 2.83, and 2.95, respectively. Conversely, architecture received the highest scores for aesthetics and a sense of achievement, at 2.84 and 2.97, respectively. Notably, landmarks achieved the highest score for happiness, registering at 2.96. These findings indicate a notable degree of satisfaction across corresponding perceptual and emotional dimensions associated with the aforementioned elements (Table 4).
Table 4.
One-way analysis of variance (ANOVA) for the subjective questionnaire.
Utilizing photographs of various rural public spaces as the independent variable and the participants’ ratings of functionality, technology, aesthetics, sense of achievement, sense of security, and sense of well-being as the dependent variables, we conducted a one-way ANOVA on the collected data, as depicted in Figure 3. The results indicated a significant effect of different rural public spaces on the six dependent variables (p ≤ 0.05, p ≤ 0.01), suggesting notable variations in perceptual and emotional dimensions. Specifically, concerning functionality, a significant difference was observed between streets and greenery (p ≤ 0.01). Regarding the sense of achievement, a significant distinction was found between architecture and landmarks (p ≤ 0.05).
Figure 3.
One-way ANOVA conducted on different rural public space elements across various perceptual and emotional dimensions. * p ≤ 0.05, ** p ≤ 0.01.
As shown in Figure 3, the scores for streets in terms of functionality, technology, aesthetics, and security were relatively low, indicating a lower overall satisfaction with streets in these aspects. Therefore, future efforts should focus on redesign and improvements in these areas. Landmarks received the lowest average score for the sense of achievement, while nodes had the lowest average score for well-being. Consequently, particular emphasis should be placed on redesigning and improving rural public space elements corresponding to the perceptual dimensions with lower scores during the subsequent redevelopment phase.
4.1.1. Analysis of Perceptual Dimensions Score
The perceptual dimensions encompass three aspects of rural public spaces: functionality, technology, and aesthetics. Analyzing the scoring data allows for comparisons of people’s preferences for the five elements of architecture, streets, greenery, nodes, and landmarks across these three perceptual dimensions. Similarly, it is possible to compare the satisfaction levels of different rural public spaces within the same perception level.
We collected and analyzed participants’ subjective rating questionnaires in the perceptual dimension after viewing 15 photographs. The data were subjected to one-way analysis of variance (ANOVA), revealing significant differences in the ratings of individuals when viewing different rural public space photographs. This indicates significant variations in the emotional responses of individuals across perceptual dimensions in different rural public spaces. As shown in Table 5, we summarized the mean scores and standard deviation for each photograph in the perceptual dimension.
Table 5.
One-way analysis of variance (ANOVA) for the subjective questionnaire in the perceptual dimensions.
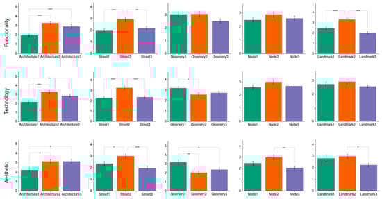
According to the analysis results, differences can be observed in the scores of different spaces across various perceptual dimensions, as shown in Figure 4. In terms of functionality, technology, and aesthetics, the main facade of the old building had the highest satisfaction scores, all exceeding 3.0. Conversely, the main facade of the new building received the lowest scores. Among the street elements, branch received the highest scores, while main roads and house roads received relatively lower scores. Within the greenery elements, artificial landscape received higher scores, with natural forest and artificial landscape scoring closely (3.07 and 3.08, respectively) in terms of functionality, while natural lakes received the lowest scores. In terms of technology and aesthetics, natural lakes scored lower than artificial landscape, with natural woodlands receiving the lowest scores. Among the node elements, the gathering space at road intersections received the highest scores, followed by the road end–end cluster space, while the village garden received the lowest scores. In terms of aesthetics, the village garden scored higher than the road end–end cluster space. Within the landmark elements, the Qianlong years stone bridge and inscriptions received the highest scores, followed by the village committee and square, with the village main entrance receiving the lowest scores. Overall, the satisfaction scores for functionality, technology, and aesthetics in the perceptual dimension were highest for the main facade of the old building, branch, artificial landscape, gathering space at road intersections, the village committee and square, and the Qianlong years stone bridge and inscriptions.
Figure 4.
Significant histograms of various rural public space photographs across perceptual dimensions. * p ≤ 0.05, ** p ≤ 0.01, *** p ≤ 0.001.
4.1.2. Analysis of Emotional Dimensions score
The emotional dimension encompasses the emotional impact of rural public spaces on individuals in terms of their sense of achievement, security, and well-being. Analyzing the scoring data allows for the comparison of people’s preferences for the five elements—architecture, streets, greenery, nodes, and landmarks—across these three emotional dimensions. Similarly, it enables the comparison of emotional satisfaction with different rural public spaces within the same emotional dimension.
We collected and analyzed participants’ subjective rating questionnaires in the emotional dimension after viewing 15 photographs. The data were subjected to one-way analysis of variance (ANOVA), revealing significant differences in the ratings of individuals when viewing different rural public space photographs. This indicates significant variations in the emotional responses of individuals across emotional dimensions in different rural public spaces. As shown in Table 6, we summarized the mean scores and standard deviation for each photograph in the emotional dimension.
Table 6.
One-way analysis of variance (ANOVA) for the subjective questionnaire in the emotional dimensions.
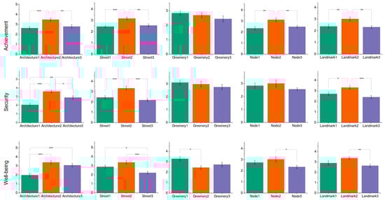
As depicted in Figure 5, among the architectural elements, the main facade of the old building scored the highest, with a sense of achievement of 3.49, security rating of 3.6, and well-being rating of 3.4. Following this was building side facade, while the main facade of the new building received the lowest scores. Within the street elements, branch scored the highest, with house roads having a higher sense of achievement than main roads, while the security and well-being ratings for main roads exceeded those for house roads. Among the greenery elements, artificial landscapes received the highest overall scores, with a higher sense of achievement and security for natural forests compared with natural lakes, and higher well-being ratings for natural lakes compared with natural forests. Among the node elements, gathering spaces at road intersections obtained the highest score, with the road end–end cluster space having a higher sense of achievement than the village garden, while the security and well-being ratings for the village garden surpassed those for the road end–end cluster space. Within the landmark elements, the Qianlong years stone bridge and inscriptions had the highest scores, followed by the village committee and square, with the village main entrance receiving the lowest scores. Overall, in the emotional dimensions of sense of achievement, security, and well-being, the overall satisfaction was higher for the main facade of the old building, branch, artificial landscapes, gathering spaces at road intersections, and Qianlong years stone bridge and inscriptions. Attention should be paid to the redesign of the main facade of the new building due to lower scores in security and well-being, at 2.06 and 1.98, respectively.
Figure 5.
Significance histograms of various rural public space photographs across emotional dimensions. * p ≤ 0.05, ** p ≤ 0.01, *** p ≤ 0.001.
4.2. Eye-Tracking Data Analysis
During the experiment, eye-tracking data were collected using the aSee Pro remote eye-tracking system to capture participants’ gaze behavior while they viewed 15 rural public space photographs. Each photograph was displayed for 10 s. The eye-tracking parameters, including gaze points, fixation duration, fixation number, and changes in pupil diameter, were recorded during the viewing. Subsequently, the collected eye-tracking data underwent preprocessing using Python 3.11, including outlier removal, drift correction, and data alignment.
4.2.1. Pupil Diameter Changes
Changes in pupil size will be employed to explore participants’ emotional experiences []. Larger pupils may indicate excitement or emotional activation, while smaller pupils may suggest indifference or a lack of excitement []. We will investigate the relationship between these changes and eye-tracking data. We conducted a one-way analysis of variance (ANOVA) on the pre-processed pupil diameter data using Origin 2022, yielding the following results.
The mean changes in pupil diameter when people observed three images of the same type of element indicated that, when observing architectural elements, the mean pupil diameter was largest for both the left eye and the right eye, at 3.77 mm and 3.71 mm, respectively. The ranking of the mean pupil diameter changed for other elements as follows: greenery, streets, and nodes, with landmarks having the smallest mean pupil diameter changes, at 3.38 mm for the left eye and 3.35 mm for the right eye (Table 7).
Table 7.
One-way analysis of variance (ANOVA) for the pupil diameter in five rural public space elements.
Due to individual differences in participants’ gazes, outliers appeared, but the overall data is relatively concentrated. The pupil diameter change data between architecture and streets, nodes, and landmarks showed significant differences. Among them, the difference between landmarks was the most significant, followed by the difference with nodes, and there was a significant difference with streets in the right eye data (Figure 6).
Figure 6.
One-way analysis of variance (ANOVA) for pupil diameter for five rural public space elements. * p ≤ 0.05, ** p ≤ 0.01, *** p ≤ 0.001.
From the above data, it can be observed that people had different emotional experiences regarding the five elements: architecture, streets, greenery, nodes, and landmarks. Emotional activation was most pronounced for the architectural elements, with the highest level of interest. This was followed by greenery, streets, nodes, and landmarks in descending order of emotional activation. Therefore, individuals showed the greatest emotional engagement with architecture and greenery in rural public spaces, suggesting that these elements should be prioritized in redesign and improvement efforts.
From the pupil diameter change data for fifteen rural public space photographs, it can be observed that, within the architectural elements, the main facade of the old building received the largest pupil diameter, measuring 3.85 mm for the left eye and 3.80 mm for the right eye. This suggests that individuals were more interested in the main entrance facade of the old building. Among the street elements, the narrow, but greenery-rich, house road garnered the highest interest, with mean pupil diameters of 3.56 mm for the left eye and 3.53 mm for the right eye. Among the greenery elements, the artificial landscape generated the highest interest, likely due to the presence of highly readable promotional slogans. In the node elements, there was a higher interest in the road end–end cluster space. Among the landmarks, the highest interest was directed toward the Qianlong years stone bridge and inscriptions (Table 8).
Table 8.
One-way analysis of variance (ANOVA) for the pupil diameter in fifteen rural public space pictures.
From Figure 7, it can be observed that architectural elements afforded the highest emotional arousal, while landmark elements afforded the lowest emotional arousal. Greenery and node elements also had a moderate impact on people’s emotional arousal. This indicates that the existing landmarks in the village did not arouse strong interest among people, despite being a key element for expressing the cultural characteristics of the village. Therefore, there is an urgent need for the exploration of cultural attributes. Architectural elements, on the other hand, were the focal point of people’s impressions of the village and should be a crucial consideration in portraying the village’s character and aesthetics.
Figure 7.
One-way analysis of variance (ANOVA) for pupil diameter for fifteen rural public space pictures. * p ≤ 0.05.
4.2.2. Fixation Duration
An analysis of fixation number and fixation duration will allow us to determine differences in visual attention to different elements of rural public spaces. The time interval between two gaze fixations represents the fixation duration, with varying fixation durations reflecting distinct neural processes []. Research has indicated that a fixation duration of less than 150 ms was predominantly under the influence of unconscious non-cognitive mechanisms [], while a duration exceeding 900 ms indicates that a comprehensive functional interpretation is yet to be established []. In contrast, a fixation duration within the range of 150 ms to 900 ms is indicative of perceptual recognition and cognitive processing of the attended content []. Within this scope, a longer fixation duration indicates a greater ability to capture individuals’ interest. A higher frequency of fixation numbers suggests the presence of more elements within the visual stimulus that pique people’s interest.
Therefore, in this study, Python 3.11 was employed to extract fixation durations occurring between 150 milliseconds and 900 milliseconds. Subsequently, Origin 2022 was utilized to compute the mean values of each element and each rural public photograph. Dual Y-axis plots were generated to compare differences in fixation duration and fixation number across various elements and pictures.
As shown in Figure 8, the mean fixation durations for landmark, street, and node were relatively high, with landmark at 0.47 s, street at 0.45 s, and node at 0.44 s. Conversely, architecture and greenery afforded the shortest mean fixation durations, averaging 0.42 s. These results suggest that landmarks are more effective in capturing people’s interest, as they have relatively singular elements of interest, with an average fixation number of only 5.61. This indicates that landmarks can represent the unique attributes of a rural area. Architecture, on the other hand, had the shortest fixation durations, but the highest fixation number, with an average of 8.43, signifying that architecture possesses numerous elements that can captivate people’s interest. Therefore, both landmarks and architecture serve as significant carriers that reflect the cultural and local characteristics of a rural area (Table 9).
Figure 8.
Dual Y-axis plots for the mean fixation duration and mean fixation number for five rural public space elements.
Table 9.
One-way analysis of variance (ANOVA) for fixation duration and fixation number for five rural public space elements.
From Figure 9, it is evident that the main facade of buildings is the focal point of people’s attention, as both the mean fixation duration and mean fixation number were relatively high. The mean fixation duration for new building facades was 0.43 s, with a mean fixation number of 8.65. For old building facades, the mean fixation duration was 0.42 s, with a mean fixation number of 8.33, both of which were higher than those for building side facades. Among street elements, the mean fixation durations for the main road, branch, and house roads were similar, but the mean fixation number for the main road was the highest, at 8. This suggests that there are more elements of interest on the main road. In the context of greenery elements, the natural lake had the highest mean fixation duration at 0.44 s, with a mean fixation number of 7, while the natural forest, despite having the shortest mean fixation duration at 0.43 s, had the highest mean fixation number at 7.53. This indicates that people have a greater interest in natural landscapes compared with artificially landscaped greenery.
Figure 9.
Dual Y-axis plots for the mean fixation duration and mean fixation number for fifteen rural public space pictures.
Among node elements, there was relatively little difference in mean fixation duration, but gathering spaces at road intersections had the highest mean fixation number, at 8.35, indicating that gathering spaces at road intersections are relatively more attractive to people. Within landmark elements, there was little difference in the mean fixation number, but the mean gaze duration for the village committee and square and the Qianlong years stone bridge and inscriptions was relatively high, at 0.50 s for the village committee and square and 0.47 s for the Qianlong years stone bridge and inscriptions. This suggests that these two locations were more captivating to people’s interest compared with the village main entrance (Table 10).
Table 10.
One-way analysis of variance (ANOVA) for the fixation duration and fixation number in fifteen rural public space pictures.
By comparing the data on fixation duration and fixation number, it can be determined that architecture and landmarks were the focal points of people’s attention in rural public spaces. Among these, the main facades of buildings and the village committee and square, as well as the Qianlong years stone bridge and inscriptions, were the focal points of visual attention and were key elements for people to understand the unique cultural attributes and characteristics of the village. Among other elements, the main road, natural landscape, and gathering spaces at road intersections also received significant visual attention. Therefore, in the process of rural revitalization and renovation, these elements can be prioritized for improvement and enhancement.
4.3. Visual Preference Analysis of Eye Tracking in Each Element of Rural Public Space
The hot-spot view efficiently and intuitively displays the visual attention regions of multiple subjects. In this study, Python 3.11 was used to aggregate and overlay the gaze point coordinates of 21 participants and to generate heatmaps representing the five types of visual attention areas in rural public spaces. The color red represents key areas of visual attention, while yellow and blue indicate regions of lesser visual attention, with dark blue denoting the least conspicuous areas (progressing from red to yellow to blue).
4.3.1. Architecture
Different architectural facade forms attract variations in people’s points of focus. Attention towards the new building was concentrated in the middle area of the entrance gate (Figure 10a). In contrast, attention toward the old building was concentrated on the floral brick decorations above the entrance gate, with a broader focus range, emphasizing that the facade with floral brick patterns was a focal point of interest (Figure 10b). Attention toward the side facade of the building was concentrated around the sloped roof position (Figure 10c). Consequently, a comprehensive analysis suggested that elements such as floral brick decorations, spacious entrances, and sloped roofs in rural architectural facades generated more interest and could serve as references for rural architectural character design.
Figure 10.
Hot-spot views of three pictures of architectural elements. (a) Hot-spot view of the main facade of the new building; (b) hot-spot view of the main facade of the old building; (c) hot-spot view of the building side facade. Note: Visual attention decreases gradually from red to yellow to blue.
4.3.2. Street
A comparison of images from three different types of streets revealed that the extensive blank walls in branch roads failed to capture people’s visual interest (Figure 11b). In contrast, the rich greenery landscapes and main architectural facades in main roads and house roads were the focal areas of people’s attention (Figure 11a,c). It can be observed from the gaze heatmaps of the three different roads that, surprisingly, roads, as one of the key components of streets, rarely attract people’s visual attention.
Figure 11.
Hot-spot views of three pictures of streets elements. (a) Hot-spot view of main road; (b) hot-spot view of branch road; (c) hot-spot view of house road. Note: Visual attention decreases gradually from red to yellow to blue.
4.3.3. Greenery
From the three greenery landscape images, it is evident that green vegetation is the most attractive individuals. In artificial landscapes, promotional slogans on walls also pique people’s interest (Figure 12a). Within natural greenery landscapes, in areas with lakes, people’s attention is slightly more focused on the water’s surface than on the green vegetation (Figure 12b,c). Therefore, in the process of renovating rural green spaces, greater emphasis should be placed on preserving native greenery and lakes, as well as designing appropriate promotional slogans to enrich the cultural content of the rural environment.
Figure 12.
Hot-spot views of three pictures of greenery elements. (a) Hot-spot view of artificial landscape; (b) hot-spot view of natural forest; (c) hot-spot view of natural lake. Note: Visual attention decreases gradually from red to yellow to blue.
4.3.4. Node
Rich greenery in node spaces is also a focal point of people’s attention. Temporary resting benches made from the same material as the ground failed to capture direct attention, while a blue chair could easily attract people’s gaze. The monotonous white walls at the intersection, although acting as a small gathering spot for daily conversations, did not generate substantial visual interest and would require the incorporation of greenery to enhance spatial richness (Figure 13a–c).
Figure 13.
Hot-spot views of three pictures of the nodes element. (a) Hot-spot view of village garden; (b) hot-spot view of gathering space at road intersections; (c) hot-spot views of road end–end cluster space. Note: Visual attention decreases gradually from red to yellow to blue.
4.3.5. Landmark
The red village committee wall and the standing stone monument at the bridgehead easily captured people’s visual attention (Figure 14a,b), while the larger village name at the village entrance was a focal point of interest (Figure 14c). Therefore, in the renovation and updating of village landmarks, emphasis should be placed on color variations, morphological differences, and the readability of textual content to highlight the iconic cultural characteristics of the village.
Figure 14.
Hot-spot views of three pictures of landmark elements. (a) Hot-spot view of village committee and square; (b) hot-spot view of Qianlong years stone bridge and inscriptions; (c) hot-spot view of village main entrance. Note: Visual attention decreases gradually from red to yellow to blue.
Considering the possibility of visual gaze bias due to visual fatigue or insufficient attractiveness of the space itself, despite setting the viewing time for each photo to 10 s, this phenomenon could not be entirely avoided. Therefore, the description of the gaze heatmap results focuses on comparing three different types of the same rural public space element, identifying and summarizing spatial design elements that can attract people’s attention. This provides recommendations for the design of the five elements of rural public spaces.
4.4. Subjective and Objective Correlation Analysis
Using Origin 2022, a Pearson correlation analysis was performed on the subjective questionnaire data and objective eye-tracking data. A correlation heatmap was generated, where blue represents negative correlations, red represents positive correlations, and the intensity of the color indicates the strength of the correlation. The numerical values within each box represent the correlation coefficient, with absolute values ranging from 0.01 to 0.4 indicating a weak correlation, 0.4 to 0.7 indicating a moderate correlation, and 0.7 to 0.99 indicating a strong correlation.
As illustrated in Figure 15, the fixation duration showed a moderate positive correlation with well-being and negative correlations with other indicators. It exhibited a strongly negative correlation with fixation number and pupil diameter, and a moderate negative correlation with functionality, technology, achievement, and security. Additionally, it displayed a weak negative correlation with aesthetics. The fixation number demonstrated a moderate negative correlation with well-being and a strong positive correlation with pupil diameter and achievement. The correlation analysis for left and right eye pupil diameter yielded similar findings, showing strong positive correlations with achievement and weak negative correlations with well-being. Overall, a strong correlation was observed between achievement and eye-tracking data indicators, with moderate correlations observed with aesthetics. There was a strong positive correlation between security and functionality and technology indicators, while a moderate level of correlation was observed between aesthetic and achievement, security, and well-being.
Figure 15.
Subjective and objective correlation analysis. * p ≤ 0.05.
5. Discussion
5.1. Correlation between Subjective Questionnaire Results and Objective Eye-Tracking Data
The correlation analysis between subjective questionnaires and objective eye-tracking data underscores a significant relationship between these two types of data. This finding supports a comprehensive approach to the utilization of individuals’ ratings on perceptual and emotional dimensions from subjective questionnaires, in conjunction with eye-tracking metrics, such as pupil diameter, fixation duration, and fixation numbers. This combined approach enables a more objective assessment of rural public spaces, guiding the development of scientifically designed rural public spaces that cater to people’s senses of achievement, security, and well-being.
Specifically, the fixation duration was positively correlated with well-being, but negatively correlated with security, achievement, functionality, and aesthetic aspects. The fixation number exhibited a negative correlation with fixation duration, while pupil diameter showed a weak negative correlation with well-being, but a strong positive correlation with achievement, security, functionality, technology, and aesthetics. Overall, there was a strong correlation between achievement and eye-tracking indicators, with achievement being moderately negatively correlated with gaze duration and strongly positively correlated with gaze frequency. Achievement was strongly positively correlated with the diameter of the left and right pupils. Security was strongly correlated with functionality and technology.
5.2. Preference Analysis of Different Public Space Elements by Individuals
Observations of real-world photographs of different elements in rural public spaces reveal disparities between subjective satisfaction ratings and eye-tracking data []. Subjective satisfaction rating data indicated that, in terms of the perceptual dimension, greenery received the highest scores for functionality and aesthetics, while architecture scored highest for aesthetics. In the emotional dimension, architecture scored highest in terms of the sense of achievement, greenery scored highest for security, and landmarks scored highest for well-being. Hence, it is evident that greenery elements elicited higher satisfaction in terms of appropriateness in scale, ease of use, adequate illumination, and comfort, whereas architecture elements garnered higher satisfaction in terms of aesthetics, rural character representation, cleanliness, public appeal, and the desire for people to linger. Landmark elements generated higher satisfaction in terms of generating feelings of familiarity, delight, and belonging. The eye-tracking data analysis results indicated relatively higher pupil dilation for architecture and greenery elements, signifying a higher level of attractiveness and interest among observers. Landmark elements exhibited the longest fixation duration, and architecture elements received the highest number of gazes, underscoring the relatively higher levels of interest from individuals in architecture and landmark elements.
Combining subjective and objective data, it is evident that the three elements of architecture, greenery, and landmarks were the preferred elements among the five elements in rural public spaces. These elements could be considered the primary focal points for rural space redevelopment. Architecture elements primarily embodied the rural character and aesthetics, greenery elements reflected rural livability, and landmark elements conveyed a sense of rural belonging and cultural attributes.
5.3. Preference Analysis of Different Types of Spaces within the Same Public Space Element by Individuals
Disparities in both subjective satisfaction ratings and eye-tracking data were evident across different spatial configurations of the same element category. Analyzing people’s preferences for specific types of elements within the five rural public space elements can facilitate more targeted improvements in the design and redevelopment of rural public spaces. By integrating subjective questionnaires and objective eye-tracking data, it becomes clear that individuals tend to favor traditional elements, such as newly constructed building main entrances with decorative facades, branch and house roads, artificial landscapes alongside natural forests, gathering spaces at road intersections, and stone bridges and stone monuments from the Qianlong era. Visual attention, as revealed by eye-tracking heatmaps, tends to focus on main building entrances with flower tile decorations and wide entryways, landscapes rich in greenery, easily readable text, and colorful landmarks within the space.
Previous studies have found that natural elements have a more positive impact on individuals [], while text within a space tends to attract visual attention more prominently []. The main entrance facade of buildings in public spaces is a focal point of visual preference for individuals []. Nolan et al. found that participants spent the most time on natural elements, such as trees [], while the eyes are attracted to colorful human-made objects []. Catharine Ward Thompson and Peter A. Aspinall, through their investigation of various types and activity levels of woodlands and green spaces, discovered that natural open spaces provide opportunities for peace, relaxation, and social activities. They found a causal relationship between the improvement in the quality and accessibility of natural environments and the level of their positive utilization []. The contribution of green spaces to the health and well-being of impoverished communities partly lies in enhancing the sense of place and reducing social isolation []. These findings align with the results of our study, indicating a strong correlation between eye-tracking and the composition and types of rural public spaces. This contributes to understanding individuals’ emotional perception toward rural public spaces.
In summary, the analysis of objective eye-tracking data can reflect individuals’ psychological changes toward different spaces. Integrating eye-tracking analysis with subjective evaluations provides valuable insights into participants’ perceptions and emotional experiences of different compositions and types of rural public spaces, offering valuable guidance for the design of rural public spaces.
6. Conclusions
This study focused on Huixingtou Village in Handan City, Hebei Province, China, as the research subject. By integrating subjective questionnaires and objective eye-tracking data, we conducted a quantitative analysis of people’s satisfaction with public space elements in the village. The findings suggest that eye-tracking technology serves as an effective measurement method for assessing people’s preferences for various public space elements. It provides quantitative assessment and empirical support for optimizing existing rural public spaces, leading to specific optimization strategies.
Significant differences were observed between the eye-tracking data and questionnaire data when participants viewed different elements of rural public spaces. Similarly, disparities existed between eye-tracking and questionnaire data when participants viewed different types of spaces with the same element. Prioritizing the elements of architecture, greenery, and landmarks can enhance the overall design of rural public spaces effectively, enhancing the overall experience. Architecture primarily reflects rural characteristics and aesthetics, greenery embodies livability, and landmarks convey a sense of belonging and cultural attributes to rural areas.
People tend to favor traditional elements, such as newly constructed building entrances, decorative facades, branch and house roads, artificial landscapes beside natural forests, gathering spaces at road intersections, and stone bridges and steles from the Qing Dynasty. Visual attention often focuses on buildings’ main entrances adorned with decorative tiles, landscapes rich in greenery, easily readable text, and colorful landmarks within the space.
Moreover, this research, focusing on five components of rural public spaces, may not encompass all possible public space types. Rural public spaces are organic wholes composed of these five components. Inevitably, there will be situations where each component overlaps and includes others. The five components proposed in this study were determined and divided based on the predominant content manifested in the space. Then, three types were classified according to the characteristics and differences in constituent elements of each component. This classification system, established after summarizing previous studies on urban and rural public spaces, may not encompass all types of rural public spaces. In future research, we will broaden the scope by conducting more in-depth theoretical studies and practical surveys to further refine the research framework and methods. During the process of capturing real scenes of the five components in villages, it is not always possible to avoid situations where constituent elements overlap. In future research, we could attempt to use 3D modeling software to create realistic models of the five components and their three types in rural public spaces. This approach would help to reduce overlapping elements and intersections, allowing for better control of variables. While the results obtained from 21 university students aged 20 to 35 from various backgrounds are meaningful, the sample size and scope have limitations. Subsequent research can expand the sample size and range to yield more profound results in eye-tracking data analysis and draw more universally applicable conclusions. Analyzing the differences in the evaluation of and preferences for rural public spaces among people of different ages and backgrounds will be explored. At the same time, we found that factors such as visual gaze fatigue can influence gaze results in the gaze heatmap. In subsequent research, we will incorporate pilot studies into the experimental design phase to detect and address issues such as fatigue, aiming to further improve our methods and experimental design and minimize the impact of factors such as fatigue on research results. In future studies, based on the findings and renovation strategies derived from this research, rural public spaces can be renewed and renovated. A comparative analysis of eye-tracking data and subjective questionnaire results before and after renovation can explore the differences, which will be a key focus in our future research.
Author Contributions
Conceptualization, H.R., F.Y. and J.Z.; methodology, H.R., F.Y., J.Z. and Q.W.; software, F.Y. and J.Z.; validation, H.R., J.Z. and Q.W.; formal analysis, F.Y. and J.Z.; investigation, F.Y. and Q.W.; resources, H.R.; data curation, J.Z. and Q.W.; writing—original draft preparation, H.R., F.Y. and J.Z.; writing—review and editing, H.R., F.Y., J.Z. and Q.W.; visualization, F.Y. and J.Z.; supervision, H.R. and Q.W.; project administration, H.R. and Q.W.; funding acquisition, H.R. All authors have read and agreed to the published version of the manuscript.
Funding
This research was supported by Basic Science Research Program through the National Research Foundation of Korea (NRF) funded by the Ministry of Education (RS-2023-00239818).
Institutional Review Board Statement
All of our eye-tracking experiments obtained unanimous consent from the participants and were approved by the Biomedical Ethics Committee of Hebei University of Engineering School of Medicine under the reference number BER-YXY-2023031.
Informed Consent Statement
Informed consent was obtained from all subjects involved in the study. Written informed consent has been obtained from the patients to publish this paper.
Data Availability Statement
The data presented in this study are available on request from the corresponding author. The data are not publicly available due to the large model files and large data volume.
Conflicts of Interest
The authors declare no conflict of interest.
References
- Xu, Y.; Li, S.; Juan, Y.-K.; Guo, H.; Lin, H. A Kano–IS Model for the Sustainable Renovation of Living Environments in Rural Settlements in China. Buildings 2022, 12, 1230. [Google Scholar] [CrossRef]
- Zhang, B.; Rujia, Z.; Yanbo, Q.; Rongfeng, Q.; Weimin, C.; Yunqing, W. Impacts of Mixed Use of Rural Residential Land on Rural Vitality: An Empirical Study of Shandong Province. J. Agric. Resour. Environ. 2022, 39, 1283. [Google Scholar]
- Zhou, B.; Qi, F.; Riaz, M.F.; Ali, T. An Analysis of the Factors behind Rural Residents’ Satisfaction with Residential Waste Management in Jiangxi, China. Int. J. Environ. Res. Public Health 2022, 19, 14220. [Google Scholar] [CrossRef] [PubMed]
- Wen, L.; Sima, L. Analysis of Outdoor Activity Space-Use Preferences in Rural Communities: An Example from Puxiu and Yuanyi Village in Shanghai. Land 2022, 11, 1273. [Google Scholar] [CrossRef]
- Micek, M.; Staszewska, S. Urban and Rural Public Spaces: Development Issues and Qualitative Assessment. Bull. Geogr. Socio-Econ. Ser. 2019, 45, 75–93. [Google Scholar] [CrossRef]
- Xie, C. Characteristics of Public Space Behavior and Demand of Rural Residents in Foshan. Proc. E3S Web Conf. 2021, 276, 02011. [Google Scholar] [CrossRef]
- Fan, Q.; Du, F.; Li, H.; Zhang, C. Thermal-Comfort Evaluation of and Plan for Public Space of Maling Village, Henan, China. PLoS ONE 2021, 16, e0256439. [Google Scholar] [CrossRef] [PubMed]
- Soszyński, D.; Sowińska-Świerkosz, B.; Kamiński, J.; Trzaskowska, E.; Gawryluk, A. Rural Public Places: Specificity and Importance for the Local Community (Case Study of Four Villages). Eur. Plan. Stud. 2022, 30, 311–335. [Google Scholar] [CrossRef]
- Ge, D.; Lu, Y. A Strategy of the Rural Governance for Territorial Spatial Planning in China. J. Geogr. Sci. 2021, 31, 1349–1364. [Google Scholar] [CrossRef]
- Zhang, J.; Wen, X.; Whang, M. Empathy Evaluation by the Physical Elements of the Advertising. Multimed Tools Appl. 2022, 81, 2241–2257. [Google Scholar] [CrossRef]
- Kalantari, S.; Tripathi, V.; Kan, J.; Rounds, J.D.; Mostafavi, A.; Snell, R.; Cruz-Garza, J.G. Evaluating the Impacts of Color, Graphics, and Architectural Features on Wayfinding in Healthcare Settings Using EEG Data and Virtual Response Testing. J. Environ. Psychol. 2022, 79, 101744. [Google Scholar] [CrossRef]
- Li, N.; Zhang, S.; Xia, L.; Wu, Y. Investigating the Visual Behavior Characteristics of Architectural Heritage Using Eye-Tracking. Buildings 2022, 12, 1058. [Google Scholar] [CrossRef]
- Higuera-Trujillo, J.L.; Llinares, C.; Macagno, E. The Cognitive-Emotional Design and Study of Architectural Space: A Scoping Review of Neuroarchitecture and Its Precursor Approaches. Sensors 2021, 21, 2193. [Google Scholar] [CrossRef] [PubMed]
- Amati, M.; Parmehr, E.G.; McCarthy, C.; Sita, J. How Eye-Catching Are Natural Features When Walking through a Park? Eye-Tracking Responses to Videos of Walks. Urban For. Urban Green. 2018, 31, 67–78. [Google Scholar] [CrossRef]
- Rahman, M.M.; Sarkar, A.K.; Hossain, M.A.; Hossain, M.S.; Islam, M.R.; Hossain, M.B.; Quinn, J.M.; Moni, M.A. Recognition of Human Emotions Using EEG Signals: A Review. Comput. Biol. Med. 2021, 136, 104696. [Google Scholar] [CrossRef] [PubMed]
- Kim, M.; Cheon, S.; Kang, Y. Use of Electroencephalography (EEG) for the Analysis of Emotional Perception and Fear to Nightscapes. Sustainability 2019, 11, 233. [Google Scholar] [CrossRef]
- Herman, K.; Ciechanowski, L.; Przegali Nska, A. Emotional Well-Being in Urban Wilderness: Assessing States of Calmness and Alertness in Informal Green Spaces (IGSs) with Muse—Portable EEG Headband. Sustainability 2021, 13, 2212. [Google Scholar] [CrossRef]
- Merdjanovska, E.; Rashkovska, A. Comprehensive Survey of Computational ECG Analysis: Databases, Methods and Applications. Expert Syst. Appl. 2022, 203, 117206. [Google Scholar] [CrossRef]
- Lanki, T.; Siponen, T.; Ojala, A.; Korpela, K.; Pennanen, A.; Tiittanen, P.; Tsunetsugu, Y.; Kagawa, T.; Tyrväinen, L. Acute Effects of Visits to Urban Green Environments on Cardiovascular Physiology in Women: A Field Experiment. Environ. Res. 2017, 159, 176–185. [Google Scholar] [CrossRef]
- Kabisch, N.; Püffel, C.; Masztalerz, O.; Hemmerling, J.; Kraemer, R. Physiological and Psychological Effects of Visits to Different Urban Green and Street Environments in Older People: A Field Experiment in a Dense Inner-City Area. Landsc. Urban Plan. 2021, 207, 103998. [Google Scholar] [CrossRef]
- Carter, B.T.; Luke, S.G. Best Practices in Eye Tracking Research. Int. J. Psychophysiol. 2020, 155, 49–62. [Google Scholar] [CrossRef] [PubMed]
- Liu, W.; Wang, X.; Liu, W.; He, Y.; Li, P. Visual Perception of Traditional Village Landscape: An Eye Tracking Experiment. SHS Web Conf. 2023, 171, 03035. [Google Scholar] [CrossRef]
- Półrolniczak, M.; Kolendowicz, L. The Effect of Seasonality and Weather Conditions on Human Perception of the Urban–Rural Transitional Landscape. Sci. Rep. 2023, 13, 15047. [Google Scholar] [CrossRef] [PubMed]
- Wang, D.; Wang, Y.; Li, G. The Research of the Rural Public Space Evolution and Characteristics Under the Function and Form Perspectives. Urban Plan. Int. 2013, 28, 57–63. [Google Scholar]
- Lang, W.; Chen, T.; Li, X. A New Style of Urbanization in China: Transformation of Urban Rural Communities. Habitat Int. 2016, 55, 1–9. [Google Scholar] [CrossRef]
- Deng, X.; Huang, J.; Rozelle, S.; Zhang, J.; Li, Z. Impact of Urbanization on Cultivated Land Changes in China. Land Use Policy 2015, 45, 1–7. [Google Scholar] [CrossRef]
- Gui-Fen, L. A Research on Public Space Planning of Rural Architecture Based on Villagers’ Perception: A Case Study of Xingjing Town, Xixia District, Yinchuan City, Ningxia Province. E3S Web Conf. 2021, 283, 02039. [Google Scholar] [CrossRef]
- Gu, Y.; Jiang, L. Changes of the Rural Social Relations under Spatial Perspective: A Case of L Villege in Zaozhuang of Shandong Province. Hum. Geogr. 2015, 4, 45–51. [Google Scholar]
- Zixuan, Y.; Chang, D. Research on the Construction Method of Rural Public Space in Northern Jiangsu Based on the Perspective of Cultural Anthropology. In Proceedings of the International Conference on Arts, Management, Education and Innovation (ICAMEI 2019), Seoul, Republic of Korea, 12–14 January 2019. [Google Scholar]
- Kašpar, J. Problems of Contemporary Rebuilding of RURAL Public Area (Urban-Architectural Analysis as a Necessary Basis for the Next Development); Czech Technical University: Prague, Czech Republic, 2013. [Google Scholar]
- Ye, C.; Ma, X.; Gao, Y.; Johnson, L. The Lost Countryside: Spatial Production of Rural Culture in Tangwan Village in Shanghai. Habitat Int. 2020, 98, 102137. [Google Scholar] [CrossRef]
- Chen, G.; Sun, X.; Yu, W.; Wang, H. Analysis Model of the Relationship between Public Spatial Forms in Traditional Villages and Scenic Beauty Preference Based on LiDAR Point Cloud Data. Land 2022, 11, 1133. [Google Scholar] [CrossRef]
- Bo, L. Cultural Inheritance and Rural Construction. Ph.D. Thesis, University of Pécs, Pécs, Hungary, 2018. [Google Scholar]
- Song, M.; Wang, S. Applied Research on Public Art in the Construction of New Countryside. In Proceedings of the 4th International Social Sciences and Education Conference (ISSEC 2019), Xiamen, China, 27–28 June 2019. [Google Scholar]
- Comier, A.; Parcell, S.; Macy, C.; Bonnemaison, S. Rural Memory and Rural Development. Master’s Thesis, Dalhousie University, Halifax, Canada, 2019. [Google Scholar]
- Jiao, J.; Li, J. Research on the Design Method of Rural Public Space Based on Aesthetic Interaction Concept. Adv. Educ. Humanit. Soc. Sci. Res. 2023, 5, 30. [Google Scholar] [CrossRef]
- Li, L.; Lantao, W. Research on Rural Public Space Reconstruction for the Aged from the Perspective of Community Endowment—Taking Jinqiao Village in Fengyang as an Example. In Proceedings of the 5th International Conference on Minerals Source, Geotechnology and Civil Engineering, Guiyang, China, 17–19 April 2020; IOP Conference Series: Earth and Environmental Science. IOP Publishing: Bristol, UK, 2020; Volume 525, p. 012076. [Google Scholar]
- Zhang, T.; Yin, B. Research on the Cultural Integration Design of Ancestral Halls in Rural Public SpaceBased on the Revitalization of Rural Culture—A Case Study of Wuzhang Village, Chongren County, Jiangxi Province. Learn. Educ. 2020, 9, 80–81. [Google Scholar] [CrossRef]
- Shen, L.; Zhang, Y.; Yao, M.; Lan, S. Study on Landscape Performance Evaluation of Rural Microlandscapes in Southeast China. Res. Sq. 2022. [Google Scholar] [CrossRef]
- Thompson, C.W.; Roe, J.; Aspinall, P.; Mitchell, R.; Clow, A.; Miller, D. More Green Space Is Linked to Less Stress in Deprived Communities: Evidence from Salivary Cortisol Patterns. Landsc. Urban Plan. 2012, 105, 221–229. [Google Scholar] [CrossRef]
- Roe, J.; Ward Thompson, C. The “green Edge” in Urban Streets: The Impact of Urban Gardens and Street Trees on People’s Health and Well-Being. In The Powerful Garden; Dewaelheyns, V., Bomans, K., Gulinck, H., Eds.; Garant Publishers: Chicago, IL, USA, 2011; pp. 199–222. ISBN 978-90-441-2733-1. [Google Scholar]
- Roe, J.; Aspinall, P.; Mavros, P.; Coyne, R. Engaging the Brain: The Impact of Natural versus Urban Scenes Using Novel EEG Methods in an Experimental Setting. J. Environ. Sci. 2013, 1, 93–104. [Google Scholar] [CrossRef]
- Punde, P.A.; Jadhav, M.E.; Manza, R.R. A Study of Eye Tracking Technology and Its Applications. In Proceedings of the 2017 1st International Conference on Intelligent Systems and Information Management (ICISIM), Aurangabad, India, 5–6 October 2017; IEEE: Piscataway, NJ, USA, 2017; pp. 86–90. [Google Scholar]
- Poole, A.; Ball, L.J. Eye Tracking in HCI and Usability Research. In Encyclopedia of Human Computer Interaction; IGI Global: Hershey, PA, USA, 2006; pp. 211–219. [Google Scholar]
- Su, T.; Wang, K.; Li, S.; Wang, X.; Li, H.; Ding, H.; Chen, Y.; Liu, C.; Liu, M.; Zhang, Y. Analysis and Optimization of Landscape Preference Characteristics of Rural Public Space Based on Eye-Tracking Technology: The Case of Huangshandian Village, China. Sustainability 2022, 15, 212. [Google Scholar] [CrossRef]
- Zhou, X.; Cen, Q.; Qiu, H. Effects of Urban Waterfront Park Landscape Elements on Visual Behavior and Public Preference: Evidence from Eye-Tracking Experiments. Urban For. Urban Green. 2023, 82, 127889. [Google Scholar] [CrossRef]
- Lynch, K. The Image of the City; MIT Press: Cambridge, MA, USA, 1964. [Google Scholar]
- Bergstrom, J.R.; Duda, S.; Hawkins, D.; McGill, M. Physiological Response Measurements. In Eye Tracking in User Experience Design; Elsevier: Amsterdam, The Netherlands, 2014; pp. 81–108. [Google Scholar]
- Trappenberg, T.P.; Dorris, M.C.; Munoz, D.P.; Klein, R.M. A Model of Saccade Initiation Based on the Competitive Integration of Exogenous and Endogenous Signals in the Superior Colliculus. J. Cogn. Neurosci. 2001, 13, 256–271. [Google Scholar] [CrossRef] [PubMed]
- DePaulo, B.M.; Friedman, H.S. Nonverbal Communication. In The Handbook of Social Psychology; McGraw-Hill: New York, NY, USA, 1998. [Google Scholar]
- Zhang, J.; Park, S.; Cho, A.; Whang, M. Significant Measures of Gaze and Pupil Movement for Evaluating Empathy between Viewers and Digital Content. Sensors 2022, 22, 1700. [Google Scholar] [CrossRef]
- Lavine, R.A.; Sibert, J.L.; Gokturk, M.; Dickens, B. Eye-Tracking Measures and Human Performance in a Vigilance Task. Aviat. Space Environ. Med. 2002, 73, 367–372. [Google Scholar]
- Saito, S. Does Fatigue Exist in a Quantitative Measurement of Eye Movements? Ergonomics 1992, 35, 607–615. [Google Scholar] [CrossRef] [PubMed]
- Galley, N.; Andres, G. Saccadic Eye Movements and Blinks during Long-Term Driving on the Autobahn with Minimal Alcohol Ingestion. Vis. Veh. 1996, 5, 381–388. [Google Scholar]
- Schleicher, R.; Galley, N.; Briest, S.; Galley, L. Blinks and Saccades as Indicators of Fatigue in Sleepiness Warnings: Looking Tired? Ergonomics 2008, 51, 982–1010. [Google Scholar] [CrossRef] [PubMed]
- Li, Z.; Sun, X.; Zhao, S.; Zuo, H. Integrating Eye-Movement Analysis and the Semantic Differential Method to Analyze the Visual Effect of a Traditional Commercial Block in Hefei, China. Front. Archit. Res. 2021, 10, 317–331. [Google Scholar] [CrossRef]
- Wang, R.; Zhao, J.; Meitner, M.J.; Hu, Y.; Xu, X. Characteristics of Urban Green Spaces in Relation to Aesthetic Preference and Stress Recovery. Urban For. Urban Green. 2019, 41, 6–13. [Google Scholar] [CrossRef]
- Franěk, M.; Šefara, D.; Petružálek, J.; Cabal, J.; Myška, K. Differences in Eye Movements While Viewing Images with Various Levels of Restorativeness. J. Environ. Psychol. 2018, 57, 10–16. [Google Scholar] [CrossRef]
- Noland, R.B.; Weiner, M.D.; Gao, D.; Cook, M.P.; Nelessen, A. Eye-Tracking Technology, Visual Preference Surveys, and Urban Design: Preliminary Evidence of an Effective Methodology. J. Urban. Int. Res. Placemaking Urban Sustain. 2017, 10, 98–110. [Google Scholar] [CrossRef]
- Ward Thompson, C.; Aspinall, P.A. Natural Environments and Their Impact on Activity, Health, and Quality of Life. Appl. Psychol. Health Well-Being 2011, 3, 230–260. [Google Scholar] [CrossRef]
- Ward Thompson, C.; Aspinall, P.; Roe, J.; Robertson, L.; Miller, D. Mitigating Stress and Supporting Health in Deprived Urban Communities: The Importance of Green Space and the Social Environment. Int. J. Environ. Res. Public Health 2016, 13, 440. [Google Scholar] [CrossRef]
Disclaimer/Publisher’s Note: The statements, opinions and data contained in all publications are solely those of the individual author(s) and contributor(s) and not of MDPI and/or the editor(s). MDPI and/or the editor(s) disclaim responsibility for any injury to people or property resulting from any ideas, methods, instructions or products referred to in the content. |
© 2024 by the authors. Licensee MDPI, Basel, Switzerland. This article is an open access article distributed under the terms and conditions of the Creative Commons Attribution (CC BY) license (https://creativecommons.org/licenses/by/4.0/).














