Tracking Modal Parameters of Structures Online Using Recursive Stochastic Subspace Identification under Ambient Excitations
Abstract
1. Introduction
2. Recursive Formulation
2.1. Stochastic Subspace Identification (SSI)
2.2. Recursive Stochastic Subspace Identification (RSSI)
3. Study of Numerical Simulation
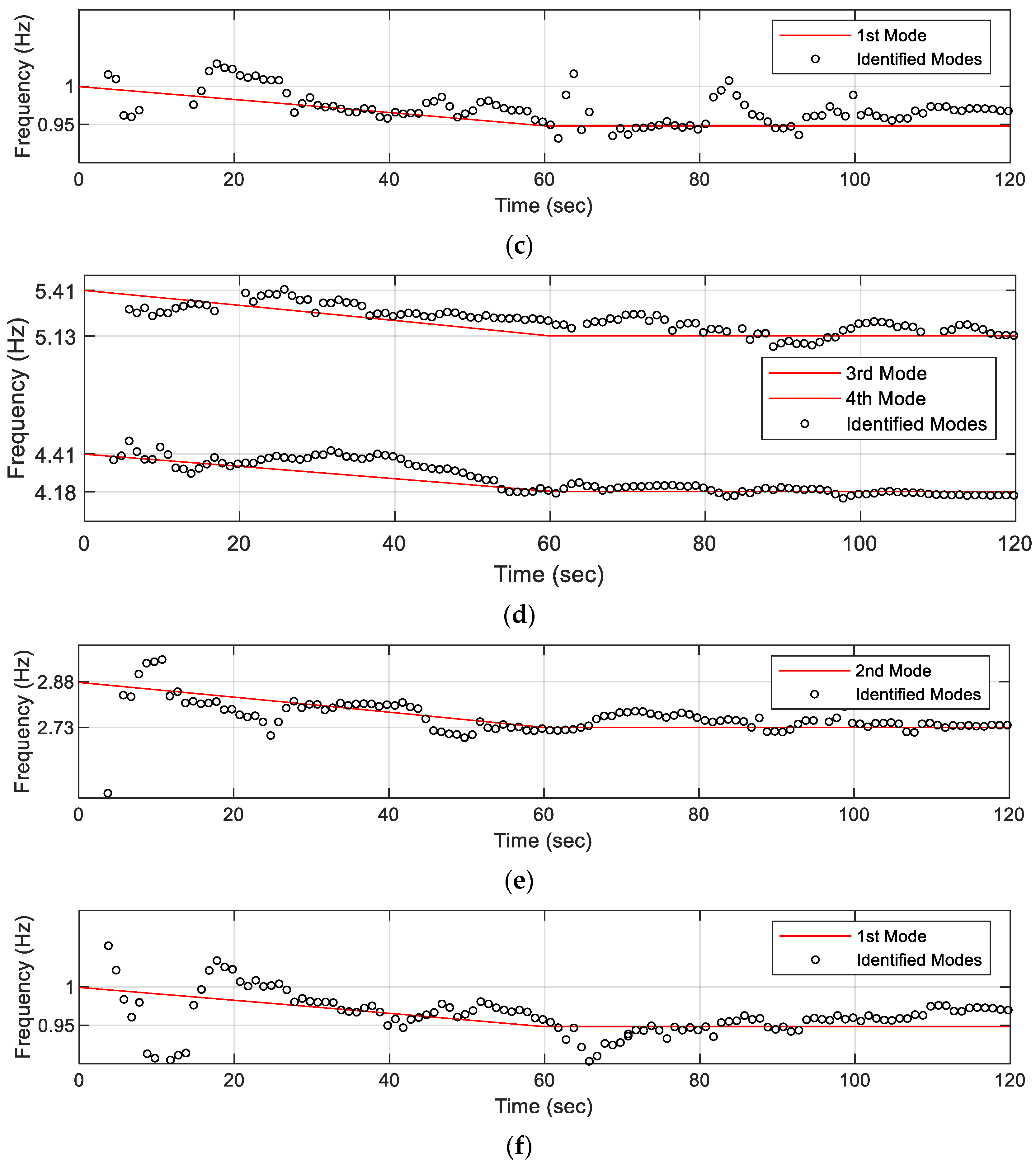
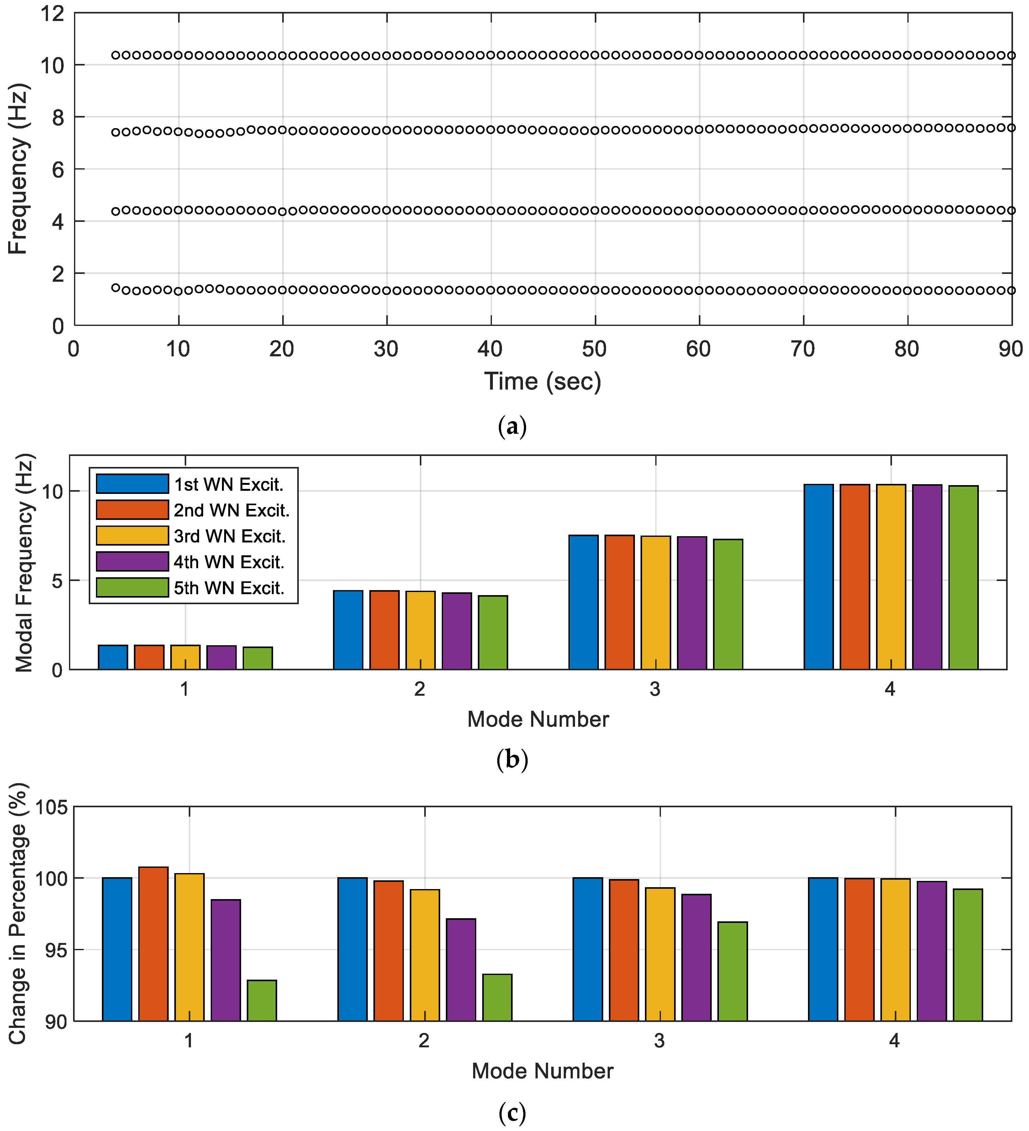
3.1. Tracking Results for Constant Stiffness
3.2. Tracking Results for Varied Stiffness
3.3. Study of Real-Time Implementation
- Intel(R) Core(TM) i5-13600KF
- 64.0 GB RAM
4. Study of Experiment Verification
4.1. Experiment of Steel Frame
4.2. Experiment of Concrete Frame
5. Conclusions
Author Contributions
Funding
Data Availability Statement
Acknowledgments
Conflicts of Interest
References
- Peeters, B.; De Roeck, G. Stochastic system identification for operational modal analysis: A review. J. Dyn. Syst. Meas. Control 2001, 123, 659–667. [Google Scholar] [CrossRef]
- Huang, S.K.; Chi, F.C.; Weng, Y.T. Practical Implementation of Recursive Subspace Identification on Seismically Excited Structures with Fixed Window. Appl. Sci. 2022, 12, 10841. [Google Scholar] [CrossRef]
- Huang, S.K.; Chi, F.C. Development of Recursive Subspace Identification for Real-Time Structural Health Monitoring under Seismic Loading. Struct. Control. Health Monit. 2023, 2023, 1117042. [Google Scholar] [CrossRef]
- Cho, K.; Cho, J.R. Stochastic Subspace Identification-Based Automated Operational Modal Analysis Considering Modal Uncertainty. Appl. Sci. 2023, 13, 12274. [Google Scholar] [CrossRef]
- Zhang, P.; He, Z.; Cui, C.; Ren, L.; Yao, R. Operational modal analysis of offshore wind turbine tower under ambient excitation. J. Mar. Sci. Eng. 2022, 10, 1963. [Google Scholar] [CrossRef]
- Li, H.; Bu, S.; Wen, J.R.; Fei, C.W. Synthetical modal parameters identification method of damped oscillation signals in power system. Appl. Sci. 2022, 12, 4668. [Google Scholar] [CrossRef]
- Van Overschee, P.; De Moor, B. Subspace Identification for Linear Systems: Theory—Implementation—Applications; Springer Science & Business Media: Berlin, Germany, 2012. [Google Scholar]
- Peeters, B.; De Roeck, G. Reference-based stochastic subspace identification for output-only modal analysis. Mech. Syst. Signal Process. 1999, 13, 855–878. [Google Scholar] [CrossRef]
- Peeters, B. System Identification and Damage Detection in Civil Engineering. Doctoral Dissertation, Katholieke Universiteit, Leuven, Belgium, 2000. [Google Scholar]
- Weng, J.H.; Loh, C.H.; Lynch, J.P.; Lu, K.C.; Lin, P.Y.; Wang, Y. Output-only modal identification of a cable-stayed bridge using wireless monitoring systems. Eng. Struct. 2008, 30, 1820–1830. [Google Scholar] [CrossRef]
- Yu, D.J.; Ren, W.X. EMD-based stochastic subspace identification of structures from operational vibration measurements. Eng. Struct. 2005, 27, 1741–1751. [Google Scholar] [CrossRef]
- Magalhães, F.; Caetano, E.; Cunha, Á. Challenges in the application of stochastic modal identification methods to a cable-stayed bridge. J. Bridge Eng. 2007, 12, 746–754. [Google Scholar] [CrossRef]
- Boonyapinyo, V.; Janesupasaeree, T. Data-driven stochastic subspace identification of flutter derivatives of bridge decks. J. Wind Eng. Ind. Aerodyn. 2010, 98, 784–799. [Google Scholar] [CrossRef]
- Akaike, H. Markovian representation of stochastic processes by canonical variables. SIAM J. Control 1975, 13, 162–173. [Google Scholar] [CrossRef]
- Faurre, P.L. Stochastic realization algorithms. In Mathematics in Science and Engineering; Elsevier: Amsterdam, The Netherlands, 1976; Volume 126, pp. 1–25. [Google Scholar]
- Verhaegen, M. Identification of the deterministic part of MIMO state space models given in innovations form from input-output data. Automatica 1994, 30, 61–74. [Google Scholar] [CrossRef]
- Lee, K.J.; Yun, C.B. Parameter identification for nonlinear behavior of RC bridge piers using sequential modified extended Kalman filter. Smart Struct. Syst. Int. J. 2008, 4, 319–342. [Google Scholar] [CrossRef]
- Li, H.; Li, S.; Ou, J.; Li, H. Modal identification of bridges under varying environmental conditions: Temperature and wind effects. Struct. Control Health Monit. 2010, 17, 495–512. [Google Scholar] [CrossRef]
- Herak, M.; Herak, D. Continuous monitoring of dynamic parameters of the DGFSM building (Zagreb, Croatia). Bull. Earthq. Eng. 2010, 8, 657–669. [Google Scholar] [CrossRef]
- Li, Z.; Chang, C.C. Tracking of structural dynamic characteristics using recursive stochastic subspace identification and instrumental variable technique. J. Eng. Mech. 2012, 138, 591–600. [Google Scholar] [CrossRef]
- Loh, C.H.; Chen, M.C. Modeling of environmental effects for vibration-based shm using recursive stochastic subspace identification analysis. Key Eng. Mater. 2013, 558, 52–64. [Google Scholar] [CrossRef]
- Mercère, G.; Lecoeuche, S.; Lovera, M. Recursive subspace identification based on instrumental variable unconstrained quadratic optimization. Int. J. Adapt. Control. Signal Process. 2004, 18, 771–797. [Google Scholar] [CrossRef]
- Chang, C.C.; Li, Z. Recursive stochastic subspace identification for structural parameter estimation. In Sensors and Smart Structures Technologies for Civil, Mechanical, and Aerospace Systems 2009; SPIE: Paris, France, 2009; Volume 7292, pp. 1056–1064. [Google Scholar]
- Loh, C.H.; Weng, J.H.; Liu, Y.C.; Lin, P.Y.; Huang, S.K. Structural damage diagnosis based on on-line recursive stochastic subspace identification. Smart Mater. Struct. 2011, 20, 055004. [Google Scholar] [CrossRef]
- Wu, H.; Huang, Y. Modal Parameter Identification of Recursive Stochastic Subspace Method. Symmetry 2023, 15, 1243. [Google Scholar] [CrossRef]
- Oku, H.; Kimura, H. Recursive 4SID algorithms using gradient type subspace tracking. Automatica 2002, 38, 1035–1043. [Google Scholar] [CrossRef]
- Goethals, I.; Mevel, L.; Benveniste, A.; De Moor, B. Recursive output-only subspace identification for in-flight flutter monitoring. In Proceedings of the 22nd International Modal Analysis Conference (IMACXXII), Dearborn, MI, USA, 26–29 January 2004; Volume 7. [Google Scholar]
- De Cock, K.; Mercere, G.; De Moor, B. Recursive subspace identification for in flight modal analysis of airplanes. In Proceedings of the International Conference on Noise and Vibration Engineering, ISMA 2006, Heverlee, Belgium, 18–20 September 2006. [Google Scholar]
- Wu, W.H.; Jhou, J.W.; Chen, C.C.; Lai, G. A novel recursive stochastic subspace identification algorithm with its application in long-term structural health monitoring of office buildings. Smart Struct. Syst. Int. J. 2019, 24, 459–474. [Google Scholar]
- Juang, J.N. Applied System Identification; Prentice-Hall, Inc.: Hoboken, NJ, USA, 1994. [Google Scholar]
- Moor, B.D.; Overschee, P.V.; Favoreel, W. Algorithms for subspace state-space system identification: An overview. Appl. Comput. Control. Signals Circuits 1999, 1, 247–311. [Google Scholar]
- Qin, S.J. An overview of subspace identification. Comput. Chem. Eng. 2006, 30, 1502–1513. [Google Scholar] [CrossRef]
- Peeters, B.; De Roeck, G.; Pollet, T.; Schueremans, L. Stochastic subspace techniques applied to parameter identification of civil engineering structures. In Proceedings of the New Advances in Modal Synthesis of Large Structures: Nonlinear, Damped and Nondeterministic Cases, Lyon, France, 5–6 October 1995; pp. 151–162. [Google Scholar]
- Peeters, B.; De Roeck, G. Reference based stochastic subspace identification in civil engineering. Inverse Probl. Eng. 2000, 8, 47–74. [Google Scholar] [CrossRef]
- Huang, S.K.; Chen, J.D.; Loh, K.J.; Loh, C.H. Discussion of user-defined parameters for recursive subspace identification: Application to seismic response of building structures. Earthq. Eng. Struct. Dyn. 2020, 49, 1738–1757. [Google Scholar] [CrossRef]
- Hager, W.W. Updating the inverse of a matrix. SIAM Rev. 2020, 31, 221–239. [Google Scholar] [CrossRef]
- Loh, C.H.; Chen, J.D. Tracking modal parameters from building seismic response data using recursive subspace identification algorithm. Earthq. Eng. Struct. Dyn. 2017, 46, 2163–2183. [Google Scholar] [CrossRef]
- Chen, J.D.; Loh, C.H. Two-stage damage detection algorithms of structure using modal parameters identified from recursive subspace identification. Earthq. Eng. Struct. Dyn. 2018, 47, 573–593. [Google Scholar] [CrossRef]
- Pappa, R.S. Eigensystem Realization Algorithm User’s Guide forVAX/VMS Computers: Version 931216 (No. NASA-TM-109066); NASA: Washington, DC, USA, 1994. [Google Scholar]
- Döhler, M. Subspace-Based System Identification and Fault Detection: Algorithms for Large Systems and Application to Structural Vibration Analysis. Doctoral Dissertation, Université Rennes 1, Rennes, France, 2011. [Google Scholar]
- Liu, Y.C.; Loh, C.H.; Ni, Y.Q. Stochastic subspace identification for output-only modal analysis: Application to super high-rise tower under abnormal loading condition. Earthq. Eng. Struct. Dyn. 2013, 42, 477–498. [Google Scholar] [CrossRef]
- Nord, T.S.; Petersen, Ø.W.; Hendrikse, H. Stochastic subspace identification of modal parameters during ice–structure interaction. Philos. Trans. R. Soc. A 2019, 377, 20190030. [Google Scholar] [CrossRef] [PubMed]
- The Math Works, Inc. MATLAB, Version 2022b; The Math Works, Inc.: Natick, MA, USA, 2020. Computer Software. Available online: www.mathworks.com/ (accessed on 25 March 2024).
- Wong, K.Y. Instrumentation and health monitoring of cable-supported bridges. Struct. Control Health Monit. 2004, 11, 91–124. [Google Scholar] [CrossRef]
- Ni, Y.Q.; Xia, Y.; Liao, W.Y.; Ko, J.M. Technology innovation in developing the structural health monitoring system for Guangzhou New TV Tower. Struct. Control Health Monit. 2009, 16, 73–98. [Google Scholar] [CrossRef]
- Giles, R.K. Development of a Long-Term, Multimetric Structural Health Monitoring System for a Historic Steel Truss Swing Bridge; University of Illinois at Urbana-Champaign: Champaign, IL, USA, 2013. [Google Scholar]
- Tosauchi, Y.; Sato, E.; Fukuyama, K.; Inoue, T.; Kajiwara, K.; Shiohara, H.; Kabeyasawa, T.; Nagae, T.; Fukuyama, H.; Kabeyasawa, T.; et al. 2015 Three-dimensional Shaking Table Test of a 10-story Reinforced Concrete Building on the E-Defense. In Proceedings of the 16th World Conference on Earthquake, Santiago, Chile, 9–13 January 2017. [Google Scholar]
















| Mode Number | 1st | 2nd | 3rd | 4th |
|---|---|---|---|---|
| Frequency (Hz) | 1.00 | 2.88 | 4.41 | 5.41 |
| Damping Ration (%) | 2 | 2.2 | 2.4 | 2.6 |
| Measurement | 1st, 2nd, 3rd, and 4th Floor for 120 s | ||||
|---|---|---|---|---|---|
| Sampling Rate (Hz) | 200 | 100 | 50 | 40 | 20 |
| Row Number (i) | 200 | 100 | 50 | 40 | 20 |
| MAC Criterion (CMAC) | 0.95 | ||||
| Forgetting Factor (λ) | 0.998 | ||||
| Total Computation Time (seconds) | 1443.98 | 159.49 | 21.87 | 13.77 | 4.45 |
| Averaged Computation Time for each step (ms) | 61.70 | 13.63 | 3.74 | 2.94 | 1.90 |
| Sampling Interval (ms) | 5 | 10 | 20 | 25 | 50 |
| Measurement | 1st, 2nd, 3rd, and 4th Floor for 120 s | ||||
|---|---|---|---|---|---|
| Sampling Rate (Hz) | 200 | 100 | 50 | 40 | 20 |
| Row Number (i) | 200 | 100 | 50 | 40 | 20 |
| MAC Criterion (CMAC) | 0.95 | ||||
| Forgetting Factor (λ) | 0.998 | ||||
| Total Computation Time (seconds) | 719.95 | 106.19 | 18.57 | 11.93 | 4.04 |
| Averaged Computation Time for each step (ms) | 30.76 | 9.07 | 3.17 | 2.55 | 1.72 |
| Sampling Interval (ms) | 5 | 10 | 20 | 25 | 50 |
| Method | Moving Window SSI-Data | Moving Window SSI-Cov | Moving Window SSI-MOESP | RSSI-Data | RSSI-Cov |
|---|---|---|---|---|---|
| Sampling Rate (Hz) | 50 | ||||
| Row Number (i) | 50 | ||||
| Column Number (j) | 1000 | 1000 | 1000 | 50 | 50 |
| MAC Criterion (CMAC) | 0.95 | ||||
| Forgetting Factor (λ) | N/A | N/A | N/A | 0.998 | 0.998 |
| Total Computation Time (seconds) | 48.65 | 33.84 | 52.03 | 21.87 | 18.57 |
| Averaged Computation Time for each step (ms) | 9.92 | 6.09 | 10.63 | 3.74 | 3.17 |
Disclaimer/Publisher’s Note: The statements, opinions and data contained in all publications are solely those of the individual author(s) and contributor(s) and not of MDPI and/or the editor(s). MDPI and/or the editor(s) disclaim responsibility for any injury to people or property resulting from any ideas, methods, instructions or products referred to in the content. |
© 2024 by the authors. Licensee MDPI, Basel, Switzerland. This article is an open access article distributed under the terms and conditions of the Creative Commons Attribution (CC BY) license (https://creativecommons.org/licenses/by/4.0/).
Share and Cite
Huang, S.-K.; Chen, J.-Q.; Weng, Y.-T.; Kang, J.-D. Tracking Modal Parameters of Structures Online Using Recursive Stochastic Subspace Identification under Ambient Excitations. Buildings 2024, 14, 964. https://doi.org/10.3390/buildings14040964
Huang S-K, Chen J-Q, Weng Y-T, Kang J-D. Tracking Modal Parameters of Structures Online Using Recursive Stochastic Subspace Identification under Ambient Excitations. Buildings. 2024; 14(4):964. https://doi.org/10.3390/buildings14040964
Chicago/Turabian StyleHuang, Shieh-Kung, Jin-Quan Chen, Yuan-Tao Weng, and Jae-Do Kang. 2024. "Tracking Modal Parameters of Structures Online Using Recursive Stochastic Subspace Identification under Ambient Excitations" Buildings 14, no. 4: 964. https://doi.org/10.3390/buildings14040964
APA StyleHuang, S.-K., Chen, J.-Q., Weng, Y.-T., & Kang, J.-D. (2024). Tracking Modal Parameters of Structures Online Using Recursive Stochastic Subspace Identification under Ambient Excitations. Buildings, 14(4), 964. https://doi.org/10.3390/buildings14040964

