Study on Temperature Control and Cracking Risk of Mass Concrete Sidewalls with a Cooling-Pipe System
Abstract
1. Introduction
2. Early-Age-Sidewall Temperature and Strain Tests
2.1. Engineering Situations
2.2. Experimental Description
2.3. Results
2.3.1. Crack Distribution of the Early-Age Sidewall
2.3.2. Evolution of Temperature and Strain
3. Numerical Model of the Early-Age Sidewall
3.1. Chemo-Thermo-Hygro-Mechanical Coupling Model
3.1.1. Cement Hydration
3.1.2. Governing Equation for Temperature Evolution
3.1.3. Governing Equation for Moisture Transport
3.1.4. Deformations of Early-Age Concrete
3.2. Finite Element Model
3.2.1. Geometric Model and Element Discretization
3.2.2. Initial Value and Boundary Conditions
3.2.3. Model Parameters
3.3. Numerical-Simulation Results
3.3.1. Model Verification
3.3.2. Temperature Field and Humidity Field
3.3.3. Stress Field
4. Effect of the Cooling Pipe Parameters and Ambient Temperature
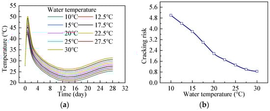
4.1. Water Temperature
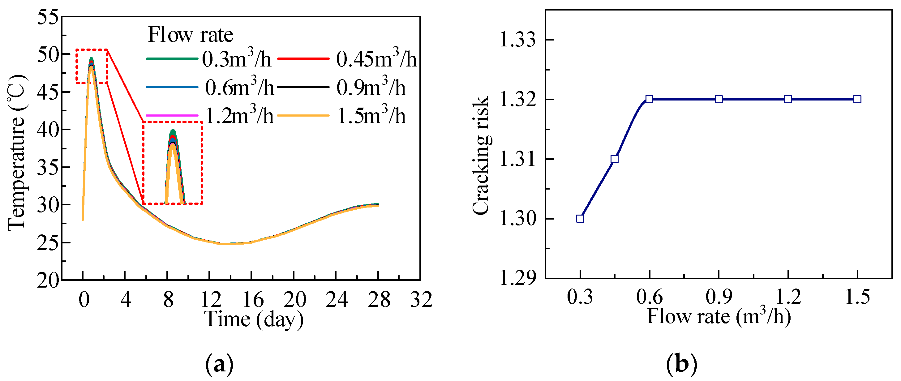
4.2. Flow Rate
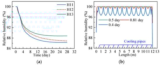
4.3. Cooling Pipe Spacing Distance
4.4. Ambient Temperature
5. Discussion
6. Conclusions
- The early-age sidewall’s cracks appear in the first two weeks after concrete pouring. The cracks extend upward from the bottom construction joints. Most of the cracks are vertical, and a few oblique cracks are located near the corner of the wall.
- There is a tensile stress around the cooling pipe that gradually decreases along the flow direction and reaches its maximum around the inlet.
- As the temperature of the water drops from 30 to 10 °C, the temperature peak and cooling rate of the sidewall decrease by 15.94% and 24.44%, respectively, and the cracking risk around the inlet increases by 488%. When the flow rate is between 0.3 m3/h and 1.5 m3/h, the temperature peak and cooling rate of the sidewall decrease by 2.42% and 4.39%, respectively, and the cracking risk around the inlet increases by 1.54%. Notably, when the water flow rate exceeds 0.6 m3/h, increasing the flow rate does not significantly improve the cooling efficiency of the cooling pipe. Compared with a spacing distance of 100 cm, when the spacing distance is 40 cm, the temperature peak, cooling rate, and cracking risk around the inlet decrease by 24.69%, 59.14%, and 35.61%, respectively.
- In a high-temperature environment, the cracking risk in the region adjacent to the cooling pipe will increase significantly.
- During the sidewall construction, reducing the distance between cooling pipes and strictly controlling the water temperature are effective methods to reduce the temperature peak of the early-age sidewall while avoiding a large temperature gradient in the area adjacent to the cooling pipe. In addition, in a high-temperature environment, the water temperature of cooling pipes should not be too high.
Author Contributions
Funding
Data Availability Statement
Conflicts of Interest
References
- Li, X.; Yu, Z.; Chen, K.; Deng, C.; Yu, F. Investigation of temperature development and cracking control strategies of mass concrete: A field monitoring case study. Case Stud. Constr. Mater. 2023, 18, e02144. [Google Scholar] [CrossRef]
- Klemczak, B. Analytical method for predicting early age thermal effects in thick foundation slabs. Materials 2019, 12, 3689. [Google Scholar] [CrossRef]
- Liu, L.; Huang, D.; Wang, Z.; Xin, J.; Liu, Y. Estimation of thermal stresses in the field test under the restraint method. Constr. Build. Mater. 2019, 229, 116890. [Google Scholar] [CrossRef]
- Gottsäter, E.; Johansson, M.; Plos, M.; Larsson Ivanov, O. Crack widths in base restrained walls subjected to restraint loading. Eng. Struct. 2019, 189, 272–285. [Google Scholar] [CrossRef]
- Soloviev, V.; Matiushin, E. The effects of corrugated steel fiber on the properties of ultra-high performance concrete of different strength levels. Buildings 2023, 13, 2591. [Google Scholar] [CrossRef]
- Liu, M.; Dai, W.; Zhong, C.; Yang, X. Study on mechanical properties and microstructure of basalt fiber reactive powder concrete. Buildings 2022, 12, 1734. [Google Scholar] [CrossRef]
- Li, M.; Xu, W.; Wang, Y.; Tian, Q.; Liu, J. Shrinkage crack inhibiting of cast in situ tunnel concrete by double regulation on temperature and deformation of concrete at early age. Constr. Build. Mater. 2020, 240, 117834. [Google Scholar] [CrossRef]
- Luo, M.; Bai, J.; Jing, K.; Ding, Z.; Yang, D.; Qian, C. Self-healing of early-age cracks in cement mortars with artificial functional aggregates. Constr. Build. Mater. 2021, 272, 121846. [Google Scholar] [CrossRef]
- Du, Y.; Wang, S.; Hao, W.; Shi, F.; Wang, H.; Xu, F.; Du, T. Investigations of the mechanical properties and durability of reactive powder concrete containing waste fly ash. Buildings 2022, 12, 560. [Google Scholar] [CrossRef]
- Zhou, Z.; Zhang, B.; Wang, M.; Wang, W. Early-age performance of graphene-nanoplatelet-modified high-strength concrete cured by electric thermal curing in severe cold regions. Buildings 2022, 12, 86. [Google Scholar] [CrossRef]
- Xu, W.; Qiang, S.; Hu, Z.; Ding, B.; Yang, B. Effect of hydration heat inhibitor on thermal stress of hydraulic structures with different thicknesses. Adv. Civ. Eng. 2020, 2020, 5029865. [Google Scholar] [CrossRef]
- ACI 116R-00; Cement and Concrete Terminology. American Concrete Institute: Farmington Hills, MI, USA, 2000.
- Cai, Y.; Wang, F.; Zhao, Z.; Lyu, Z.; Wang, Y.; Zou, P. Early-hydration heat and influencing factor analysis of large-volume concrete box girder based on equivalent age. Structures 2023, 50, 1699–1713. [Google Scholar] [CrossRef]
- Zhang, Y.; Wang, S.; He, S.; Hao, X. Analysis of factors influencing the temperature field variation in mass concrete during hydration heat release. Case Stud. Constr. Mater. 2023, 52, 103737. [Google Scholar] [CrossRef]
- Zhang, L.; Qian, X.; Lai, J.; Qian, K.; Fang, M. Effect of different wind speeds and sealed curing time on early-age shrinkage of cement paste. Constr. Build. Mater. 2020, 255, 119366. [Google Scholar] [CrossRef]
- Deng, Z.; Huang, M.; Wan, N.; Zhang, J. The current development of structural health monitoring for bridges: A review. Buildings 2023, 13, 1360. [Google Scholar] [CrossRef]
- Yang, J.; Fan, J.; Kong, B.; Cai, C.; Chen, K. Theory and application of new automated concrete curing system. J. Build. Eng. 2018, 17, 125–134. [Google Scholar] [CrossRef]
- Aniskin, N.A.; Nguyen, T.C. Predictive model of temperature regimes of a concrete gravity dam during construction: Reducing cracking risks. Buildings 2023, 13, 1954. [Google Scholar] [CrossRef]
- Huang, M.; Zhang, J.; Hu, J.; Ye, Z.; Deng, Z.; Wan, N. Nonlinear modeling of temperature-induced bearing displacement of long-span single-pier rigid frame bridge based on DCNN-LSTM. Case Stud. Therm. Eng. 2024, 53, 103897. [Google Scholar] [CrossRef]
- Chiniforush, A.A.; Gharehchaei, M.; Akbar Nezhad, A.; Castel, A.; Moghaddam, F.; Keyte, L.; Hocking, D.; Foster, S. Numerical simulation of risk mitigation strategies for early-age thermal cracking and def in concrete. Constr. Build. Mater. 2022, 322, 126478. [Google Scholar] [CrossRef]
- Zuo, Z.; Hu, Y.; Li, Q.; Zhang, L. Data mining of the thermal performance of cool-pipes in massive concrete via in situ monitoring. Math. Probl. Eng. 2014, 2014, 985659. [Google Scholar]
- Wang, J.; Gui, J.; Liu, J.; Chen, J.; Zuo, Y. Measurement and analysis of hydration heat in mass concrete pipe cap of sea-crossing bridge. Bridge Constr. 2020, 50, 25–31. (In Chinese) [Google Scholar]
- Chen, K.; Yu, Q.; Guo, L.; Weng, Z. Artificial cooling of cast-in-place piles in permafrost regions. China J. Highw. Transp. 2020, 33, 104–114. (In Chinese) [Google Scholar]
- Lu, X.; Chen, B.; Tian, B.; Li, Y.; Lv, C.; Xiong, B. A new method for hydraulic mass concrete temperature control: Design and experiment. Constr. Build. Mater. 2021, 302, 124167. [Google Scholar] [CrossRef]
- Wang, F.; Tan, T.; Fan, Y.; Song, J.; Liang, C.; Zhang, A.; Chen, J. Optimum selection of temperature control measures for combined intake tower in alpine region during construction period. Case Stud. Constr. Mater. 2023, 18, e01883. [Google Scholar] [CrossRef]
- Zhou, L.; Zhou, F.; Ge, H. Improving heat exchange performance of massive concrete using annular finned cooling pipes. Adv. Mater. Sci. Eng. 2021, 2021, 5520949. [Google Scholar] [CrossRef]
- Li, X.; Geng, Y.; Xue, S.; Li, J.; Song, Y.; Kang, G. Automatic air-cooling system for early-age crack control in concrete. Proc. Inst. Civ. Eng. Civ. Eng. 2019, 172, 58–64. [Google Scholar] [CrossRef]
- Zhang, Z.; Sun, F.; Chen, B. Thermo–mechanical coupled analysis for tunnel lining with circular openings. Tunn. Undergr. Space Technol. 2020, 102, 103409. [Google Scholar] [CrossRef]
- Kheradmand, M.; Azenha, M.; Vicente, R.; de Aguiar, J.L.B. An innovative approach for temperature control of massive concrete structures at early ages based on post-cooling: Proof of concept. J. Build. Eng. 2020, 32, 101832. [Google Scholar] [CrossRef]
- Conceição, J.; Faria, R.; Azenha, M.; Miranda, M. A new method based on equivalent surfaces for simulation of the post-cooling in concrete arch dams during construction. Eng. Struct. 2020, 209, 109976. [Google Scholar] [CrossRef]
- Zhang, H.; Su, C.; Song, Z.; Shen, Z.; Lei, H. Calculation of mass concrete temperature containing cooling water pipe based on substructure and iteration algorithm. CMES Comput. Model. Eng. Sci. 2024, 138, 813–826. [Google Scholar] [CrossRef]
- Hong, Y.; Lin, J.; Vafai, K. Thermal effect and optimal design of cooling pipes on mass concrete with constant quantity of water flow. Numer. Heat Transf. Part A 2020, 78, 619–635. [Google Scholar] [CrossRef]
- Liu, X.; Zhang, C.; Chang, X.; Zhou, W.; Cheng, Y.; Duan, Y. Precise simulation analysis of the thermal field in mass concrete with a pipe water cooling system. Appl. Therm. Eng. 2015, 78, 449–459. [Google Scholar] [CrossRef]
- Tasri, A.; Susilawati, A. Effect of material of post-cooling pipes on temperature and thermal stress in mass concrete. Structures 2019, 20, 204–212. [Google Scholar] [CrossRef]
- Tasri, A.; Susilawati, A. Effect of cooling water temperature and space between cooling pipes of post-cooling system on temperature and thermal stress in mass concrete. J. Build. Eng. 2019, 24, 100731. [Google Scholar] [CrossRef]
- Wang, C.; Chen, Y.; Zhou, M.; Chen, F. Control of early-age cracking in super-long mass concrete structures. Sustainability 2022, 14, 3809. [Google Scholar] [CrossRef]
- Gutsch, A. Properties of early age concrete- experiments and modelling. Mater. Struct. 2002, 35, 76–79. [Google Scholar]
- Van, B.K. Numerical simulation of hydration and microstructural development in hardening cement-based materials. Cem. Concr. Res. 1995, 25, 522–530. [Google Scholar]
- De Schutter, G.; Taerwe, L. Specific heat and thermal diffusivity of hardening concrete. Mag. Concr. Res. 1995, 47, 203–208. [Google Scholar] [CrossRef]
- Jiang, Z.; Wang, P. Internal relative humidity distribbution of concrete under isothermal dying condition. J. Wuhan Univ. Technol. 2003, 25, 18–21. (In Chinese) [Google Scholar]
- Zhang, J.; Qi, K.; Huang, Y. Calculation of moisture distribution in early-age concrete. J. Eng. Mech. 2009, 135, 871–880. [Google Scholar] [CrossRef]
- Wong, S.F.; Wee, T.H.; Swaddiwudhipong, S.; Lee, S.L. Study of water movement in concrete. Mag. Concr. Res. 2001, 53, 205–220. [Google Scholar] [CrossRef]
- Gong, L. Research on Performance of Self-Compacting Concrete and Time Dependent Multi-Field Coupling Analysis of Concrete. Ph.D. Thesis, Zhejiang University, Hangzhou, China, 2010. [Google Scholar]
- Zhao, Z.; Zhang, H.; Fang, B.; Sun, Y.; Zhong, Y.; Shi, T. Tensile creep model of slab concrete based on microprestress-solidification theory. Materials 2020, 13, 3157. [Google Scholar] [CrossRef]
- Wei, Y.; Guo, W.; Liang, S. Microprestress-solidification theory-based tensile creep modeling of early-age concrete: Considering temperature and relative humidity effects. Constr. Build. Mater. 2016, 127, 618–626. [Google Scholar] [CrossRef]
- Wei, Y.; Huang, J.; Liang, S. Measurement and modeling concrete creep considering relative humidity effect. Mech. Time-Depend. Mat. 2020, 24, 161–177. [Google Scholar] [CrossRef]
- Tong, T.; Du, C.; Liu, X.; Yuan, S.; Liu, Z. Gradient nonlocal enhanced microprestress-solidification theory and its finite element implementation. Front. Mater. 2021, 8, 701458. [Google Scholar] [CrossRef]
- Rahimi-Aghdam, S.; Bažant, Z.P.; Cusatis, G. Extended microprestress-solidification theory for long-term creep with diffusion size effect in concrete at variable environment. J. Eng. Mech. 2019, 145, 04018131. [Google Scholar] [CrossRef]
- Bazant, Z. Rilem draft recommendation: TC-242-MDC multi-decade creep and shrinkage of concrete: Material model and structural analysis*. Mater. Struct. 2015, 48, 753–770. [Google Scholar]
- Bazant, Z.P.; Murphy, W.P. Creep and shrinkage prediction model for analysis and design of concrete structures: Model B3. Mater. Constr. 1995, 28, 357–365. [Google Scholar]
- Zhang, J.; Dongwei, H.; Wei, S. Experimental study on the relationship between shrinkage and interior humidity of concrete at early age. Mag. Concr. Res. 2010, 62, 191–199. [Google Scholar] [CrossRef]
- Kanstad, T.; Hammer, T.; Bjontegaard, O.; Sellevold, E. Mechanical properties of young concrete: Part I: Experimental results related to test methods and temperature effects. Mater. Struct. 2003, 36, 218–225. [Google Scholar]
- Kanstad, T.; Hammer, T.; Bjontegaard, O.; Sellevold, E. Mechanical properties of young concrete: Part II: Determination of model parameters and test program proposals. Mater. Struct. 2003, 36, 226–230. [Google Scholar]
- Gu, C.; Wang, Y.; Gao, F.; Yang, Y.; Ni, T.; Liu, J.; Lou, X.; Chen, J. Early age tensile creep of high performance concrete containing mineral admixtures: Experiments and modeling. Constr. Build. Mater. 2019, 197, 766–777. [Google Scholar] [CrossRef]

















| Cement Type | Water (kg/m3) | Cement (kg/m3) | Sand (kg/m3) | Aggregate (kg/m3) | Water Reducing Admixture (kg/m3) | Fly Ash (kg/m3) | Blast Furnace Slag (kg/m3) |
|---|---|---|---|---|---|---|---|
| P.O42.5 | 159 | 249 | 729 | 1051 | 7.51 | 99 | 47 |
| Air Content (%) | Porosity (%) | Compressive Strength for Fresh Concrete (MPa) | Compressive Strength for Hardened Concrete (MPa) |
|---|---|---|---|
| 2.6 | 12 | 42.6 | 43.5 |
| Type | Parameter | Value | Unit | Type | Parameter | Value | Unit |
|---|---|---|---|---|---|---|---|
| Thermal parameters | 2400 | Kg/m3 | Thermal parameters | Qc | 277.53 | kJ/kg | |
| 40 | kJ/(m2·h·°C) | a | 0.34 | - | |||
| 27.73 | kJ/(m2·h·°C) | b | 0.86 | - | |||
| Ccem | 0.86 | kJ/(kg·°C) | Humidity parameters | D1 | 3.13 × 10−10 | m2/s | |
| Ca | 0.76 | kJ/(kg·°C) | |||||
| Cw | 4.2 | kJ/(kg·°C) | |||||
| 8.3 | kJ/(m·h·°C) | ||||||
| 103 | Kg/m3 | ||||||
| k | 52 | W/m·°C |
| Type | Parameter | Value | Unit | Type | Parameter | Value | Unit |
|---|---|---|---|---|---|---|---|
| Thermal strain and drying shrinkage | kT | 1.0 × 10−5 | 1/K | Creep deformation | q4 | 8.39 | 10−6 MPa−1 |
| kh | 1.11 × 10−5 | - | e0 | 0.05·q4 | - | ||
| Elastic modulus and strength model | E28 | 3.1 × 104 | MPa | f0 | 0.0125·q4 | - | |
| ft28 | 3.1 | MPa | Cs | 1.6/q4 | - | ||
| t0 | 10 | days | c1 | 22.5·q4 | - | ||
| s | 0.21 | - | ch | 0.035 | - | ||
| ne | 0.34 | - | c0 | 2.38 | 10−3 MPa−1 | ||
| nt | 0.62 | - | 3000 | K | |||
| Creep deformation | p1 | 0.7 | - | 1500 | K | ||
| q2 | 1.98 | 10−4 MPa−1 | 1.7 | - | |||
| q3 | 4.46 | 10−6 MPa−1 |
Disclaimer/Publisher’s Note: The statements, opinions and data contained in all publications are solely those of the individual author(s) and contributor(s) and not of MDPI and/or the editor(s). MDPI and/or the editor(s) disclaim responsibility for any injury to people or property resulting from any ideas, methods, instructions or products referred to in the content. |
© 2024 by the authors. Licensee MDPI, Basel, Switzerland. This article is an open access article distributed under the terms and conditions of the Creative Commons Attribution (CC BY) license (https://creativecommons.org/licenses/by/4.0/).
Share and Cite
Chen, C.; Chen, S. Study on Temperature Control and Cracking Risk of Mass Concrete Sidewalls with a Cooling-Pipe System. Buildings 2024, 14, 872. https://doi.org/10.3390/buildings14040872
Chen C, Chen S. Study on Temperature Control and Cracking Risk of Mass Concrete Sidewalls with a Cooling-Pipe System. Buildings. 2024; 14(4):872. https://doi.org/10.3390/buildings14040872
Chicago/Turabian StyleChen, Chunchao, and Shihai Chen. 2024. "Study on Temperature Control and Cracking Risk of Mass Concrete Sidewalls with a Cooling-Pipe System" Buildings 14, no. 4: 872. https://doi.org/10.3390/buildings14040872
APA StyleChen, C., & Chen, S. (2024). Study on Temperature Control and Cracking Risk of Mass Concrete Sidewalls with a Cooling-Pipe System. Buildings, 14(4), 872. https://doi.org/10.3390/buildings14040872

