Post-Fire Seismic Performance of Concrete-Filled Steel Tube Frame Structures Considering Soil-Structure Interaction (SSI)
Abstract
1. Introduction
2. Finite Element Model Validation
2.1. Validation of Frame Models Considering the SSI
2.2. Verification of the Temperature Field Model for T-Shaped Thin-Walled Steel Tube Reinforced Concrete after a Fire
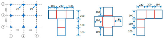
3. Finite Element Model of Post-Fire Reinforced Thin-Walled Irregular Steel Tube Concrete Frame Structure Considering the SSI
3.1. Temperature Field Model
3.2. Mechanical Field Model
3.2.1. Steel Pipe, Steel Bar, Concrete Constitutive
3.2.2. Soil Constitutive and Parameters
3.2.3. Element Types, Meshing, Computational Domains and Boundaries
3.2.4. Contact Settings between Steel Pipe and Concrete, Foundations and Foundations, Steel Bars and Steel Pipe, Steel Bars and Concrete
3.2.5. Seismic Waves, Viscoelastic Boundaries and Damping
4. Analysis on Seismic Performance of Stiffened Thin-Walled Special-Shaped Steel Tube Concrete Frame Structure Post Fire Considering the SSI
4.1. Natural Periods of Vibration
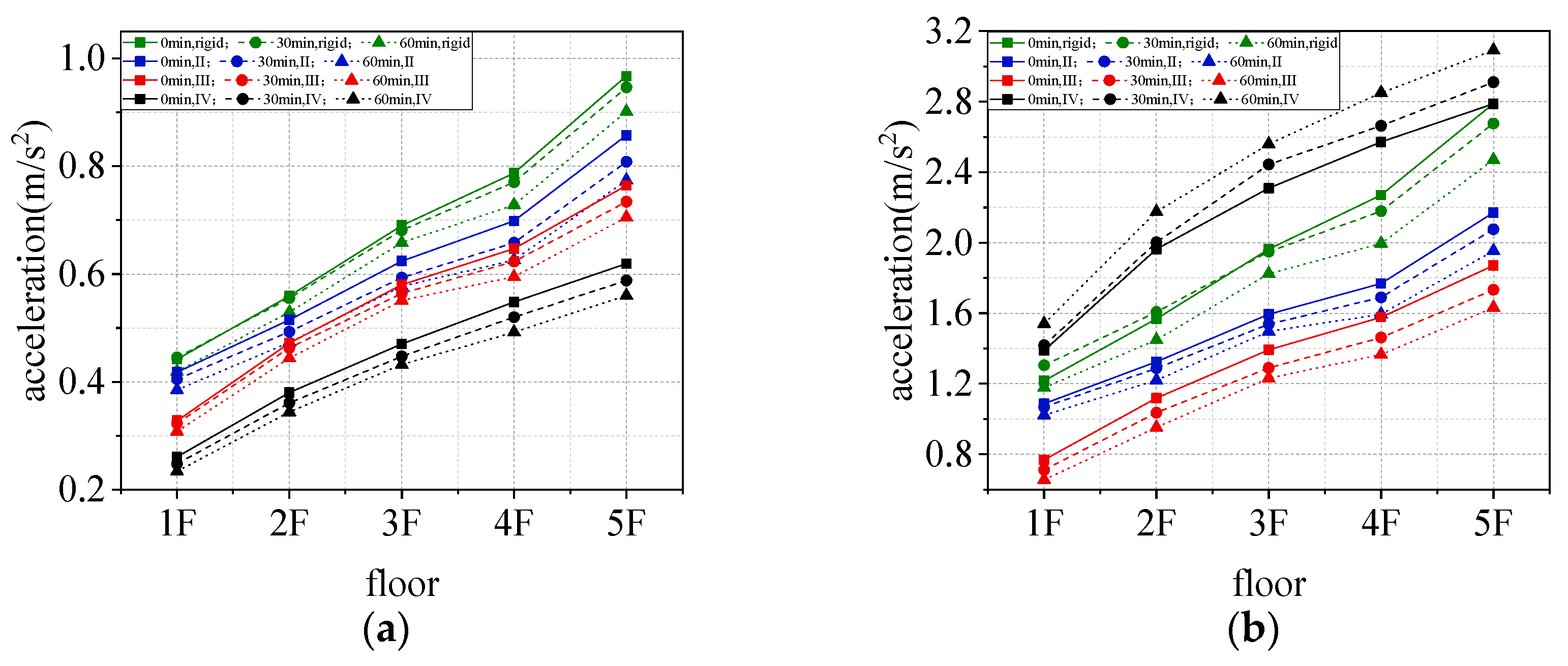
4.2. Maximum Acceleration
4.3. Interlaminar Shear
4.4. Maximum Inter-Story Displacement Angle
5. Conclusions
- (1)
- After considering soil–structure interaction, the presence of the foundation increases the flexibility of the structure, leading to an increase in the natural periods of vibration. This effect is more pronounced when the soil is softer. Under the same site conditions, the elevated temperature reduces the structural stiffness, resulting in an increase by about 2–10% in the natural periods of vibration after fire. The longer the exposure time to fire and the softer the soil, the more noticeable the increase in the natural periods of vibration for the structure.
- (2)
- Compared to the results calculated under the assumption of a rigid foundation, the increase or decrease in the structural and foundation accelerations considering the soil-structure interaction introduces uncertainty. Generally, results based on the assumption of a rigid foundation tend to overestimate the values by about 0.5–13%. However, when the acceleration amplitude is 2.0 g and the fire time is 60 min, the acceleration amplitude of the top column 1 and column 2 increases by 9.49% on average, which indicates that the calculated structural dynamic response may be unsafe without consideration of the SSI. Therefore, it is recommended to consider the effect of SSI on the seismic performance of the structure when the fire time is more than 60 min in the soft soil site.
- (3)
- The variation trend of inter-story shear force is primarily determined by the accelerations of the structure and foundation.
- (4)
- The maximum inter-story displacement angle occurs at the bottom of the structure and is influenced by factors such as site conditions, seismic wave acceleration amplitudes, fire exposure conditions, and the maximum inter-story shear force in the structure. Softer soil, higher seismic wave acceleration amplitudes, and more pronounced fire effects lead to larger inter-story displacement angles, and the increase ranges from 10% to 35%, but all of them are no more than 1/100. In the case of small and moderate earthquakes, where the fire effect is relatively small, the structure is generally in the elastic or elastic-plastic stage, indicating potential for post-disaster recovery.
Author Contributions
Funding
Data Availability Statement
Conflicts of Interest
References
- Tao, Z.; Han, L.-H.; Wang, D.-Y. Experimental behaviour of concrete-filled stiffened thin-walled steel tubular columns. Thin-Walled Struct. 2007, 45, 517–527. [Google Scholar] [CrossRef]
- Li, M.; Zong, Z.; Hao, H.; Zhang, X.; Lin, J.; Xie, G. Experimental and numerical study on the behaviour of cfdst columns subjected to close-in blast loading. Eng. Struct. 2019, 185, 203–220. [Google Scholar] [CrossRef]
- Wang, X.-T.; Xie, C.-D.; Lin, L.-H.; Li, J. Seismic behavior of self-centering concrete-filled square steel tubular (cfst) column base. J. Constr. Steel Res. 2019, 156, 75–85. [Google Scholar] [CrossRef]
- Lyu, X.; Xu, Y.; Xu, Q.; Yu, Y. Axial compression performance of square thin walled concrete-Filled steel tube stub columns with reinforcement stiffener under constant high-Temperature. Materials 2019, 12, 1098. [Google Scholar] [CrossRef] [PubMed]
- Li, R.; Yu, Y.; Samali, B.; Li, C. Parametric analysis on the circular CFST column and RBS steel beam joints. Materials 2019, 12, 1513. [Google Scholar] [CrossRef] [PubMed]
- Liu, X.; Xu, C.; Liu, J.; Yang, Y. Research on special-shaped concrete-filled steel tubular columns under axial compression. J. Constr. Steel Res. 2018, 147, 203–223. [Google Scholar] [CrossRef]
- Zhang, J.; Li, Y.; Zheng, Y.; Wang, Z. Seismic damage investigation of spatial frames with steel beams connected to l-shaped concrete-filled steel tubular (cfst) columns. Appl. Sci. 2018, 8, 1713. [Google Scholar] [CrossRef]
- Zhou, X. Analysis of Seismic Performance of Concrete-Filled Steel Tube Special-Shaped Column Frame Structure System. Master’s Thesis, Chongqing University, Chongqing, China, 2020. [Google Scholar]
- Jiang, H. Research on the Seismic Performance of Prefabricated Concrete-Filled Steel Tube Special-Shaped Column Frame Structure. Master’s Thesis, North China University of Science and Technology, Tangshan, China, 2021. [Google Scholar]
- Li, X.; Xu, Z.; Bao, Y.; Cong, Z. Post-fire seismic behavior of two-bay two-story frames with high-performance fiber-reinforced cementitious composite joints. Eng. Struct. 2019, 183, 150–159. [Google Scholar] [CrossRef]
- Xiong, Y.; Chen, A.; Wu, D.; Zhao, G. Seismic performance of composite shear walls filled with demolished concrete lumps and self-compacting concrete after fire. Buildings 2022, 12, 1308. [Google Scholar] [CrossRef]
- Ni, S.; Birely, A.C. Simulation procedure for the post-fire seismic analysis of reinforced concrete structural walls. Fire Saf. J. 2018, 95, 101–112. [Google Scholar] [CrossRef]
- Demir, U.; Goksu, C.; Binbir, E.; Ilki, A. Impact of time after fire on post-fire seismic behavior of rc columns. Structures 2020, 26, 537–548. [Google Scholar] [CrossRef]
- Qian, S.; Qian, X.; Sun, Y.; Mao, X.; Liu, T.; Huan, Y. Analysis of post-fire seismic performance of multi-story RC frames under near-fault earthquakes. Earthq. Eng. Eng. Dyn. 2021, 41, 219–227. [Google Scholar]
- Pan, Y. Study on Seismic Performance of Concrete Frames after Local Fire. Master’s Thesis, Shenyang Jianzhu University, Shenyang, China, 2022. [Google Scholar]
- Yu, Y.; Zhang, C.; Xie, X.; Yousefi, A.M.; Zhang, G.; Li, J.; Samali, B. Compressive strength evaluation of cement-based mate-rials in sulphate environment using optimized deep learning technology. Dev. Built Environ. 2023, 16, 100298. [Google Scholar] [CrossRef]
- Yu, Y.; Hoshyar, A.N.; Samali, B.; Zhang, G.; Rashidi, M.; Mohammadi, M. Corrosion and coating defect assessment of coal handling and preparation plants (CHPP) using an ensemble of deep convolutional neural networks and decision-level data fusion. Neural Comput. Appl. 2023, 35, 18697–18718. [Google Scholar] [CrossRef]
- Rabi, M.; Cashell, K.A.; Shamass, R. Ultimate behaviour and serviceability analysis of stainless steel reinforced concrete beams. Eng. Struct. 2021, 248, 113259. [Google Scholar] [CrossRef]
- Rabi, M.; Cashell, K.A.; Shamass, R. Flexural analysis and design of stainless steel reinforced concrete beams. Eng. Struct. 2019, 198, 109432. [Google Scholar] [CrossRef]
- Wang, J.H.; Kunnath, S.; He, J.; Xiao, Y. Post-earthquake fire resistance of circular concrete-filled steel tubular columns. J. Struct. Eng. 2020, 146, 04020105. [Google Scholar] [CrossRef]
- Jiang, H.; Wang, X.; He, S. Numerical simulation of impact tests on reinforced concrete beams. Mater. Des. 2012, 39, 111–120. [Google Scholar] [CrossRef]
- Yang, J.; Lu, Z.; Li, P. Large-scale shaking table test on tall buildings with viscous dampers considering pile-soil-structure interaction. Eng. Struct. 2020, 220, 110960. [Google Scholar] [CrossRef]
- Liu, S.; Lu, Z.; Li, P.; Ding, S.; Wan, F. Shaking table test and numerical simulation of eddy-current tuned mass damper for structural seismic control considering soil-structure interaction. Eng. Struct. 2020, 212, 110531. [Google Scholar] [CrossRef]
- Deb Roy, S.; Pandey, A.; Saha, R. Shake table study on seismic soil-pile foundation-structure interaction in soft clay. Structures 2021, 29, 1229–1241. [Google Scholar] [CrossRef]
- Li, P.; Xiao, J.; Yang, J.; Ding, Y. Dynamic response analysis of frame structure system considering SSI effect. J. South China Univ. Technol. Nat. Sci. Ed. 2023, 51, 139–148. [Google Scholar]
- Ding, Y.; Nie, M.; Xu, Y. Shaking table test study on wind power tower model structure considering soil-structure interaction. J. Civ. Eng, 2024. [CrossRef]
- Huang, Y.; Gu, M.; El Naggar, M.H. Effect of soil-structure interaction on wind-induced responses of supertall buildings with large pile groups. Eng. Struct. 2021, 243, 112557. [Google Scholar] [CrossRef]
- Sadek, M.; Hussein, M.; Hage Chehade, F.; Arab, A. Influence of soil–structure interaction on the fundamental frequency of shear wall structures. Arab. J. Geosci. 2020, 13, 877. [Google Scholar] [CrossRef]
- Hamidia, M.; Shokrollahi, N.; Nasrolahi, M. Soil-structure interaction effects on the seismic collapse capacity of steel moment-resisting frame buildings. Structures 2021, 32, 1331–1345. [Google Scholar] [CrossRef]
- Zhao, J.; Song, L.; Zhou, Z. Analysis of main and aftershock vulnerability of nuclear power plant SSC coupling system model considering SSI effect. Nucl. Power Eng. 2023, 44, 85–94. [Google Scholar]
- He, J. Research on Seismic Response and Vibration Reduction of Space Structures Considering Soil-Structure Interaction. Master’s Thesis, Tianjin University, Tianjin, China, 2017. [Google Scholar]
- Liu, J.; Du, Y.; Yan, Q. Implementation of viscoelastic artificial boundary and ground motion input in general finite element software. J. Disaster Prev. Mitig. Eng. 2007, 27, 43–48. [Google Scholar]
- Wang, W. Study on Post-Fire Seismic Performance of Special-Shaped Concrete-Filled Steel Tube Frame Structures Considering SSI Effect. Ph.D. Thesis, Liaoning Technical University, Fuxin, China, 2021. [Google Scholar]
- ENV 1994-1-2:2004; Eurocode 4, 2004. Design of Composite Steel and Concrete Structures, Part 1: General Rules-Structural Fire Design. European Committee for Standardization: Brussels, Belgium, 2004.
- Tao, Z.; Wang, X.-Q.; Uy, B. Stress-strain curves of structural and reinforcing steels after exposure to elevated temperatures. J. Mater. Civ. Eng. 2013, 25, 1306–1316. [Google Scholar] [CrossRef]
- American Concrete Institute. Building Code Requirements for Structural Concrete (ACI 318-11) and Commentary; American Concrete Institute: Farmington Hills, MI, USA, 2011. [Google Scholar]
- Xie, D.; Qian, Z. Experimental study on strength and deformation of concrete after exposure to high temperature (open flame). In Proceedings of the 5th National Structural Engineering Academic Conference, Haikou, China, 25–26 November 1996. [Google Scholar]
- Han, L.-H.; Yang, Y.-F.; Yang, H.; Huo, J. Residual strength of concrete-filled rhs columns after exposure to the iso-834 standard fire. Thin-Walled Struct. 2002, 40, 991–1012. [Google Scholar] [CrossRef]
- Hong, S.; Varma, A.H. Analytical modeling of the standard fire behavior of loaded cft columns. J. Constr. Steel Res. 2009, 65, 54–69. [Google Scholar] [CrossRef]












| Venue Type | Basic Natural Period/s | Base Shear/kN | ||||
|---|---|---|---|---|---|---|
| Documentation Value [31] | Simulation Value | Documentation Value/Simulation Value | Documentation Value [31] | Simulation Value | Documentation Value/Simulation Value | |
| Rigid foundation | 0.61 | 0.62 | 1.021 | 2274.33 | 2385.46 | 1.049 |
| Medium hard soil | 1.08 | 1.14 | 1.057 | 1256.28 | 1550.55 | 1.234 |
| Medium soft soil | 1.11 | 0.97 | 0.876 | 1168.01 | 1455.14 | 1.246 |
| Weak soil | 1.21 | 1.15 | 0.953 | 928.88 | 1192.73 | 1.284 |
| Direction | Layers | Rigid Foundation | Medium Hard Soil | Medium Soft Soil | Weak Soil | ||||
|---|---|---|---|---|---|---|---|---|---|
| Documentation Value [31] | Calculated Value | Documentation Value [31] | Calculated Value | Documentation Value [31] | Calculated Value | Documentation Value [31] | Calculated Value | ||
| X | 6 | 0.71% | 0.86% | 1.02% | 1.08% | 1.34% | 1.36% | 2.25% | 2.09% |
| 5 | 0.87% | 0.95% | 1.09% | 1.11% | 1.43% | 1.45% | 2.28% | 2.10% | |
| 4 | 1.07% | 1.18% | 1.19% | 1.24% | 1.56% | 1.55% | 2.29% | 2.19% | |
| 3 | 1.43% | 1.30% | 1.30% | 1.35% | 1.69% | 1.65% | 2.39% | 2.36% | |
| 2 | 1.38% | 1.40% | 1.36% | 1.40% | 1.76% | 1.68% | 2.49% | 2.40% | |
| 1 | 1.27% | 1.42% | 1.40% | 1.46% | 1.80% | 1.78% | 2.57% | 2.47% | |
| Y | 6 | 0.15% | 0.15% | 0.27% | 0.28% | 0.56% | 0.62% | 1.61% | 1.50% |
| 5 | 0.25% | 0.30% | 0.36% | 0.40% | 0.66% | 0.70% | 1.61% | 1.54% | |
| 4 | 0.41% | 0.52% | 0.52% | 0.58% | 0.82% | 0.90% | 1.62% | 1.57% | |
| 3 | 0.73% | 0.65% | 0.71% | 0.71% | 1.00% | 1.07% | 1.63% | 1.58% | |
| 2 | 0.69% | 0.65% | 0.81% | 0.80% | 1.10% | 1.18% | 1.65% | 1.60% | |
| 1 | 0.59% | 0.70% | 0.84% | 0.88% | 1.14% | 1.25% | 1.66% | 1.67% | |
| Component Type | Section Size | Concrete | Steel Strength Grade and Others |
|---|---|---|---|
| Main beam | bc × hc = 200 mm × 600 mm | C40 | Reinforcement ratio 2% |
| T-shaped side pillar L-shaped corner post Cross-shaped newel | h × b × ts = 600 mm × 200 mm × 8 mm h × b × ts = 600 mm × 200 mm × 8 mm h × b × ts = 600 mm × 600 mm × 8 mm | Steel pipeQ345 Stiffening steel barsHPB300 Diameter 6 mm Longitudinal spacing 100 mm | |
| Foundation | 2 m × 2 m × 1 m (Buried deep 1 m) | Reinforcement ratio 2% |
| Venue Type | Density kg/m3 | Initial Shear Modulus 104 kPa | Effective Shear Modulus 104 kPa | Poisson Ratio | Shear Wave Speed m/s | Internal Friction Angle ° | Cohesion kPa |
|---|---|---|---|---|---|---|---|
| Medium hard soil | 1800 | 28.8 | 12.096 | 0.30 | 400 | 30 | 60 |
| Medium soft soil | 1700 | 6.8 | 2.856 | 0.35 | 200 | 12 | 25 |
| Weak soil | 1600 | 3.6 | 1.512 | 0.40 | 150 | 5 | 20 |
| Acceleration Amplitude | Bar Position | Fire Conditions | Rigid Foundation | Category II Venue | Category III Venue | Category IV Venue | ||||
|---|---|---|---|---|---|---|---|---|---|---|
| Acceleration | Time | Acceleration | Time | Acceleration | Time | Acceleration | Time | |||
| 0.07 g | 1 | Without fire | 0.967 | 2.342 | 0.857 | 2.365 | 0.764 | 2.381 | 0.619 | 2.400 |
| With fire 30 min | 0.946 | 2.350 | 0.808 | 2.375 | 0.734 | 2.395 | 0.588 | 2.415 | ||
| With fire 60 min | 0.901 | 2.356 | 0.774 | 2.385 | 0.705 | 2.418 | 0.560 | 2.440 | ||
| 2 | Without fire | 0.953 | 2.339 | 0.845 | 2.396 | 0.762 | 2.416 | 0.618 | 2.436 | |
| With fire 30 min | 0.921 | 2.371 | 0.787 | 2.363 | 0.716 | 2.378 | 0.567 | 2.398 | ||
| With fire 60 min | 0.871 | 2.363 | 0.748 | 2.392 | 0.702 | 2.425 | 0.545 | 2.448 | ||
| 0.20 g | 1 | Without fire | 2.789 | 2.352 | 2.171 | 2.388 | 1.871 | 2.429 | 2.788 | 2.491 |
| With fire 30 min | 2.676 | 2.360 | 2.076 | 2.398 | 1.733 | 2.446 | 2.910 | 2.511 | ||
| With fire 60 min | 2.470 | 2.367 | 1.954 | 2.409 | 1.632 | 2.484 | 3.091 | 2.545 | ||
| 2 | Without fire | 2.750 | 2.349 | 2.141 | 2.420 | 1.867 | 2.432 | 2.782 | 2.495 | |
| With fire 30 min | 2.606 | 2.382 | 2.022 | 2.386 | 1.691 | 2.451 | 2.806 | 2.526 | ||
| With fire 60 min | 2.388 | 2.374 | 1.890 | 2.416 | 1.625 | 2.493 | 3.008 | 2.559 | ||
| Fire Exposure Time | Location | Seismic Wave Amplitude a = 0.07 g | Seismic Wave Amplitude a = 0.20 g | ||||||
|---|---|---|---|---|---|---|---|---|---|
| Rigid Foundation | Medium Hard Soil | Medium Soft Soil | Weak Soil | Rigid Foundation | Medium Hard Soil | Medium Soft Soil | Weak Soil | ||
| Without fire | 5 | 0.039% | 0.068% | 0.098% | 0.152% | 0.134% | 0.221% | 0.464% | 0.434% |
| 4 | 0.071% | 0.097% | 0.124% | 0.177% | 0.244% | 0.319% | 0.552% | 0.558% | |
| 3 | 0.100% | 0.122% | 0.148% | 0.198% | 0.338% | 0.407% | 0.629% | 0.669% | |
| 2 | 0.122% | 0.143% | 0.167% | 0.215% | 0.414% | 0.481% | 0.691% | 0.764% | |
| 1 | 0.140% | 0.160% | 0.180% | 0.226% | 0.470% | 0.539% | 0.732% | 0.828% | |
| With fire 30 min | 5 | 0.039% | 0.066% | 0.097% | 0.151% | 0.139% | 0.215% | 0.456% | 0.449% |
| 4 | 0.071% | 0.093% | 0.122% | 0.174% | 0.252% | 0.309% | 0.538% | 0.586% | |
| 3 | 0.098% | 0.117% | 0.145% | 0.194% | 0.353% | 0.395% | 0.609% | 0.709% | |
| 2 | 0.127% | 0.143% | 0.169% | 0.215% | 0.459% | 0.486% | 0.683% | 0.841% | |
| 1 | 0.147% | 0.167% | 0.189% | 0.231% | 0.496% | 0.570% | 0.743% | 0.951% | |
| With fire 60 min | 5 | 0.045% | 0.076% | 0.115% | 0.174% | 0.155% | 0.245% | 0.531% | 0.603% |
| 4 | 0.072% | 0.105% | 0.148% | 0.205% | 0.277% | 0.356% | 0.622% | 0.782% | |
| 3 | 0.105% | 0.133% | 0.179% | 0.222% | 0.374% | 0.453% | 0.711% | 0.956% | |
| 2 | 0.143% | 0.162% | 0.202% | 0.255% | 0.496% | 0.551% | 0.801% | 1.137% | |
| 1 | 0.174% | 0.207% | 0.230% | 0.296% | 0.633% | 0.690% | 0.921% | 1.358% | |
Disclaimer/Publisher’s Note: The statements, opinions and data contained in all publications are solely those of the individual author(s) and contributor(s) and not of MDPI and/or the editor(s). MDPI and/or the editor(s) disclaim responsibility for any injury to people or property resulting from any ideas, methods, instructions or products referred to in the content. |
© 2024 by the authors. Licensee MDPI, Basel, Switzerland. This article is an open access article distributed under the terms and conditions of the Creative Commons Attribution (CC BY) license (https://creativecommons.org/licenses/by/4.0/).
Share and Cite
Wang, W.; Lyu, X.; Zheng, J.; Yi, S.; Li, J.; Yu, Y. Post-Fire Seismic Performance of Concrete-Filled Steel Tube Frame Structures Considering Soil-Structure Interaction (SSI). Buildings 2024, 14, 555. https://doi.org/10.3390/buildings14020555
Wang W, Lyu X, Zheng J, Yi S, Li J, Yu Y. Post-Fire Seismic Performance of Concrete-Filled Steel Tube Frame Structures Considering Soil-Structure Interaction (SSI). Buildings. 2024; 14(2):555. https://doi.org/10.3390/buildings14020555
Chicago/Turabian StyleWang, Weiwei, Xuetao Lyu, Jun Zheng, Shanchang Yi, Jiehong Li, and Yang Yu. 2024. "Post-Fire Seismic Performance of Concrete-Filled Steel Tube Frame Structures Considering Soil-Structure Interaction (SSI)" Buildings 14, no. 2: 555. https://doi.org/10.3390/buildings14020555
APA StyleWang, W., Lyu, X., Zheng, J., Yi, S., Li, J., & Yu, Y. (2024). Post-Fire Seismic Performance of Concrete-Filled Steel Tube Frame Structures Considering Soil-Structure Interaction (SSI). Buildings, 14(2), 555. https://doi.org/10.3390/buildings14020555
