Analysis of Influencing Factors on Solid Waste Generation of Public Buildings in Tropical Monsoon Climate Region
Abstract
1. Introduction
2. Research Objectives and Methods
2.1. Research Objects
2.2. Research Boundary
2.3. Data Sources
2.4. Random Forest
3. Results
3.1. Influence Factor Screening
3.2. Influence of Ground Area
3.3. Influence of Building Height
3.4. Influence of the Amount of Concrete Usage
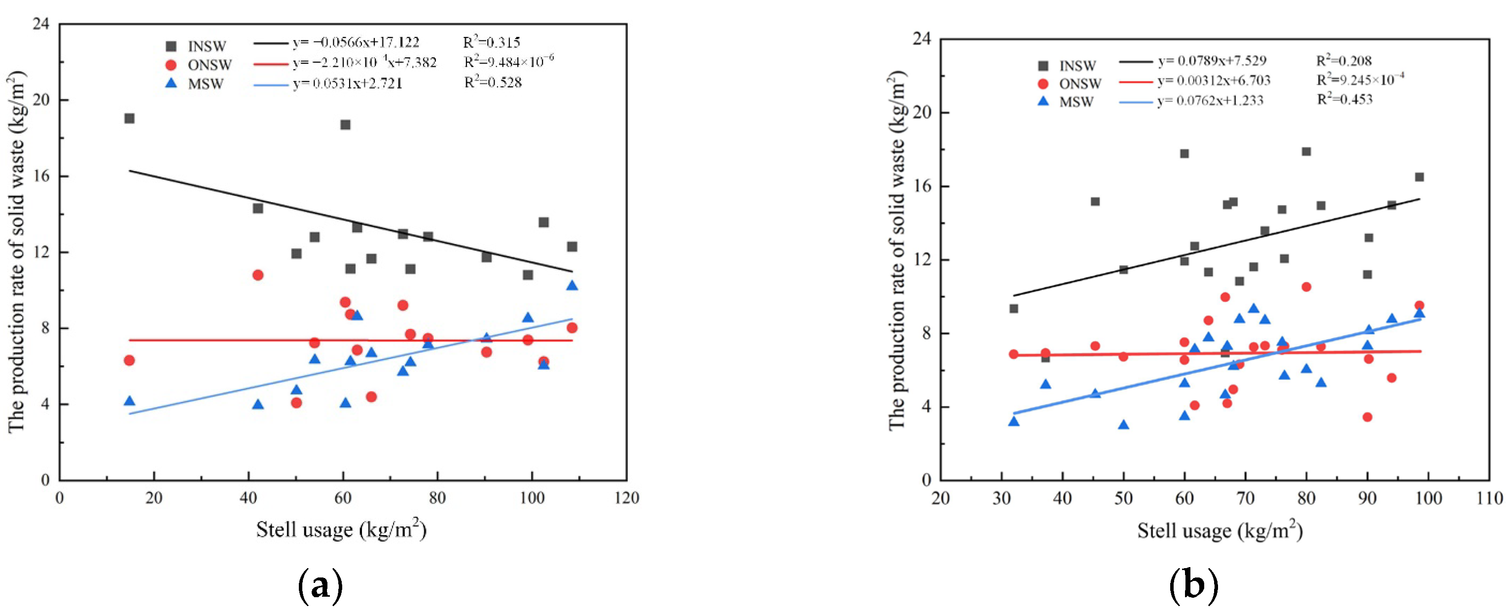
3.5. Influence of the Amount of Steel Usage
3.6. The Impact of Assembly Rate
4. Conclusions and Perspective
- (1)
- The impact of building area: in office buildings, the generation rate of INSW and MSW increases by 0.370 kg/m2 and 0.181 kg/m2, respectively, for every 10,000 m2 increase in building area. For exhibition buildings, every increase of 10,000 m2 in building area, the generation rate of INSW and MSW increases by 0.743 kg/m2 and 0.565 kg/m2, respectively.
- (2)
- The impact of building height: in office buildings, every 10 m increase in building height, INSW and MSW generation rate increases by 0.242 kg/m2 and 0.158 kg/m2, respectively. For exhibition buildings, for every 10 m increase in building height, the generation rate of INSW and MSW increases by 0.904 kg/m2 and 0.721 kg/m2, respectively.
- (3)
- The impact of concrete usage: for office buildings, the rate of MSW generation decreases by 0.0799 kg/m2 and INSW increases by 0.199 kg/m2 for every 10,000 t increase in concrete usage. For exhibition buildings, the rate of MSW and INSW generation increases by 0.218 kg/m2 and 0.627 kg/m2 for every 10,000 t increase in concrete usage.
- (4)
- The impact of steel usage: for office buildings, the steel usage increases by 10 kg/m2, MSW increases by 0.531 kg/m2, and INSW generation rate decreases by 0.566 kg/m2. For exhibition buildings, for every kg/m2 increase in steel usage, the generation rate of INSW and MSW increases by 0.789 kg/m2 and 0.762 kg/m2, respectively.
- (5)
- The impact of assembly rate: for office buildings, assembly rate increases by 10%, and INSW, ONSW and MSW generation rate decreases by 1.103 kg/m2, 0.828 kg/m2 and 1.158 kg/m2, respectively. For exhibition buildings, for every 10% increase in the assembly rate, the generation rate of INSW ONSW and MSW decreases by 1.513 kg/m2, 1.058 kg/m2 and 1.544 kg/m2, respectively.
- (1)
- For all types of buildings, increasing the rate of assembly and controlling the building height and floor area during design can reduce the generation of solid waste.
- (2)
- For visiting buildings, increasing the rate of assembly has a significant impact on reducing the rate of solid waste generation. The design of these buildings ought to prioritize the highest possible rate of assembly.
- (3)
- Construction contractors ought to fortify their oversight and management protocols, enhance the caliber of their workforce, and ameliorate the construction site’s environmental conditions to curtail the production of solid waste.
Author Contributions
Funding
Data Availability Statement
Conflicts of Interest
References
- Ministry of Housing and Urban-Rural Development of the People’s Republic of China. 14th Five-Year Plan’ for the Development of the Construction Industry; Ministry of Housing and Urban-Rural Development of the People’s Republic of China: Beijing, China, 2022.
- Zhu, L.; Hao, W. A review of construction waste treatment in China. Adv. Mater. Res. 2011, 280, 62–66. [Google Scholar] [CrossRef]
- Duan, H.; Li, J. Construction and demolition waste management: China’s lessons. Waste Manag. Res. 2016, 34, 397–398. [Google Scholar] [CrossRef]
- Jin, R.; Li, B.; Zhou, T.; Wanatowski, D.; Piroozfar, P. An empirical study of perceptions towards construction and demolition waste recycling and reuse in China. Resour. Conserv. Recycl. 2017, 126, 86–98. [Google Scholar] [CrossRef]
- Safiuddin, M.; Jumaat, M.Z.; Salam, M.A.; Islam, M.S.; Hashim, R. Utilization of solid wastes in construction materials. Int. J. Phys. Sci. 2010, 5, 1952–1963. [Google Scholar]
- Wu, Z.; Yu, A.T.W.; Shen, L. Investigating the determinants of contractor’s construction and demolition waste management behavior in Mainland China. Waste Manag. 2017, 60, 290–300. [Google Scholar] [CrossRef]
- Lu, W.; Yuan, H. Exploring critical success factors for waste management in construction projects of China. Resour. Conserv. Recycl. 2010, 55, 201–208. [Google Scholar] [CrossRef]
- Poon, C.; Yu, A.T.; Ng, L. On-site sorting of construction and demolition waste in Hong Kong. Resour. Conserv. Recycl. 2001, 32, 157–172. [Google Scholar] [CrossRef]
- Zambrana-Vasquez, D.; Zabalza-Bribián, I.; Jáñez, A.; Aranda-Usón, A. Analysis of the environmental performance of life-cycle building waste management strategies in tertiary buildings. J. Clean. Prod. 2016, 130, 143–154. [Google Scholar] [CrossRef]
- Zhang, C.; Hu, M.; Di Maio, F.; Sprecher, B.; Yang, X.; Tukker, A. An overview of the waste hierarchy framework for analyzing the circularity in construction and demolition waste management in Europe. Sci. Total. Environ. 2021, 803, 149892. [Google Scholar] [CrossRef] [PubMed]
- Gálvez-Martos, J.-L.; Styles, D.; Schoenberger, H.; Zeschmar-Lahl, B. Construction and demolition waste best management practice in Europe. Resour. Conserv. Recycl. 2018, 136, 166–178. [Google Scholar] [CrossRef]
- Nunes, K.; Mahler, C. Comparison of construction and demolition waste management between Brazil, European Union and USA. Waste Manag. Res. J. Sustain. Circ. Econ. 2020, 38, 415–422. [Google Scholar] [CrossRef]
- Huang, B.; Wang, X.; Kua, H.; Geng, Y.; Bleischwitz, R.; Ren, J. Construction and demolition waste management in China through the 3R principle. Resour. Conserv. Recycl. 2018, 129, 36–44. [Google Scholar] [CrossRef]
- Zhang, X.; Xiao, Y.; Xue, Y.; Liu, J.; Chen, Z.; Zhang, R. Global Bibliometric Developments on Solid Waste Recycling in Concrete Construction Engineering. Materials 2022, 15, 4142. [Google Scholar] [CrossRef]
- Pacheco, J.; de Brito, J. Recycled aggregates produced from construction and demolition waste for structural concrete: Constituents, properties and production. Materials 2021, 14, 5748. [Google Scholar] [CrossRef]
- Shi, C.; Li, Y.; Zhang, J.; Li, W.; Chong, L.; Xie, Z. Performance enhancement of recycled concrete aggregate—A review. J. Clean. Prod. 2016, 112, 466–472. [Google Scholar] [CrossRef]
- Wang, B.; Yan, L.; Fu, Q.; Kasal, B. A Comprehensive Review on Recycled Aggregate and Recycled Aggregate Concrete. Resour. Conserv. Recycl. 2021, 171, 105565. [Google Scholar] [CrossRef]
- Ginga, C.P.; Ongpeng, J.M.C.; Daly, M.K.M. Circular economy on construction and demolition waste: A literature review on material recovery and production. Materials 2020, 13, 2970. [Google Scholar] [CrossRef] [PubMed]
- Borrachero, M.V.; Payá, J.; Brito, S.; Segura, Y.P.; Soriano, L.; Tashima, M.M.; Monzó, J.M. Reusing Construction and Demolition Waste to Prepare Alkali-Activated Cement. Materials 2022, 15, 3437. [Google Scholar] [CrossRef] [PubMed]
- Poon, C.S.; Chan, D. Feasible use of recycled concrete aggregates and crushed clay brick as unbound road sub-base. Constr. Build. Mater. 2006, 20, 578–585. [Google Scholar] [CrossRef]
- Xuan, D.X.; Molenaar, A.A.A.; Houben, L.J.M. Evaluation of cement treatment of reclaimed construction and demolition waste as road bases. J. Clean. Prod. 2015, 100, 77–83. [Google Scholar] [CrossRef]
- Contrafatto, L.; Cosenza, R.; Barbagallo, R.; Ognibene, S. Use of recycled aggregates in road sub-base construction and concrete manufacturing. Ann. Geophys. 2018, 61, 223. [Google Scholar] [CrossRef]
- Poon, C.S. Reducing construction waste. Waste Manag. 2007, 27, 1715–1716. [Google Scholar] [CrossRef]
- Marzouk, M.; Azab, S. Environmental and economic impact assessment of construction and demolition waste disposal using system dynamics. Resour. Conserv. Recycl. 2014, 82, 41–49. [Google Scholar] [CrossRef]
- Chen, X.; Lu, W. Identifying factors influencing demolition waste generation in Hong Kong. J. Clean. Prod. 2017, 141, 799–811. [Google Scholar] [CrossRef]
- Esa, M.R.; Halog, A.; Rigamonti, L. Strategies for minimizing construction and demolition wastes in Malaysia. Resour. Conserv. Recycl. 2017, 120, 219–229. [Google Scholar] [CrossRef]
- Nikmehr, B.; Hosseini, M.R.; Rameezdeen, R.; Chileshe, N.; Ghoddousi, P.; Arashpour, M. An integrated model for factors affecting construction and demolition waste management in Iran. Eng. Constr. Arch. Manag. 2017, 24, 1246–1268. [Google Scholar] [CrossRef]
- Peng, C.L.; Scorpio, D.E.; Kibert, C.J. Strategies for successful construction and demolition waste recycling operations. Constr. Manag. Econ. 1997, 15, 49–58. [Google Scholar] [CrossRef]
- Ma, W.; Liu, T.; Hao, J.L.; Wu, W.; Gu, X. Towards a circular economy for construction and demolition waste management in China: Critical success factors. Sustain. Chem. Pharm. 2023, 35, 101226. [Google Scholar] [CrossRef]
- Lu, D.; Iqbal, A.; Zan, F.; Liu, X.; Chen, G. Life-cycle-based greenhouse gas, energy, and economic analysis of municipal solid waste management using system dynamics model. Sustainability 2021, 13, 1641. [Google Scholar] [CrossRef]
- Lu, D.; Iqbal, A.; Zan, F.; Liu, X.; Dong, Z.; Jiang, C.; Chen, G. Integrated life cycle assessment with data envelopment analysis for enhancing medical waste management during a public health crisis. J. Clean. Prod. 2023, 426, 139074. [Google Scholar] [CrossRef]
- Hu, R. Quantification and Prediction of Construction Waste Generation of New-Constructed Residential Buildings. Master’s Thesis, Wuhan University of Technology, Wuhan, China, 2020. [Google Scholar]
- Hu, R.; Chen, K.; Fang, W.; Zheng, L.; Xu, J. The technology-environment relationship revisited: Evidence from the impact of prefabrication on reducing construction waste. J. Clean. Prod. 2022, 341, 130883. [Google Scholar] [CrossRef]
- Tam, V.W.Y.; Tam, C.M.; Zeng, S.X.; Ng, W.C.Y. Towards adoption of prefabrication in construction. Build. Environ. 2007, 42, 3642–3654. [Google Scholar] [CrossRef]
- Ministry of Housing and Urban-Rural Development of the People’s Republic of China. Technical Standard for Construction Waste Disposal CJJT 134-2019; China Architecture & Building Press: Beijing, China, 2019.
- Chen, L. Quantification and Reduction of Solid Waste from Construction Sites and Resource Utilisation. Ph.D. Thesis, Wuhan University of Technology, Wuhan, China, 2020. [Google Scholar]
- Iqbal, A.; Liu, X.; Chen, G.H. Municipal solid waste: Review of best practices in application of life cycle assessment and sustainable management techniques. Sci. Total. Environ. 2020, 729, 138622. [Google Scholar] [CrossRef] [PubMed]
- Ministry of Industry and Information Technology of the People’s Republic of China. Technical Specification for Construction Solid Waste Treatment (JCT2744-2023); Ministry of Industry and Information Technology of the People’s Republic of China: Beijing, China, 2023.







| Sort | Description and Contained Component |
|---|---|
| INSW | Stands for inorganic non-metallic solid waste, including natural stone, burnt earth products, cement, concrete and silicate products, etc. |
| ONSW | Stands for inorganic non-metallic solid waste, including waste plastic, waste paint, waste adhesive and other plant materials, synthetic polymer materials and asphalt materials, etc. |
| MSW | Stands for metallic solid waste, including scrap steel bars, scrap copper pipes and other ferrous and non-ferrous materials, etc. |
| CSW | Stands for composite solid waste, including lightweight metal sandwich board, gypsum board, etc. |
| HSW | Stands for hazardous solid waste, including rock wool, asbestos, glass glue, etc. |
| Boundary Name | Boundary Range |
|---|---|
| Time boundaries | From the beginning of construction to the completion and acceptance of the entire construction project. |
| Object boundaries | Take the buildings in the project as the research object, only the solid waste generated in the underground, main, decoration and electromechanical stages of the new building is calculated, and the solid waste generated in any other construction stage is not included in the calculation. |
| Site boundaries | All kinds of building materials start to be calculated when they enter the boundary of the construction site, and solid waste generated by transport and processing outside the site is not calculated. |
| Element boundaries | Solid waste generated from the daily lives of construction workers is not counted. |
| Other provisions | Materials that can be reused directly, such as waste soil, are not counted as solid waste, and materials that need to be processed before they can be used, such as waste steel pipes, need to be counted. |
Disclaimer/Publisher’s Note: The statements, opinions and data contained in all publications are solely those of the individual author(s) and contributor(s) and not of MDPI and/or the editor(s). MDPI and/or the editor(s) disclaim responsibility for any injury to people or property resulting from any ideas, methods, instructions or products referred to in the content. |
© 2024 by the authors. Licensee MDPI, Basel, Switzerland. This article is an open access article distributed under the terms and conditions of the Creative Commons Attribution (CC BY) license (https://creativecommons.org/licenses/by/4.0/).
Share and Cite
Meng, T.; Shan, X.; Ren, Z.; Deng, Q. Analysis of Influencing Factors on Solid Waste Generation of Public Buildings in Tropical Monsoon Climate Region. Buildings 2024, 14, 513. https://doi.org/10.3390/buildings14020513
Meng T, Shan X, Ren Z, Deng Q. Analysis of Influencing Factors on Solid Waste Generation of Public Buildings in Tropical Monsoon Climate Region. Buildings. 2024; 14(2):513. https://doi.org/10.3390/buildings14020513
Chicago/Turabian StyleMeng, Tingwei, Xiaofang Shan, Zhigang Ren, and Qinli Deng. 2024. "Analysis of Influencing Factors on Solid Waste Generation of Public Buildings in Tropical Monsoon Climate Region" Buildings 14, no. 2: 513. https://doi.org/10.3390/buildings14020513
APA StyleMeng, T., Shan, X., Ren, Z., & Deng, Q. (2024). Analysis of Influencing Factors on Solid Waste Generation of Public Buildings in Tropical Monsoon Climate Region. Buildings, 14(2), 513. https://doi.org/10.3390/buildings14020513

