Abstract
Due to the issue of weakened adhesion between ultra-thin surface overlays, higher demands have been placed on bonding layer materials in practical engineering. This study proposed a method for preparing a one-component waterborne epoxy resin-modified emulsified asphalt (OWEEA) and explored the impact of different ratios on its performance. The basic physical and mechanical properties of the OWEEA, as well as its rheological characteristics, were investigated through penetration tests, softening point tests, ductility tests, tensile tests, and dynamic shear rheological tests. Pull-out tests and shear tests considering different substrates were used to evaluate the interfacial bonding performance of the OWEEA as a bonding layer material, and comparative analysis was conducted with conventional waterborne epoxy resin-modified emulsified asphalt. Based on microscopic testing and analysis, the laws of physical and chemical changes and secondary curing characteristics of the one-component waterborne epoxy emulsion (OWE) during the modification of emulsified asphalt were elucidated. The results indicated that the OWE prepared in this study significantly enhanced the tensile strength and bonding properties of emulsified asphalt. The results showed that the tensile strength, bonding strength, and shear strength of the OWEEA increased from 0.15 MPa, 0.36 MPa, and 0.35 MPa to 0.55 MPa, 1.29 MPa, and 2.01 MPa, respectively. The modification effect of the OWEEA surpassed that of conventional waterborne epoxy emulsion, albeit with a certain reduction in elongation at break, reduced from 1551% to 98%. Furthermore, the OWEEA showed a distinct secondary curing phenomenon. The results of the SEM tests showed that high temperatures accelerated the formation of the crosslinked network structure of OWE, promoting its integration with emulsified asphalt and resulting in a more uniform and dense structure, significantly enhancing bonding strength in a short period. In the actual road construction process, laying hot-mix asphalt mixtures on the bonding layer can further enhance its curing effect and improve its bonding performance.
1. Introduction
With the development of pavement materials and preventive maintenance techniques [1,2,3,4], the application of ultra-thin overlays and functional pavers has become increasingly widespread [5,6,7]. However, it is difficult to ensure the interlayer bonding performance due to differences in material properties and relatively weakened mechanical compatibility between the upper and lower cladding layers, as well as surface contamination of the lower cladding layer caused by milling [8,9]. The resulting interlayer disease problem has become a key factor restricting development [10], so the bonding layer materials must meet higher requirements [11,12,13].
Currently, modification of emulsified asphalt is the main way to achieve the high performance of emulsified asphalt [14,15]. The emulsified asphalt modifiers commonly include Styrene Butadiene Styrene (SBS), Styrene Butadiene Rubber (SBR), and water-based epoxy resins [16,17]. SBS-modified emulsified asphalt exhibits excellent high- and low-temperature performance, however, it has the property of being difficult to emulsify directly, and the typically low SBS content in the emulsified asphalt restricts the effectiveness of SBS as a modifier [18]. SBR-modified emulsified asphalt is characterized by its ease of production and straightforward emulsification process, but it tends to exhibit relatively poor high-temperature stability and bonding performance. As a tack coat material, waterborne epoxy-modified emulsified asphalt inherently possesses excellent bonding properties and durability [19,20].
Compared to traditional epoxy resin, waterborne epoxy resin (WER) systems have clear advantages, including lower emissions of volatile organic compounds, environmental friendliness, and compatibility with other waterborne systems to improve the material performance [21]. There are currently four main methods for preparing a WER: the mechanical method, the inverse emulsion method, the curing agent emulsification method, and the chemical grafting method. Zhang et al. [22] modified bisphenol, an epoxy resin, with a p-aminobenzoic acid modifier to prepare an epoxy resin with hydrophilic groups, and found that the epoxy resin had good self-emulsifying properties. By introducing polyetheramine, Yin et al. [23] prepared a new self-emulsified waterborne epoxy hardener that can emulsify a liquid epoxy resin in aqueous media without the addition of acid neutralizers. At present, the typical WER systems studied usually consist of two components: a WER and a curing agent. In practical applications, it is necessary to add a curing agent to the waterborne epoxy resin to facilitate its cross-linking and curing. Due to the irreversibility of the curing reaction, the WER and the curing agent need to be stored independently before use. When used, it needs to be mixed strictly in accordance with the correct proportions before the curing reaction occurs, incorrect use would inevitably affect the construction efficiency and quality. However, the one-component waterborne epoxy emulsions (OWEs) can be used directly, without the need for adding curing agents, greatly simplifying the construction process. Currently, there are mainly two types of OWE: externally crosslinked OWEs, and self-crosslinked one-component waterborne epoxy emulsions. Shi et al. [23] prepared a waterborne epoxy resin through graft copolymerization of epoxy resin with acrylic monomers and examined the impact of the preparation process on the grafting rate of the acrylic monomers. Liu et al. [24] developed a two-step esterification process for the synthesis of epoxy-acrylic-grafted-copolymer waterborne resins and found that the polar group content in a waterborne resin can be optimized for better anticorrosion performance.
In recent years, many scholars have utilized WER to enhance the high-temperature performance and bonding properties of emulsified asphalt, and it has been used as a bonding layer material for road surfaces. Li et al. [25] prepared waterborne epoxy-modified emulsified asphalt with excellent bonding properties, mechanical strength, and fatigue life using self-synthesized waterborne curing agents. Wang et al. [26] analyzed the structure of WER-modified emulsified asphalt at a microscale using scanning electron microscope microanalysis and found that WER can improve its high-temperature performance, but, at the same time, it will reduce the low-temperature performance of the mixture. Liu et al. [27] investigated the properties and mechanism of Waterborne Epoxy Resin-SBR Composite Modified Emulsified Asphalt (WER-SCMEA) using laboratory tests and found that the WER-SCMEA had good properties and stability. Gu et al. [28] conducted research on the compatibility of cured WEREA through the analysis of the solubility parameter difference, the storage stability, and the Fourier transform infrared spectrum, and found that better compatibility of cured WEREA contributed to better interlayer properties of cured WEREA. Liu et al. [29] conducted theoretical analyses of adhesion and simulated damage tests of adhesion and water repellency with WEREA and found that the components and network microstructure of WEREA enhanced the cohesion property of the interlayer and improved the material viscoelasticity. Abd El-Rahman A M M et al. [30] found that asphalt emulsion modified with a mixture of water-based epoxy resin, latex SBR, and polyvinyl acetate (PVA) showed great road performance in terms of fuel and acid resistance, and good rheological properties.
At present, there are many studies by scholars on the use of common waterborne epoxy resins for modified emulsified asphalt (WEREA), including the rheological properties, adhesive properties, and microscopic characteristics of WEREA [31,32,33]. However, there are fewer studies on the use of one-component waterborne epoxy emulsion (OWE) for modified emulsified asphalt as a bonding material. The preparation of one-component waterborne epoxy emulsified asphalt (OWEEA) bonding layer materials with excellent performance can ensure the optimization of the construction process and improve the construction efficiency, as well as ensure the reliability and quality of bonding layer materials, which has a broad application prospect in practical engineering applications.
As illustrated in Figure 1, the OWEEA proposed in this study was prepared by first using epoxy resin and unsaturated anhydride to form the epoxy ester, and then grafting acrylic monomers onto the epoxy ester to produce the OWE. When the external conditions of the OWE change, the curing reaction takes place between the acrylic monomer and the epoxy ester without the need for an additional curing agent. By incorporating OWE into the emulsified asphalt, the cross-linking curing reaction of the epoxy resin in the OWE with the grafted acrylic monomers on its surface is facilitated through the initiation and catalytic effects provided by the tar polyphenols and emulsifiers in the emulsified asphalt. This process results in the formation of a waterborne epoxy resin-cured product with excellent properties. At the same time, the curing product and emulsified asphalt are physically blended to obtain the waterborne epoxy emulsified asphalt. The material not only possesses the low-temperature toughness characteristics of SBR-modified emulsified asphalt, giving the properties of toughness and ductility to the material but also inherits the high strength and excellent stability of a waterborne epoxy resin, strengthening the bonding properties of emulsified asphalt as a bonding material.
Figure 1.
Fabrication principle of the OWEEA introduced in this study.
The objective of this study was to investigate the feasibility of modifying emulsified asphalt with OWE in order to prepare a new OWEEA bonding layer material. To achieve this goal, OWEEAs with different OWE contents were tested for basic physical and mechanical properties, rheological properties, and adhesive properties. These properties are prerequisites for the application of OWEEA in bonding layer materials. In addition, the curing mechanism and the enhancement of the bonding performance of the OWEEA were explored with microscopic analysis.
2. Materials and Methods
2.1. Preparation of One-Component Waterborne Epoxy Emulsified Asphalt (OWEEA)
The chemicals used in the research were supplied by a company in Hebei Province, China, and are characterized by excellent performance and stability. The preparation process of the OWEEA is illustrated in Figure 2, which mainly includes the processes of esterification, grafting, chemical modification, and physical modification: (1) First, the anhydride (oleic acid) and E-44 (epoxy resin) were mixed at 100 °C, and the catalyst (tetraethylammonium bromide) was then added after the mixture was heated to 120 °C. Through the esterification process, the epoxy ester was obtained. (2) The benzoyl peroxide was added to the epoxy ester as the initiator for the grafting, and then the diacetone acrylamide, acrylic monomer (curing agent), and styrene were added into the mixture dropwise at a temperature of 110 °C. Through this process, the waterborne epoxy emulsion was obtained with the curing agent grafted on it, which was called a one-component waterborne epoxy (OWE) emulsion. (3) The N, N-dimethylethanolamine (organic amine), adipic dihydrazide, and water were added to the OWE after it was cooled to 50 °C to adjust the pH value of the mixture. (4) The OWE was then added to the emulsified asphalt at room temperature. Through the initiation and catalytic effects provided by the tar polyphenols and emulsifiers in the emulsified asphalt, a cross-linking curing reaction was generated between the epoxy resin in the OWE and the acrylic monomers grafted on its surface. This process resulted in the formation of a waterborne epoxy resin-cured product with excellent properties. With a manual blending, the cured product could be uniformly melt-blended into the emulsified asphalt to obtain the waterborne epoxy emulsified asphalt.
Figure 2.
Flow chart for preparation of OWEEA.
It is worth mentioning that the OWE emulsion is in a relatively stable condition compared to a conventional epoxy resin, and it could be stored for a long time as long as the curing agent grafted on it is not initiated. The OWEEA could be produced by mixing the OWE with emulsified asphalt manually, without heating, whenever it is needed. Additionally, the similar morphological characteristics between the OWE and the emulsified asphalt could endow the mixture with satisfactory operability and fairly good compatibility.
Compared to conventional two-component waterborne epoxy resin systems, the one-component waterborne epoxy resin system can be used directly, without the addition of a curing agent before use, which could not only simplify the preparation process and facilitate the transport but also improve the construction efficiency and stability. However, when mixing the OWE with emulsified asphalt, it is necessary to ensure that the temperature is not too high, otherwise, it would promote the curing process and result in the formation of agglomerates, which would affect the performance of the product. Therefore, it is important to maintain a uniform temperature that is no higher than 60 °C during the preparation of the material.
The basic properties of the OWE and the emulsified asphalt used for this study are presented in Table 1 and Table 2, respectively.
Table 1.
Basic properties of OWE.
Table 2.
Basic properties of emulsified asphalt.
This study considered five different blending ratios of SBR-modified emulsified asphalt and OWE: 1:0, 1:0.2, 1:0.4, 1:0.6, and 1:0.8 (by mass). These ratios are denoted as OWEEA-0 (pure SBR-modified emulsified asphalt), OWEEA-2, OWEEA-4, OWEEA-6, and OWEEA-8. The conventional waterborne epoxy resin-modified emulsified asphalt is referred to as CWEEA. The basic physical and mechanical properties of the OWEEA, as well as its rheological characteristics, were evaluated using penetration tests, softening point tests, ductility tests, DSR tests, and BBR tests. The tensile test, pull-out test, and shear test were conducted to investigate the tensile properties, interfacial bonding properties, and interface shear properties of the OWEEA as a bonding layer material. The curing reaction characteristics, microstructure of the cured product, and secondary curing effects of the OWEEA were analyzed through FTIR and SEM tests. The experimental plan is shown in Figure 3.
Figure 3.
Experimental protocols.
2.2. Testing Methods
2.2.1. Fundamental Physical and Mechanical Performances
Penetration tests, softening point tests, ductility tests, and tensile tests were conducted to characterize the fundamental physical and mechanical performances of the OWEEA. To carry out the tensile test, the OWEEA specimens were placed under standard conditions for 2 h and then mounted in the tester fixture for testing at a tensile rate of 500 mm/min.
2.2.2. Rheological Properties
The rheological characteristics of the OWEEA were studied using the SmartPave102 Dynamic Shear Rheometer (DSR) produced by Anton Paar® from Graz, Austria. Frequency sweep tests were conducted at temperatures ranging from 50 to 70 °C, with a frequency range of 0.1 to 100 rad/s, and temperature intervals of 10 °C. Temperature sweep tests were conducted at an angular frequency of 10 rad/s, with test temperatures ranging from 46 to 82 °C. The multiple stress creep recovery (MSCR) tests and the linear amplitude sweep (LAS) tests were also performed based on the DSR to explore the creep recovery property and fatigue resistance of the OWEEA at 64 °C and 25 °C, respectively. The low-temperature rheological properties of the OWEEA were also investigated using the TE-BBR bending beam rheometer (BBR) provided by the CANNON Instrument Company from the State College, PA, USA; the test temperatures were −12 °C, −15 °C, and −18 °C [34,35].
2.2.3. Pull-Out Test
The bonding properties of the OWEEA were investigated using interface pull-out tests and shear tests, as shown in Figure 4 and Figure 5. The pull-out tests were performed with a PosiTest AT-A automatic adhesion tester (DeFelsko Corporation, Ogdensburg, NY, USA), whereas the shear tests were conducted using a UTM universal testing machine. Three different substrates were considered in the pull-out tests: cement concrete, asphalt concrete, and steel, simulating the bonding performance of the OWEEA as a bond layer material on different surfaces. During the experiments, different proportions of the OWEEA were uniformly applied to the three substrate types. After the OWEEA surface had dried, pull-out tests were conducted in the laboratory at 25 °C following a 24 h curing period. The tests measured the bonding strength and compared the results with those of CWEEA.
Figure 4.
Pull-out tests at various interfaces. (a) cement concrete. (b) asphalt concrete. (c) steel. (d) during test.
Figure 5.
Inclined shear tests for interlamination. (a) Schematic diagram of specimen molding. (b) Inclined shear test setup.
Furthermore, according to the curing mechanism of OWEEA, high temperatures can promote further curing after the initial curing. In practical construction processes, when a hot-mix asphalt mixture is laid on top of OWEEA, elevated temperatures can induce secondary curing reactions. Therefore, this study also investigated the secondary curing effects of the OWEEA under different curing temperatures and periods through pull-out tests. During the experiments, the OWEEA was evenly applied to the surface of cement concrete blocks. The first group was cured at 60 °C the second group at 150 °C, and the third group at room temperature (around 25 °C). During the curing period, the first group conducted a pull-out test on the samples to measure the interfacial bond strength every 24 h. The second group was tested for bonding strength at time intervals of 3 h, 6 h, 12 h, and 24 h. The third group was tested at time intervals of 1 day, 3 days, 7 days, 14 days, and 28 days. Each group was subjected to four parallel tests.
The interfacial shear strength of the bonding material under continuous compressive and shear stress was evaluated through interfacial shear tests. The loading rate was set at 50 mm/min, and the test temperature was maintained at 25 °C. During the test, the maximum vertical pressure during the interlayer shear failure process was recorded. The interface shear strength was calculated according to
where, is the shear strength, MPa; F is the vertical load, N; S is the interface contact area between upper and lower specimens, mm2.
To simulate the working conditions of the actual road bonding layer, a sandwich-type composite structure specimen was created by using a rotary compaction instrument, as shown in Figure 4. The diameter and height of the specimen were 100 mm, and the diameter and height of the AC-13 mixture and the AC-20 mixture were 100 mm and 50 mm, respectively. The optimum asphalt contents for the AC-13 mixture and the AC-20 mixture were 5.0% and 4.5%, respectively. The gradation and the volumetric parameters of the AC-13 mixture and the AC-20 mixture are shown in Table 3 and Table 4, respectively.
Table 3.
Volumetric parameters of the asphalt mixtures.
Table 4.
Gradation of the aggregate for the mixture.
Firstly, we formed the bottom layer (AC-20) specimen with a height of 50 mm and compacted it 100 times. Subsequently, different proportions of the OWEEA were applied to the surface of the bottom layer specimens. After the OWEEA had dried, the specimens were placed in a rotary compaction instrument. AC-13 was then placed on top of the specimens, and compaction was carried out using the rotary compaction instrument for 100 cycles, ensuring that the height of the top layer (AC-13) was 50 mm.
2.2.4. Microscopic Testing and Analysis
The physical and chemical changes during the modification process of the OWE, SBR-modified emulsified asphalt, and OWEEA were tested and analyzed using infrared spectroscopy (FTIR) tests in the range of 400~4000 cm−1. Additionally, the samples of OWEEA subjected to curing at room temperature for 24 h and curing at 150 °C for 3 h and 6 h were analyzed using Scanning Electron Microscopy (SEM). By observing the changes in the microscopic morphology and structure of the samples, the characteristics of secondary curing under high-temperature conditions were explored. A JSM-IT500LV scanning electron microscope was used for the SEM test, and an IS50 FT-IR Fourier Transform Infrared Spectrometer was used for the FTIR test.
3. Results
3.1. Physical and Mechanical Properties
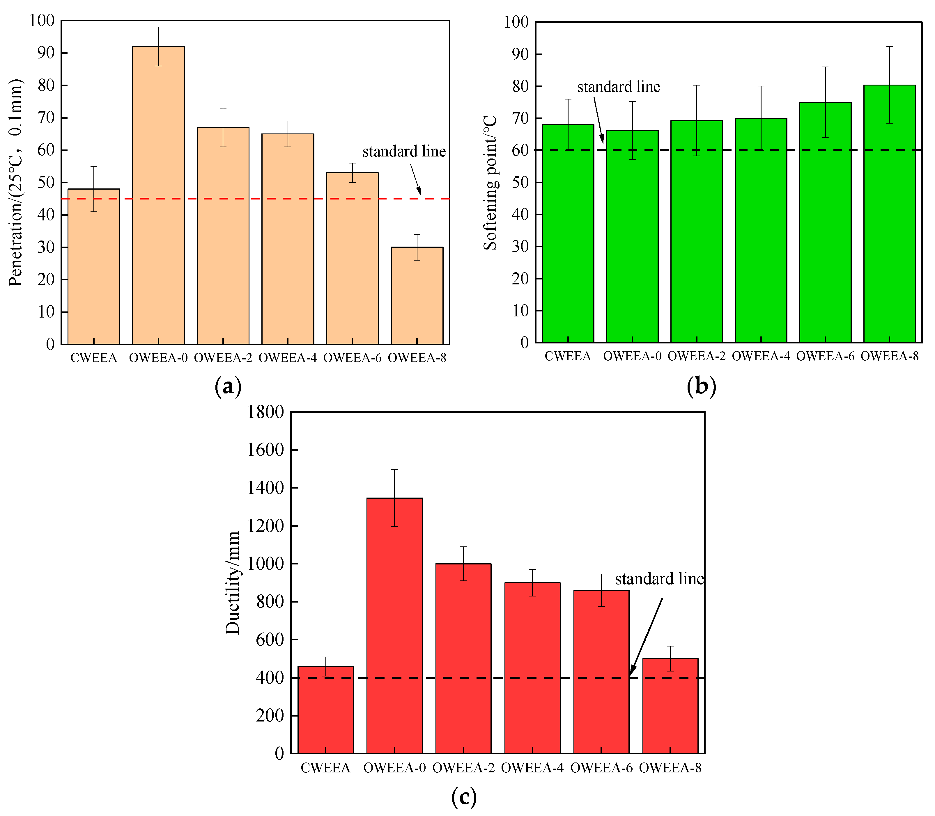
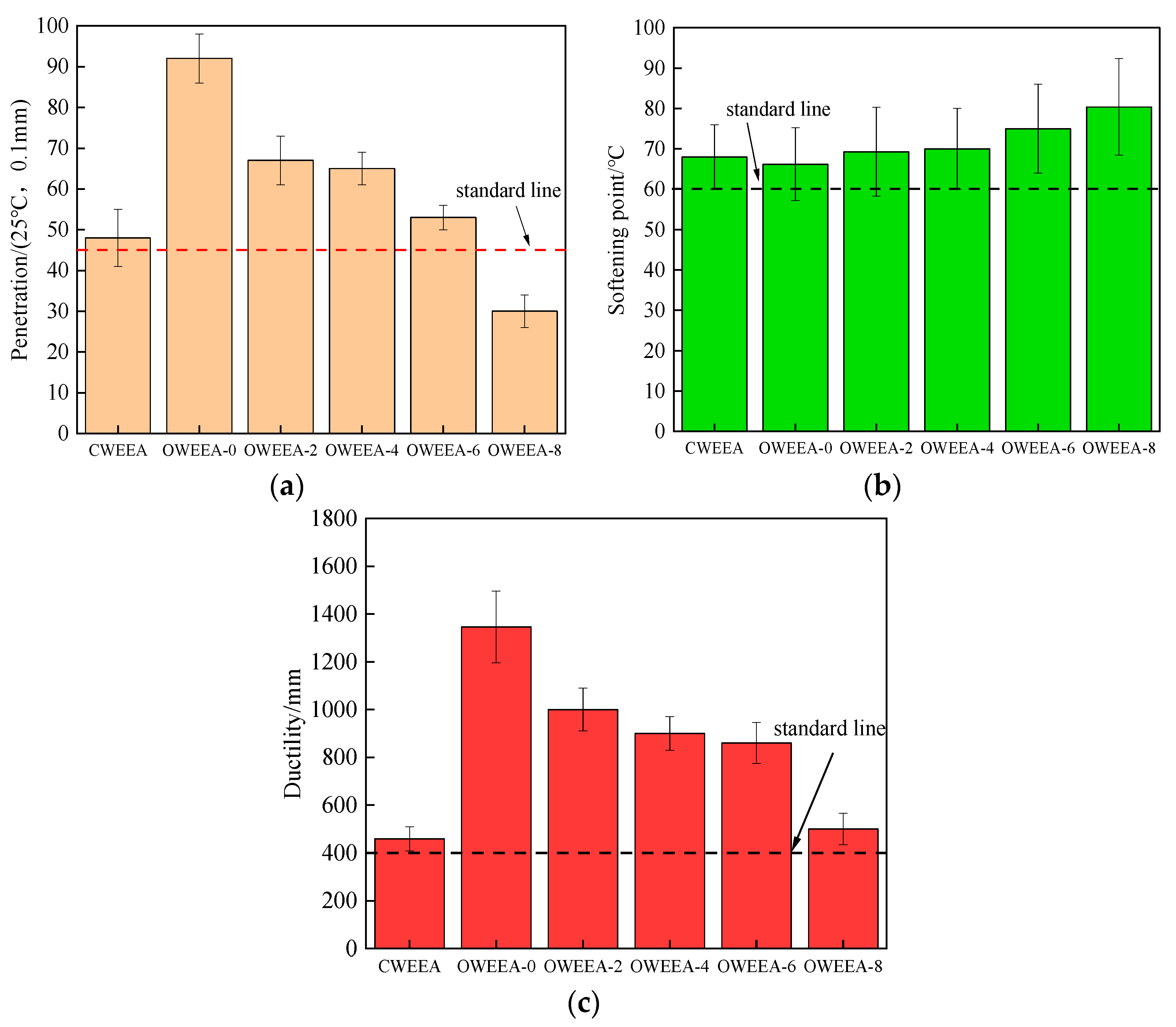
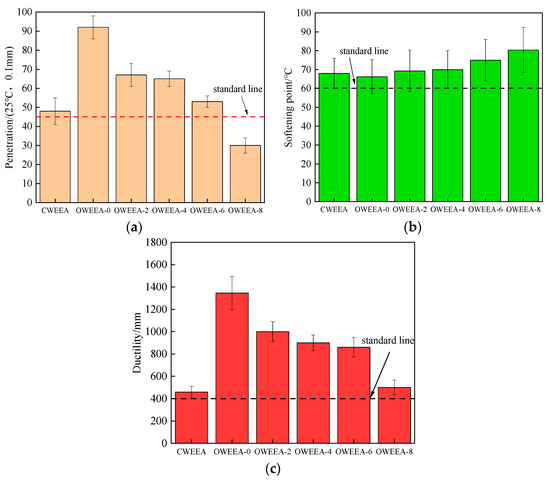
The results of the basic performance of the OWEEA are shown in Figure 6. The results showed that the increasing dosage of OWE resulted in a decrease in the penetration of the OWEEA. The largest decrease in penetration was achieved when the mixing ratio was increased from 0.6 to 0.8. The incorporation of OWE increased the softening point of the OWEEA, and the higher the incorporation, the greater the softening point enhancement of the OWEEA. The softening points of OWEEA-6 and OWEEA-8 were increased by 9 °C and 14 °C, respectively. It was shown that the increase in the dosage of OWE had a significant effect on the improvement in the high-temperature performance of the OWEEA. In addition, the increase in the dosage of OWE resulted in a gradual decrease in the ductility of the OWEEA, it showed that the OWEEA had undergone a transformation from thermoplastic to thermoset materials, reducing the low-temperature toughness of the OWEEA. The admixture of OWE caused the OWEEA to become brittle, in which the ductility of OWEEA-8 decreased by 62%. When the mixing ratio of the OWE was less than 0.6, its penetration and ductility were greater than that of the CWEEA. The softening point was higher than that of the CWEEA when its mixing ratio was greater than 0.2. This indicated that when the mixing ratio of the OWE was greater than 0.2 but less than 0.6, the OWEEA exhibited superior high-temperature stability and low-temperature toughness compared to the CWEEA.
Figure 6.
Results from penetration, ductility, and softening point tests. (a) Penetration. (b) Softening points. (c) Ductility.
The tensile test results of the OWEEA are shown in Figure 7. The tensile strength of the OWEEA increased with the increasing dosage of OWE; the elongation at the break of the OWEEA was subsequently reduced. These results indicated that the OWE formed a crosslinked mesh structure in the emulsified asphalt through a curing reaction. The density of the crosslinked mesh structure increased with the increase of the dosage of OWE, and the proportion of cured material increased after the curing reaction of OWE, which resulted in the transformation of the OWEEA from thermoplastic to thermosetting, thus reducing its elongation at break. Compared to OWEEA-0, the increase in tensile strength was 12.5%, 22.5%, 37.5%, −25%, and the decrease in elongation at break was 55%, 61%, 77%, and 89% when the mixing ratio of the OWE was 0.2, 0.4, 0.6, and 0.8, respectively. OWEEA−8 had the worst performance. The reason could be that the crosslinked mesh structure formed after the curing of the OWE can enhance the tensile strength of the material. As the proportion of OWE in the mixture increases, the epoxy resin curing products gradually fill in the material system. The overall system was more homogeneous and denser, resulting in higher tensile strength and lower elongation at break. When the mixing ratio of OWE is 0.8, the SBR-modified emulsified asphalt cannot be fused with more OWE, resulting in a decrease in tensile strength. Except for OWEEA-8, the tensile strength of the OWEEA in all blending ratios was better than that of the CWEEA, which indicated that the strength enhancement effect of OWE on SBR-modified emulsified asphalt was better than that of ordinary waterborne epoxy resin.
Figure 7.
Results from tensile tests.
3.2. Rheological Properties
3.2.1. High-Temperature Rheological Properties
The results of the temperature scanning test for the OWEEA are shown in Figure 8. The results showed that the G* and G*/sinδ of the OWEEA gradually increased with the increase of OWE dosage, they also showed that the OWE can significantly improve the high-temperature deformation resistance and high-temperature rutting resistance of SBR-modified emulsified asphalt. OWEEA-6 had the best high-temperature stability. For example, at 60 °C, G*/sinδ increased by 0.5%, 8%, 15%, and 0.5%, respectively, during the increase in the mixing ratio of OWE. When the proportion of the OWE mixing ratio was higher than 0.6, SBR-modified emulsified asphalt could not provide sufficient initiating and catalyzing materials for the curing reaction of OWE, which resulted in the newly added OWE segregating from the raw material and weakening the high-temperature performance of the OWEEA.
Figure 8.
Temperature scanning results of OWEEA. (a) G* and δ. (b) G*/sinδ.
The results of the frequency sweep test for the OWEEA are shown in Figure 9. The results showed that the G* of the OWEEA increased with the increase of loading frequency, it is shown that the incorporation of OWE led to the enhancement of the deformation resistance of the OWEEA, and as the loading rate increases, G* increases even faster. At the same temperature, the G* of the OWEEA with different OWE dosages showed the same trend as the results of the temperature scanning test. When the mixing ratio was lower than 0.6, the dosage of OWE in the OWEEA gradually increased and the G* gradually increased, and when the mixing ratio was higher than 0.6, the G* showed a decreasing trend. Comparison with OWEEA-0 revealed that the high-temperature performance of the above four ratios was improved to different degrees, which indicated that the incorporation of OWE can enhance the deformation resistance of SBR-modified emulsified asphalt to different degrees.
Figure 9.
Frequency scanning results of OWEEA.
3.2.2. Creep Recovery Capacity
As illustrated in Figure 10, the percent recovery, R, and the non-recoverable creep compliance, Jnr, of the OWEEA were obtained from the MSCR tests. The R3.2 represents the percent of elastic recovery at 3.2 kPa calculated by the ratio of recoverable strain to unrecoverable strain, and it reflects the recovering capacity of the OWEEA after being subjected to loads or stresses. The Jnr3.2 is the non-recoverable creep compliance at 3.2 kPa calculated by unrecoverable strain and applied stress, and the lower the Jnr3.2, the stiffer and the better rutting resistance of the OWEEA. As the proportion of OWE mixing increases, the creep recovery capacity of the OWEEA under different stress levels decreases and then increases; OWEEA-8 had the largest creep recovery capacity, which increased by 14% compared to OWEEA-0. This indicated that, when the OWEEA was subjected to external forces, the incorporation of a large amount of OWE could enhance the resistance of the OWEEA to the external forces, and could be better restored to its previous state.
Figure 10.
Results of the MSCR tests. (a) R3.2. (b) Jnr3.2.
3.2.3. Fatigue Resistance
Figure 11 illustrates the fatigue life, Nf, of the OWEEA at a 2.5% strain level from the LAS test. It can be observed that the fatigue life of the OWEEAs that were doped with OWE all showed a significant increase compared to OWEEA-0, of these, OWEEA-6 improved by 400% at a 2.5% strain level. When the proportion of OWE was higher than 0.6, the fatigue life decreased significantly. Compared to OWEEA-6, the fatigue life of OWEEA-8 was reduced by 26%.
Figure 11.
Fatigue life (Nf) of the OWEEA at 2.5% strain level.
3.2.4. Low-Temperature Rheological Properties
Stiffness (S) reflects the bending rheology of asphalt. Creep value (M) reflects the stress relief behavior of asphalt. They relate to the low-temperature flexibility of the asphalt pavement when subjected to stress. As can be seen from Figure 12, with the increase in the proportion of OWE, the S of the OWEEA showed a trend of decreasing and then increasing. The Ss of the OWEEAs were all less than OWEEA-0 when the mixing ratio of OWE was not higher than 0.6, which indicated that the low-temperature performance of the OWEEA was improved when the mixing ratio of the one-component waterborne epoxy resin was not higher than 0.6. As an example, at −12 °C, the S of OWEEA-8 increased by 13 MPa compared to OWEEA-0, while the S of OWEEA-2, OWEEA-4, and OWEEA-6 decreased by 6 MPa, 7 MPa, and 28 MPa, respectively. For the creep values (Ms) of the OWEEA, when the mixing ratio of the OWE is not higher than 0.6, all of them are increased. This result also illustrated that the low-temperature performance of the OWEEA was improved by increasing the content of OWE in the mixture.
Figure 12.
Stiffness and creep rate of OWEEA at −12 °C, −15 °C and −18 °C. (a) Stiffness. (b) Creep value.
3.3. Interface Bonding Performance
The results of the pull-out test of the OWEEA bonded to different substrates are shown in Figure 13. The incorporation of OWE resulted in a significant increase in the bonding strength of the OWEEA on three different substrates, which indicated that OWE can effectively improve the bonding performance of SBR-modified emulsified asphalt. From the results, the bonding strength of the OWEEA to the steel plate substrate was higher than the other two substrates. When the proportion of OWE was lower than 0.6, the bonding strength of the OWEEA increased rapidly with the increase in OWE. When the mixing ratio was higher than 0.6, the bonding strength of the OWEEA was reduced. The results showed that when the OWE mixing ratio exceeded 0.6, it was difficult for the SBR-modified emulsified asphalt to provide sufficient initiation and catalytic catalysis, and the increased content of uncured OWE resulted in a weakened fusion with the SBR-modified emulsified asphalt and segregated, which inhibited the growth of the material bond strength. After OWE blending, the overall bonding strength of the OWEEA was higher than that of the CWEEA, which indicated that the effect of OWE on the bonding capacity of the SBR-modified emulsified asphalt was better than that of ordinary waterborne epoxy resin. OWEEA-6 was the optimal blending amount of OWE and had the best effect on the modification of SBR-modified emulsified asphalt.
Figure 13.
Pull-out test results of OWEEA with various bonding substrates.
From the analysis of the above test results, it can be seen that OWEEA-6 was the optimum dosage of the OWEEA, so OWEEA-6 was selected for the secondary curing simulation tests. Figure 14 shows the change in bonding strength with curing time for OWEEA-6 under different curing temperature conditions. The results showed that the effect of temperature on the curing rate of OWEEA-6 was significant. At 60 °C OWEEA-6 can reach its final strength at about 72 h, and the bonding strength was increased to 1.96 MPa; at 150 °C, the bonding strength of OWEEA-6 reached 95% of the final strength at 6 h and reached the final strength at about 24 h and the bonding strength increased to 2.1 MPa. In contrast, it took 28 d to reach the final strength at room temperature. This is larger than the bonding strength of WEREA reported by Li et al. [36]. The reason is that, under the high-temperature conditions, the emulsion breaking of the SBR-modified emulsified asphalt proceeded rapidly, and the curing reaction of OWE undergoing dehydration condensation cross-linking was also accelerated, thus completing the curing reaction and reaching the final curing strength in a short period. In addition, the cure rate of the OWE itself can be affected by high temperatures.
Figure 14.
Pull-out test results of OWEEA under various curing temperatures. (a) Room temperature. (b) 60 °C. (c) 150 °C.
The results of the inclined shear tests of the combined specimen with the OWEEA as the bonding layer material are shown in Figure 15. The results showed that the shear strength of the OWEEA had been improved to different degrees. The increase in shear strength was 1.1 MPa, 1.3 MPa, 1.65 MPa, and 1.25 MPa when the blending ratio was 0.2, 0.4, 0.6, and 0.8, respectively. Similar to the change rule of the results of the tensile tests, when the mixing ratio of OWE was lower than 0.6, the shear strength tended to increase with the increase in the mixing ratio of OWE, and when the mixing ratio of OWE was higher than 0.6, the shear strength of the OWEEA decreased. The trend of the shear strength of the OWEEA was consistent with the results of Zhang et al. [16].
Figure 15.
Results from inclined shear tests for composite specimens using OWEEA.
3.4. Analysis of the Strengthening Mechanism of Secondary Curing and Interfacial Bonding
The schematic diagram of the OWEEA secondary curing and interlayer interfacial bonding strengthening mechanism is shown in Figure 16. The OWEEA, as a bonding layer material, enhanced the interlayer bonding performance between the lower layer and the upper layer through two mechanisms: chemical reinforcement and physical reinforcement. The chemical reinforcement mechanism was achieved through the secondary curing action of the OWEEA under high-temperature conditions, while the physical reinforcement mechanism was achieved through the upward migration of the bonding layer material under high-temperature conditions, and its infiltration and fusion with the overlay asphalt mixture.
Figure 16.
Secondary curing and interlayer bonding strengthening mechanism of OWEEA.
In the actual construction process, after the OWEEA bonding layer material sprinkling was completed, it was necessary to wait for the OWEEA to demulsify. Even though the demulsified OWEEA was not fully cured, it exhibited the characteristics of not adhering to wheels. Subsequently, a hot asphalt mixture (150–180 °C) was placed as the upper layer over the OWEEA-bonding layer. At this point, the high temperature facilitated a secondary curing reaction in the partially cured OWEEA, further enhancing its bonding strength. This secondary curing feature ensured the strength of the bonding layer material and prevented it from carbonizing and failing at high temperatures.
The secondary curing mechanism of the OWEEA was: the epoxy resin in the OWE underwent a dehydration crosslinking curing reaction with the acrylic acid monomer grafted onto it, initiated by the emulsifier in the emulsified asphalt, tar polyphenols in the emulsified asphalt served as catalysts for this reaction. Therefore, when the OWE was mixed with emulsified asphalt, a curing reaction took place. The effect of high temperature can accelerate the dehydration process of OWE and the curing reaction, shorten the period required for the curing reaction, and improve the performance of the OWEEA. This process of accelerated OWEEA curing was called secondary curing. From the results of the pull-out tests, it can be seen that after mixing the OWE with SBR-modified emulsified asphalt the curing reaction started to take place, the curing reaction of the OWE proceeded slowly at room temperature, and the curing reaction was completed at 28 d to reach the final strength. At 60 °C, the dehydration process of the OWE accelerated, and the cross-linking and curing process also sped up significantly. The curing reaction was completed within 72 h, achieving the final bonding strength; the dehydration process of the OWE was further accelerated at 150 °C, and the curing reaction was completed at 24 h to reach the final bonding strength. This strengthened the contact occlusion between the interlayer interfaces and enhanced the interlayer adhesion properties.
The mechanism of physical reinforcement of interlayer adhesion by the OWEEA occurred when paving the top layer, as the OWEEA was not fully cured at this time. The high temperature of the overburden caused upward migration of the OWEEA, which penetrated and blended with the paved asphalt mixture and cured further at high temperatures.
It could be concluded from the combined test results that, in practice, the OWEEA introduced in this study could be used for pavement structures that need enhanced bonding performance between layers, such as the ultra-thin friction course and asphalt overlay on existing cement concrete pavements. Additionally, it could also be used as the bonding material for the asphalt layer using modified asphalt binders with a high viscosity, which need high temperatures in the paving process. In those cases, the OWEEA could provide desirable stability and avoid carbonization and bonding failures of the pavement.
3.5. Microscopic Testing and Analysis Results
As can be seen in Figure 17, the infrared spectra of the OWEEA were similar to those of SBR-modified emulsified asphalt itself, and the positions of the characteristic peaks were the same. Where the characteristic peak at 2929–2846 cm−1 was generated by the C-H stretching vibration in the methylene group, the characteristic peak at 2361 cm−1 was the bending vibration of OH. The characteristic peak at 1606 cm−1 was the =C-H internal bending vibration on the benzene ring. The characteristic peak at 1602 cm−1 was made by the C=C stretching vibration in olefins, and at 1509 cm−1 was a result of the C=C stretching vibration in aromatics. The characteristic peak at 1231–1034 cm−1 was produced by the OH bending vibration in the primary alcohol. The deformation vibrations of CH2 and CH3 at 1455 cm−1 may also contain benzene ring deformation vibrations. The bending vibrations of the butyl and benzene ring were at 1376 cm−1. The 1338–1033 cm−1 were the characteristic peaks arising from the C-N stretching vibrations of the primary amine moiety. From the infrared spectrum results, it can be concluded that, compared with the SBR-modified emulsified asphalt, the OWEEA did not produce new characteristic peaks. Therefore, it can be concluded that the OWE did not undergo a chemical reaction with the SBR-modified emulsified asphalt, and no new functional groups were formed. The interaction between the SBR-modified emulsified asphalt and the OWE was a purely physical blending process.
Figure 17.
Infrared spectral results.
The microfabrication results of the OWEEA under different curing conditions are shown in Figure 16. The setting of conditions from room temperature to 150 °C simulates the basic process of pavement paving construction, from low to high temperatures. As can be seen from Figure 18, the curing reaction of OWE in SBR-modified emulsified asphalt was still incomplete after 24 h of curing at room temperature, the crosslinked mesh structure that formed was inhomogeneous, the network structure was not dense, and some voids were not filled by the curing product. After curing at 150 °C for 3 h, the degree of curing of the material was improved, and the fusion of the OWE and the SBR-modified emulsified asphalt gradually tended to be close, forming a denser crosslinked mesh structure with better homogeneity and fewer voids. When cured at 150 °C for 6 h, the OWE in the SBR-modified emulsified asphalt had completed the curing; the cured product was tightly fused with the SBR-modified emulsified asphalt and the section was flatter. From the results of SEM tests, it can be seen that the curing reaction started to take place, and the crosslinked mesh structure was formed, after the mixing of the OWE with the SBR-modified emulsified asphalt. At high temperatures, the OWEEA produced an obvious secondary curing reaction, as the temperature increased, the curing reaction became more complete, and the curing product was more uniform and denser. From the results of previous mechanical properties tests, it can also be seen that as the curing reaction proceeded, the material showed greater mechanical properties.

Figure 18.
Results from SEM tests under various curing conditions. (a) 24 h at room temperature. (b) 24 h at room temperature. (c) 3 h at 150 °C. (d) 6 h at 150 °C.
4. Conclusions
In this study, a one-component waterborne epoxy emulsion-modified emulsified asphalt (OWEEA) material was developed. The effects of different dosages of one-component waterborne epoxy (OWE) emulsions on the physical and mechanical properties of the OWEEA, and its key mechanical properties as a bonding layer material, were investigated. Based on the experimental results, the following conclusions can be obtained regarding tensile strength, shear strength, and adhesion.
- (1)
- The incorporation of OWE can effectively improve the properties of SBR-modified emulsified asphalt. When the blending ratio of OWE is lower than 0.6, the performance of the OWEEA shows an increasing trend, while when the blending ratio is higher than 0.6, the performance of the OWEEA decreases. This indicates that the blending ratio of 0.6 is the optimum ratio for the OWEEA and that OWEEA-6 has the best performance. When the ratio of OWE to emulsified asphalt was not higher than 0.6, the tensile strength, shear strength, and bond strength of the OWEEA increased rapidly with the increase in the amount of OWE. When the ratio was higher than 0.6, a significant decrease in tensile strength, shear strength, and bond strength was observed.
- (2)
- The high-temperature rutting resistance and high-temperature deformation resistance of the OWEEA were significantly improved with the increase in the dosage of OWE. High temperatures accelerated the curing reaction rate of the OWEEA, and the bonding strength of OWEEA-6 was greatly improved after the second curing. The curing time of the OWEEA was accelerated, from the original 28 d required for ambient curing to 72 h and 24 h, and the bonding strength was also enhanced from 0.79 MPa to 1.22 MPa and 2.1 MPa in 24 h when the temperature conditions were 60 °C and 150 °C.
- (3)
- By infrared spectroscopy analysis, it was concluded that the OWE did not react chemically after being mixed with emulsified asphalt and did not form new functional groups. Emulsified asphalt and OWE were only physically co-mingled with each other, and they exhibited good compatibility.
- (4)
- The performance of OWE in modifying emulsified asphalt through the formation of a crosslinked mesh structure was observed using SEM tests. Under high-temperature conditions, the formation of the crosslinked network structure and its fusion with emulsified asphalt was accelerated, leading to faster completion of the curing reaction within a shorter time.
Author Contributions
Methodology, H.W. and Z.W.; Investigation, H.W., Z.W., D.C. and M.Y.; Funding acquisition, H.W. and H.Y.; Data curation, Z.W., D.C. and M.Y.; Writing—original draft preparation, H.W.; Writing—review and editing, W.S.; Supervision, W.S. and H.Y.; Project administration, W.S. All authors have read and agreed to the published version of the manuscript.
Funding
The authors acknowledge the financial support from the National Natural Science Foundation of China (No. 51778638 and 52008405) and the Hunan Provincial Natural Science Foundation, China (No. 2021JJ30845).
Data Availability Statement
The data presented in this study are available on request from the corresponding author.
Conflicts of Interest
Author Hang Yuan was employed by the company Hunan Tengda Geotechnical Engineering Technology Co., Ltd. The remaining authors declare that the research was conducted in the absence of any commercial or financial relationships that could be construed as a potential conflict of interest.
References
- Marath, A.; Swarna, S.T.; Mehta, Y. Resilient Pavement Materials to Mitigate Impact of Climate Change in New Jersey. J. Test. Eval. 2023, 51, 2186–2198. [Google Scholar] [CrossRef]
- Hilal, M.M.; Fattah, M.Y. A model for variation with time of flexiblepavement temperature. Open Eng. 2022, 12, 176–183. [Google Scholar] [CrossRef]
- Plati, C.; Cliatt, B. A Sustainability Perspective for Unbound Reclaimed Asphalt Pavement (RAP) as a Pavement Base Material. Sustainability 2019, 11, 78. [Google Scholar] [CrossRef]
- Cliatt, B.; Loizos, A.; Plati, C. An Overview of the Impact of Constitutive Models for Unbound Materials on Pavement Elastic Response Through Numerical Analysis. Transp. Infrastruct. Geotechnol. 2022, 9, 492–515. [Google Scholar] [CrossRef]
- Yu, J.; Yang, N.; Chen, F.; Chen, Y.; Lin, Z.; Yu, H. Design of Cold-Mixed High-Toughness Ultra-Thin Asphalt Layer towards Sustainable Pavement Construction. Buildings 2021, 11, 619. [Google Scholar] [CrossRef]
- Krishna, U.S.R.; Kumar, C.N.S. A case study on maintenance of bituminous concrete pavement considering life cycle cost analysis and carbon footprint estimation. Int. J. Constr. Manag. 2020, 22, 1756–1764. [Google Scholar] [CrossRef]
- Krishna, S.R.; Kumar, C.N.S. Analytical modelling of ultra-thin white topping cement concrete overlay on bituminous concrete pavement using ANSYS. World J. Eng. 2023, 20, 690–703. [Google Scholar] [CrossRef]
- Kwon, O.; Greene, J.; Sholar, G.A.; Moseley, H. Impact of the Interlayer Scabbing on Asphalt Pavement Performance. Transp. Res. Rec. J. Transp. Res. Board 2023, 2677, 846–853. [Google Scholar] [CrossRef]
- He, H.; Ai, C.; Rahman, A. Comprehensive evaluation and prediction of interlayer bonding characteristics of double-layered asphalt systems under various factors. J. Adhes. Sci. Technol. 2023, 1–22. [Google Scholar] [CrossRef]
- Yang, K.; Li, R. Characterization of bonding property in asphalt pavement interlayer: A review. J. Traffic Transp. Eng. 2021, 8, 374–387. [Google Scholar] [CrossRef]
- Diakhaté, M.; Millien, A.; Petit, C.; Phelipot-Mardelé, A.; Pouteau, B. Experimental investigation of tack coat fatigue performance: Towards an improved lifetime assessment of pavement structure interfaces. Constr. Build. Mater. 2011, 25, 1123–1133. [Google Scholar] [CrossRef]
- Ferrotti, G.; Ingrassia, L.P.; Canestrari, F. Interlayer bonding properties of warm recycled asphalt pavements. Eur. Transp. 2023, 91, 10. [Google Scholar] [CrossRef]
- Liu, L.; Wang, C.; Liang, Q. Preparation of a heat insulation bonding layer for roads and its heat insulation effect. J. Clean. Prod. 2022, 365, 132828. [Google Scholar] [CrossRef]
- Yu, L.; Li, R.; Zhang, H.; Pei, J.; Hu, J. Research on Improving the Performance of Emulsified Asphalt Modifiers. Int. J. Pavement Res. Technol. 2023, 1–15. [Google Scholar] [CrossRef]
- Zhang, X.; Xu, J.; Cai, Y.; Tang, Y. Properties and Preparation of a New High-Permeability Emulsified Asphalt and Its Modification. Appl. Sci. 2022, 12, 12730. [Google Scholar] [CrossRef]
- Zhang, Q.; Xu, Y.-H.; Wen, Z.-G. Influence of water-borne epoxy resin content on performance of waterborne epoxy resin compound SBR modified emulsified asphalt for tack coat. Constr. Build. Mater. 2017, 153, 774–782. [Google Scholar] [CrossRef]
- Lee, E.K. Emulsification of Asphalt Modified with Styrene Butadiene Rubber (SBR) and Styrene Butadiene Styrene (SBS); 1) Phase Stability Behavior and 2) Physical Properties. Elastom. Compos. 2019, 54, 335–344. [Google Scholar]
- Zheng, Y.; Han, S.; Zhang, C.; Luo, Y.; Men, C. Preparation and application of rubber modified emulsified asphalt. Constr. Build. Mater. 2024, 411, 134540. [Google Scholar] [CrossRef]
- Hu, C.; Zhao, J.; Leng, Z.; Partl, M.N.; Li, R. Laboratory evaluation of waterborne epoxy bitumen emulsion for pavement preventative maintenance application. Constr. Build. Mater. 2019, 197, 220–227. [Google Scholar] [CrossRef]
- Li, P.; Ji, J.; Wang, Z.; Wu, Y.; Suo, Z.; Dong, Y.; Xu, M. Performance evaluation and equivalent conversion of waterborne epoxy resin emulsified asphalt based on different evaporation methods. J. Clean. Prod. 2022, 353, 131461. [Google Scholar] [CrossRef]
- Cai, H.; Li, X.; Zhang, Y.; Yang, C.; Cui, S.; Sheng, L.; Xu, D.; Fu, R.K.; Tian, X.; Chu, P.K.; et al. A high corrosion-resistant waterborne epoxy resin coating improved by addition of multi-interface structured zinc phosphate particles. J. Mater. Res. Technol. 2023, 26, 7829–7844. [Google Scholar] [CrossRef]
- Zhang, Z.; Huang, Y.; Liao, B.; Cong, G. Studies of waterborne emulsion of chemically modified epoxy resin. Polym. Adv. Technol. 2004, 15, 26–29. [Google Scholar] [CrossRef]
- Yin, H.; Wan, Y.; Zhou, J.; Sun, D.; Li, B.; Ran, Q. Self-emulsified waterborne epoxy hardener without acid neutralizers and its emulsifying and curing properties. Pigment. Resin Technol. 2019, 48, 223–228. [Google Scholar] [CrossRef]
- Liu, M.; Mao, X.H.; Zhu, H.; Lin, A.; Wang, D.H. Water and corrosion resistance of epoxy-acrylic-amine waterborne coatings: Effects of resin molecular weight, polar group and hydrophobic segment. Corros. Sci. 2013, 75, 106–113. [Google Scholar] [CrossRef]
- Li, R.; Leng, Z.; Partl, M.N.; Raab, C. Characterization and modelling of creep and recovery behaviour of waterborne epoxy resin modified bitumen emulsion. Mater. Struct. 2021, 54, 12. [Google Scholar] [CrossRef]
- Wang, P.; Tian, X.; Zhang, R.; Zhen, S. Effect of Waterborne Epoxy Resin on Properties of Modified Emulsified Asphalt and Its Microstructure. J. Mater. Civ. Eng. 2021, 33, 04021177. [Google Scholar] [CrossRef]
- Liu, F.; Zheng, M.; Fan, X.; Li, H.; Wang, F.; Lin, X. Properties and mechanism of waterborne epoxy resin-SBR composite modified emulsified asphalt. Constr. Build. Mater. 2021, 274, 122059. [Google Scholar] [CrossRef]
- Gu, Y.; Tang, B.; He, L.; Yang, F.; Wang, H.; Ling, J. Compatibility of cured phase-inversion waterborne epoxy resin emulsified asphalt. Constr. Build. Mater. 2019, 229, 116942. [Google Scholar] [CrossRef]
- Liu, M.; Han, S.; Pan, J.; Ren, W. Study on cohesion performance of waterborne epoxy resin emulsified asphalt as interlayer materials. Constr. Build. Mater. 2018, 177, 72–82. [Google Scholar] [CrossRef]
- El-Rahman, A.M.M.A.; El-Shafie, M.; Abo-Shanab, Z.L.; El-Kholy, S.A. Modifying asphalt emulsion with different types of polymers for surface treatment applications. Pet. Sci. Technol. 2017, 35, 1473–1480. [Google Scholar] [CrossRef]
- Huang, X.; Wang, L.; Lai, Y.; Li, L.; Jiang, X.; Zhang, X. Fabrication of a nonionic self-emulsifiable waterborne epoxy curing agent with high cure properties. J. Coat. Technol. Res. 2021, 18, 549–558. [Google Scholar] [CrossRef]
- Wang, F.; Fu, H.; Liu, G.; Wang, C.; Yu, S. Preparation Optimization and Performance Evaluation of Waterborne Epoxy Resin for Roads. Adv. Civ. Eng. 2021, 2021, 12. [Google Scholar] [CrossRef]
- Shi, S.; Lin, L.; Gu, L.; Chen, C.; Ma, T. Study on the optimal biomass oil content of biomass oil emulsified asphalt based on permeation performance. Case Stud. Constr. Mater. 2023, 19, e02597. [Google Scholar] [CrossRef]
- Sun, Y.; Song, W.; Wu, H.; Zhan, Y.; Wu, Z.; Yin, J. Investigation on Performances and Functions of Asphalt Mixtures Modified with Super Absorbent Polymer (SAP). Materials 2023, 16, 1082. [Google Scholar] [CrossRef]
- Xu, S.; Wu, H.; Song, W.; Zhan, Y. Investigation of the aging behaviors of reclaimed asphalt. J. Clean. Prod. 2022, 356, 131837. [Google Scholar] [CrossRef]
- Li, Y.; Yang, X.; Lu, B. Preparation and curing properties of waterborne epoxy emulsified asphalt/DMP-30 composites. Case Stud. Constr. Mater. 2023, 18, e01869. [Google Scholar] [CrossRef]
Disclaimer/Publisher’s Note: The statements, opinions and data contained in all publications are solely those of the individual author(s) and contributor(s) and not of MDPI and/or the editor(s). MDPI and/or the editor(s) disclaim responsibility for any injury to people or property resulting from any ideas, methods, instructions or products referred to in the content. |
© 2024 by the authors. Licensee MDPI, Basel, Switzerland. This article is an open access article distributed under the terms and conditions of the Creative Commons Attribution (CC BY) license (https://creativecommons.org/licenses/by/4.0/).



















