Research on the Influence Mechanism of Moisture Content on Macroscopic Mechanical Response and Microscopic Evolution Characteristic of Limestone
Abstract
1. Introduction
2. Materials and Methods
3. Experimental Results and Analysis
3.1. Macroscopic Mechanical Characteristics of Limestone Samples
3.2. Fracture Characteristics of Limestone Samples
4. AE Characteristics of Limestone Samples
4.1. AE Energy Evolution Characteristics
- (1)
 - Initial-active stage: At this stage, preexisting microcracks gradually closed as loading commenced. The relative dislocation and mutual friction of particles led to the release of partial energy in elastic waves, initiating AE signal generation.
 - (2)
 - Calm stage: As stress increased, preexisting microcracks closed completely, but new microcracks had not yet formed. AE signals primarily resulted from the dislocation of closed microcrack surfaces and grain deformation, leading to a small number of AE activities.
 - (3)
 - Increasing stage: With continuing stress increase, stress concentration occurred at microcrack tips, generating new microcracks. Before the buckling failure of the limestone samples, elevated stress accelerated microcrack growth. The generation and interaction of numerous microcracks caused a rapid rise in AE activities.
 - (4)
 - Post-peak stage: The limestone sample had experienced macroscopic failure in this stage, and its strength had significantly diminished. As the load decreased rapidly, the AE activity also declined rapidly.
 
4.2. Multifractal Characteristics of AE Energy
5. Discussion
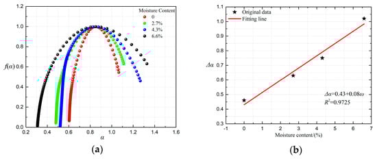
5.1. Qualitative Analysis
5.2. Quantitative Analysis
6. Conclusions
- (1)
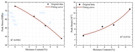
 - With moisture content rising from 0 to 6.6%, a gradual decrease in peak stress and an increase in peak strain in the limestone samples are noted. The compaction and post-peak phases extend while the elastic deformation phase shortens. Concurrently, a decrease in failure loudness and an increase in the number of fragments occur. The fractal dimension of fragment distribution increases from 2.38 to 2.93, signifying a shift in macroscopic fracture mode from simple to complex with rising moisture content.
 - (2)
 - Enhanced moisture content leads to more prevalent AE activities, while cumulative AE energy decreases. Compared to dry limestone samples, those containing water exhibit shorter, less distinct calm stages but more pronounced increasing and post-peak stages. Additionally, the multifractal spectra of the AE energy series show narrower profiles at lower moisture contents, indicating a simpler AE energy distribution. In contrast, higher moisture content widens the multifractal spectrum, suggesting an irregular distribution of AE energy. It can be inferred that a higher moisture content facilitates and complicates the development of the microcrack system.
 - (3)
 - An increase in moisture content encourages the proliferation of small-scale microcracks while inhibiting their enlargement into larger-scale microcracks. This change manifests as a transformation in the damage and failure process of limestone samples, transitioning from domination by a few large-scale microcracks to collective influence by numerous small-scale microcracks as the moisture content rises. Consequently, increasing moisture content makes AE activities more abundant and intricate, but higher-energy-level activities diminish. From a macroscopic perspective, an increase in moisture content results in expressing more properties of the microcrack system, presenting decrease in peak stress and increase in peak strain.
 - (4)
 - The assertion that increasing moisture content promotes the proliferation of small-scale microcracks while hindering their transition to large-scale microcracks is substantiated through mathematical derivation. A characterization model is developed to describe the macroscopic mechanical properties of the limestone sample influenced by moisture content. This model effectively captures the quantitative relationship between moisture content and the macroscopic characteristics of limestone, corroborated by experimental data fitting.
 
Author Contributions
Funding
Data Availability Statement
Conflicts of Interest
References
- Sakhno, I.; Sakhno, S. Numerical studies of floor heave mechanism and the effectiveness of grouting reinforcement of roadway in soft rock containing the mine water. Int. J. Rock Mech. Min. Sci. 2023, 170, 105484. [Google Scholar] [CrossRef]
 - Vásárhelyi, B.; Davarpanah, M. Influence of water content on the mechanical parameters of the intact rock and rock mass. Period. Polytech. Civ. Eng. 2018, 62, 1060–1066. [Google Scholar] [CrossRef]
 - Shen, R.; Li, H.; Wang, E.; Chen, T.; Li, T.; Tian, H.; Hou, Z. Infrared radiation characteristics and fracture precursor information extraction of loaded sandstone samples with varying moisture contents. Int. J. Rock Mech. Min. Sci. 2020, 130, 104344. [Google Scholar] [CrossRef]
 - Li, N.; Huang, B.; Zhang, X.; Tan, Y.; Li, B. Characteristics of microseismic waveforms induced by hydraulic fracturing in coal seam for coal rock dynamic disasters prevention. Saf. Sci. 2019, 115, 188–198. [Google Scholar] [CrossRef]
 - Zhou, Z.; Cai, X.; Ma, D.; Cao, W.; Chen, L.; Zhou, J. Effects of water content on fracture and mechanical behavior of sandstone with a low clay mineral content. Eng. Fract. Mech. 2018, 193, 47–65. [Google Scholar] [CrossRef]
 - Vasarhelyi, B.; Ván, P. Influence of water content on the strength of rock. Eng. Geol. 2006, 84, 70–74. [Google Scholar] [CrossRef]
 - Mohamad, E.T.; Aziz, A.A.; Maiye, O.M.; Liang, M. The effect of moisture content on the strength and anisotropy index of tropically weathered shale. Electron. J. Geotech. Eng. 2013, 18, 5967–5979. [Google Scholar]
 - Zhao, K.; Ran, S.; Zeng, P.; Yang, D.X.; Teng, T.Y. Effect of moisture content on characteristic stress and acoustic emission characteristics of red sandstone. Rock Soil Mech. 2021, 42, 2. [Google Scholar]
 - Zhou, Z.; Cai, X.; Cao, W.; Li, X.; Xiong, C. Influence of water content on mechanical properties of rock in both saturation and drying processes. Rock Mech. Rock Eng. 2016, 49, 3009–3025. [Google Scholar] [CrossRef]
 - Chen, G.; Li, T.; Guo, F.; Wang, Y. Brittle mechanical characteristics of hard rock exposed to moisture. Bull. Eng. Geol. Environ. 2017, 76, 219–230. [Google Scholar] [CrossRef]
 - Guha Roy, D.; Singh, T.N.; Kodikara, J.; Das, R. Effect of water saturation on the fracture and mechanical properties of sedimentary rocks. Rock Mech. Rock Eng. 2017, 50, 2585–2600. [Google Scholar] [CrossRef]
 - Liu, X.; Long, K.; Luo, P.; Luo, Y. Effects of Water Saturation Pressure on Crack Propagation in Coal under Uniaxial Compression. Nat. Resour. Res. 2023, 32, 673–690. [Google Scholar] [CrossRef]
 - Liu, B.; Yang, H.; Karekal, S. Effect of water content on argillization of mudstone during the tunnelling process. Rock Mech. Rock Eng. 2020, 53, 799–813. [Google Scholar] [CrossRef]
 - Yao, Q.; Chen, T.; Tang, C.; Sedighi, M.; Wang, S.; Huang, Q. Influence of moisture on crack propagation in coal and its failure modes. Eng. Geol. 2019, 258, 105156. [Google Scholar] [CrossRef]
 - Yang, X.; Wang, J.; Zhu, C.; He, M.; Gao, Y. Effect of wetting and drying cycles on microstructure of rock based on SEM. Environ. Earth Sci. 2019, 78, 1–10. [Google Scholar] [CrossRef]
 - Yang, K.; Connolly, P.R.J.; Li, M.; Seltzer, S.J.; McCarty, D.K.; Mahmoud, M.; Johns, M.L. Shale rock core analysis using NMR: Effect of bitumen and water content. J. Pet. Sci. Eng. 2020, 195, 107847. [Google Scholar] [CrossRef]
 - Jiang, L.; Xu, Y.; Chen, B.; Wu, B. Effect of water content on the mechanical properties of an artificial porous rock. Bull. Eng. Geol. Environ. 2021, 80, 7669–7681. [Google Scholar] [CrossRef]
 - Duan, T.; Ren, Y. Study on uniaxial compression mechanical properties of sandstone with different moisture content and wave velocity method. Coal Geol. Explor. 2019, 47, 24. [Google Scholar]
 - Li, H.; Qiao, Y.; Shen, R.; He, M. Electromagnetic radiation signal monitoring and multi-fractal analysis during uniaxial compression of water-bearing sandstone. Measurement 2022, 196, 111245. [Google Scholar] [CrossRef]
 - Jin, Y.; Zhang, T.; Hua, Z.; Xu, M.; Huang, P. The electrical resistivity changes and volumetric strain of water-bearing cracked rock samples under uniaxial compression. Acta Seismol. Sin. 2011, 5, 99–106. [Google Scholar]
 - Zhu, J.; Deng, J.; Chen, F.; Wang, F. Failure analysis of water-bearing rock under direct tension using acoustic emission. Eng. Geol. 2022, 299, 106541. [Google Scholar] [CrossRef]
 - Yao, Q.; Wang, W.; Zhu, L.; Xia, Z.; Tang, C.; Wang, X. Effects of moisture conditions on mechanical properties and AE and IR characteristics in coal–rock combinations. Arab. J. Geosci. 2020, 13, 1–15. [Google Scholar] [CrossRef]
 - Zhang, Z.; Wang, E.; Li, N. Fractal characteristics of acoustic emission events based on single-link cluster method during uniaxial loading of rock. Chaos Solitons Fractals 2017, 104, 298–306. [Google Scholar] [CrossRef]
 - Xue, K.; Zhang, Z.; Han, X.; Guang, W. A fractal model for estimating the permeability of tortuous fracture networks with correlated fracture length and aperture. Phys. Fluids 2023, 35, 043615. [Google Scholar]
 - Panigrahy, C.; Seal, A.; Mahato, N.K.; Bhattacharjee, D. Differential box counting methods for estimating fractal dimension of gray-scale images: A. survey. Chaos Solitons Fractals 2019, 126, 178–202. [Google Scholar] [CrossRef]
 - Aouit, D.A.; Ouahabi, A. Nonlinear fracture signal analysis using multifractal approach combined with wavelets. Fractals 2011, 19, 175–183. [Google Scholar] [CrossRef]
 - Zhang, Z.; Wang, E.; Zhang, H.; Bai, Z.; Zhang, Y.; Chen, X. Research on nonlinear variation of elastic wave velocity dispersion characteristic in limestone dynamic fracture process. Fractals 2023, 31, 2350008. [Google Scholar] [CrossRef]
 - Zhurkov, S.N.; Kuksenko, V.S.; Petrov, V.A. Principles of the kinetic approach of fracture prediction. Theor. Appl. Fract. Mech. 1984, 1, 271–274. [Google Scholar] [CrossRef]
 - Zhang, Z.; Liu, X.; Zhang, Y.; Qin, X.; Khan, M. Comparative study on fracture characteristics of coal and rock samples based on acoustic emission technology. Theor. Appl. Fract. Mech. 2021, 111, 102851. [Google Scholar] [CrossRef]
 - Zhang, Z.; Wang, E.; Li, N.; Zhang, H.; Bai, Z.; Zhang, Y. Research on macroscopic mechanical properties and microscopic evolution characteristic of sandstone in thermal environment. Constr. Build. Mater. 2023, 366, 130152. [Google Scholar] [CrossRef]
 - Zavyalov, A.D. From the kinetic theory of strength and fracture concentration criterion to the seismogenic fracture density and earthquake forecasting. Phys. Solid State 2005, 47, 1034–1041. [Google Scholar] [CrossRef]
 - Zavyalov, A.D. Medium-term prediction of earthquakes from a set of criteria: Principles, methods, and implementation. Russ. J. Earth Sci. 2005, 7, 51–73. [Google Scholar] [CrossRef]
 








Disclaimer/Publisher’s Note: The statements, opinions and data contained in all publications are solely those of the individual author(s) and contributor(s) and not of MDPI and/or the editor(s). MDPI and/or the editor(s) disclaim responsibility for any injury to people or property resulting from any ideas, methods, instructions or products referred to in the content.  | 
© 2024 by the authors. Licensee MDPI, Basel, Switzerland. This article is an open access article distributed under the terms and conditions of the Creative Commons Attribution (CC BY) license (https://creativecommons.org/licenses/by/4.0/).
Share and Cite
Zhang, Z.; Sun, J.; Ma, Y.; Wang, Q.; Li, H.; Wang, E. Research on the Influence Mechanism of Moisture Content on Macroscopic Mechanical Response and Microscopic Evolution Characteristic of Limestone. Buildings 2024, 14, 469. https://doi.org/10.3390/buildings14020469
Zhang Z, Sun J, Ma Y, Wang Q, Li H, Wang E. Research on the Influence Mechanism of Moisture Content on Macroscopic Mechanical Response and Microscopic Evolution Characteristic of Limestone. Buildings. 2024; 14(2):469. https://doi.org/10.3390/buildings14020469
Chicago/Turabian StyleZhang, Zhibo, Jiang Sun, Yankun Ma, Qi Wang, Haotian Li, and Enyuan Wang. 2024. "Research on the Influence Mechanism of Moisture Content on Macroscopic Mechanical Response and Microscopic Evolution Characteristic of Limestone" Buildings 14, no. 2: 469. https://doi.org/10.3390/buildings14020469
APA StyleZhang, Z., Sun, J., Ma, Y., Wang, Q., Li, H., & Wang, E. (2024). Research on the Influence Mechanism of Moisture Content on Macroscopic Mechanical Response and Microscopic Evolution Characteristic of Limestone. Buildings, 14(2), 469. https://doi.org/10.3390/buildings14020469
        