Equivalent SDOF Models for Estimating Isolation-Layer Energy Dissipation in Base-Isolated Tall Buildings under Strong Winds
Abstract
1. Introduction
2. Isolation-Layer Energy Dissipation in MDOF Models
2.1. Wind Forces of MDOF Models
2.2. Modeling Method for the MDOF Models
2.3. Structural Parameters and Their Influences on MDOF Models
- (a)
- Damping ratio of the upper structure
- (b)
- Natural period of the upper structure
- (c)
- Isolated period
- (d)
- Yield shear force coefficient of the steel damper
- (e)
- Yield deformation of the steel damper
2.4. Influences of the Structural Parameters on the Isolation-Layer Energy Dissipation
3. Proposed Equivalent Single-Degree-of-Freedom Models
3.1. Modeling Concept
3.2. First Mode Shapes of MDOF Models
3.3. Modeling Method for ES Models
3.4. Influences of the Structural Parameters on ES Models
4. Accuracy Verification for Isolation-Layer Energy Dissipation
- (1)
- Partial parametric calculation of the ES model (, , and ) is based on the assumption of only one mode shape ( or ), as mentioned in Appendix B, Appendix C and Appendix D, but the isolation layer in fact shows elasto-plastic deformation under strong winds.
- (2)
- The influence of higher-order modes may lead to these errors.
5. Conclusions
- (1)
- In the along-wind direction, the isolation-layer energy dissipation in the MDOF model is very small and negligibly influenced by the above five structural parameters because the wind forces contain mean components.
- (2)
- In the across-wind direction, three structural parameters (damping ratio and natural period of the upper structure and yield shear force coefficient of the steel damper) have significant impacts on the isolation-layer energy dissipation in the MDOF model, while the other two structural parameters (isolated period and yield deformation of the steel damper) have slight impacts.
- (3)
- Considering the above findings, these five structural parameters were used in devising the ES model. Hence, their influences on the ES model are captured. This greatly contradicts the common single-degree-of-freedom (CS) model, which is not influenced by the damping ratio and natural period of the upper structure.
- (4)
- Moreover, by considering the variation in the first mode shape of the MDOF model according to the elasto-plasticity of the base isolation layer, an appropriate first mode shape was selected for modeling the ES model. As a result, the ES model reproduces accurately the isolation-layer energy dissipation of the first mode of a base-isolated tall building against strong winds.
- (5)
- A comparison of the isolation-layer energy dissipation in the ES and CS models versus that in the MDOF model shows the ES model outperforms the CS model.
Author Contributions
Funding
Data Availability Statement
Conflicts of Interest
Appendix A. Modeling Method for CS Models
Appendix B. On Selecting for the Yield Shear Force of the ES Model
| × | × | × | × | × | × | × | |
| × | × | × | × | × | × | × | |
| × | ○ | ○ | ○ | × | × | × | |
| × | ○ | × | ○ | × | × | × | |
| × | ○ | × | ○ | ○ | × | × |
Appendix C. On Selecting for the Damping Ratio of the ES Model
- (i)
- The equivalent damping ratio of the MDOF model (obtained using the Biggs method [33]) with the equivalent stiffness of the base isolation layer . Here, is calculated based on the different ductility factors of the base isolation layer (=ratio between the maximum and yield displacements of the base isolation layer), as shown in Figure A3.
- (ii)
- The damping ratio of the ES model (obtained using the Biggs method [33]) considering .
- (iii)
- The damping ratio of the ES model (obtained using the Biggs method [33]) considering .

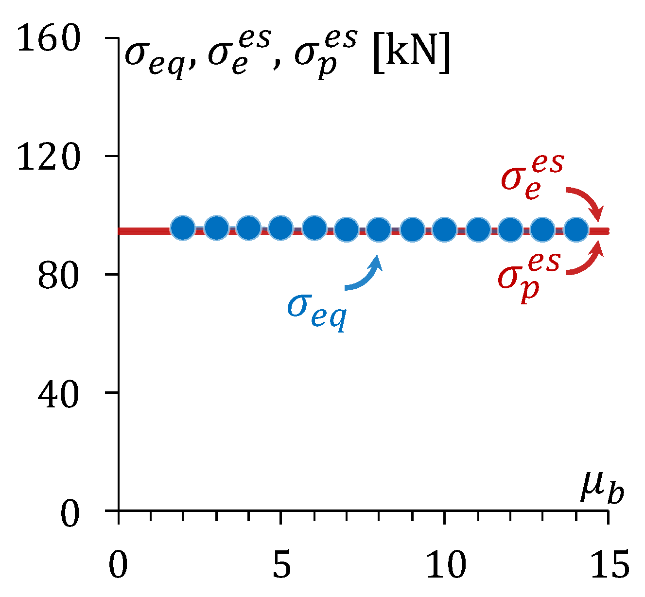
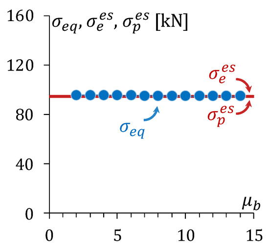
Appendix D. On Selecting for the Wind Force of the ES Model
- (i)
- Standard deviation of the equivalent wind force of the MDOF model (refer to Equation (30)) with (the same as Appendix C). Here, denotes equivalent.
- (ii)
- Standard deviation of equivalent wind force of the ES model considering .
- (iii)
- Standard deviation of equivalent wind force of the ES model considering .
References
- The Japan Society of Seismic Isolation. MENSHIN, No. 117; The Japan Society of Seismic Isolation: Tokyo, Japan, 2022. (In Japanese) [Google Scholar]
- Li, J.; Luo, W.; Liang, Q.; Wang, D.; Zhou, Y.; He, Z. Shaking table test of seismic performance of high-rise over-track building with base isolation. J. Build. Eng. 2023, 75, 106749. [Google Scholar] [CrossRef]
- Kitamura, H. Seismic Responses Analysis Methods for Performance Based Design, 2nd ed.; Shokokusha Publishing: Tokyo, Japan, 2009. (In Japanese) [Google Scholar]
- Architectural Institute of Japan. Design Recommendations for Seismically Isolated Buildings; Architectural Institute of Japan: Tokyo, Japan, 2016. [Google Scholar]
- Khatibinia, M.; Jalaipoura, M.; Gharehbaghi, S. Shape optimization of U-shaped steel dampers subjected to cyclic loading using an efficient hybrid approach. Eng. Struct. 2019, 197, 108874. [Google Scholar] [CrossRef]
- Yu, T.; Zhang, C.; Huang, Z.; Huang, W.; Wang, S.; Zhong, G.; Ou, D. Experimental and numerical studies of a novel three-dimensional isolation device incorporating disc springs with U-shaped dampers. Soil Dyn. Earthq. Eng. 2023, 174, 108164. [Google Scholar] [CrossRef]
- Pang, H.; Yang, Q.; Liu, M.; Hui, Y.; Cheng, B. The Influence of Wind Direction on the Inelastic Responses of a Base-Isolated Square Section High-Rise Building. Buildings 2022, 12, 1208. [Google Scholar] [CrossRef]
- Tian, J.; Chen, X. 3D coupled wind-induced inelastic response of base-isolated tall buildings with eccentricity and biaxial interaction of hysteretic restoring base forces. J. Wind Eng. Ind. Aerodyn. 2023, 232, 105252. [Google Scholar] [CrossRef]
- Li, Z.; Chen, X.; Huang, G.; Kareem, A.; Zhou, X. Alongwind and crosswind response of friction-pendulum base-isolated high-rise buildings. Eng. Struct. 2023, 293, 116564. [Google Scholar] [CrossRef]
- Li, Z.; Huang, G.; Chen, X.; Zhou, Y.; Yang, Q. Wind-resistant design and equivalent static wind load of base-isolated tall building: A case study. Eng. Struct. 2020, 212, 110533. [Google Scholar] [CrossRef]
- Qian, X.; Sato, D. Evaluation of residual deformation in seismic isolation layer based on typhoon simulation. J. Struct. Eng. 2020, 66, 323–329. (In Japanese) [Google Scholar]
- Lu, Z.; Brennan, M.; Ding, H.; Chen, L. High-static-low-dynamic-stiffness vibration isolation enhanced by damping nonlinearity. Sci. China Technol. Sci. 2018, 62, 1103–1110. [Google Scholar] [CrossRef]
- Qian, X.; Sato, D.; Mabashi, S. Effects of building aspect ratio on fatigue damage of steel dampers installed in base-isolated high-rise buildings. In Proceedings of the 15th International Conference on Wind Engineering, Beijing, China, 1–6 September 2019. [Google Scholar]
- Kishiki, S.; Ohkawara, Y.; Yamada, S.; Wada, A. Experimental evaluation of cyclic deformation capacity of U-shaped steel dampers for base-isolated structures. J. Struct. Constr. Eng. 2008, 73, 333–340. (In Japanese) [Google Scholar] [CrossRef]
- Jiao, Y.; Kishiki, S.; Yamada, S.; Ene, D.; Konishi, Y.; Hoashi, Y.; Terashima, M. Low cyclic fatigue and hysteretic behavior of U-shaped steel dampers for seismically isolated buildings under dynamic cyclic loadings. Earthq. Eng. Struct. Dyn. 2014, 44, 1523–1538. [Google Scholar] [CrossRef]
- The Japan Society of Seismic Isolation. Guidelines for the Wind-Resistant Design of Seismically Base-Isolated Buildings; The Japan Society of Seismic Isolation: Tokyo, Japan, 2018. [Google Scholar]
- Akiyama, H. Earthquake-Resistant Design Method for Buildings Based on Energy Balance; Gihodo Shuppan: Tokyo, Japan, 1999. (In Japanese) [Google Scholar]
- Yoshie, K.; Kitamura, H.; Ohkuma, T. A study of wind-induced energy input to an elasto-plastic structure. J. Struct. Constr. Eng. 2003, 68, 31–38. (In Japanese) [Google Scholar] [CrossRef][Green Version]
- Yoshie, K.; Kitamura, H.; Ohkuma, T. A prediction method for response of an elasto-plastic structure to fluctuating wind force based on energy balance. J. Struct. Constr. Eng. 2005, 70, 59–66. (In Japanese) [Google Scholar] [CrossRef] [PubMed][Green Version]
- Yoshie, K.; Ohkuma, T.; Kitamura, H.; Wada, A. Probability distribution function of response amplitude for an elasto-plastic structure subjected to wide-band fluctuating wind force. J. Struct. Constr. Eng. 2006, 71, 37–46. (In Japanese) [Google Scholar] [CrossRef] [PubMed][Green Version]
- Yoshie, K.; Kitamura, H.; Ohkuma, T.; Wada, A. A prediction method for response of an elasto-plastic structure to wide-band fluctuating wind force with non-zero mean component based on energy balance. J. Struct. Constr. Eng. 2006, 71, 21–28. (In Japanese) [Google Scholar] [CrossRef] [PubMed][Green Version]
- Yoshie, K.; Kitamura, H.; Ohkuma, T. A study on fluctuating wind-force induced energy input to an elasto-plastic structure. In Proceedings of the 6th Asia-Pacific Conference on Wind Engineering, Seoul, Repubic of Korea, 12–14 September 2005. [Google Scholar]
- Yoshie, K.; Kitamura, H.; Ohkuma, T. A prediction method for response of an elasto-plastic structure to fluctuating wind force based on energy balance. In Proceedings of the Council on Tall Buildings and Urban Habitat 7th World Congress, New York City, NY, USA, 16–19 October 2005. [Google Scholar]
- Rigon, D.; Berto, F.; Meneghetti, G. Estimating the multiaxial fatigue behaviour of C45 steel specimens by using the energy dissipation. Int. J. Fatigue 2021, 151, 106381. [Google Scholar] [CrossRef]
- Simiu, E.; Yeo, D. Wind Effects on Structures: Modern Structural Design for Wind; John Wiley & Sons: Hoboken, NJ, USA, 2019. [Google Scholar]
- Meskouris, K.; Butenweg, C.; Hinzen, K.G.; Höffer, R. Structural Dynamics with Applications in Earthquake and Wind Engineering, 2nd ed.; Springer: Berlin, Germany, 2019. [Google Scholar]
- Hutt, C.M.; Vahanvaty, T.; Kourehpaz, P. An analytical framework to assess earthquake-induced downtime and model recovery of buildings. Earthq. Spectra 2022, 38, 1283–1320. [Google Scholar] [CrossRef]
- Forcellini, D. An expeditious framework for assessing the seismic resilience (SR) of structural configurations. Structures 2023, 56, 105015. [Google Scholar] [CrossRef]
- Kasai, K.; Chimamphant, S.; Matsuda, K. Performance curves for base-isolated buildings reflecting effect of superstructure vibration period. J. Struct. Constr. Eng. 2016, 81, 239–249. (In Japanese) [Google Scholar] [CrossRef][Green Version]
- Architectural Institute of Japan. AIJ Recommendations for Loads on Buildings (2015); Architectural Institute of Japan: Tokyo, Japan, 2015. [Google Scholar]
- Sato, D.; Kasai, K.; Tamura, T. Influence of frequency sensitivity of viscoelastic damper on wind-induced response. J. Struct. Constr. Eng. 2009, 74, 75–82. (In Japanese) [Google Scholar] [CrossRef]
- Omiya, M.; Kitamura, H. Investigation and analysis on the structural characteristics of the recent base isolated buildings corresponding to long-period ground motion. AIJ J. Technol. Des. 2019, 25, 61–66. (In Japanese) [Google Scholar] [CrossRef]
- Roesset, J.M.; Whitman, R.V.; Dobry, R. Modal Analysis for Structures with Foundation Interaction. In Proceedings of the ASCE National Structural Engineering Meeting, Cleveland, OH, USA, 24–28 April 1972. Structures Publication No. 329. [Google Scholar]
- Demir, A.; Kayhan, A.H.; Palanci, M. Response- and probability-based evaluation of spectrally matched ground motion selection strategies for bi-directional dynamic analysis of low- to mid-rise RC buildings. Structures 2023, 58, 105533. [Google Scholar] [CrossRef]
- Charmpis, D.C.; Komodromos, P.; Phocas, M.C. Optimized earthquake response of multi-storey buildings with seismic isolation at various elevations. Earthq. Eng. Struct. Dyn. 2012, 41, 2289–2310. [Google Scholar] [CrossRef]
- Forcellini, D.; Kalfas, K.N. Inter-story seismic isolation for high-rise buildings. Eng. Struct. 2023, 275, 115175. [Google Scholar] [CrossRef]
- Hao, R.-B.; Lu, Z.-Q.; Ding, H.; Chen, L.-Q. Shock Isolation of an Orthogonal Six-DOFs Platform with High-Static-Low-Dynamic Stiffness. J. Appl. Mech. 2023, 90, 111004. [Google Scholar] [CrossRef]
- Cui, W.; Zhao, L.; Ge, Y. Wind-Induced Buffeting Vibration of Long-Span Bridge Considering Geometric and Aerodynamic Nonlinearity Based on Reduced-Order Modeling. J. Struct. Eng. 2023, 149, 04023160. [Google Scholar] [CrossRef]


















| × | × | × | × | × | ○ | × | |
| × | ○ | ○ | ○ | ○ | ○ | ○ | |
| × | ○ | ○ | ○ | ○ | ○ | ○ | |
| × | ○ | × | ○ | ○ | × | ○ | |
| × | ○ | × | ○ | ○ | × | ○ |
Disclaimer/Publisher’s Note: The statements, opinions and data contained in all publications are solely those of the individual author(s) and contributor(s) and not of MDPI and/or the editor(s). MDPI and/or the editor(s) disclaim responsibility for any injury to people or property resulting from any ideas, methods, instructions or products referred to in the content. |
© 2024 by the authors. Licensee MDPI, Basel, Switzerland. This article is an open access article distributed under the terms and conditions of the Creative Commons Attribution (CC BY) license (https://creativecommons.org/licenses/by/4.0/).
Share and Cite
Qian, X.; Sato, D.; Osabel, D.M. Equivalent SDOF Models for Estimating Isolation-Layer Energy Dissipation in Base-Isolated Tall Buildings under Strong Winds. Buildings 2024, 14, 329. https://doi.org/10.3390/buildings14020329
Qian X, Sato D, Osabel DM. Equivalent SDOF Models for Estimating Isolation-Layer Energy Dissipation in Base-Isolated Tall Buildings under Strong Winds. Buildings. 2024; 14(2):329. https://doi.org/10.3390/buildings14020329
Chicago/Turabian StyleQian, Xiaoxin, Daiki Sato, and Dave Montellano Osabel. 2024. "Equivalent SDOF Models for Estimating Isolation-Layer Energy Dissipation in Base-Isolated Tall Buildings under Strong Winds" Buildings 14, no. 2: 329. https://doi.org/10.3390/buildings14020329
APA StyleQian, X., Sato, D., & Osabel, D. M. (2024). Equivalent SDOF Models for Estimating Isolation-Layer Energy Dissipation in Base-Isolated Tall Buildings under Strong Winds. Buildings, 14(2), 329. https://doi.org/10.3390/buildings14020329

