Next Article in Journal
An Integrated Planning Methodology for a Just Climatic Transition in Rural Settlements
Next Article in Special Issue
Comparing Domain Expert and Machine Learning Data Enrichment of Building Registry
Previous Article in Journal
Practice and Reflection on Rammed Earth Architecture: The Case Study of Tiles Hill–Xiangshan Campus Reception Centre in China
Previous Article in Special Issue
Leveraging Machine Learning to Forecast Neighborhood Energy Use in Early Design Stages: A Preliminary Application
 
 
Font Type:
Arial Georgia Verdana
Font Size:
Aa Aa Aa
Line Spacing:
Column Width:
Background:
Article

Monitoring of Energy Rates of Domestic PV Systems to Evaluate the Influence of Occupants’ Behavior on Environmental and Economic Benefits

by
Marilena De Simone
* and
Antonio Bilotta
Department of Environmental Engineering, University of Calabria, 87036 Rende, Italy
*
Author to whom correspondence should be addressed.
Buildings 2024, 14(12), 4035; https://doi.org/10.3390/buildings14124035
Submission received: 8 November 2024 / Revised: 13 December 2024 / Accepted: 16 December 2024 / Published: 19 December 2024

Abstract

The use of photovoltaic systems in residential buildings represents a solution for reducing CO2 emissions and users’ bill costs. To fully experience these advantages, however, correct use of the solar technology is necessary. Many researchers have already directed their studies towards human interaction with traditional energy systems, highlighting how the presence of users at home increases energy consumption and costs. This aspect is still less explored in the case of buildings that integrate smart and innovative technical solutions for energy production. This study aims to highlight how monitoring, data collection, and analysis can be critical to obtain effective operation of PV systems, considering technical features and user behavior in parallel. To quantify these aspects, three domestic users were analyzed by collecting data for one year. The parameter “Social Investment Index SII” was introduced to estimate the economic and environmental profitability of the investment. The available funding at the end of the life of the systems was strongly affected by the occupancy and behavioral efficiency of the user, with a potential increase of up to 55%, or a decrease higher than 70%. The SII varied from 23.6 to 18.4 kg of CO2 saved/(k€ ∙ MWh) in the case of ineffective user behavior.

1. Introduction

Currently, the building sector is responsible for about 40% of global greenhouse gas emissions, 36% of all energy consumption, 50% of raw material extraction, and more than 30% of drinking water consumption [1]. The initiatives launched at COP21, held in Paris in 2015, had the aim of inducing the parties to focus on the creation of zero-emission, efficient, and sustainable buildings with the coordination of the United Nations Environment Program (UNEP) and the International Energy Agency (IEA). In Europe, according to data provided by Eurostat, buildings contribute 40% of energy consumption, exceeding transport and industry [2]. Even in Italy, buildings are the leading sector for energy consumption, and over two-thirds of this comes from residential buildings [3]. It is therefore increasingly necessary to use technologies capable of exploiting renewable energy sources to improve the energy sustainability of constructions and minimize greenhouse gas emissions. The effectiveness of this approach was demonstrated by the reduction (20.9% in 1990–2022) of total Italian greenhouse gas emissions obtained by the growth in energy production from renewable sources [4]. Among these, in the residential sector, solar photovoltaic (PV) has spread mostly in recent years [5], thanks to the capability of reducing CO2 emissions during the operating phase [6], self-producing energy [7], and saving on bills [8]. The high diffusion of PV technology is certainly linked to policies and incentives implemented in various countries. According to an estimate by BloombergNEF (BNEFF), during the two-year period 2021–2023 there was continuous growth in the photovoltaic sector around the world, going from 182 GW to 367 GW. China is the country that invests the most in this market, followed by Europe in terms of gigawatts installed [9]. Since 2008, Italy has been an active European country in policies that support the diffusion of photovoltaics. From the solar photovoltaic statistical report of the Italian Energy Services Manager (GSE) [10], the increased power installed starting from 2008 is evident with the establishment of the incentive system (called “energy account”), which culminated in 2011–12. A phase of slower growth followed until 2018, and then quicker growth resumed with a strong rise in 2019–2022. On the other hand, multiple studies have demonstrated that energy sustainability objectives in buildings can be achieved by the development of technology and financial support, but also by including the human factor. Annex 66 of the IEA EBC (“Simulation and definition of occupant behavior in buildings”, 2013–2017) in fact underlined the necessity to take a new look at the way in which occupants are incorporated in building design and in operational practices throughout the life cycle [11]. The successive IEA EBC Annex 79 (“Occupant-centric building design and operation”, 2018–2024) developed data-driven occupant modeling strategies and digital tools, and establishes the importance of occupant-centric building operation [12]. In particular, the effect of occupant behavior on energy consumption has been widely demonstrated by various researchers, such as Yu Z. et al. [13], who carried out analyses on four clusters of buildings through the selection of 80 similar districts in Japan. Buildings in the same group were characterized by four influencing factors, including occupant behavior, that had similar effects on energy consumption. To evaluate these effects, the authors used a gray relational analysis (GRA); the larger the gray relational degrees, the greater the impact of the influencing factors. It emerged that the number of occupants (GRA = 0.7) and the thermal dispersion coefficient (GRA = 0.8) had the greatest impact on energy performance. Braulio-Gonzalo M. et al. [14] proposed a methodology to demonstrate how the inclusion of user profile variables can improve the energy consumption forecasting model. In particular, the authors classified the buildings according to four criteria—type of occupancy, adjacency, number of floors, and year of construction—obtaining 30 archetypes that represented the residential heritage of the city. Moreover, a questionnaire was completed for each family to define the characteristics of the users. The authors then developed two energy forecasting models, one of them containing the covariate inherent to the occupants’ profile. The observed and predicted values demonstrated that including occupant profile variables can improve energy prediction. Zhang C. et al. [15] introduced a model-based prediction method to relate occupant behavior and electricity consumption. The authors focused on Chinese university complexes (dorms and libraries), specifying that university dormitories are similar to residential buildings. The authors created a parameter called “electricity consumption–behavior correlation” to illustrate the results and underline a quantitative correlation model between electricity consumption and behavior. Chen S. et al. [16] also summarized, through a literature review, the three main categories of behavior that most influence the energy consumption of buildings, namely occupancy, interactions, and behavioral efficiency. It emerges that energy efficiency (behavior awareness and modification) is the dominant factor, suggesting the importance of guiding occupants to identify their unsuitable behavior and help them to make intelligent decisions. Therefore, since occupants’ behavior significantly influences the electricity consumption of dwellings, the economic and environmental advantages connected to a photovoltaic system can also be strongly dependent on human variables. In line with this consideration, Muller A. et al. [17] presented a parametric study to estimate the self-consumption and self-sufficiency of domestic photovoltaic systems in relation to the type and size of the family. The authors combined a model for stochastic occupant behavior with the IDA ICE building simulation software, and a building archetype was used to investigate three energy performance standards equipped with a traditional PV system. The occupants’ profiles were simulated with the Peak Time model for four domestic groups differentiated by employment and working status, generating 100 virtual families. The authors developed a graphical procedure, finding a correlation between photovoltaic self-consumption and family size. Jiang Z. et al. [18] proposed a method to improve the energy flexibility of renewable technologies, introducing an occupancy-based model predictive control (OBMPC) combined with a photovoltaic battery rationalization system. Occupancy data were extracted from the daily load usage of 1299 users in Arizona (USA). The study results demonstrated how OBMPCs can improve flexibility for both individual buildings and cluster-level buildings, resulting in financial benefits, peak load shifting, and load factor improvements. Liu X. et al. [19] proposed a home energy management systems (HEMS) model integrating photovoltaics and electric vehicles into HVAC programming in an occupant-centric manner. The results of simulation showed that it is possible to save energy costs and maintain a high level of occupant comfort by comprehensively incorporating occupant thermal comfort, clothing behaviors, and state-of-charge concerns for EVs into the HEMS model. Moran F. et al. [20] examined five historic homes in Bath (England), evaluating the carbon reduction potential of photovoltaic technology. The aim of this investigation was to understand whether the price of altering the historic environment through PV installations was truly worth the contribution that such measures could make to the global challenge of climate change. The production and export of electricity and the actual demand by the occupants were monitored for one year to establish representative profiles. It emerged that, on average, 56% of the electricity generated by photovoltaics was used inside the house, obtaining a reduction of CO2 equal to 19%. Moreover, it was possible to achieve higher photovoltaic electricity use (67%) and reduction of CO2 emissions (up to 23%) where energy use patterns were synchronized with photovoltaic electricity production. According to these investigations, the variation in self-consumption was mainly attributable to the attitude and behavior of occupants (environmental sensitivity) and occupancy models.
The aforementioned studies demonstrate how the operation of a domestic photovoltaic system is significantly influenced by the occupants’ behavior. However, to date, it has not been well explored to what extent the behavioral aspect can modify the economic and environmental advantages connected to these technologies, considering both the form of incentives and technical features. This study aims to answer these questions by investigating three domestic users who differ in social and behavioral characteristics. Initially, a data collection phase was conducted by face-to-face questionnaire and energy monitoring. Then, it was possible to identify representative seasonal trends in energy rates and observe the typical operation of the photovoltaic systems equipped with electrical storage, thanks to the information provided by the users about their habits and presence at home.
Energy, economic, and environmental evaluations were successively carried out, quantifying the variation in the payback time of the systems, the final economic availability, and the carbon dioxide emissions as a function of the occupants’ presence at home. The main objective was to understand to what extent energy consumption monitoring and data collection by survey can be an effective instrument to detect how different levels of occupants’ presence at home and user behavior can modify the benefits and performance of the PV systems. Following this approach, a new index was introduced, the Social Investment Index (SII), as an intuitive quantitative estimation of the profitability of the economic investment targeted to reduce CO2 emissions, evaluating how this index changes with the users’ behavior.

2. Materials and Methods

The study involved three domestic users equipped with a photovoltaic system and located in Calabria, a region in Southern Italy characterized by a Mediterranean climate with a prevalence of the Csa zone (not harsh winters and average temperature in the coldest month between −3 and 18 °C), according to the Köppen classification [21]. The families were designated as Green Family, Smart Worker, and Young Family considering their characteristics in terms of composition and behavior. The dwellings were located in neighboring municipalities, and were therefore subject to very similar solar radiation and air temperature values. Consequently, the influence of the variability of climatic conditions was not included in the analysis. Data collection was conducted using two approaches in parallel, one subjective approach carried out through questionnaires and interviews, and another that was objective, carried out by detecting electricity production, usage, and storage [22]. This method offered the advantages of being able to collect variables of different natures, from socio-economic and behavioral to technical and contextual [23], and, more importantly, permitting a constant comparison between user declaration and real energy consumption in order to highlight critical issues related to behavioral changes or failure in the PV system. The techniques adopted for data collection and analysis are described in detail in the successive paragraphs.

2.1. Data Collection by Questionnaire

The questionnaire was filled out through face-to-face interview, and regular contacts were made with the users afterwards, also by phone call. The questionnaire format had already been used by the authors during previous investigations and comes from a long process of testing and review [23]. The high level of detail in the survey allowed the collection of information on family composition and socio-economic variables, hourly occupancy, the environmental sensitivity of the users, the characteristics of the construction and energy systems, and the interactions between the users and building interfaces. Following this, for each user, the collected data were screened and synthetized in three factsheets describing the building construction characteristics and interactions of the occupants with the heating/cooling system and domestic equipment. The factsheets are presented in Appendix A, Appendix B and Appendix C.
The first factsheet describes the socio-economic conditions of the family, including the composition, age, gender, hourly presence at home (occupancy), and annual income. The percentages of occupancy were calculated in different time slots (06:00–14:00, 14:00–18:00, 18:00–06:00), distinguishing between the working days and the weekend. In the second factsheet, the information characterizing the house is reported, such as the structural features (location, placement plan, surface area, etc.); the type of heating, cooling, and lighting systems; and annual electricity consumption and expenditure. The third factsheet contains the hours in which the user interacts with a specific energy system, and the frequency and duration of weekly use of the most energy-consuming appliances. The factsheets were used to define the main features of the families, capturing differences and similarities.

2.2. The Domestic PV Systems

Data collection by questionnaire and inspection of the houses provided information related to the energy systems. In particular, the Smart Worker and the Young Family used a heat pump both for heating and cooling. The Green Family utilized a heat pump mainly for cooling, and heating was provided by a pellet stove. The technical specifications of the photovoltaic systems are summarized in Table 1, and Figure 1 shows their location on the roof. In particular, the Smart Worker and the Young Family owned a PV system with the same technical characteristics and resided in the same building. The system used by these two users was also installed and put into operation on the same date. The photovoltaic system used by the Green Family had a significant difference, namely a battery power of 5 kW, while for the other two users the battery power was 20 kW. This clear difference, as stated by the users, was mainly due to economic aspects. The Green Family, in fact, built the system taking advantage of a form of incentive which provided for a deduction equal to 50% in 10 years, while the Smart Worker and Young Family took advantage of the 110% Ecobonus, with a tax deduction of 110% in 5 years. This difference in the initial economic support led the users to make different choices in designing the system, and the families that benefited from Ecobonus installed a system with higher initial costs, mainly attributed to the electrical storage size.

2.3. Electricity Rates Monitoring

The “ZCS Azzurro” monitoring system [24] was used to detect the hourly trends in the energy produced by the PV panels, the self-consumed energy, the energy fed into the grid, the energy accumulated in the battery, and the energy consumed both from the grid and the battery. The data collection phase spanned a period of 7 months for the Green Family (17 May 2023–31 December 2023) and 10 months for the Smart Worker and the Young Family (27 February 2023–31 December 2023). The data collection start dates coincide, for all three users, with the start-up day of the photovoltaic systems and supplied data for the different seasons. Hourly mean PV power data were elaborated to produce daily profiles, obtaining 229 trends for the Green Family and 308 trends for the Smart Worker and the Young Family. The power profiles were analyzed in order to identify typical consumption habits of the users by varying the season, the day of the week, and the family’s socio-economic conditions.

3. Results

Data collected by questionnaires and power meters allowed the authors to extract different information about the users, such as occupancy profiles, comfort preferences, interactions with the energy systems, and electricity rates. These preliminary results were used in a second step of elaboration to define the current and possible future scenarios of the economic and environmental benefits of the PV systems. These two steps of data analysis and the related findings are illustrated and discussed in the successive paragraphs.

3.1. Definition of Families’ Features

Meetings and communication with the users provided important information regarding their habits and their presence at home. In particular, the Green Family declared that they were changing their habits and were at home more during the weeks of summer holidays. All members of the Green Family decided to take holidays at the same time every year, to spend more time together, and this significantly affected their presence at home. For the Smart Worker, a distinction was made between the percentage of presence at home on working days spent in the office and at home, in summer and in winter. The user declared that his presence at home was clearly influenced by this factor, especially in winter, due to high sensitivity to cold indoor conditions and preference for staying in a warm environment. In the case of the Young Family, however, we found significant variation in the social conditions during the monitoring period. In the summer season (June 2023), in fact, both the adults of the family lost their jobs, producing a change in their presence at home and, consequently, in energy consumption. The occupancy was evaluated before and after unemployment considering the effects that this social aspect had in terms of turning on/off the cooling and heating system. For the Young Family, the increase in occupancy was significant only in the last seasons; no variations were detected in autumn. Then, for each user, a comparison was made between weeks with different occupancy in the same season. What emerged was that the increase in occupancy increased the total consumption of electricity, but the modulation of the different energy rates connected to the photovoltaic system strongly depends on the occupants’ behavior. The variation in energy rates generated a modification in the environmental and economic advantages connected to the PV system. The percentage of occupancy for the different users, in the various conditions, is summarized in Table 2. Furthermore, by extending the increase in weekly occupancy to the entire season, the average annual presence was calculated and is reported in Table 3.

3.2. Electricity Rates and Consumption Profiles

Representative trends of seasonal weekly power rates were identified for each user by monitoring, analyzing, and comparing data collected from the photovoltaic system. It was interesting to discover a certain diversity in the trends of the various power rates over time. Thanks to direct interactions with the users, it emerged that new social conditions had caused variation in the percentage of presence at home during the week, and induced users to behave differently from usual. In particular, for the Green Family, the increase in presence occurred in summer as a consequence of holidays from work, for the Smart Worker the increase occurred in winter and summer weeks due to smart working, and the Young Family also recorded an increase in occupancy both in the summer and winter periods, due to the sudden unemployment of two family members. Therefore, once these aspects had been identified, through a second meeting with the users, it was possible to obtain information regarding their hourly presence in the house in all occupancy conditions. A graphical representation was used to highlight the relationship between the users’ presence and the respective trend in power rates, in the representative seasonal weeks and varying the occupancy conditions. In each graph, the average hourly power is related to the percentage of occupancy over the 24 h (black dots). For example, Figure 2 displays a typical summer Monday for the Young Family during both the working and the unemployment period. The power curves identify the different rates of the PV system: produced by the panels (in red), consumed (in blue), from/into the battery (in green), and from/into the electricity grid (in black). In the latter two cases, positive values indicate a power supply from the PV panels, while negative values are quantities withdrawn by the users. In this case, the greater presence of users at home significantly increased electricity consumption in the central hours of the day (from 12:00 to 17:00), without however generating too many variations in the evening usage.
Appendix D shows the trends obtained for the three users in summer and winter, considering a typical week with initial occupancy and a week with an occupancy increase.
In the case of the Green Family (Figure A1), the increase in electricity consumption was concentrated in the central hours of the day, when solar availability was greater. By questioning the family members, it emerged that they were very attentive to maximizing self-consumption from the photovoltaic system, reducing withdrawal from the grid. Using this approach, the users shifted some evening electricity usage to the central hours of the day. For example, they moved the use of the dishwasher and washing machine to the late morning or early afternoon, as well as taking showers before sunset.
Observing the Smart Worker (Figure A2 and Figure A3) and the Young Family (Figure A4 and Figure A5), it emerged that the increases in occupancy generated increases in electricity consumption, both in summer and in winter weeks. These users, in fact, did not declare any attitude towards energy saving in their habits. In particular, the Smart Worker increased the operation of the cooling or heating system and other electrical uses (such as keeping the laptop constantly connected to the power outlet). Also, the Young Family prolonged the use of the heating and cooling systems, television, computers, and other entertainment technologies during the day, keeping their evening habits related to the use of household appliances unchanged. The effects of occupant behavior were therefore quantified by calculating the weekly energy tariffs of the photovoltaic system. For the Green Family, Figure 3 shows how, going from 75% to 92% of weekly occupancy, total consumption increased from 50.2 to 112.2 kWh per week, real-time self-consumption went from 63% to 75%, and withdrawal from the network from 7% to 5%. Input into the grid, however, decreased from 76% to 51%, and, according to what was declared by the users, this resulted from the economic advantage connected to self-consumption (intended to translate into lower bills), which is greater than that connected to sales of energy. The increase in self-consumption in real time therefore led to battery draw decreasing from 30% to 20%.
As regards the Smart Worker, the real-time self-consumption rate tended to decrease or at most remain unchanged with an increase in occupancy. In particular, in summer, an increase in occupancy from 79% to 89% (Figure 4) led to an increase in total consumption from 141 to 215 kWh per week, and generated a decrease in self-consumption in real time from 37% to 33%, while withdrawal from the network increased from 12% to 26%. Withdrawal from the battery also tended to decrease (from 51% to 41%), and injection into the grid decreased from 40% to 24%. Analyzing what happened in winter (Figure 5), however, an increase in occupancy from 71% to 85% led to an increase in total consumption from 134 to 175 kWh per week. This increase in consumption, depending on the behavior of the occupant, translated into a higher increase in energy withdrawn from the network (from 31% to 69%), while self-consumed energy remained practically unchanged. Withdrawal from the battery significantly decreased (from 47% to 9%), and feeding into the grid was almost eliminated (from 12% to 1%).
In the case of the Young Family, an increase in summer occupancy (Figure 6) from 73% to 84% generated an increase in total consumption from 168 to 265 kWh per week. This change led to a slight increase in self-consumed energy (from 39% to 48%), but what resulted in the greatest increase was the energy taken from the grid, which went from 15% to 30%. The energy supplied by the battery also tended to reduce drastically, as did the rate into the grid. This energy repartition was explained by the users, who declared that they had been experiencing a much warmer indoor temperature than normal, which generated an increase in the use of the cooling system. This increase in the use of technology led to an increase in total consumption, and, in particular, real-time consumption during the day. Consequently, input into the battery for evening use decreased, with a consequent increase in withdrawal from the network necessary to satisfy evening needs. Even in winter (Figure 7), going from 73% to 88% of occupancy, against an increase in total consumption from 159 to 219 kWh, the self-consumption rate decreased (from 21% to 8%), while withdrawal from the grid increased from 47% to 60%. This time, there was an invariance in the percentage of withdrawal from the battery, and an increase in the energy injected into the grid.

3.3. Economic Analysis

The economic analysis led to obtaining information about the final available funding of the PV systems, and then to evaluating how this economic availability could be modified following an increase in the occupants’ presence and their behavior. Traditionally, during the design phase of a PV system, it is necessary to evaluate economic convenience and verify whether the initial expense is recoverable over the life of the system [25]. Revenues deriving from a photovoltaic system are, in general, linked to the following benefits: bill savings generated by self-consumption and use of the energy previously accumulated in the battery, feeding the surplus electricity produced into the grid (on-site exchange or dedicated collection), and any tax deduction connected to incentives. For all the users included in this study, remuneration from the energy injected into the grid occurred according to the logic of a dedicated withdrawal that represented a real sale of energy, according to the logic of the guaranteed minimum price. This is a fixed price that is established in Italy by the Regulatory Authority for Energy, Networks and the Environment (ARERA) [26] at the beginning of the year. In 2023, this price was set at EUR 0.04 per kilowatt hour, a value significantly lower than the single national price that the user paid for any electricity withdrawn from the network (the average value in the analyzed period was approximately EUR 0.25). Installation costs represent the largest part of the initial investment of a photovoltaic system. These include the purchase of solar panels, inverter, battery, installation, and connection to the electricity grid. As regards the operating costs, photovoltaic systems require relatively low maintenance, but it is necessary to consider some costs to guarantee the longevity and efficiency of the system, such as cleaning the panels, replacing the inverter (generally after 10 years), battery replacement (after 5–7 years), and ordinary maintenance (on average EUR 100 per year). The available funding (Dk) was calculated considering the cost of the electricity taken from the network:
D k = R k C k
where Rk and Ck represent the revenues and costs in the year k, respectively. The available funding of the three PV systems was calculated as the accumulated economic benefits after a period of 20 years (D20). The Smart Worker and the Young Family took advantage of a transfer of credit allowed by the 110% Superbonus incentive [27]. The economic indexes were calculated by referring to the energy rates of the reference weeks and the energy rates corresponding to the seasonal increase in occupancy. The results related to the available funding are summarized in Table 4, and a detailed description of the economic analysis for each user follows.
  • The Green Family profited from a form of incentive which provides for a tax deduction equal to 50% of the initial investment (deducted from personal income tax over 10 years). The user’s total investment, including VAT, amounts to EUR 10,300. What emerged was that the increase in occupancy in summer generated a seasonal increase in electricity costs from EUR 11 to EUR 16.2, and in revenues from EUR 193.60 to EUR 325 due to self-consumption and withdrawal from the battery. Thanks to the attitude of the family to maximize self-consumption, D20 could increase by about EUR 3600 (55.5%).
  • For the Smart Worker, an increase in summer occupancy of 12.7% generated a reduction in the final economic availability of 20.8%. In winter, the reduction in disposable income was more significant, as an increase in presence by 19.7% could lead to a reduction in D20 by 48.3%. In the last scenario, the reduction in economic availability could be critical and equal to around 70%.
  • For the Young Family, an increase in occupancy of 20.6% in the summer period could lead to a reduction in economic availability by 40%. In winter, a slight increase in presence at home (15%) generated a reduction in economic availability of 44% (mainly due to low solar availability). An increase in presence at home, in both summer and winter, generated a significant economic loss equal to 82.5%.

3.4. Environmental Analysis

According to the current value provided by the Italian Ministry of the Environment, each kilowatt hour withdrawn from the grid corresponds to 531 gr of CO2 emitted [28]. It is therefore obvious that the more the user uses electricity self-consumption or draws from the battery, avoiding energy supply from the grid, the higher the environmental benefit. As described in the previous paragraphs, however, the energy rates connected to environmental advantage vary with the presence of the occupants and with their behavior. A new economic–environmental index was introduced, the Social Investment Index (SII), defined as the ratio between the quantity of carbon dioxide saved during the useful life of a photovoltaic system and the amount of money invested for its construction. The value is weighted according to the total energy consumption in order to highlight the effect of a user’s presence and behavior (Equation (2)). The higher this index, the greater the environmental profitability of the investment.
S o c i a l   I n v e s t m e n t   I n d e x S I I = C O 2   s a v e d E c o n o m i c   i n v e s t m e n t × E n e r g y   c o n s u m e d
The index can be applied to evaluate the effectiveness of the economic investment in reducing CO2 emissions, and how this type of advantage can change depending on the occupants’ behavior.
The use of photovoltaic panels generates a reduction in CO2 emissions in all conditions of occupancy, but this reduction can be more or less marked depending on the occupants’ behavior. The following observations should be noted in particular:
  • For the Green Family, an increase in occupancy in the summer season from 75% to 92% resulted in an increase in CO2 emissions from 23.4 to 34.3 kg of CO2 per season, while CO2 savings increased from 232.4 to 680.4 kg of CO2 per season. Extending the evaluation to 20 years of operation of the system, the SII varies from 89.7 to 92.8 kg CO2 saved/(k€ ∙ MWh), as reported in Table 5.
  • For the Smart Worker, the increase in occupancy in the summer season generated an increase in CO2 emissions from 111 to 356 kg of CO2, while the amount of CO2 saved varied from 787 to 1013.8 kg of CO2 per season. Analyzing what happened in winter, we note the high increase in CO2 emitted as a function of the increase in occupancy, from 267.9 to 769.5 kg CO2 per season. It should be noted that this last emissions value is very close to what would occur in the absence of the photovoltaic system (854.7 kg of CO2), demonstrating that incorrect use of the technology can drastically reduce its advantages.
The user’s behavior, in the condition of increased winter occupancy, even led to a lowering of the CO2 emissions saved (from 586.7 to 349.4 kg CO2). For winter and summer, Figure 8 shows the variation in the CO2 saved (weighted with respect to the total electricity consumption) as a function of the percentage of occupancy. A decrease is recorded in both seasons, especially in winter, with a 55% variation. Projecting these conditions over 20 years of operation of the system, a slight decrease in the SII is highlighted in summer (from 23.6 to 22.1 kg CO2 saved/(k€ ∙ MWh) thanks to the self-consumption rate, a reduction in winter (from 23.6 to 19.1 kg CO2 saved/(k€ ∙ MWh)), and a total value of 18.1 kg CO2 saved/(k€ ∙ MWh) (Table 5).
  • In the case of the Young Family, the increase in summer occupancy generated a notable increase in the quantity of CO2 emitted (from 166.2 to 509.9 kg), and a smaller increase in that saved (from 905.1 to 1181.1 kg). In winter, the increase in occupancy changed the CO2 emitted from 470 to 838.9 kg. The CO2 saving remains approximately unchanged if we compare the winter reference condition with that with an increase in occupancy (despite the increase in total consumption). Figure 9 shows the decrease in CO2 saved (weighted to the electricity consumption), which reached 25.3% in winter.
The 20-year projection of these conditions highlights how the SII decreases slightly in summer (from 21.5 to 20.1 kg CO2 saved/(k€ ∙ MWh)), and more significantly in winter (19.3 kg CO2 saved/(k€ ∙ MWh)). In total, on an annual basis, the SII records a value of 18.4 kg CO2 saved/(k€ ∙ MWh) (Table 5).

4. Discussion

The monitoring of the energy rates connected to the three photovoltaic systems highlights their variability with refence to the occupants’ presence in the house. In all the investigated cases, an increase in occupancy led to an increase in electricity consumption, but how the different energy rates of the PV system are re-modulated is a function of the occupants’ behavior (under the same external environmental conditions).
This aspect then influences the greater or lesser economic and environmental advantages connected to the renewable energy systems. The economic and environmental analyses, in fact, provided different outcomes for the three users. Despite a major presence at home, a user can maximize consumption rates in real time and withdrawal from the battery, increasing the economic and environmental benefits connected to the photovoltaic system. On the contrary, if the user is not aware of the technology, the potentialities of the renewable system cannot be fully exploited. In this regard, the Green Family reported using continuous monitoring, via a mobile application, of the power rates connected to the PV system in order to manage the main sources of electricity usage (such as dishwasher, washing machine, hair dryer, air conditioning) during the hours of maximum solar availability. This type of approach, implemented in the weeks of greatest presence at home, led to optimization of the users’ economic benefits and reduced the carbon dioxide emissions connected to withdrawal from the grid.
The Smart Worker and the Young Family, on the contrary, declared that they did not monitor solar radiation or the power rates connected to the PV system. These families continued to use electricity only on basis of their habits, comfort preferences, and needs. This lack of monitoring led to the users not fully benefitting from the environmental and economic benefits that the PV system could offer, especially in the weeks of increased presence at home. In fact, in these weeks, both users increased their daily electricity usage (in particular by using heating and cooling systems), without changing their evening consumption. This behavior resulted in an increase in energy withdrawn from the grid during the evening hours, reducing battery storage.
Graphical representations were created to synthetize the results of the study, which relate to the change in available funding (Figure 10) and CO2 emissions reduction (Figure 11), after 20 years of operation of the PV system under different conditions of occupancy. The obtained trends could be useful in the design phase, predicting the performance of the renewable system in relation to owners’ diverse occupancy scenarios.
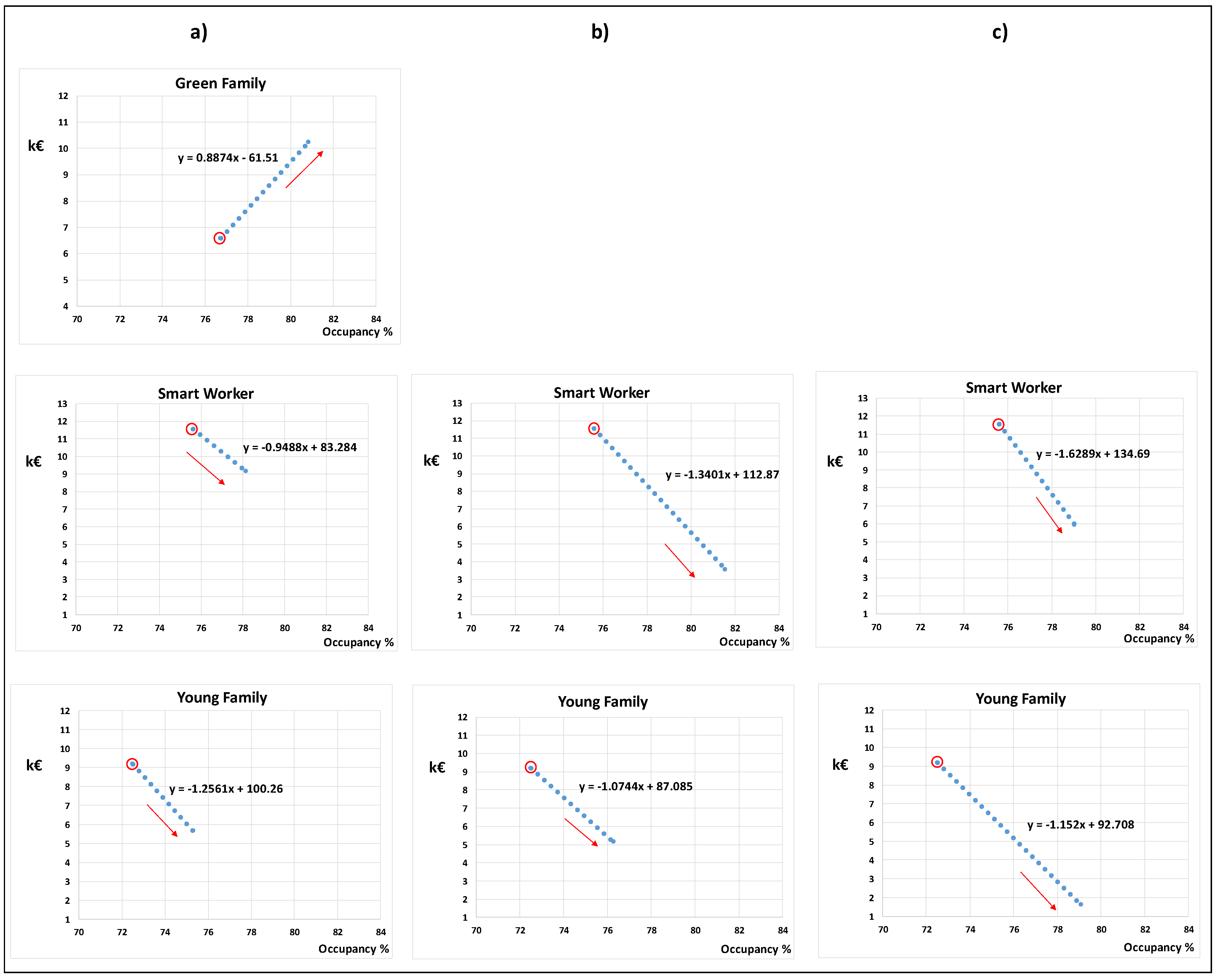
In the case of the Green Family, it emerges that an average annual increase in occupancy from 77% to 81% could generate an increase in final economic availability from EUR 6589 to EUR 10,243, thanks to an increase in electricity self-consumption.
For the Smart Worker, the results highlight that an annual increase in presence at home leads to a loss of economic availability, more or less marked depending on whether the increase occurs in summer or winter. In particular, a similar increase in occupancy generates a larger reduction in economic benefits in winter, due to lower solar availability and greater use of the heating system compared to the cooling one. The high level of thermal comfort which the Smart Worker prefers, in addition to an increase in presence at home, reduces the economic advantages they could achieve by using the photovoltaic system.
For the Young Family, an increase in occupancy generates an economic loss, even if the difference between summer and winter conditions is less marked than for the Smart Worker. The Young Family in fact increased their use of the cooling system more than the heating system, in relation to thermal comfort preferences.
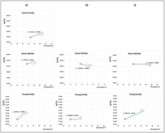
The same approach was used to extract graphical representations of environmental performance in terms of carbon dioxide emissions and SII values. For the Green Family, an increase in presence at home during the summer also proves to be advantageous from an environmental point of view thanks to an increase in self-consumption as a proportion of total consumption. An increase in average annual occupancy of 4% generates a CO2 saving of approximately 9000 kg. This reduction generates an increase in the social index SII, which rises from 89.7 to 92.8 kg CO2 saved for every EUR 1000 invested. Conscious use of the technology therefore makes the economic investment more profitable.
For the Smart Worker, the environmental evaluations demonstrate that an increase in presence at home can generate a consequent increase in CO2 savings only during the summer season. This result is purely connected to an increase in electricity consumption during the hours with higher solar radiation, and not to a change in the occupant’s behavior, according to what he declared. In winter, in fact, the same behavioral approach led to a reduction in CO2 saved, linked to the thermal comfort preferences. Similar observations can be made for the Young Family. An increase in occupancy led to an increase in CO2 savings, linked purely to the increase in total electricity consumption during the daily hours, and not to a change in behavior. The Young Family declared that they were less tolerant of warm indoor conditions than cold ones, and the increased use of the cooling system was mainly offset by high availability of solar energy. This outcome shows how unconscious behavior in the winter season is certainly more impactful than a similar approach to the technology in summer.
The results of the study therefore highlight the importance of combining the monitoring of the energy rates connected to a photovoltaic system with the correct management of the technology. Conscious use of a PV system can maximize the benefits, making economic returns more advantageous for the users and increasing the profitability of the investment to pursue environmental objectives. The Green Family demonstrated that significant economic and environmental advantages can be obtained by using a mobile application to monitor a PV system and adopting behavioral changes in everyday life. On the contrary, the Smart Worker and the Young Family demonstrated that the absence of accurate monitoring, and the failure to adapt their behavior accordingly, reduced the benefits of the economic investment. The study therefore calls attention to the importance of placing the user at the centre of the design phase by educating people on the correct and conscious use of photovoltaic technology. Moreover, the results underline the importance of monitoring the energy rates connected to such systems.

5. Conclusions

Current studies related to human–building interaction in dwellings highlight that total energy consumption and energy costs increase with presence at home. In particular, this investigation aimed to demonstrate how, when domestic users have a photovoltaic system, an increase in occupancy can lead to significant variation in the advantages connected to the renewable energy technology. The importance of monitoring the energy rates connected to the PV system was demonstrated by analyzing, for one year, data for three dwellings (Green Family, Smart Worker, Young Family) located in the Southern Italy. Data were analyzed in order to understand the capability of human behavior to reduce the emission of carbon dioxide and generate greater savings to household bills thanks to self-consumption.
In more detail, the Green Family recorded the greatest increase in presence at home during the summer season, paying attention to solar availability during the course of the day, thanks to a mobile application for monitoring the energy rates connected to the photovoltaic system, and moving consumption with greater energy expenditure to daytime hours. This behavioral approach means that the Green Family can still obtain the advantages connected to the PV system. The study demonstrated, in fact, that both revenues (mainly connected to savings on bills) and CO2 savings increased for this user, thanks to the reduction in energy withdrawn from the grid.
The increase in home occupancy by the Smart Worker and the Young Family occurred unconsciously. Users did not change their habits and did not pay attention to monitoring energy rates, reducing the economic and environmental advantages connected to the photovoltaic systems. These two users increased the daily consumption covered by solar production in real time, lowering battery storage and leading to an increase in withdrawal from the electricity grid to satisfy unchanged evening needs.
To quantify these effects, a parameter called Social Investment Index (SII) was introduced. The SII highlights that the Italian Government incentives could be achieving different environmental profitability from its economic investments. In particular, before installing a large storage battery, it is necessary to educate users on the correct management of the technology. In fact, despite having reduced battery power compared to the other users, the Green Family managed self-consumption energy rates well, making the investment more profitable.
In conclusion, to achieve the objectives of sustainability, there is a real need to place the user at the center of installation of domestic renewable energy systems, educating him/her on the continuous monitoring of the energy rates connected to the PV system, and implementing conscious and rational use of the electricity produced by solar energy.

Author Contributions

Conceptualization, M.D.S. and A.B.; methodology, M.D.S.; software, A.B.; validation and formal analysis, M.D.S. and A.B.; investigation, M.D.S. and A.B.; data curation, A.B.; writing—original draft preparation, A.B.; writing—review and editing, M.D.S.; visualization, A.B.; supervision, M.D.S. All authors have read and agreed to the published version of the manuscript.

Funding

This research received no external funding.

Data Availability Statement

The datasets presented in this article are not readily available because the data are part of an ongoing study. Requests to access the datasets should be directed to the corresponding author.

Acknowledgments

The authors would like to thank the AF Progettazioni s.r.l.s company for the technical support and data.

Conflicts of Interest

The authors declare no conflicts of interest.

Appendix A. Green Family: Socio-Economic Information and Presence at Home, Characteristics of the House, User–Building Interactions

Socio-Economic Information and Presence at Home
Number of members3
Family compositionAgeGenderEducational levelEmployment
70MaleDegreeFreelance
60FemaleDegreeFreelance
42FemaleDegreeFreelance
Occupancy on working days Time slot 6:00–14:00Time slot 14:00–18:00Time slot 18:00–6:00
45.8%33.0%100%
Occupancy on weekendsTime slot 6:00–14:00Time slot 14:00–18:00Time slot 18:00–6:00
100%83.3%100%
Presence of smokers No
Presence of petsYes
Annual incomeNot provided
Annual electricity consumption 2133 kWh
Annual electricity expenditureEUR 362.61
Characteristics of the House
MunicipalityMontalto (CS)
Type of homeIndependent and owned house
Placement planOn two floors (one is the ground floor)
Year of construction2015
Number of rooms10
Internal surface area 200 m2
Thermal insulation of wallsYes
Windows frameWood
Windows glassDouble
External screening systemsShutter
Internal shielding systemsWhite curtains
Heating systemAutonomous
Type of generatorPellet stove
Main energy source for heatingPellet
Terminal typeRadiators
Photovoltaic systemYes
Air conditioning systemYes
Low energy consumption lamps100%
Type of lamps LED
Energy label of appliancesLow energy consumption
User-Building Interactions
How heating is turned onIn all rooms
Typical heating switch-on time19:00–23:00
Thermostat temperature in winter20 °C
Typical turn-on time of the cooling systemWorking days Non-working days
19:00–23:0011:00–16:00
When the lights are turned onIn occupied rooms and only when natural light is not sufficient
Times when lights are turned on in winterWorking days
07:00–09:00 and 19:00–00:00
Times when lights are turned on in summerWorking daysNon-working days
20:00–23:0020:00–23:00
Opening windows in winter07:00–09:00 and 19:00–20:00
Opening windows in summer 06:00–10:00 and 18:00–06:00
Use of internal screens in winterNot used
Use of internal screens in summerNot used
Usage of appliances with high electricity consumption ApplianceDays per weekTimes per dayDuration of single use
Microwave71less than 10 min
Electric oven7230–60 min
Dishwasher31more than 1 h
Washing machine41more than 1 h
Vacuum2130–60 min
Iron2110–30 min
Phone43less than 10 min

Appendix B. Smart Worker: Socio-Economic Information and Presence at Home, Characteristics of the House, User–Building Interactions

Socio-Economic Information and Presence at Home
Number of people in the family unit1
Family compositionAgeGender Educational levelEmployment
41MaleDegreeFreelance
Occupancy on working days in officeTime slot 6:00–14:00Time slot 14:00–18:00Time slot 18:00–6:00
37.5%0%100%
Occupancy on working days working from homeTime slot 6:00–14:00Time slot 14:00–18:00Time slot 18:00–6:00
100%100%81.8%
Occupancy on weekendsTime slot 6:00–14:00Time slot 14:00–18:00Time slot 18:00–6:00
100%50%91.7%
Presence of smokers No
Presence of petsNo
Annual incomeEUR 55,000–75,000
Annual electricity consumption 3111 kWh
Annual electricity expenditure EUR 527.31
Characteristics of the House
Municipality Rende
Type of homeIndependent and owned house
Placement planGround floor
Year of construction2015
Number of rooms9
Internal surface area212 m2
Thermal insulation of wallsYes
Windows frameWood
Windows glassTriple low emissivity
External screening systemsShutter
Internal shielding systemsWhite curtains
Heating systemAutonomous
Type of generatorHeat pump
Main energy source for heatingSolar source
Terminal typeFan coils
Photovoltaic systemYes
Air conditioning systemYes
Low energy consumption lamps100%
Type of lamps LED
Energy labels of appliancesAll low energy consumption
User–Building Interactions
How heating is turned onOnly in occupied rooms
Typical heating switch-on timeWorking days in officeWorking days working from home
07:00–09:00 and 20:00–23:0007:00–11:00 and 20:00–01:00
Thermostat temperature in winter22 °C
Typical turn-on time of the air conditioning systemWorking days in officeWorking days working from home
19:00–23:0013:00–16:00 and 19:00–23:00
How the lights are turned onTurned on in occupied rooms and only when natural light is not sufficient
Typical times when lights are turned on in winterWorking days in officeWorking days working from home
06:00–09:00 and 19:00–00:00From 6:00 to midnight
Typical times when lights are turned on in summerWorking days in officeWorking days working from home
20:00–23:0019:00–23:00
Opening windows in winter07:00–09:00 and 20:00–21:00
Opening windows in summer 06:00–09:00 and 19:00–06:00
Use of internal screens in winterThe user does not use shielding systems in winter
Use of internal screens in summer05:00–08:00 and 00:00–05:00
Usage of appliances with high electricity consumptionApplianceN° of days per weekN° of times per dayDuration of single use
Microwave41less than 10 min
Electric oven11More than 1 h
Dishwasher2130–60 min
Washing machine31more than 1 h
Dryer31more than 1 h
Vacuum51less than 10 min
Phone71less than 10 min

Appendix C. Young Family: Socio-Economic Information and Presence at Home, Characteristics of the House, User–Building Interactions

Socio-Economic Information and Presence at Home
Number of members4
Family compositionAgeGender Educational levelEmployment
43MaleDiplomaUnemployed
45FemaleDiplomaUnemployed
15FemaleMiddle School diplomaStudent
6MalePrimary school diplomaStudent
Occupancy on working days before unemploymentTime slot 6:00–14:00Time slot 14:00–18:00Time slot 18:00–6:00
56.3%43.8%91.7%
Occupancy on working days after unemploymentTime slot 6:00–14:01Time slot 14:00–18:01Time slot 18:00–6:01
62.5%85.0%91.7%
Occupancy on weekendsTime slot 6:00–14:01Time slot 14:00–18:01Time slot 18:00–6:01
100%25%100%
Presence of smokersNo
Presence of petsNo
Annual incomeInformation not provided
Annual electricity consumption3969 kWh
Annual electricity expenditureEUR 1633
Characteristics of the House
Municipality Rende
Type of dwellingIndependent and owned house
Placement planIntermediate floor
Year of construction2005
Number of rooms 6
Internal surface area95 m2
Thermal insulation of wallsYes
Windows frameComposite material
Window glassDouble low emissivity
External screening systemsVenetian
Internal shielding systemsWhite and coloured curtains
Heating systemAutonomous
Type of generatorHeat pump
Main energy source for heatingSolar source
Terminal typeFan coils
Photovoltaic systemYes
Air conditioning systemYes
Use of low energy consumption lamps100%
Type of lamps LED
Energy label of household appliancesAll low energy consumption
User–Building Interactions
How heating is turned onIn all rooms of the house
Typical heating switch-on timeBefore unemploymentAfter unemployment
18:00–23:0008:00–13:00 and 18:00–23:00
Thermostat temperature in winter20 °C
Typical turn-on time of the air conditioning systemBefore unemploymentAfter unemployment
18:00–23:0013:00–16:00 and 18:00–23:00
How the lights are turned onTurned on in occupied rooms and only when natural light is not sufficient
Typical times when lights are turned on in winterBefore unemploymentAfter unemployment
06:00–09:00 and 19:00–23:00From 6 a.m. to midnight
Typical times when lights are turned on in summerBefore unemploymentAfter unemployment
19:00–23:0019:00–24:00
Opening windows in winter07:00–09:00 and 13:00–15:00
Opening windows in summer 06:00–12:00
Use of internal screens in winter05:00–06:00 and 19:00–05:00
Use of internal screens in winter05:00–06:00 and 22:00–05:00
Usage of appliances with high electricity consumptionApplianceN° of days per weekN° of times per dayDuration of single use
Electric stove75more than 1 h
Electric oven71more than 1 h
Dishwasher4130–60 min
Washing
machine
41more than 1 h
Dryer41more than 1 h
Iron5110–30 min
Vacuum71less than 10 min
Phone44less than 10 min

Appendix D. Relationship Between Occupancy and Trend in Power Rates

Figure A1. Green Family, relationship between occupancy and trend in power rates in (a) summer working week and (b) non-working summer week.
Figure A1. Green Family, relationship between occupancy and trend in power rates in (a) summer working week and (b) non-working summer week.
Buildings 14 04035 g0a1
Figure A2. Smart Worker, relationship between occupancy and trend in power rates in (a) winter working week in office and (b) winter week working from home.
Figure A2. Smart Worker, relationship between occupancy and trend in power rates in (a) winter working week in office and (b) winter week working from home.
Buildings 14 04035 g0a2
Figure A3. Smart Worker, relationship between occupancy and trend in power rates in (a) summer working week at office and (b) summer week working from home.
Figure A3. Smart Worker, relationship between occupancy and trend in power rates in (a) summer working week at office and (b) summer week working from home.
Buildings 14 04035 g0a3
Figure A4. Young Family, relationship between occupancy and trend in power rates in (a) typical working winter week and (b) post-unemployment winter week.
Figure A4. Young Family, relationship between occupancy and trend in power rates in (a) typical working winter week and (b) post-unemployment winter week.
Buildings 14 04035 g0a4
Figure A5. Young Family, relationship between occupancy and trend in power rates in (a) typical working summer week and (b) post-unemployment summer week.
Figure A5. Young Family, relationship between occupancy and trend in power rates in (a) typical working summer week and (b) post-unemployment summer week.
Buildings 14 04035 g0a5

References

  1. Global Alliance for Buildings and Construction. 2020 Global Status Report for Buildings and Construction Towards a Zero-Emissions, Efficient and Resilient Buildings and Construction Sector. 2020. Available online: http://www.un.org/Depts/ (accessed on 5 June 2024).
  2. Eurostat. Available online: https://ec.europa.eu/eurostat (accessed on 6 June 2024).
  3. Italy for Climate. Available online: https://italyforclimate.org/ (accessed on 6 June 2024).
  4. Le Emissioni di Gas Serra in Italia, Rapporti 399-2024. ISPRA. Available online: https://www.isprambiente.gov.it/files2024/pubblicazioni/rapporti/rapporto-399-24-le-emissioni-di-gas-serra-in-italia.pdf (accessed on 16 December 2024).
  5. GSR2022_Full_Report. Available online: https://www.e3analytics.eu/wp-content/uploads/2022/09/GSR2022_Full_Report.pdf (accessed on 7 June 2024).
  6. Indicatori di Efficienza e Decarbonizzazione del Sistema Energetico Nazionale e del Settore Elettrico. Rapporti 363-2022. ISPRA. Available online: https://www.isprambiente.gov.it/files2022/pubblicazioni/rapporti/r363-2022.pdf (accessed on 11 June 2024).
  7. Gestore dei Servizi Energetici. Available online: https://www.gse.it/documenti_site/Documenti%20GSE/Rapporti%20statistici/Solare%20Fotovoltaico%20-%20Rapporto%20Statistico%202023.pdf (accessed on 16 December 2024).
  8. Costi e Benefici del Fotovoltaico. 2012. Available online: www.gifi-fv.it (accessed on 12 June 2024).
  9. BloombergNEF. Available online: https://about.bnef.com/ (accessed on 5 June 2024).
  10. Gestore dei Servizi Energetici. Available online: https://www.gse.it/documenti_site/Documenti%20GSE/Rapporti%20statistici/GSE%20-%20Solare%20Fotovoltaico%20-%20Rapporto%20Statistico%202022.pdf (accessed on 16 December 2024).
  11. IEA EBC. Available online: https://annex79.iea-ebc.org/ (accessed on 16 December 2024).
  12. O’Brien, W.; Wagner, A.; Schweiker, M.; Mahdavi, A.; Day, J.; Kjærgaard, M.B.; Carlucci, S.; Dong, B.; Tahmasebi, F.; Yan, D.; et al. Introducing IEA EBC annex 79: Key challenges and opportunities in the field of occupant-centric building design and operation. Build. Environ. 2020, 178, 106738. [Google Scholar] [CrossRef]
  13. Yu, Z.; Fung, B.C.M.; Haghighat, F.; Yoshino, H.; Morofsky, E. A systematic procedure to study the influence of occupant behavior on building energy consumption. Energy Build. 2011, 43, 1409–1417. [Google Scholar] [CrossRef]
  14. Braulio-Gonzalo, M.; Bovea, M.D.; Jorge-Ortiz, A.; Juan, P. Contribution of households’ occupant profile in predictions of energy consumption in residential buildings: A statistical approach from Mediterranean survey data. Energy Build. 2021, 241, 110939. [Google Scholar] [CrossRef]
  15. Zhang, C.; Zhao, T.; Li, K. Quantitative correlation models between electricity consumption and behaviors about lighting, sockets and others for electricity consumption prediction in typical campus buildings. Energy Build. 2021, 253, 111510. [Google Scholar] [CrossRef]
  16. Chen, S.; Zhang, G.; Xia, X.; Chen, Y.; Setunge, S.; Shi, L. The impacts of occupant behavior on building energy consumption: A review. Sustain. Energy Technol. Assess. 2021, 45, 101212. [Google Scholar] [CrossRef]
  17. Müller, A.; Koert, J.; Wörner, P. Household specific self-consumption of photovoltaic-based power generation—A comprehensive parametric study to increase the reliability of energy consulting. In Proceedings of the 17th IBPSA Conference, Bruges, Belgium, 1–3 September 2021; pp. 3646–3653. [Google Scholar] [CrossRef]
  18. Jiang, Z.; Qiu, Y.; Dong, B. Occupancy-based model predictive control for residential building cluster with photovoltaic and battery systems. In Proceedings of the 18th IBPSA Conference, Shanghai, China, 4–6 September 2023; pp. 3163–3170. [Google Scholar] [CrossRef]
  19. Liu, X.; Wu, Y.; Wu, H. PV-EV integrated home energy management considering residential occupant behaviors. Sustainability 2021, 13, 13826. [Google Scholar] [CrossRef]
  20. Moran, F.; Natarajan, S. PV in historic dwellings: The potential to reduce domestic CO2 emissions. J. Build. Eng. 2015, 3, 70–78. [Google Scholar] [CrossRef]
  21. Il, V.V.; Alt, E.; Berg, L.; von Köppen, W. Handbuch der Klimatologie in fünf Bänden das Geographische System der Klimate; Verlag von Gebrüder Borntraeger: Berlin, Germany, 1936. [Google Scholar]
  22. Schweiker, M.; Carlucci, S.; Andersen, R.K.; Dong, B.; O’Brien, W. Exploring Occupant Behavior in Buildings, Chapter Occupancy and Occupants’ Actions; Wagner, A., O’Brien, W., Dong, B., Eds.; Springer: Cham, Switzerland, 2018; pp. 7–38. [Google Scholar]
  23. De Simone, M.; Callea, L.; Fajilla, G. Surveys and inferential statistics to analyze contextual and personal factors influencing domestic hot water systems and usage profiles in residential buildings of Southern Italy. Energy Build. 2022, 255, 111660. [Google Scholar] [CrossRef]
  24. ZCS Azzurro. Available online: https://www.zcsazzurro.com/ (accessed on 17 July 2023).
  25. Ing. Fabrizio Martini—DUEE-SPS-ESE, L’analisi Costi-Benefici. May 2024. Available online: https://www.eventi.enea.it/images/presentazioni2024/2024_05_21_assolombarda-pmi/21052024_F._Martini_Enea.pdf (accessed on 6 November 2024).
  26. ARERA. Autorità di Regolazione per Energia reti e Ambiente. Available online: https://www.arera.it/ (accessed on 8 November 2024).
  27. Agenzia delle Entrate. “SUPERBONUS 110%”. 2022. Available online: https://www.agenziaentrate.gov.it/portale/documents/20143/233439/Guida_Superbonus_110_2022.pdf/21e9100a-9d7e-f582-4f76-2edcf1797e99 (accessed on 8 November 2024).
  28. Ministry of the Environment and Energy Security. Available online: https://www.mase.gov.it/ (accessed on 8 November 2024).
Figure 1. (a) Green Family photovoltaic system, (b) Smart Worker and Young Family photovoltaic system.
Figure 1. (a) Green Family photovoltaic system, (b) Smart Worker and Young Family photovoltaic system.
Buildings 14 04035 g001
Figure 2. Percentage of occupancy and power trends for the Young Family on (a) a typical summer Monday and (b) a typical post-unemployment summer Monday.
Figure 2. Percentage of occupancy and power trends for the Young Family on (a) a typical summer Monday and (b) a typical post-unemployment summer Monday.
Buildings 14 04035 g002
Figure 3. For the Green Family, weekly rates of (a) energy produced in the two summer occupancy conditions and (b) energy consumed in the two summer occupancy conditions.
Figure 3. For the Green Family, weekly rates of (a) energy produced in the two summer occupancy conditions and (b) energy consumed in the two summer occupancy conditions.
Buildings 14 04035 g003
Figure 4. For the Smart Worker, weekly rates of (a) energy produced in the two summer occupancy conditions and (b) energy consumed in the two summer occupancy conditions.
Figure 4. For the Smart Worker, weekly rates of (a) energy produced in the two summer occupancy conditions and (b) energy consumed in the two summer occupancy conditions.
Buildings 14 04035 g004
Figure 5. For the Smart Worker, weekly rates of (a) energy produced in the two winter occupancy conditions and (b) energy consumed in the two winter occupancy conditions.
Figure 5. For the Smart Worker, weekly rates of (a) energy produced in the two winter occupancy conditions and (b) energy consumed in the two winter occupancy conditions.
Buildings 14 04035 g005
Figure 6. For the Young Family, weekly rates of (a) energy produced in the two summer occupancy conditions and (b) energy consumed in the two summer occupancy conditions.
Figure 6. For the Young Family, weekly rates of (a) energy produced in the two summer occupancy conditions and (b) energy consumed in the two summer occupancy conditions.
Buildings 14 04035 g006
Figure 7. For the Young Family, weekly rates of (a) energy produced in the two winter occupancy conditions and (b) energy consumed in the two winter occupancy conditions.
Figure 7. For the Young Family, weekly rates of (a) energy produced in the two winter occupancy conditions and (b) energy consumed in the two winter occupancy conditions.
Buildings 14 04035 g007
Figure 8. For the Smart Worker, CO2 saved weighted with respect to electricity consumption, in different occupancy conditions in winter and summer.
Figure 8. For the Smart Worker, CO2 saved weighted with respect to electricity consumption, in different occupancy conditions in winter and summer.
Buildings 14 04035 g008
Figure 9. For the Young Family: CO2 saved weighted with respect to the electricity consumption, in different occupancy conditions in winter and summer.
Figure 9. For the Young Family: CO2 saved weighted with respect to the electricity consumption, in different occupancy conditions in winter and summer.
Buildings 14 04035 g009
Figure 10. Trend in economic availability after 20 years as a function of annual presence (%): (a) summer increase in occupancy; (b) winter increase in occupancy; (c) summer and winter increase in occupancy. The red circle indicates the value related to the reference occupancy condition.
Figure 10. Trend in economic availability after 20 years as a function of annual presence (%): (a) summer increase in occupancy; (b) winter increase in occupancy; (c) summer and winter increase in occupancy. The red circle indicates the value related to the reference occupancy condition.
Buildings 14 04035 g010
Figure 11. Trend in CO2 saved after 20 years as a function of annual presence (%): (a) summer increase in occupancy; (b) winter increase in occupancy; (c) summer and winter increase in occupancy. The red circle indicates the value related to the reference occupancy condition.
Figure 11. Trend in CO2 saved after 20 years as a function of annual presence (%): (a) summer increase in occupancy; (b) winter increase in occupancy; (c) summer and winter increase in occupancy. The red circle indicates the value related to the reference occupancy condition.
Buildings 14 04035 g011
Table 1. Technical and economic data of the photovoltaic systems provided by the installation company AF Progettazioni s.r.l.s. (prices are related to the first semester 2023).
Table 1. Technical and economic data of the photovoltaic systems provided by the installation company AF Progettazioni s.r.l.s. (prices are related to the first semester 2023).
Characteristics of the PV SystemGreen FamilySmart Worker and Young Family
System Power (kW)66
Battery Power (kW)520
Average battery life (years)55
N° of panels1616
Panel size (m)1.70 × 1.10 1.70 × 1.10
ExposureSouthSoutheast
Hybrid inverter power (kW)66
Cell materialSingle crystal siliconSingle crystal silicon
Cost of the photovoltaic panels (EUR)24002400
Cost of the battery (EUR)330011,700
Cost of the inverter (EUR)22002200
Cost of labor and electrical system (EUR)24002400
Total cost (EUR)10,30018,700
Table 2. Weekly occupancy in the house in summer and winter.
Table 2. Weekly occupancy in the house in summer and winter.
UserReference Summer Occupancy (%)Summer Occupancy with Increase (%)Reference Winter Occupancy (%)Winter Occupancy with Increase (%)
Green family759278-
Smart worker79897185
Young family73847388
Table 3. Annual occupancy in the house in different conditions.
Table 3. Annual occupancy in the house in different conditions.
UserReference Annual Occupancy (%)With Summer Increase (%)With Winter Increase (%)With Summer and Winter Increase (%)
Green family7781--
Smart worker76787982
Young family73757679
Table 4. Available funding after 20 years in different occupancy conditions.
Table 4. Available funding after 20 years in different occupancy conditions.
UsersD20 with Reference Occupancy (EUR)D20 with Summer Increase in Occupancy (EUR)D20 with Winter Increase in Occupancy (EUR)D20 with Summer and Winter Increase in Occupancy (EUR)
Green family658910,243--
Smart worker11,558915859733573
Young Family9181565451281601
Table 5. SII (kg CO2 saved/(k€ ∙ MWh)) after 20 years of PV operation in different occupancy conditions.
Table 5. SII (kg CO2 saved/(k€ ∙ MWh)) after 20 years of PV operation in different occupancy conditions.
UsersReference
Occupancy
Summer Increase in Occupancy Winter Increase
in Occupancy
Summer and Winter Increase
in Occupancy
Green family89.792.8--
Smart worker23.622.119.118.4
Young Family21.520.119.318.3
Disclaimer/Publisher’s Note: The statements, opinions and data contained in all publications are solely those of the individual author(s) and contributor(s) and not of MDPI and/or the editor(s). MDPI and/or the editor(s) disclaim responsibility for any injury to people or property resulting from any ideas, methods, instructions or products referred to in the content.

Share and Cite

MDPI and ACS Style

De Simone, M.; Bilotta, A. Monitoring of Energy Rates of Domestic PV Systems to Evaluate the Influence of Occupants’ Behavior on Environmental and Economic Benefits. Buildings 2024, 14, 4035. https://doi.org/10.3390/buildings14124035

AMA Style

De Simone M, Bilotta A. Monitoring of Energy Rates of Domestic PV Systems to Evaluate the Influence of Occupants’ Behavior on Environmental and Economic Benefits. Buildings. 2024; 14(12):4035. https://doi.org/10.3390/buildings14124035

Chicago/Turabian Style

De Simone, Marilena, and Antonio Bilotta. 2024. "Monitoring of Energy Rates of Domestic PV Systems to Evaluate the Influence of Occupants’ Behavior on Environmental and Economic Benefits" Buildings 14, no. 12: 4035. https://doi.org/10.3390/buildings14124035

APA Style

De Simone, M., & Bilotta, A. (2024). Monitoring of Energy Rates of Domestic PV Systems to Evaluate the Influence of Occupants’ Behavior on Environmental and Economic Benefits. Buildings, 14(12), 4035. https://doi.org/10.3390/buildings14124035

Note that from the first issue of 2016, this journal uses article numbers instead of page numbers. See further details here.

Article Metrics

Back to TopTop