Vibration Reduction Performance of a Novel Harmonic Frequency Damping Device for Damping Pad Floating Slab Track
Abstract
1. Introduction
2. Design of Harmonic Frequency Damping Device
- (1)
- Secure Connection: The HFDD should be firmly and reliably connected to the DPFS to prevent detachment or loosening during train operation.
- (2)
- Durability and Corrosion Resistance: The HFDD should be capable of long-term stable operation in the track environment, with sufficient durability and resistance to corrosion.
- (3)
- Safety Considerations: The HFDD must not negatively impact the operation of the track system, with all safety factors carefully considered.
- (4)
- Symmetrical Arrangement: The HFDD should be arranged symmetrically to avoid inducing unnecessary bending moments.
3. Mechanical Test for Rubber Damping Pad
4. Research Methodology for DPFST with HFDD
4.1. Vehicle–Track Coupled Dynamics Model
4.2. Finite Element Model of DPFST
4.3. Model Validation
5. Study Conditions for DPFST with HFDD
6. Modal Analysis of DPFS with HFDD
7. Dynamic Analysis of DPFST with HFDD
7.1. Effect on DPFS with HFDD Installed
7.1.1. Time Response Analysis of DPFS with HFDD
7.1.2. Frequency Response Analysis of DPFS with HFDD
7.2. Effects of HFDD on Track System
8. Effects of Errors on DPFST with HFDD
8.1. Errors Caused by Eccentric Loads
8.2. Effects Caused by Installation Errors
9. Conclusions
- (1)
- The HFDD features an upper plate, lower plate, and a spring-damping system between them. It is symmetrically installed on both sides of the DPFS, connected via bolts to the slab and base. Its stiffness, damping, and preload are adjustable.
- (2)
- Simulating the rubber damping pad requires accounting for material nonlinearity. Through uniaxial tensile tests and the strain energy function of the Mooney–Rivlin constitutive model, the constitutive parameters of the rubber damping pad were determined to be and .
- (3)
- HFDD stiffness effectively tunes the natural frequencies of DPFS vertical vibration modes. Increasing stiffness from 0 to 10 kN/mm significantly raises the second mode (lateral rolling vibration) frequency by 7.58 Hz, enabling adjustment to avoid harmful excitations in practical applications.
- (4)
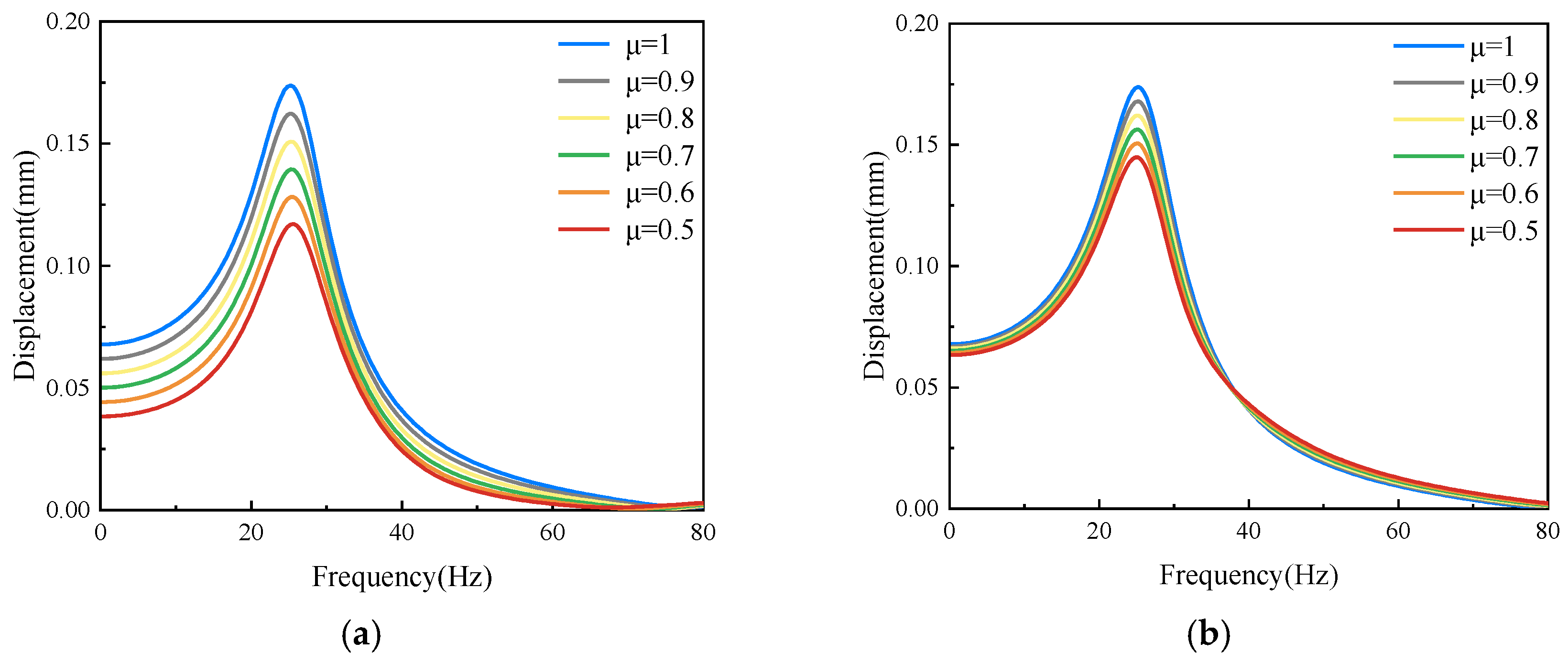
- Installing the HFDD suppresses DPFS acceleration and displacement. As the HFDD stiffness and damping increase, DPFS acceleration and displacement exponentially decrease. Optimal suppression is achieved when stiffness is around 20 kN/mm and damping is about 100 kN·s/m. Beyond this range, further increases sharply reduce vibration suppression effectiveness.
Author Contributions
Funding
Data Availability Statement
Conflicts of Interest
References
- Yang, J.; Zhu, S.; Zhai, W.; Kouroussis, G.; Wang, Y.; Wang, K.; Lan, K.; Xu, F. Prediction and mitigation of train-induced vibrations of large-scale building constructed on subway tunnel. Sci. Total Environ. 2019, 668, 485–499. [Google Scholar] [CrossRef] [PubMed]
- Lopes, P.; Ruiz, J.F.; Costa, P.A.; Rodríguez, L.M.; Cardoso, A.S. Vibrations inside buildings due to subway railway traffic. Experimental validation of a comprehensive prediction model. Sci. Total Environ. 2016, 568, 1333–1343. [Google Scholar] [CrossRef] [PubMed]
- Ma, M.; Xu, L.; Liu, W.; Tan, X. Semi-analytical solution of a coupled tunnel-soil periodic model with a track slab under a moving train load. Appl. Math. Model. 2024, 128, 588–608. [Google Scholar] [CrossRef]
- Yang, Y.; He, Q.; Cai, C.; Zhai, W. A novel 3D train-bridge interaction model for monorail system considering nonlinear wheel-track slipping behavior. Nonlinear Dyn. 2024, 112, 3265–3301. [Google Scholar] [CrossRef]
- Xu, L.; Ma, M. Vibration amplification zone phenomenon on the ground surface under various types of buried dynamic loads within metro tunnel. Soil Dyn. Earthq. Eng. 2024, 182, 108713. [Google Scholar] [CrossRef]
- Liang, Q.; Luo, W.; Zhou, Y.; Lu, Z.; Li, J.; He, Z. Vibration filtering effect of a novel three-dimensional isolation bearing on metro vibration isolation. Eng. Struct. 2024, 301, 117304. [Google Scholar] [CrossRef]
- Gautier, P.E. Slab track: Review of existing systems and optimization potentials including very high speed. Constr. Build. Mater. 2015, 92, 9–15. [Google Scholar] [CrossRef]
- Rivlin, R.S.; Saunders, D.W. Large elastic deformations of isotropic materials VII. Experiments on the deformation of rubber. Philos. Trans. R. Soc. Lond. Ser. A Math. Phys. Sci. 1951, 243, 251–288. [Google Scholar]
- Liang, L.; Li, X.; Zheng, J.; Lei, K.; Gou, H. Structure-borne noise from long-span steel truss cable-stayed bridge under damping pad floating slab: Experimental and numerical analysis. Appl. Acoust. 2020, 157, 106988. [Google Scholar] [CrossRef]
- Chen, Z.; Pu, Q.; Long, Q.; Shang, T.; Wang, Z.; Zhang, J. Mechanical characteristics of resilient wheels that consider structural nonlinearity and varying wheel/rail contact point. Int. J. Mech. Mater. Des. 2024, 20, 15–33. [Google Scholar] [CrossRef]
- Taourit, S.; Le Gac, P.Y.; Bourdet, A.; Van Elslander, A.; Robin, C.; Fayolle, B. Changes in natural rubber mechanical behavior during oxidation: Relationship with oxygen consumption. Polym. Degrad. Stab. 2024, 225, 110787. [Google Scholar] [CrossRef]
- Zeng, Z.; Zeng, Q.; Guo, W.; Wang, W.; Li, Q.; He, Y.; Ceng, R. Safety and comfort study of vibration-reduction pad floating slab applied to No. 9 turnout. J. Railw. Sci. Eng. 2024, 21, 1015–1024. (In Chinese) [Google Scholar]
- Jin, S. Dynamic response of the damping pad floating slab track caused by vehicle-track interaction. In Proceedings of the 11th World Congress on Computational Mechanics (WCCM XI), 5th European Conference on Computational Mechanics (ECCM V) and 6th European Conference on Computational Fluid Dynamics (ECFD VI), Barcelona, Spain, 20–25 July 2014. [Google Scholar]
- Jin, H.; Zhou, S.; Liu, W. Optimization of vibration reduction of the rubber floating-slab tracks. J. Vibroeng. 2017, 19, 1214–1224. [Google Scholar] [CrossRef][Green Version]
- Zhao, Z.; Wei, K.; Ding, W.; Cheng, F.; Wang, P. Evaluation method of the vibration reduction effect considering the real load-and frequency-dependent stiffness of slab-track mats. Materials 2021, 14, 452. [Google Scholar] [CrossRef]
- Huang, X.; Zeng, Z.; Li, Z.; Luo, X.; Yin, H.; Wang, W. Experimental study on vibration characteristics of the floating slab with under-slab polyurethane mats considering fatigue loading effect. Eng. Struct. 2023, 276, 115322. [Google Scholar] [CrossRef]
- Liang, L.; Li, X.; Yin, J.; Wang, D.; Gao, W.; Guo, Z. Vibration characteristics of damping pad floating slab on the long-span steel truss cable-stayed bridge in urban rail transit. Eng. Struct. 2019, 191, 92–103. [Google Scholar] [CrossRef]
- Wang, Q.; Cai, X.; Chang, W.; Hou, B.; Wang, T.; Zhang, Z. Dynamic Simulation of Rubber Floating Slab Track Based on the Hyperelastic Constitutive Model of Vibration Isolation Pad. China Railw. Sci. 2023, 44, 87–96. (In Chinese) [Google Scholar]
- Zbiciak, A.; Kraśkiewicz, C.; Dudziak, S.; Al-Sabouni-Zawadzka, A.; Pełczyński, J. An accurate method for fast assessment of under slab mats (USM) performance in ballastless track structures. Constr. Build. Mater. 2021, 300, 123953. [Google Scholar] [CrossRef]
- Li, W.; Wang, A.; Gao, X.; Ju, L.; Liu, L. Development of multi-band tuned rail damper for rail vibration control. Appl. Acoust. 2021, 184, 108370. [Google Scholar] [CrossRef]
- Xiao, Y.; Shen, W.; Zhu, H.; Du, Y. An acoustic black hole absorber for rail vibration suppression: Simulation and full-scale experiment. Eng. Struct. 2024, 304, 117647. [Google Scholar] [CrossRef]
- Zhu, S.; Yang, J.; Cai, C.; Pan, Z.; Zhai, W. Application of dynamic vibration absorbers in designing a vibration isolation track at low-frequency domain. Proc. Inst. Mech. Eng. Part F J. Rail Rapid Transit 2017, 231, 546–557. [Google Scholar] [CrossRef]
- Sung, D.; Chang, S.; Kim, S. Effect of additional anti-vibration sleeper track considering sleeper spacing and track support stiffness on reducing low-frequency vibrations. Constr. Build. Mater. 2020, 263, 120140. [Google Scholar] [CrossRef]
- He, Z.; Zhai, W.; Wang, Y.; Shi, G.; Bao, N.; Yuan, X.; Chen, Q.; Bai, Y.; Li, W.; Zhang, R.; et al. Theoretical and experimental study on vibration reduction and frequency tuning of a new damped-sleeper track. Constr. Build. Mater. 2022, 336, 127420. [Google Scholar] [CrossRef]
- Claus, H.; Schiehlen, W. Dynamic stability and random vibrations of rigid and elastic wheelsets. Nonlinear Dyn. 2004, 36, 299–311. [Google Scholar] [CrossRef]
- ASTM D412; Standard Test Methods for Vulcanized Rubber and Thermoplastic Elastomers—Tension. ASTM International: West Conshohocken, PA, USA.
- Horgan, C.O.; Murphy, J.G. Compression tests and constitutive models for the slight compressibility of elastic rubber-like materials. Int. J. Eng. Sci. 2009, 47, 1232–1239. [Google Scholar] [CrossRef]
- Major, M.; Major, I. Comparative Analysis of Stress in Hyperelastic Mooney-Rivlin and Zahorski Materials Using Adina Software. Trans. VSB-Tech. Univ. Ostrav. Civ. Eng. Ser. 2015, 15, 1. [Google Scholar] [CrossRef][Green Version]
- Maneschy, C.E.; Massoudi, M.; Velloso, V.R. Dynamic elastic solutions in neo-Hookean and Mooney-Rivlin materials. Int. J. Non-Linear Mech. 1993, 28, 531–534. [Google Scholar] [CrossRef]
- Zhai, W.; Zhai, W. Vehicle–Track Coupled Dynamics Models; Springer: Singapore, 2020. [Google Scholar]
- Chen, Z. Dynamic contact between CRTS II slab track and bridge due to time-dependent effect of bridge and its influence on train-track-bridge interaction. Eng. Struct. 2021, 234, 111974. [Google Scholar] [CrossRef]
- Wang, M.; Chen, X. Study on Damping Parameters of Floating Plate Track with Polyurethane Damping. Railw. Eng. 2022, 62, 51–54. (In Chinese) [Google Scholar]
- Alabbasi, S.; Hussein, M.; Abdeljaber, O.; Avci, O. A numerical and experimental investigation of a special type of floating-slab tracks. Eng. Struct. 2020, 215, 1107. [Google Scholar] [CrossRef]




















| Modelling | Parameters | Value | Units |
|---|---|---|---|
| Base | Mass density | 2500 | kg·m−1 |
| Elastic Modulu | 36 | Gpa | |
| Poisson’s ratio | 0.2 | / | |
| Floating slab | Mass density | 2100 | kg·m−1 |
| Elastic Modulu | 32.5 | Gpa | |
| Poisson’s ratio | 0.167 | / | |
| Rail | Mass density | 7850 | kg·m−1 |
| Elastic Modulu | 210 | Gpa | |
| Poisson’s ratio | 0.3 | / | |
| Fastener | Vertical stiffness | 5 × 104 | kN·m |
| Vertical damping | 7.5 × 10 | kN·s/m | |
| Rubber pad | Poisson’s ratio | 0.4996 | / |
| Modal Order | Natural Frequency | Vibration Mode |
|---|---|---|
| 1st | 22.87 Hz | ![]() |
| 2st | 29.36 Hz | ![]() |
| 3st | 39.08 Hz | ![]() |
| 4st | 83.81 Hz | ![]() |
| 5st | 122.58 Hz | ![]() |
| 6st | 153.41 Hz | ![]() |
| Modal | Natural Frequency | ||||
|---|---|---|---|---|---|
| 0 kN/mm | 0.1 kN/mm | 1 kN/mm | 5 kN/mm | 10 kN/mm | |
| 1st | 22.84 Hz | 22.89 Hz | 23.21 Hz | 24.60 Hz | 26.19 Hz |
| 2st | 29.25 Hz | 29.33 Hz | 30.11 Hz | 33.30 Hz | 36.83 Hz |
| 3st | 38.96 Hz | 38.99 Hz | 39.20 Hz | 40.10 Hz | 41.17 Hz |
| 4st | 83.49 Hz | 83.52 Hz | 83.79 Hz | 84.94 Hz | 86.33 Hz |
| 5st | 122.40 Hz | 122.41 Hz | 122.48 Hz | 122.79 Hz | 123.17 Hz |
| 6st | 153.14 Hz | 153.14 Hz | 153.14 Hz | 153.14 Hz | 153.14 Hz |
Disclaimer/Publisher’s Note: The statements, opinions and data contained in all publications are solely those of the individual author(s) and contributor(s) and not of MDPI and/or the editor(s). MDPI and/or the editor(s) disclaim responsibility for any injury to people or property resulting from any ideas, methods, instructions or products referred to in the content. |
© 2024 by the authors. Licensee MDPI, Basel, Switzerland. This article is an open access article distributed under the terms and conditions of the Creative Commons Attribution (CC BY) license (https://creativecommons.org/licenses/by/4.0/).
Share and Cite
Chen, Z.; Zhang, H.; Pu, Q.; Xu, P.; Chen, Z. Vibration Reduction Performance of a Novel Harmonic Frequency Damping Device for Damping Pad Floating Slab Track. Buildings 2024, 14, 3976. https://doi.org/10.3390/buildings14123976
Chen Z, Zhang H, Pu Q, Xu P, Chen Z. Vibration Reduction Performance of a Novel Harmonic Frequency Damping Device for Damping Pad Floating Slab Track. Buildings. 2024; 14(12):3976. https://doi.org/10.3390/buildings14123976
Chicago/Turabian StyleChen, Zhaowei, Hanbo Zhang, Qianhua Pu, Pengfei Xu, and Zhihui Chen. 2024. "Vibration Reduction Performance of a Novel Harmonic Frequency Damping Device for Damping Pad Floating Slab Track" Buildings 14, no. 12: 3976. https://doi.org/10.3390/buildings14123976
APA StyleChen, Z., Zhang, H., Pu, Q., Xu, P., & Chen, Z. (2024). Vibration Reduction Performance of a Novel Harmonic Frequency Damping Device for Damping Pad Floating Slab Track. Buildings, 14(12), 3976. https://doi.org/10.3390/buildings14123976






