Ventilation Optimization Based on Spatial-Temporal Distribution and Removal Efficiency of Patient-Exhaled Pollutants in Hospital Wards During the Post-Epidemic Period
Abstract
1. Introduction
2. Materials and Methods
2.1. Model Description
2.1.1. Physical Model
2.1.2. Investigated Cases
2.2. Boundary Conditions
2.3. Numerical Method
2.3.1. Governing Equation
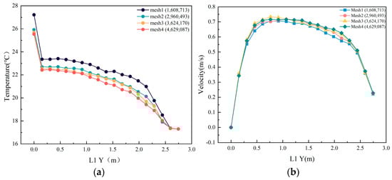
2.3.2. Grid Independence Test
2.4. Evaluation Criteria
2.5. Model Validation
3. Results and Discussion
3.1. Airflow Distribution in the Two-Bed Ward
3.2. Pollutant Dispersion Characteristics
3.3. Assessment of the Effectiveness of Pollutant Control
3.4. Spatial and Temporal Characteristics of Aerosol Droplet Distribution
3.5. Deposition, Suspension, and Removal Characteristics of Aerosol Droplets
3.6. Limitations
- (1)
- The actual diameters of aerosol particles exhaled by humans are continuously distributed across a scale ranging from sub-micrometers to millimeters and even larger, whereas the simulation only modeled particles with diameters of 3 μm, 12 μm, 20 μm, and 45 μm.
- (2)
- Coughing, sneezing, and speaking by patients release more aerosol particles than the typical respiratory process, yet these processes were overlooked in the simulation.
- (3)
- The study only investigated the spatial-temporal distribution characteristics of aerosols generated by patients lying flat and did not consider the spatial-temporal distribution characteristics of aerosols generated by patients in other positions, such as lying on their side, sitting, or standing.
4. Conclusions
- (1)
- Air supply diffuser and exhaust outlet arrangements affected CO2 dispersion in different respiratory planes. Dual-sided exhaust outlets facilitated pollutant removal. In addition, the right-side exhaust outlet facilitated pollutant removal more effectively than the left, due to the extensive space adjacent to B1, elongating the removal pathway and causing pollutant accumulation, elevating overall contamination. Positioning the air supply diffuser A0 near the pollutant source created an air curtain that hindered pollutant spread towards the opposite side. Three supply diffusers provided wider fresh air coverage, diluting pollutants. Case 9 efficiently removed contaminants with CRE values exceeding 1 at the patient, AS, and HCW respiratory planes: 1.10, 1.05, and 1.05, respectively.
- (2)
- Air supply diffuser and exhaust outlet layouts significantly influenced particle diffusion paths more than exhaust outlet size, establishing a directional airflow from the supply to the pollutant source, then to the exhaust outlet, optimizing aerosol entrainment and removal. In Case 7, air bypassed the pollutant release source (Patient 1), and a locking phenomenon occurred in the left area of the ward, causing high-concentration accumulation. Case 2 demonstrated the highest removal efficiency of 50.3%, but most particles migrated towards and accumulated above Patient 2. However, in Case 1, with 40.4%, second only to case 2, particles did not accumulate in Patient 2, offering the best layout for reducing cross-infection risk and contaminant removal.
- (3)
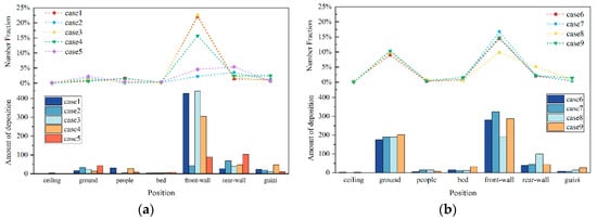
- Aerosol droplets primarily deposited on the front wall and floor. The front wall had the highest deposition rate, reaching 22.63% in Case 3. In Case 9, the floor had the highest deposition rate (10.41%) due to rapid descent of jet flow, turbulent eddies, and gravity. As particle size increases, more particles deposited on the bed. These findings highlight that during disinfection in a two-bed ward, focus should be placed on the front wall, floor (especially under the bed), and bed surface, which are frequently touched by ASs and HCWs, requiring extra protection.
Author Contributions
Funding
Data Availability Statement
Conflicts of Interest
Appendix A

References
- Li, Y.; Leung, G.M.; Tang, J.W.; Yang, X.; Chao, C.Y.; Lin, J.Z.; Lu, J.W.; Nielsen, P.V.; Niu, J.; Qian, H.; et al. Role of ventilation in airborne transmission of infectious agents in the built environment—A multidisciplinary systematic review. Indoor Air 2007, 17, 2–18. [Google Scholar] [CrossRef] [PubMed]
- Zhou, M.; Zou, J. A dynamical overview of droplets in the transmission of respiratory infectious diseases. Phys. Fluids 2021, 33, 031301. [Google Scholar] [CrossRef]
- Correia, G.; Rodrigues, L.; Gameiro Da Silva, M.; Gonçalves, T. Airborne route and bad use of ventilation systems as non-negligible factors in SARS-CoV-2 transmission. Med. Hypotheses 2020, 141, 109781. [Google Scholar] [CrossRef] [PubMed]
- Al-Rikabi, I.J.; Karam, J.; Alsaad, H.; Ghali, K.; Ghaddar, N.; Voelker, C. The impact of mechanical and natural ventilation modes on the spread of indoor airborne contaminants: A review. J. Build. Eng. 2024, 85, 108715. [Google Scholar] [CrossRef]
- Nishiura, H.; Oshitani, H.; Kobayashi, T.; Saito, T.; Sunagawa, T.; Matsui, T.; Wakita, T.; Team, M.C.R.; Suzuki, M. Closed environments facilitate secondary transmission of coronavirus disease 2019 (COVID-19). MedRxiv 2020. [Google Scholar] [CrossRef]
- Ding, J.; Yu, C.W.; Cao, S.J. HVAC systems for environmental control to minimize the COVID-19 infection. Indoor Built Environ. 2020, 29, 1195–1201. [Google Scholar] [CrossRef]
- Morawska, L.; Afshari, A.; Bae, G.N.; Buonanno, G.; Chao, C.Y.; Hänninen, O.; Hofmann, W.; Isaxon, C.; Jayaratne, E.R.; Pasanen, P.; et al. Indoor aerosols: From personal exposure to risk assessment. Indoor Air 2013, 23, 462–487. [Google Scholar] [CrossRef] [PubMed]
- Nicas, M.; Nazaroff, W.W.; Hubbard, A. Toward understanding the risk of secondary airborne infection: Emission of respirable pathogens. Occup. Env. Hyg. 2005, 2, 143–154. [Google Scholar] [CrossRef]
- Tellier, R. Review of aerosol transmission of influenza A virus. Emerg. Infect. Dis. 2006, 12, 1657–1662. [Google Scholar] [CrossRef]
- Li, H.; Cui, Q.; Kong, X.; Fan, M. Study on the infection control performance under interactive cascade ventilation: A focus on a conference room environment. Build. Environ. 2024, 250, 111161. [Google Scholar] [CrossRef]
- Zhang, Y.; Feng, G.; Kang, Z.; Bi, Y.; Cai, Y. Numerical Simulation of Coughed Droplets in Conference Room. Procedia Eng. 2017, 205, 302–308. [Google Scholar] [CrossRef]
- Zhao, W.; Lestinen, S.; Guo, M.; Kilpeläinen, S.; Jokisalo, J.; Kosonen, R. An experimental study on airborne transmission in a meeting room with different air distribution methods. Build. Environ. 2024, 256, 111522. [Google Scholar] [CrossRef]
- Ding, E.; Zhang, D.; Bluyssen, P.M. Ventilation regimes of school classrooms against airborne transmission of infectious respiratory droplets: A review. Build. Environ. 2022, 207, 108484. [Google Scholar] [CrossRef]
- Li, L.; Yao, C.; Liu, W.; Yin, Z.; Huang, W.; Yao, Y.; Luo, Y.; Huang, Y. Impact of displacement ventilation and underfloor air distribution systems on concentrations of indoor particle in different seasons. J. Build. Eng. 2024, 84, 108466. [Google Scholar] [CrossRef]
- Rahmati, B.; Heidarian, A.; Jadidi, A.M. The Relation Between Airflow Pattern and Indoor Air Quality in a Hybrid Personalized Ventilation with Under-Floor Air Distribution System. Exp. Tech. 2022, 47, 167–186. [Google Scholar] [CrossRef]
- Arghand, T.; Karimipanah, T.; Awbi, H.B.; Cehlin, M.; Larsson, U.; Linden, E. An experimental investigation of the flow and comfort parameters for under-floor, confluent jets and mixing ventilation systems in an open-plan office. Build. Environ. 2015, 92, 48–60. [Google Scholar] [CrossRef]
- Qin, C.; He, Y.; Li, J.; Lu, W.-Z. Mitigation of breathing contaminants: Exhaust location optimization for indoor space with impinging jet ventilation supply. J. Build. Eng. 2023, 69, 106250. [Google Scholar] [CrossRef]
- Lin, Z.; Wang, J.; Yao, T.; Chow, T.T. Investigation into anti-airborne infection performance of stratum ventilation. Build. Environ. 2012, 54, 29–38. [Google Scholar] [CrossRef]
- Lu, Y.; Wang, T.; Zhao, C.; Zhu, Y.; Jia, X.; Zhang, L.; Shi, F.; Jiang, C. An efficient design method of indoor ventilation parameters for high-speed trains using improved proper orthogonal decomposition reconstruction. J. Build. Eng. 2023, 71, 106600. [Google Scholar] [CrossRef]
- Zhou, W.; Yang, M.; Peng, Y.; Xiao, Q.; Fan, C.; Xu, D. Thermal sensation prediction model for high-speed train occupants based on skin temperatures and skin wettedness. Int. J. Biometeorol. 2024, 68, 289–304. [Google Scholar] [CrossRef] [PubMed]
- Maier, J.; Marggraf-Micheel, C.; Dehne, T.; Bosbach, J. Thermal comfort of different displacement ventilation systems in an aircraft passenger cabin. Build. Environ. 2017, 111, 256–264. [Google Scholar] [CrossRef]
- Khalil, E.E.; Azzazi, A.; Elharriri, G.M.; Aboudeif, T. Commercial Aircraft Cabins’ Ventilation Systems. In Proceedings of the 55th AIAA Aerospace Sciences Meeting, Grapevine, TX, USA, 9–13 January 2017. [Google Scholar]
- You, R.; Zhang, Y.; Zhao, X.; Lin, C.H.; Wei, D.; Liu, J.; Chen, Q. An innovative personalized displacement ventilation system for airliner cabins. Build. Environ. 2018, 137, 41–50. [Google Scholar] [CrossRef]
- Xu, R.; Wu, F.; Li, X.; Yu, C.; Li, H.; Wu, R.; Wu, Y. Numerical comparison of ventilation modes on the transmission of coughing droplets in a train compartment. J. Wind Eng. Ind. Aerodyn. 2022, 231, 105240. [Google Scholar] [CrossRef]
- Chang, Z.; Yi, K.; Liu, W. A new ventilation mode of air conditioning in subway vehicles and its air distribution performance. Energy Built Environ. 2021, 2, 94–104. [Google Scholar] [CrossRef]
- Mao, Y.; Ma, J.; Wang, S.; Liang, J.; Liang, J. A stratum ventilation system for pollutants and an improved prediction model for infection in subway cars. Atmos. Pollut. Res. 2022, 13, 101354. [Google Scholar] [CrossRef]
- Liu, Z.; Wang, L.; Rong, R.; Fu, S.; Cao, G.; Hao, C. Full-scale experimental and numerical study of bioaerosol characteristics against cross-infection in a two-bed hospital ward. Build. Environ. 2020, 186, 107373. [Google Scholar] [CrossRef] [PubMed]
- Stadnytskyi, V.; Bax, C.E.; Bax, A.; Anfinrud, P. The airborne lifetime of small speech droplets and their potential importance in SARS-CoV-2 transmission. Proc. Natl. Acad. Sci. USA 2020, 117, 11875–11877. [Google Scholar] [CrossRef]
- Nielsen, P.V.; Li, Y.; Buus, M.; Winther, F.V. Risk of cross-infection in a hospital ward with downward ventilation. Build. Environ. 2010, 45, 2008–2014. [Google Scholar] [CrossRef]
- Wang, C.C.; Prather, K.A.; Sznitman, J.; Jimenez, J.L.; Lakdawala, S.S.; Tufekci, Z.; Marr, L.C. Airborne transmission of respiratory viruses. Science 2021, 373, 6558. [Google Scholar] [CrossRef] [PubMed]
- Liu, Z.; Han, Z.; Hu, L.; Hu, C.; Rong, R. Influence of talking behavior of infected patients and the associated exposure risk in a ventilated negative-pressure ward. Build. Environ. 2024, 248, 111065. [Google Scholar] [CrossRef]
- Liu, Z.; Wang, T.; Wang, Y.; Liu, H.; Cao, G.; Tang, S. The influence of air supply inlet location on the spatial-temporal distribution of bioaerosol in isolation ward under three mixed ventilation modes. Energy Built Environ. 2023, 4, 445–457. [Google Scholar] [CrossRef]
- Ren, C.; Wang, J.; Feng, Z.; Kim, M.K.; Haghighat, F.; Cao, S.-J. Refined design of ventilation systems to mitigate infection risk in hospital wards: Perspective from ventilation openings setting. Environ. Pollut. 2023, 333, 122025. [Google Scholar] [CrossRef] [PubMed]
- Kong, X.; Guo, C.; Lin, Z.; Duan, S.; He, J.; Ren, Y.; Ren, J. Experimental study on the control effect of different ventilation systems on fine particles in a simulated hospital ward. Sustain. Cities Soc. 2021, 73, 103102. [Google Scholar] [CrossRef] [PubMed]
- Tan, H.; Wong, K.Y.; Othman, M.H.D.; Kek, H.Y.; Nyakuma, B.B.; Ho, W.S.; Hashim, H.; Wahab, R.A.; Sheng, D.D.C.V.; Wahab, N.H.A.; et al. Why do ventilation strategies matter in controlling infectious airborne particles? A comprehensive numerical analysis in isolation ward. Build. Environ. 2023, 231, 110048. [Google Scholar] [CrossRef]
- Dao, H.T.; Kim, K.-S. Behavior of cough droplets emitted from Covid-19 patient in hospital isolation room with different ventilation configurations. Build. Environ. 2022, 209, 108649. [Google Scholar] [CrossRef] [PubMed]
- Olmedo, I.; Sánchez-Jiménez, J.L.; Peci, F.; Ruiz De Adana, M. Personal exposure to exhaled contaminants in the near environment of a patient using a personalized exhaust system. Build. Environ. 2022, 223, 109497. [Google Scholar] [CrossRef]
- Satheesan, M.K.; Mui, K.W.; Wong, L.T. A numerical study of ventilation strategies for infection risk mitigation in general inpatient wards. Build. Simul. 2020, 13, 887–896. [Google Scholar] [CrossRef] [PubMed]
- Zhang, H.; Zhang, W.; Zhang, W.; Xuan, Y.; Yue, Y. Multi-vent module-based adaptive ventilation to reduce cross-contamination among indoor occupants. Build. Environ. 2022, 212, 108836. [Google Scholar] [CrossRef]
- Cho, J. Investigation on the contaminant distribution with improved ventilation system in hospital isolation rooms: Effect of supply and exhaust air diffuser configurations. Appl. Therm. Eng. 2019, 148, 208–218. [Google Scholar] [CrossRef] [PubMed]
- Chen, Y.; Lei, J.; Li, J.; Zhang, Z.; Yu, Z.; Du, C. Design characteristics on the indoor and outdoor air environments of the COVID-19 emergency hospital. J. Build. Eng. 2022, 45, 103246. [Google Scholar] [CrossRef]
- Cheong, K.W.D.; Phua, S.Y. Development of ventilation design strategy for effective removal of pollutant in the isolation room of a hospital. Build. Environ. 2006, 41, 1161–1170. [Google Scholar] [CrossRef]
- Eldegwy, A.; Khalil, E.E.; Bially, E.; Mourad, S. Numerical Investigations of Indoor Air Quality in Infection Isolation Rooms. In Proceedings of the 13th International Energy Conversion Engineering Conference, Orlando, FL, USA, 27–29 July 2015. [Google Scholar]
- Qian, H.; Li, Y.; Nielsen, P.V.; Hyldgaard, C.E.; Wong, T.W.; Chwang, A.T. Dispersion of exhaled droplet nuclei in a two-bed hospital ward with three different ventilation systems. Indoor Air 2006, 16, 111–128. [Google Scholar] [CrossRef] [PubMed]
- Liu, L.; Wei, J.; Li, Y.; Ooi, A. Evaporation and dispersion of respiratory droplets from coughing. Indoor Air 2017, 27, 179–190. [Google Scholar] [CrossRef] [PubMed]
- Youssef, A.A.; Mina, E.M.; Elbaz, A.R.; Abdelmessih, R.N. Studying comfort in a room with cold air system using computational fluid dynamics. Ain Shams Eng. J. 2018, 9, 1753–1762. [Google Scholar] [CrossRef]
- Ye, J.; Qian, H.; Ma, J.; Zhou, R.; Zheng, X. Using air curtains to reduce short-range infection risk in consulting ward: A numerical investigation. Build. Simul. 2021, 14, 325–335. [Google Scholar] [CrossRef]
- Chen, M.; Zhang, Y.; Li, T. Airborne spread of human coughing droplets with different postures and relative orientation in wards combined with peacetime and epidemic periods. Build. Environ. 2023, 245, 110863. [Google Scholar] [CrossRef]
- Lu, Y.; Oladokun, M.; Lin, Z. Reducing the exposure risk in hospital wards by applying stratum ventilation system. Build. Environ. 2020, 183, 107204. [Google Scholar] [CrossRef]
- Wei, J.; Li, Y. Enhanced spread of expiratory droplets by turbulence in a cough jet. Build. Environ. 2015, 93, 86–96. [Google Scholar] [CrossRef]
- Wei, J.; Wang, L.; Jin, T.; Li, Y.; Zhang, N. Effects of occupant behavior and ventilation on exposure to respiratory droplets in the indoor environment. Build. Environ. 2023, 229, 109973. [Google Scholar] [CrossRef]
- Zhao, B.; Zhang, Y.; Li, X.; Yang, X.; Huang, D. Comparison of indoor aerosol particle concentration and deposition in different ventilated rooms by numerical method. Build. Environ. 2004, 39, 1–8. [Google Scholar] [CrossRef]
- Duguid, J.P. The size and the duration of air-carriage of respiratory droplets and droplet-nuclei. Epidemiol. Infect. 1946, 44, 471–479. [Google Scholar] [CrossRef] [PubMed]
- Chao, C.Y.H.; Wan, M.P.; Morawska, L.; Johnson, G.R.; Ristovski, Z.D.; Hargreaves, M.; Mengersen, K.; Corbett, S.; Li, Y.; Xie, X.; et al. Characterization of expiration air jets and droplet size distributions immediately at the mouth opening. Aerosol Sci. 2009, 40, 122–133. [Google Scholar] [CrossRef] [PubMed]
- Morawska, L. Droplet fate in indoor environments, or can we prevent the spread of infection? J. Indoor Air 2006, 16, 335–347. [Google Scholar] [CrossRef] [PubMed]
- Küçüktopcu, E.; Cemek, B. Evaluating the influence of turbulence models used in computational fluid dynamics for the prediction of airflows inside poultry houses. Biosyst. Eng. 2019, 183, 1–12. [Google Scholar] [CrossRef]
- Zhang, M.; Shrestha, P.; Liu, X.; Turnaoglu, T.; Degraw, J.; Schafer, D.; Love, N. Computational fluid dynamics simulation of SARS-CoV-2 aerosol dispersion inside a grocery store. Build. Environ. 2022, 209, 108652. [Google Scholar] [CrossRef] [PubMed]
- Kolsi, L.; Hnaien, N.; Marzouk, S.; Al-Rashed, A.A.; Ben Aissia, H.; Jay, J. Numerical Study and Correlations Development on Twin-Parallel Jets Flow with Non-Equal Outlet Velocities. Front. Heat Mass Transf. 2018, 11, 8. [Google Scholar] [CrossRef]
- Laurent, M.R.; Frans, J. Monitors to improve indoor air carbon dioxide concentrations in the hospital: A randomized crossover trial. Sci. Total Environ. 2022, 806, 151349. [Google Scholar] [CrossRef] [PubMed]
- Ha, W.; Zabarsky, T.F.; Eckstein, E.C.; Alhmidi, H.; Jencson, A.L.; Cadnum, J.L.; Donskey, C.J. Use of carbon dioxide measurements to assess ventilation in an acute care hospital. Am. J. Infect. Control 2022, 50, 229–232. [Google Scholar] [CrossRef]
- Mclaughlin, J.B. Aerosol particle deposition in numerically simulated channel flow. Phys. Fluids 1989, 1, 1211–1224. [Google Scholar] [CrossRef]
- Berlanga, F.A.; Gomez, P.; Esteban, A.; Liu, L.; Nielsen, P.V. Three dimensional analysis of the exhalation flow in the proximity of the mouth. Heliyon 2024, 10, e26283. [Google Scholar] [CrossRef]
- Li, Y.; Huang, X.; Yu, I.T.; Wong, T.W.; Qian, H. Role of air distribution in SARS transmission during the largest nosocomial outbreak in Hong Kong. Indoor Air 2005, 15, 83–95. [Google Scholar] [CrossRef] [PubMed]
- ANSI/ASHRAE Standard 62; Ventilation for Acceptable Indoor Air Quality. ASHRAE: Peachtree Corners, GA, USA, 2019; pp. 1–2019.
- Cao, G.; Awbi, H.; Yao, R.; Fan, Y.; Sirén, K.; Kosonen, R.; Zhang, J. A review of the performance of different ventilation and airflow distribution systems in buildings. Build. Environ. 2014, 73, 171–186. [Google Scholar] [CrossRef]
- Motamedi, H.; Shirzadi, M.; Tominaga, Y.; Mirzaei, P.A. CFD modeling of airborne pathogen transmission of COVID-19 in confined spaces under different ventilation strategies. Sustain. Cities Soc. 2022, 76, 103397. [Google Scholar] [CrossRef] [PubMed]
- Wan, M.P.; Chao, C.Y.H.; Ng, Y.D.; To, G.N.S.; Yu, W.C. Dispersion of Expiratory Droplets in a General Hospital Ward with Ceiling Mixing Type Mechanical Ventilation System. Aerosol Sci. Technol. 2007, 41, 244–258. [Google Scholar] [CrossRef]























| Case | Air Supply Diffuser | Air Exhaust Outlet | ||||
|---|---|---|---|---|---|---|
| No. | Size (m × m) | Air Supply Rate (m3/h) | No. | Size (m × m) | Air Exhaust Rate (m3/h) | |
| Case 1 | A0 | 1.2 × 0.9 | 703.2 | B1 | 0.5 × 0.28 | 468.8 |
| B2 | 0.5 × 0.28 | 468.8 | ||||
| Case 2 | A1 | 1.35 × 0.4 | 351.6 | B1 | 0.5 × 0.28 | 468.8 |
| A2 | 1.35 × 0.4 | 351.6 | B2 | 0.5 × 0.28 | 468.8 | |
| Case 3 | A0 | 1.2 × 0.6 | 468.8 | B1 | 0.5 × 0.28 | 468.8 |
| A1 | 0.9 × 0.2 | 117.2 | B2 | 0.5 × 0.28 | 468.8 | |
| A2 | 0.9 × 0.2 | 117.2 | ||||
| Case 4 | A0 | 1.2 × 0.9 | 703.2 | B1 | 0.5 × 0.56 | 937.6 |
| Case 5 | A1 | 1.35 × 0.4 | 351.6 | B1 | 0.5 × 0.56 | 937.6 |
| A2 | 1.35 × 0.4 | 351.6 | ||||
| Case 6 | A0 | 1.2 × 0.6 | 468.8 | B1 | 0.5 × 0.56 | 937.6 |
| A1 | 0.9 × 0.2 | 117.2 | ||||
| A2 | 0.9 × 0.2 | 117.2 | ||||
| Case 7 | A0 | 1.2 × 0.9 | 703.2 | B2 | 0.5 × 0.56 | 937.6 |
| Case 8 | A1 | 1.35 × 0.4 | 351.6 | B2 | 0.5 × 0.56 | 937.6 |
| A2 | 1.35 × 0.4 | 351.6 | ||||
| Case 9 | A0 | 1.2 × 0.6 | 468.8 | B2 | 0.5 × 0.56 | 937.6 |
| A1 | 0.9 × 0.2 | 117.2 | ||||
| A2 | 0.9 × 0.2 | 117.2 | ||||
| Name | Type | Parameters |
|---|---|---|
| Air supply diffuser | Velocity inlet | υ = 0.181 m/s T = 290.3 K Turbulence intensity = 5% DPM: escape |
| Exhaust outlet | Mass flux outlet | Mass Flux = 1.2 kg/(m2∙s) DPM: escape |
| Human body | Wall | Patient: 40 W/m2 |
| Patient’s mouth | Velocity inlet | υ = 1 m/s T = 307 K Hydraulic diameter = 0.012 m Turbulence intensity = 5% |
| TV | Wall | 150 W/m2 |
| Light | Wall | 385 W/m2 |
| Window | Wall | 150 W/m2 |
| Celling | Wall | 17 W/m2 |
| Floor | Wall | 17 W/m2 |
| Door | Wall | 17 W/m2 |
| Wall (window) | Wall | 15 W/m2 |
| Other walls | Wall | Adiabatic |
Disclaimer/Publisher’s Note: The statements, opinions and data contained in all publications are solely those of the individual author(s) and contributor(s) and not of MDPI and/or the editor(s). MDPI and/or the editor(s) disclaim responsibility for any injury to people or property resulting from any ideas, methods, instructions or products referred to in the content. |
© 2024 by the authors. Licensee MDPI, Basel, Switzerland. This article is an open access article distributed under the terms and conditions of the Creative Commons Attribution (CC BY) license (https://creativecommons.org/licenses/by/4.0/).
Share and Cite
Chen, M.; Wang, Q. Ventilation Optimization Based on Spatial-Temporal Distribution and Removal Efficiency of Patient-Exhaled Pollutants in Hospital Wards During the Post-Epidemic Period. Buildings 2024, 14, 3827. https://doi.org/10.3390/buildings14123827
Chen M, Wang Q. Ventilation Optimization Based on Spatial-Temporal Distribution and Removal Efficiency of Patient-Exhaled Pollutants in Hospital Wards During the Post-Epidemic Period. Buildings. 2024; 14(12):3827. https://doi.org/10.3390/buildings14123827
Chicago/Turabian StyleChen, Min, and Qingyu Wang. 2024. "Ventilation Optimization Based on Spatial-Temporal Distribution and Removal Efficiency of Patient-Exhaled Pollutants in Hospital Wards During the Post-Epidemic Period" Buildings 14, no. 12: 3827. https://doi.org/10.3390/buildings14123827
APA StyleChen, M., & Wang, Q. (2024). Ventilation Optimization Based on Spatial-Temporal Distribution and Removal Efficiency of Patient-Exhaled Pollutants in Hospital Wards During the Post-Epidemic Period. Buildings, 14(12), 3827. https://doi.org/10.3390/buildings14123827
