Development and Application of Small Object Visual Recognition Algorithm in Assisting Safety Management of Tower Cranes
Abstract
1. Introduction
- (1)
- The training part of the improved small object recognition algorithm. Based on the video files collected by a tower crane surveillance camera, a dataset of hooks and construction personnel is constructed, and an additional small object detection layer, an attention mechanism, and a loss function are added. Finally, the improved algorithm is trained using the dataset of hooks and construction personnel.
- (2)
- The identification part of the falling object striking area. After detecting the hook and construction personnel using the trained improved algorithm, the actual height of the hook is calculated using the interpolation function based on the hook size, and the range of the falling object striking point is determined to delineate the dangerous area.
- (3)
- The risk assessment part of construction personnel. The risk level of the worker is calculated based on the hook height, the position of the construction personnel, and the time. It is judged whether the risk level exceeds the safety threshold. When the risk level exceeds the safety threshold, the detection box of the worker is highlighted and marked as a warning.
2. Improvement of Small Object Recognition Algorithm
2.1. Selection of YOLOv5 Model
2.2. Addition of Small Object Detection Layer
2.3. Addition of Attention Mechanism
2.4. Improvement of Bounding Box Regression Loss Function
2.5. Addition of False Detection Removal Module
2.6. Algorithm Training and Deployment
2.6.1. Model Training Environment Setting
2.6.2. Dataset and Data Annotation
2.6.3. Model Performance and Comparison
2.6.4. Comparative Analysis of Test Set Detection Effectiveness
2.6.5. Comparative Analysis of Detection Effectiveness of Different Models
3. Identification of Dangerous Area for Object Striking Accident
3.1. Computation of Hook Height Based on Surveillance Video
3.2. Definition of Falling Object Striking Area
4. Risk Assessment of Construction Personnel
4.1. Collection and Statistical Analysis of Tower Crane Safety Accident Cases
4.1.1. Collection of Tower Crane Safety Accident Cases
4.1.2. Statistical Analysis by Accident Type
4.1.3. Statistical Analysis by Accident Stage
4.1.4. Statistical Analysis by Accident Time
4.2. Improved LEC Method for Risk Assessment
4.2.1. Traditional LEC Method
4.2.2. Improvement Based on Statistical Analysis of Past Accident Cases
5. Model Deployment and Application
5.1. Hardware Platform Setup
5.2. System Workflow
- (1)
- Training dataset construction: Utilize surveillance cameras to collect video data under various natural environmental conditions. By extracting frames from these videos, images of crane hooks and construction personnel are obtained to form an image dataset. These images are then annotated using the LabelImg tool.
- (2)
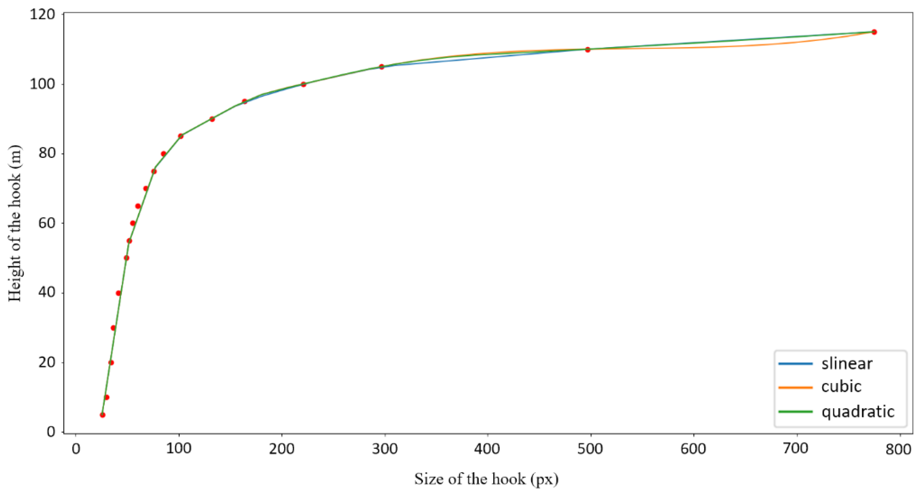
- Interpolation function determination: Capture a segment of video data of the crane hook moving uniformly from the lowest to the highest point. Extract images at equal time intervals and use the time information to determine the crane hook’s height. Record discrete data points containing the crane hook’s height and size, and apply a second-order spline curve interpolation method to generate continuous functions, obtaining interpolation functions for both the crane hook’s height and size.
- (3)
- Target detection training phase: Train the improved YOLOv5s model using the constructed dataset of crane hooks and construction personnel images. The training process generates a weight file that records the model parameters, with Section 2.6.1 providing a reference for the training environment and parameters.
- (4)
- Elimination of false detections: Specify the video path for target detection and use the trained weight file for the real-time detection of crane hooks and construction personnel in the surveillance video. Employ the false detection elimination module within the detection model to remove any falsely detected crane hooks, retaining only the actual crane hook target.
- (5)
- Crane hook height calculation: Utilize the crane hook height calculation module within the detection model. This module uses the crane hook target size information and the interpolation function to calculate the actual height of the crane hook.
- (6)
- Dangerous area demarcation: Employ the dangerous area identification module within the detection model. This module defines the dangerous area directly beneath the crane hook in the surveillance video, which is based on the method for determining the range of falling object striking points. The dangerous area is marked with a red circle and is displayed in real-time in the surveillance video.
- (7)
- Danger warning display: Use the construction personnel risk assessment module within the detection model to calculate the risk level of construction personnel in the surveillance video in real-time. This calculation is based on the crane hook height, personnel location, and monitoring time, according to the modified LEC method. Determine the alarm threshold on the basis of balancing the operational efficiency and safety. When the threshold is exceeded, the model highlights the detected frame of the construction personnel in the tower crane monitoring screen with a red marker as a warning. Also, an alarm is sent to the worker via wearable devices.
5.3. Case Study
6. Discussion and Constraints
7. Conclusions
Supplementary Materials
Author Contributions
Funding
Data Availability Statement
Acknowledgments
Conflicts of Interest
References
- Rosenfeld, Y.; Shapira, A. Automation of existing tower cranes: Economic and technological feasibility. Autom. Constr. 1998, 7, 285–298. [Google Scholar] [CrossRef]
- Lee, G.; Cho, J.; Ham, S.; Lee, T.; Lee, G.; Yun, S.-H.; Yang, H.-J. A BIM-and sensor-based tower crane navigation system for blind lifts. Autom. Constr. 2012, 26, 1–10. [Google Scholar] [CrossRef]
- Akinosho, T.D.; Oyedele, L.O.; Bilal, M.; Ajayi, A.O.; Delgado, M.D.; Akinade, O.O.; Ahmed, A.A. Deep learning in the construction industry: A review of present status and future innovations. J. Build. Eng. 2020, 32, 101827. [Google Scholar] [CrossRef]
- Fang, Q.; Li, H.; Luo, X.; Ding, L.; Luo, H.; Rose, T.M.; An, W. Detecting non-hardhat-use by a deep learning method from far-field surveillance videos. Autom. Constr. 2018, 85, 1–9. [Google Scholar] [CrossRef]
- Kolar, Z.; Chen, H.; Luo, X. Transfer learning and deep convolutional neural networks for safety guardrail detection in 2D images. Autom. Constr. 2018, 89, 58–70. [Google Scholar] [CrossRef]
- Andonovski, B.; Jianqiang, L.; Jeyaraj, S.; Quan, A.Z.; Yonggao, X.; Tech, A.W. Towards a Development of Robotics Tower Crane System. In Proceedings of the 2020 16th International Conference on Control, Automation, Robotics and Vision (ICARCV), Shenzhen, China, 13–15 December 2020; pp. 345–350. [Google Scholar]
- Fang, Y.; Chen, J.; Cho, Y.K.; Kim, K.; Zhang, S.; Perez, E. Vision-based load sway monitoring to improve crane safety in blind lifts. J. Struct. Integr. Maint. 2018, 3, 233–242. [Google Scholar] [CrossRef]
- Song, Z.; Zhang, Y.; Liu, Y.; Yang, K.; Sun, M. MSFYOLO: Feature fusion-based detection for small objects. IEEE Lat. Am. Trans. 2022, 20, 823–830. [Google Scholar] [CrossRef]
- Gao, T.; Wushouer, M.; Tuerhong, G. Small Object Detection Method based on Improved YOLOv5. In Proceedings of the 2022 International Conference on Virtual Reality, Human-Computer Interaction and Artificial Intelligence (VRHCIAI), Changsha, China, 28–30 October 2022; pp. 144–149. [Google Scholar]
- Liu, Z.; Gao, X.; Wan, Y.; Wang, J.; Lyu, H. An Improved YOLOv5 Method for Small Object Detection in UAV Capture Scenes. IEEE Access 2023, 11, 14365–14374. [Google Scholar] [CrossRef]
- Pei, J.; Wu, X.; Liu, X.; Gao, L.; Yu, S.; Zheng, X. SGD-YOLOv5: A Small Object Detection Model for Complex Industrial Environments. In Proceedings of the 2024 International Joint Conference on Neural Networks (IJCNN), Yokohama, Japan, 30 June–5 July 2024; pp. 1–10. [Google Scholar]
- Chen, H.; Liu, H.; Sun, T.; Lou, H.; Duan, X.; Bi, L.; Liu, L. MC-YOLOv5: A Multi-Class Small Object Detection Algorithm. Biomimetics 2023, 8, 342. [Google Scholar] [CrossRef]
- Wu, J.; Xu, S. From Point to Region: Accurate and Efficient Hierarchical Small Object Detection in Low-Resolution Remote Sensing Images. Remote Sens. 2021, 13, 2620. [Google Scholar] [CrossRef]
- Cheng, G.; Yuan, X.; Yao, X.; Yan, K.; Zeng, Q.; Xie, X.; Han, J. Towards Large-Scale Small Object Detection: Survey and Benchmarks. IEEE Trans. Pattern. Anal. Mach. Intell. 2023, 45, 13467–13488. [Google Scholar] [CrossRef] [PubMed]
- Zhang, H.; Deng, L.; Bi, L.; Liu, H. Small object detection algorithm based on improved yolov5. In Proceedings of the 2023 IEEE International Conference on Control, Electronics and Computer Technology (ICCECT), Jilin, China, 28–30 April 2023; pp. 280–283. [Google Scholar]
- Chuai, Q.; He, X.; Li, Y. Improved Traffic Small Object Detection via Cross-Layer Feature Fusion and Channel Attention. Electronics 2023, 12, 3421. [Google Scholar] [CrossRef]
- Kim, I.; Lee, Y.; Choi, J. BIM-based Hazard Recognition and Evaluation Methodology for Automating Construction Site Risk Assessment. Appl. Sci. 2020, 10, 2335. [Google Scholar] [CrossRef]
- Vijayakumar, R.; Choi, J.H. Emerging Trends of Ergonomic Risk Assessment in Construction Safety Management: A Scientometric Visualization Analysis. Int. J. Env. Res. Public Health 2022, 19, 16120. [Google Scholar] [CrossRef]
- Zhao, J.; Obonyo, E. Applying incremental Deep Neural Networks-based posture recognition model for ergonomics risk assessment in construction. Adv. Eng. Inform. 2021, 50, 101374. [Google Scholar] [CrossRef]
- Carpio-de Los Pinos, A.J.; González-García, M.L.N. Development of the Protocol of the Occupational Risk Assessment Method for Construction Works: Level of Preventive Action. Int. J. Environ. Res. Public Health 2020, 17, 6369. [Google Scholar] [CrossRef]
- Mahdinia, M.; Yarandi Mohsen, S.; Jafarinia, E.; Soltanzadeh, A. Development of a New Technique for Safety Risk Assessment in Construction Projects Based on Fuzzy Analytic Hierarchy Process. ASCE-ASME J. Risk Uncertain. Eng. Syst. Part A Civ. Eng. 2021, 7, 04021037. [Google Scholar] [CrossRef]
- Jocher, G.; Stoken, A.; Borovec, J.; Changyu, L.; Hogan, A.; Diaconu, L.; Poznanski, J.; Yu, L.; Rai, P.; Ferriday, R. Ultralytics/yolov5: v3.0. Zenodo 2020. Available online: https://ui.adsabs.harvard.edu/abs/2020zndo...4154370J/abstract (accessed on 18 November 2024).
- Redmon, J.; Divvala, S.; Girshick, R.; Farhadi, A. You only look once: Unified, real-time object detection. In Proceedings of the IEEE Conference on Computer Vision and Pattern Recognition, Las Vegas, NV, USA, 27–30 June 2016. [Google Scholar]
- He, K.; Zhang, X.; Ren, S.; Sun, J. Spatial pyramid pooling in deep convolutional networks for visual recognition. IEEE Trans. Pattern Anal. Mach. Intell. 2015, 37, 1904–1916. [Google Scholar] [CrossRef] [PubMed]
- Lin, T.-Y.; Dollár, P.; Girshick, R.; He, K.; Hariharan, B.; Belongie, S. Feature pyramid networks for object detection. In Proceedings of the IEEE Conference on Computer Vision and Pattern Recognition, Honolulu, HI, USA, 21–26 July 2017. [Google Scholar]
- Liu, S.; Qi, L.; Qin, H.; Shi, J.; Jia, J. Path aggregation network for instance segmentation. In Proceedings of the IEEE Conference on Computer Vision and Pattern Recognition, Salt Lake City, UT, USA, 18–23 June 2018. [Google Scholar]
- Rezatofighi, H.; Tsoi, N.; Gwak, J.; Sadeghian, A.; Reid, I.; Savarese, S. Generalized intersection over union: A metric and a loss for bounding box regression. In Proceedings of the IEEE/CVF Conference on Computer Vision and Pattern Recognition, Long Beach, CA, USA, 15–20 June 2019. [Google Scholar]
- Jing, W.; Ziyun, S.; Ping, G.; Longmei, Z. Improved Leukocyte Detection Algorithm of YOLOv5. J. Comput. Eng. Appl. 2022, 58, 134–142. [Google Scholar] [CrossRef]
- Hu, J.; Shen, L.; Sun, G. Squeeze-and-excitation networks. In Proceedings of the IEEE Conference on Computer Vision and Pattern Recognition, Salt Lake City, UT, USA, 18–23 June 2018. [Google Scholar]
- Zheng, Z.; Wang, P.; Liu, W.; Li, J.; Ye, R.; Ren, D. Distance-IoU loss: Faster and better learning for bounding box regression. In Proceedings of the AAAI Conference on Artificial Intelligence, New York, NY, USA, 7–12 February 2020. [Google Scholar]
- Tzutalin LabelImg. 2015. Available online: https://github.com/tzutalin/labelImg (accessed on 18 November 2024).
- State Administration of Work Safety. Classification of Work at Heights; Standards Press of China: Beijing, China, 2008. [Google Scholar]
- Yuqi, K.; Tingsheng, Z.; Ling, J.; Wei, Z. Mining and analysis of association rules in tower crane accident cases. China Saf. Sci. J. 2021, 31, 137–142. [Google Scholar] [CrossRef]
- The National Council of the People’s Republic of China. Regulations on Reporting and Investigation and Handling of Production Safety Accidents; The Standing Committee of the National People’s Congress: Beijing, China, 2007.
- Ministry of Housing and Urban-Rural Development of the People’s Republic of China. Technical Specification for Safety Installation Operation and Dismantlement of Tower Crane in Construction; China Architecture & Building Press: Beijing, China, 2010. [Google Scholar]
- Graham, K.J.; Kinney, G.F. A practical safety analysis system for hazards control. J. Saf. Res. 1980, 12, 13–20. [Google Scholar]

















| Feature Maps | 20 × 20 | 40 × 40 | 80 × 80 | 160 × 160 |
|---|---|---|---|---|
| Anchor dimension | (116,90) | (30,61) | (10,13) | (4,6) |
| (156,198) | (62,45) | (16,30) | (7,14) | |
| (373,326) | (59,119) | (33,23) | (15,10) |
| Name | Parameter Value |
|---|---|
| Optimizer | Stochastic Gradient Descent (SGD) |
| Training Momentum | 0.937 |
| Initial Learning Rate | 0.01 |
| Weight Decay | 0.0005 |
| Model | P/% | R/% | AP_0.5/% | AP_0.5–0.95/% | Size/MB |
|---|---|---|---|---|---|
| YOLOv5s | 94.90 | 93.00 | 93.24 | 59.03 | 14.00 |
| YOLOv5m | 96.91 | 94.00 | 94.39 | 61.69 | 41.20 |
| YOLOv5l | 98.94 | 93.00 | 93.48 | 60.60 | 90.70 |
| Index | M-a | M-b | M-c | P/% | R/% | AP_0.5/% | AP_0.5–0.95/% | Size/MB |
|---|---|---|---|---|---|---|---|---|
| 1 | ○ | ○ | ○ | 94.90 | 93.00 | 93.24 | 59.03 | 14.00 |
| 2 | ● | ○ | ○ | 96.88 | 93.00 | 93.45 | 61.43 | 15.50 |
| 3 | ○ | ● | ○ | 95.00 | 95.00 | 95.45 | 61.14 | 14.00 |
| 4 | ○ | ○ | ● | 95.92 | 94.00 | 94.30 | 59.49 | 14.60 |
| 5 | ● | ● | ○ | 95.92 | 94.00 | 94.41 | 62.04 | 15.50 |
| 6 | ● | ○ | ● | 95.92 | 94.00 | 94.40 | 60.51 | 16.00 |
| 7 | ○ | ● | ● | 95.96 | 95.00 | 95.42 | 62.59 | 14.60 |
| 8 | ● | ● | ● | 96.00 | 96.00 | 96.42 | 62.02 | 16.00 |
| Model | mAP_0.5/% |
|---|---|
| SSD | 83.8 |
| Faster RCNN | 87.5 |
| YOLOv3 | 89.3 |
| YOLOv4 | 90.1 |
| YOLOv5s | 93.2 |
| Improved YOLOv5s | 96.4 |
| Attribute Classification | Attribute Name | Attribute Description |
|---|---|---|
| General features | Time | Specific year, month, day, and time of the accident |
| Location | Specific province, city, and county (district) of the accident | |
| Type | Specifically divided into tower overturning, falling object striking, worker falling from height, collision, tower crane component falling, electric shock, and other accidents | |
| Stage | The stage of the accident is divided into installation, operation, and dismantling | |
| Accident cost | Casualty | The number of people killed and injured in the accident |
| Direct Economic Loss | The amount of direct economic loss caused by the accident | |
| Level | Divided into general accidents and major accidents according to relevant laws |
| L (Likelihood) | E (Exposure) | C (Consequence) | |||
|---|---|---|---|---|---|
| Value | Description | Value | Description | Value | Description |
| 10 | Completely predictable | 10 | Continuously exposed to a dangerous environment | 100 | Catastrophe, more than 10 people dead |
| 6 | Quite possible | 6 | Exposed during daily working hours | 40 | Disaster, several people dead |
| 3 | Possible but not often | 3 | Exposed once a week, or occasionally | 15 | Very serious, 1–2 people dead |
| 1 | Less likely | 2 | Exposed once a month | 7 | Serious, serious disability |
| 0.5 | Very unlikely | 1 | Exposed several times a year | 3 | Major, with disability |
| 0.2 | Extremely unlikely | 0.5 | Very rare exposure | 1 | Minor injury, need for ambulance |
| 0.1 | Practically impossible | ||||
| D Value | Description | Risk Level |
|---|---|---|
| >320 | Very dangerous, cannot continue to work | 1 |
| 160–320 | Highly dangerous, immediate rectification is needed | 2 |
| 70–160 | Significantly dangerous, needs rectification | 3 |
| 20–70 | Relatively dangerous, needs attention | 4 |
| <20 | Slightly dangerous | 5 |
Disclaimer/Publisher’s Note: The statements, opinions and data contained in all publications are solely those of the individual author(s) and contributor(s) and not of MDPI and/or the editor(s). MDPI and/or the editor(s) disclaim responsibility for any injury to people or property resulting from any ideas, methods, instructions or products referred to in the content. |
© 2024 by the authors. Licensee MDPI, Basel, Switzerland. This article is an open access article distributed under the terms and conditions of the Creative Commons Attribution (CC BY) license (https://creativecommons.org/licenses/by/4.0/).
Share and Cite
Sun, X.; Lu, X.; Wang, Y.; He, T.; Tian, Z. Development and Application of Small Object Visual Recognition Algorithm in Assisting Safety Management of Tower Cranes. Buildings 2024, 14, 3728. https://doi.org/10.3390/buildings14123728
Sun X, Lu X, Wang Y, He T, Tian Z. Development and Application of Small Object Visual Recognition Algorithm in Assisting Safety Management of Tower Cranes. Buildings. 2024; 14(12):3728. https://doi.org/10.3390/buildings14123728
Chicago/Turabian StyleSun, Xiao, Xueying Lu, Yao Wang, Tianxiao He, and Zhenghong Tian. 2024. "Development and Application of Small Object Visual Recognition Algorithm in Assisting Safety Management of Tower Cranes" Buildings 14, no. 12: 3728. https://doi.org/10.3390/buildings14123728
APA StyleSun, X., Lu, X., Wang, Y., He, T., & Tian, Z. (2024). Development and Application of Small Object Visual Recognition Algorithm in Assisting Safety Management of Tower Cranes. Buildings, 14(12), 3728. https://doi.org/10.3390/buildings14123728
