Interdisciplinarity in the Built Environment: Measurement and Interdisciplinary Topic Identification
Abstract
1. Introduction
2. Data and Methods
2.1. Data Acquisition
2.2. Methods
2.2.1. Interdisciplinary Measures
- (1)
- Generating a co-occurrence matrix for disciplines
- (2)
- Measurement of disciplinary similarity
- (3)
- Calculating disciplinary differences
2.2.2. Topic Identification
3. Results and Analysis
3.1. Interdisciplinary Measurement in the Built Environment
3.1.1. Annual Distribution of the Number of Disciplines
- (1)
- Disciplinary distribution of citing paper in the built environment
- (2)
- Disciplinary distribution of cited paper in the built environment
3.1.2. Disciplinary Distance Analysis
3.1.3. Measurement of Interdisciplinary Based on the Rao–Stirling Index
3.2. Evolution of Interdisciplinary Topics in the Built Environment
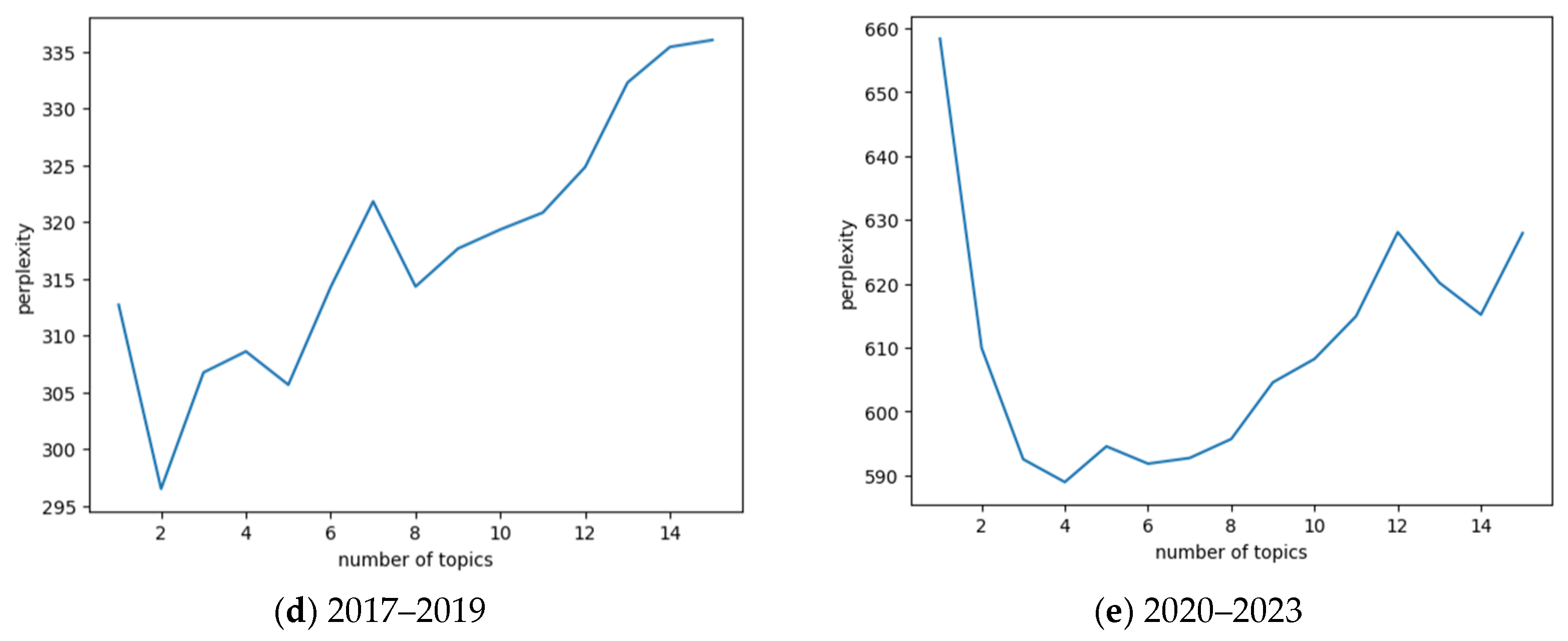
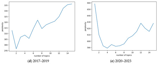
3.2.1. Identification of Interdisciplinary Topics Using LDA
3.2.2. Classification of Interdisciplinary Topics Through Temporal Analysis
3.2.3. Evolutionary Trajectory of Interdisciplinary Topics
4. Discussion
4.1. Discipline Relationship Analysis
4.2. Interdisciplinary Topic Identification
4.3. Interdisciplinary Topic Evolution
5. Conclusions and Implications
Author Contributions
Funding
Data Availability Statement
Conflicts of Interest
References
- Hu, L.; Huang, W.B.; Bu, Y. Interdisciplinary research attracts greater attention from policy documents: Evidence from COVID-19. Humanit. Soc. Sci. Commun. 2024, 11, 383. [Google Scholar] [CrossRef]
- Chen, S.J.; Guo, Y.A.; Ding, A.S.; Song, Y.H. Is interdisciplinarity more likely to produce novel or disruptive research? Scientometrics 2024, 129, 2615–2632. [Google Scholar] [CrossRef]
- Nichols, L.G. A topic model approach to measuring interdisciplinarity at the National Science Foundation. Scientometrics 2014, 100, 741–754. [Google Scholar] [CrossRef]
- Fan, C.; Fan, T. The trends of development interdisciplinary research abroad and its inspiration. Bull. Natl. Nat. Sci. Found. China 2019, 33, 446–452. [Google Scholar]
- Srinivasan, S.; O’Fallon, L.R.; Dearry, A. Creating healthy communities, healthy homes, healthy people: Initiating a research agenda on the built environment and public health. Am. J. Public Health 2003, 93, 1446–1450. [Google Scholar] [CrossRef] [PubMed]
- Li, B.; Guo, W.H.; Liu, X.; Zhang, Y.Q.; Russell, P.J.; Schnabel, M.A. Sustainable Passive Design for Building Performance of Healthy Built Environment in the Lingnan Area. Sustainability 2021, 13, 9115. [Google Scholar] [CrossRef]
- Handy, S.L.; Boarnet, M.G.; Ewing, R.; Killingsworth, R.E. How the built environment affects physical activity—Views from urban planning. Am. J. Prev. Med. 2002, 23, 64–73. [Google Scholar] [CrossRef] [PubMed]
- Jang, W.; Kwon, H.; Park, Y.; Lee, H. Predicting the degree of interdisciplinarity in academic fields: The case of nanotechnology. Scientometrics 2018, 116, 231–254. [Google Scholar] [CrossRef]
- Zeng, J.X.; Cao, S.J.; Chen, Y.J.; Pan, P.; Cai, Y.F. Measuring the interdisciplinary characteristics of Chinese research in library and information science based on knowledge elements. Aslib J. Inf. Manag. 2023, 75, 589–617. [Google Scholar] [CrossRef]
- Alasehir, O.; Acarturk, C. Interdisciplinarity in Cognitive Science: A Document Similarity Analysis. Cogn. Sci. 2022, 46, e13222. [Google Scholar] [CrossRef]
- Saunders, K.L. Preventing obesity in pre-school children: A literature review. J. Public Health 2007, 29, 368–375. [Google Scholar] [CrossRef]
- Moher, D.; Liberati, A.; Tetzlaff, J.; Altman, D.G.; Grp, P. Preferred Reporting Items for Systematic Reviews and Meta-Analyses: The PRISMA Statement (Reprinted from Annals of Internal Medicine). Phys. Ther. 2009, 89, 873–880. [Google Scholar] [CrossRef]
- Shahruddin, S.; Zairul, M. BIM Requirements across a Construction Project Lifecycle: A PRISMA-Compliant Systematic Review and Meta-Analysis. Int. J. Innov. Creat. Chang 2020, 12, 569–590. [Google Scholar]
- Sidani, A.; Dinis, F.M.; Sanhudo, L.; Duarte, J.; Baptista, J.S.; Martins, J.P.; Soeiro, A. Recent Tools and Techniques of BIM-Based Virtual Reality: A Systematic Review. Arch. Comput. Methods Eng. 2021, 28, 449–462. [Google Scholar] [CrossRef]
- Zeng, B.; Lyu, H.H.; Zhao, Z.Y.; Li, J. Exploring the direction and diversity of interdisciplinary knowledge diffusion: A case study of professor Zeyuan Liu’s scientific publications. Scientometrics 2021, 126, 6253–6272. [Google Scholar] [CrossRef]
- Brillouin, L.; Hellwarth, R.W. Science and information theory. Phys. Today 1956, 9, 39–40. [Google Scholar] [CrossRef]
- Porter, A.L.; Chubin, D.E. An Indicator of Cross-Disciplinary Research. Scientometrics 1985, 8, 161–176. [Google Scholar] [CrossRef]
- Chen, K.H.; Liang, C.F. Disciplinary Interflow of Library and Information Science in Taiwan. J. Libr. Inf. Stud. 2004, 2, 31–55. [Google Scholar]
- Stirling, A. A general framework for analysing diversity in science, technology and society. J. R. Soc. Interface 2007, 4, 707–719. [Google Scholar] [CrossRef]
- van Veller, M. Identification of interdisciplinary research based upon co-cited journals. Collect. Curation 2019, 38, 68–77. [Google Scholar] [CrossRef]
- Dillon, M. Introduction to modern information-retrieval—Salton, G, Mcgill, M. Inf. Process. Manag. 1983, 19, 402–403. [Google Scholar] [CrossRef]
- Koutrika, G.; Bercovitz, B.; Garcia-Molina, H. FlexRecs: Expressing and combining flexible recommendations. In Proceedings of the ACM SIGMOD International Conference on Management of Data, Providence, RI, USA, 29 June 2009–2 July 2009. [Google Scholar]
- Lancho-Barrantes, B.S.; Cantu-Ortiz, F.J. Quantifying the publication preferences of leading research universities. Scientometrics 2021, 126, 2269–2310. [Google Scholar] [CrossRef] [PubMed]
- Chen, B.K. Usage pattern comparison of the same scholarly articles between Web of Science (WoS) and Springer. Scientometrics 2018, 115, 519–537. [Google Scholar] [CrossRef]
- Hamers, L.; Hemeryck, Y.; Herweyers, G.; Janssen, M.; Keters, H.; Rousseau, R.; Vanhoutte, A. Similarity Measures in Scientometric Research—The Jaccard Index Versus Salton Cosine Formula. Inf. Process. Manag. 1989, 25, 315–318. [Google Scholar] [CrossRef]
- Leydesdorff, L. Diversity and interdisciplinarity: How can one distinguish and recombine disparity, variety, and balance? Scientometrics 2018, 116, 2113–2121. [Google Scholar] [CrossRef] [PubMed]
- Callon, M.; Courtial, J.P.; Laville, F. Co-word analysis as a tool for describing the network of interactions between basic and technological research—The case of polymer chemistry. Scientometrics 1991, 22, 155–205. [Google Scholar] [CrossRef]
- Dong, K.; Xu, H.Y.; Luo, R.; Wei, L.; Fang, S. An integrated method for interdisciplinary topic identification and prediction: A case study on information science and library science. Scientometrics 2018, 115, 849–868. [Google Scholar] [CrossRef]
- Van Den Besselaar, P.; Heimeriks, G. Mapping research topics using word-reference co-occurrences: A method and an exploratory case study. Scientometrics 2006, 68, 377–393. [Google Scholar] [CrossRef]
- Chen, C.M. CiteSpace II: Detecting and visualizing emerging trends and transient patterns in scientific literature. J. Am. Soc. Inf. Sci. Technol. 2006, 57, 359–377. [Google Scholar] [CrossRef]
- Zhang, Y.; Chen, M.D.; Liu, L.Z. A Review on Text Mining. In Proceedings of the 6th IEEE International Conference on Software Engineering and Service Science (ICSESS), Beijing, China, 23–25 September 2015; pp. 681–685. [Google Scholar]
- Raimbault, J. Exploration of an interdisciplinary scientific landscape. Scientometrics 2019, 119, 617–641. [Google Scholar] [CrossRef]
- Blei, D.M.; Ng, A.Y.; Jordan, M.I. Latent Dirichlet allocation. J. Mach. Learn. Res. 2003, 3, 993–1022. [Google Scholar] [CrossRef]
- Blei, D.M.; Lafferty, J.D. A Correlated Topic Model of Science. Ann. Appl. Stat. 2007, 1, 17–35. [Google Scholar] [CrossRef]
- AlSumait, L.; Barbará, D.; Domeniconi, C. On-Line LDA: Adaptive Topic Models for Mining Text Streams with Applications to Topic Detection and Tracking. In Proceedings of the 8th IEEE International Conference on Data Mining, Pisa, Italy, 15–19 December 2008; pp. 3–12. [Google Scholar]
- Zhang, H.Z.H.; Qiu, B.Q.B.; Giles, C.L.; Foley, H.C.; Yen, J. An LDA-based Community Structure Discovery Approach for Large-Scale Social Networks. In Proceedings of the 2007 IEEE Intelligence and Security Informatics, New Brunswick, NJ, USA, 23–24 May 2007; pp. 200–207. [Google Scholar]
- Fu, H.L.; Xia, Z.J.; Tan, Y.B.; Guo, X.T. Influence of Cues on the Safety Hazard Recognition of Construction Workers during Safety Training: Evidence from an Eye-Tracking Experiment. J. Civ. Eng. Educ. 2024, 150, 04023009. [Google Scholar] [CrossRef]
- Fu, H.L.; Xia, Z.J.; Tan, Y.B.; Peng, Y.; Fan, C.J.; Guo, X.T. Fear Arousal Drives the Renewal of Active Avoidance of Hazards in Construction Sites: Evidence from an Animal Behavior Experiment in Mice. J. Constr. Eng. Manag. 2024, 150, 04024146. [Google Scholar] [CrossRef]
- Lee, W.S. Analyzing the Evolution of Interdisciplinary Areas: Case of Smart Cities. J. Glob. Inf. Manag. 2022, 30, 1–23. [Google Scholar] [CrossRef]
- Griffiths, T.L.; Steyvers, M. Finding scientific topics. Proc. Natl. Acad. Sci. USA 2004, 101, 5228–5235. [Google Scholar] [CrossRef]
- Zhu, H.M.; Qian, L.; Qin, W.; Wei, J.; Shen, C. Evolution analysis of online topics based on ‘word-topic’ coupling network. Scientometrics 2022, 127, 3767–3792. [Google Scholar] [CrossRef]
- Xu, Y.B.; Tong, H.; Chen, M.; Rollo, J.; Zhang, R.J. Examining the urban regeneration of public cultural space using multi-scale geospatial data: A case study of the historic district in Jinan, China. Front. Built Environ. 2023, 9, 1328157. [Google Scholar] [CrossRef]
- Horiuchi, T.; Kajiwara, K.; Yamashita, T.; Aoki, T.; Yashiro, T.; Sekimoto, Y.; Koshihara, M.; Koizumi, H. Study Concept on the Development of an Urban Cyber Physical System for Enhancing the Capability to Respond to Large-Scale Earthquakes. J. Disaster Res. 2021, 16, 287–297. [Google Scholar] [CrossRef]
- Wang, S.L.; Tang, W.Z.; Qi, D.S.; Li, J.; Wang, E.Z.; Lin, Z.H.; Duffield, C.F. Understanding the Role of Built Environment Resilience to Natural Disasters: Lessons Learned from the Wenchuan Earthquake. J. Perform. Constr. Facil. 2017, 31, 04017058. [Google Scholar] [CrossRef]
- Gilbert, J.A.; Stephens, B. Microbiology of the built environment. Nat. Rev. Microbiol. 2018, 16, 661–670. [Google Scholar] [CrossRef] [PubMed]
- Hill, M.S.; Gilbert, J.A. Microbiology of the built environment: Harnessing human-associated built environment research to inform the study and design of animal nests and enclosures. Microbiol. Mol. Biol. Rev. 2023, 87, e0012121. [Google Scholar] [CrossRef]
- Wang, Z.J.; Yang, Y.X.; Liu, C.; Zhou, F.Z.; Hao, H.Y. Human thermal comfort model and evaluation on building thermal environment. Energy Build. 2024, 323, 114796. [Google Scholar] [CrossRef]
- Mendes, A.; Pereira, C.; Mendes, D.; Aguiar, L.; Neves, P.; Silva, S.; Batterman, S.; Teixeira, J.O.P. Indoor Air Quality and Thermal Comfort—Results of a Pilot Study in Elderly Care Centers in Portugal. J. Toxicol. Environ. Health 2013, 76, 333–344. [Google Scholar] [CrossRef] [PubMed]
- Zhang, N.; Cao, B.; Zhu, Y.X. Indoor environment and sleep quality: A research based on online survey and field study. Build. Environ. 2018, 137, 198–207. [Google Scholar] [CrossRef]
- Lipczynska, A.; Schiavon, S.; Graham, L.T. Thermal comfort and self-reported productivity in an office with ceiling fans in the tropics. Build. Environ. 2018, 135, 202–212. [Google Scholar] [CrossRef]
- Olaiya, A. Transforming our world: The 2030 agenda for sustainable development: International. Civ. Eng. Siviele Ingenieurswese 2015, 24, 26–30. [Google Scholar]
- Reis, J.S.D.; Espuny, M.; Nunhes, T.V.; Sampaio, N.A.D.; Isaksson, R.; de Campos, F.C.; de Oliveira, O.J. Striding towards Sustainability: A Framework to Overcome Challenges and Explore Opportunities through Industry 4.0. Sustainability 2021, 13, 5232. [Google Scholar] [CrossRef]
- Liu, Y.; Zhao, Q.L.; Gu, X.H.; Fan, A.Y.; Zhu, S.W.; Su, Q.Y.; Kang, L.; Feng, L.Z. Research on the Application of New Building Recycled Insulation Materials for Walls. Polymers 2024, 16, 2122. [Google Scholar] [CrossRef]
- Jalaei, F.; Jalaei, F.; Mohammadi, S. An integrated BIM-LEED application to automate sustainable design assessment framework at the conceptual stage of building projects. Sustain. Cities Soc. 2020, 53, 101979. [Google Scholar] [CrossRef]
- Yas, Z.; Jaafer, K. Factors influencing the spread of green building projects in the UAE. J. Build. Eng. 2020, 27, 100894. [Google Scholar] [CrossRef]
- Baper, S.Y.; Khayat, M.; Hasan, L. Towards Regenerative Architecture: Material Effectiveness. Int. J. Technol. 2020, 11, 722–731. [Google Scholar] [CrossRef]
- Afful, A.E.; Antwi, A.; Ayarkwa, J.; Acquah, G.K.K. Impact of improved indoor environment on recovery from COVID-19 infections: A review of literature. Facilities 2022, 40, 719–736. [Google Scholar] [CrossRef]
- Frumkin, H. COVID-19, the Built Environment, and Health. Environ. Health Perspect. 2021, 129, 75001. [Google Scholar] [CrossRef]
- Hu, M.; Roberts, J.D. Connections and Divergence between Public Health and Built Environment—A Scoping Review. Urban Sci. 2020, 4, 12. [Google Scholar] [CrossRef]













| Type of Information | Number of Messages |
|---|---|
| Number of literature data | 16,948 |
| Literature timeframe | 1995–2023 |
| Number of references | 353,009 |
| Download catalog content | Author, title, year of publication, keywords, abstract, country, institution, source journal, citations, etc. |
| Causality | α | β | Formulas |
|---|---|---|---|
| Type | 0 | 0 | |
| Balance | 0 | 1 | |
| Difference | 1 | 0 | |
| Variegation | 1 | 1 |
| Disciplinary | Disciplinary Distance | Number of Co-Occurring Papers |
|---|---|---|
| Microscopy | 0.849 | 1 |
| Electrochemistry | 0.815 | 3 |
| Materials science, ceramics | 0.775 | 3 |
| Physics, Atomic, Molecular, and Chemical | 0.773 | 6 |
| Chemistry, Inorganic, and Nuclear | 0.771 | 2 |
| Crystallography | 0.76 | 2 |
| Nanoscience and Nanotechnology | 0.754 | 5 |
| Materials Science, Composites | 0.743 | 6 |
| Mineralogy | 0.742 | 3 |
| Chemistry, Physical | 0.729 | 22 |
| Engineering, Petroleum | 0.705 | 1 |
| Disciplinary | Disciplinary Distance | Number of Co-Occurring Papers |
|---|---|---|
| Logic | 0.840 | 1 |
| Electrochemistry | 0.683 | 15 |
| Mycology | 0.678 | 12 |
| Anatomy and Morphology | 0.677 | 1 |
| Ornithology | 0.659 | 2 |
| Physics, Atomic, Molecular, and Chemical | 0.631 | 33 |
| Chemistry, Organic | 0.629 | 17 |
| Chemistry, Inorganic, and Nuclear | 0.628 | 12 |
| Nanoscience and Nanotechnology | 0.615 | 33 |
| Crystallography | 0.612 | 12 |
| Materials Science, Coatings, and Films | 0.597 | 11 |
| Serial Number | Topics Name | Each Cluster Includes the Terminology |
|---|---|---|
| # 1 | Landscape culture of historic buildings | Heritage political archaeological identity landscapes colonial ancient landscape transformation settlements politics cultural historical century street settlement central societies history historic places |
| #2 | Information technology for building resilience | Resilience emergency seismic earthquake navigation disaster robot evacuation adoption hazard disasters images security damage information management modeling map maps safety smart infrastructure 3d motion rural linear maintenance |
| # 3 | Impact of microorganisms on the indoor environment | Wood microbial species emissions solar oil dust moisture fungi absorption fungal molecular plant microbiome bio clay treatment renewable electricity cement profiles organic samples decay soil bacterial composition |
| #4 | Building thermal comfort | Wind noise heating comfort conditioning filter regression sensation algorithm pedestrians stress fluid temperature physiological cooling sensor variables index accuracy parameters prediction temperatures perception average ambient subjective |
| #5 | Sustainable buildings | Sustainability design students education virtual multidisciplinary principles universal designers aesthetic projects online technical professionals academic accessibility experiences interior ideas science questions opportunities conceptual |
| # 6 | Indoor health issues under COVID-19 | Transmission lighting window COVID-19 infection daylight disease pandemic windows cleaning usage homes glass care standards spread home health contact light surfaces visible airborne guidelines hospital code safe metrics |
| Time Window | Topic | Topic Overview | Featured Topics |
|---|---|---|---|
| 1995–2009 | Topic 1 (P1) | Urban spatial landscape | Social city spaces space spatial landscape architectural environments historical climate |
| Topic 2 (P1) | Building information modeling | Design building model knowledge based data environments information | |
| Topic 3 (P1) | Building insulation materials | Energy thermal building systems economic materials | |
| 2010–2013 | Topic 1 (P2) | Sustainable development | Change climate sustainability sustainable technology environmental value development energy future |
| Topic 2 (P2) | Indoor air quality | Indoor air design data model quality control health high | |
| Topic 3 (P2) | Water conservation in buildings | Building water materials simulation framework systems dynamic | |
| Topic 4 (P2) | Building thermal comfort | Buildings environmental risk thermal energy non groups local conditions low | |
| Topic 5 (P2) | Urban environment | Architecture urban city social space environments nature material architects development political | |
| 2014–2016 | Topic 1 (P3) | Indoor environment | Building indoor data model environmental energy risk elsevier reserved health measurements solution systems exposure materials air |
| Topic 2 (P3) | Urban planning and design | Urban design water architecture people environments architectural spatial cultural dynamics systems space material | |
| Topic 3 (P3) | Student education | Design knowledge information students building education learning framework study light university management engineering | |
| 2017–2019 | Topic 1 (P4) | Population health | Model indoor building materials thermal water air human energy environments temperature health conditions chemical organic occupant |
| Topic 2 (P4) | Digitization of historical heritage | Design urban social building development data architectural heritage city community cultural historical political smart visual digital infrastructure | |
| 2020–2023 | Topic 1 (P5) | Indoor disease infections | Indoor air thermal building temperature COVID-19 environmental comfort ventilation particle physiological pollution sensors respiratory infection |
| Topic 2 (P5) | Landscape restoration of historical heritage | Urban social heritage data cultural space natural historic landscape climate archaeology resilience | |
| Topic 3 (P5) | Sustainable design | Design building research paper study spatial sustainable materials sustainability information energy models knowledge stakeholders originality industry | |
| Topic 4 (P5) | Indoor effects of microorganisms | Water microbial surface wood carbon concrete monitoring microbiome emissions neural bacterial fungal moisture organic molecular |
Disclaimer/Publisher’s Note: The statements, opinions and data contained in all publications are solely those of the individual author(s) and contributor(s) and not of MDPI and/or the editor(s). MDPI and/or the editor(s) disclaim responsibility for any injury to people or property resulting from any ideas, methods, instructions or products referred to in the content. |
© 2024 by the authors. Licensee MDPI, Basel, Switzerland. This article is an open access article distributed under the terms and conditions of the Creative Commons Attribution (CC BY) license (https://creativecommons.org/licenses/by/4.0/).
Share and Cite
Wang, M.; Xie, Y.; Guo, X.; Fu, H. Interdisciplinarity in the Built Environment: Measurement and Interdisciplinary Topic Identification. Buildings 2024, 14, 3718. https://doi.org/10.3390/buildings14123718
Wang M, Xie Y, Guo X, Fu H. Interdisciplinarity in the Built Environment: Measurement and Interdisciplinary Topic Identification. Buildings. 2024; 14(12):3718. https://doi.org/10.3390/buildings14123718
Chicago/Turabian StyleWang, Mengmeng, Yanan Xie, Xiaotong Guo, and Hanliang Fu. 2024. "Interdisciplinarity in the Built Environment: Measurement and Interdisciplinary Topic Identification" Buildings 14, no. 12: 3718. https://doi.org/10.3390/buildings14123718
APA StyleWang, M., Xie, Y., Guo, X., & Fu, H. (2024). Interdisciplinarity in the Built Environment: Measurement and Interdisciplinary Topic Identification. Buildings, 14(12), 3718. https://doi.org/10.3390/buildings14123718

