Experimental and Numerical Analysis of the Impact Resistance of Polyurethane Foam Aluminum-Concrete Sandwich Structures
Abstract
1. Introduction
2. Experimental Program
2.1. Materials
2.2. Drop Hammer Impact Test
2.3. Numerical Simulation Test
2.3.1. Material Property Definition
2.3.2. Establishment and Meshing of the Specimen Solid Model
3. Results
3.1. Impact Test Results
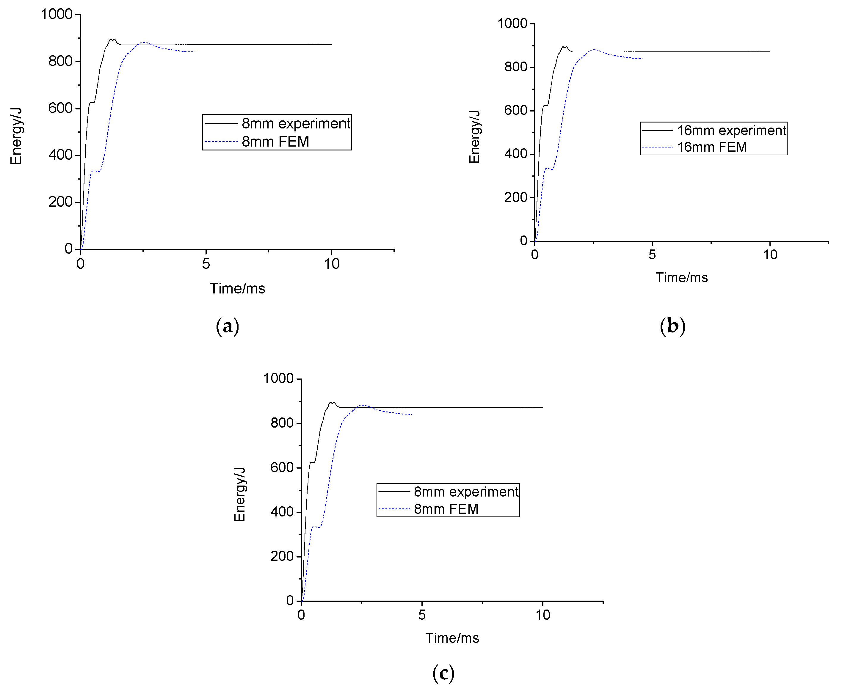
3.2. Accuracy Validation of Numerical Simulation Data
4. Discussion
4.1. Analysis of the Impact of Polyurethane Foam Aluminum Energy Absorption Layer Thickness on the Impact Resistance of Composite Structures
4.2. Variation of Response to Different Impact Energies for the Same Structure
4.3. Analysis of the Impact of Structural Combination on Impact Performance
5. Conclusions
- (1)
- Analysis of structures with varying thicknesses of the energy absorption layer indicates that as the thickness of this layer increases, the energy absorption of the bottom concrete plate decreases markedly. This reduction is attributed to the energy absorption capabilities of polyurethane foam aluminum, which also tends to decrease the overall stiffness of the composite structure.
- (2)
- An examination of composite structures with a consistent thickness of the energy absorption layer, but differing impact energy, reveals that while maintaining the structural integrity of the top plate, the energy absorption efficiency of the polyurethane foam-aluminum layer is directly proportional to the impact energy. However, as the impact energy rises and the top plate damage intensifies, the energy absorption efficiency of polyurethane foam aluminum decreases substantially.
- (3)
- The number of composite structural layers does not significantly enhance the impact resistance of polyurethane foam-aluminum-concrete composite structures. Specifically, the double-layer polyurethane foam-aluminum structure demonstrates the highest energy absorption performance. Nevertheless, as the number of structural layers increases, so does the complexity of construction, significantly impacting the practical production and application feasibility of these composite structures.
Author Contributions
Funding
Data Availability Statement
Conflicts of Interest
References
- Izadifar, M.; Dolado, J.S.; Thissen, P.; Ukrainczyk, N.; Koenders, E.; Ayuela, A. Theoretical Elastic Constants of Tobermorite Enhanced with Reduced Graphene Oxide through Hydroxyl vs Epoxy Functionalization: A First-Principles Study. J. Phys. Chem. C 2023, 127, 18117–18126. [Google Scholar] [CrossRef]
- Sharifi Ghalehnoei, M.; Javanmardi, A.; Izadifar, M.; Ukrainczyk, N.; Koenders, E. Finite Element Analysis of Shear Reinforcing of Reinforced Concrete Beams with Carbon Fiber Reinforced Polymer Grid-Strengthened Engineering Cementitious Composite. Buildings 2023, 13, 1034. [Google Scholar] [CrossRef]
- Haq, I.U.; Elahi, A.; Nawaz, A.; Shah, S.A.Q.; Ali, K. Mechanical and durability performance of concrete mixtures incorporating bentonite, silica fume, and polypropylene fibers. Constr. Build. Mater. 2022, 345, 128223. [Google Scholar] [CrossRef]
- Rodsin, K.; Joyklad, P.; Hussain, Q.; Mohamad, H.; Buatik, A.; Zhou, M.; Chaiyasarn, K.; Nawaz, A.; Mehmood, T.; Elnemr, A. Behavior of steel clamp confined brick aggregate concrete circular columns subjected to axial compression. Case Stud. Constr. Mater. 2022, 16, e00815. [Google Scholar] [CrossRef]
- Joyklad, P.; Nawaz, A.; Hussain, Q. Effect of fired clay brick aggregates on mechanical properties of concrete. Suranaree J. Sci. Technol. 2018, 25, 349–362. [Google Scholar]
- Merrett, R.P.; Langdon, G.S.; Theobald, M.D. The blast and impact loading of aluminium foam. Mater. Des. 2012, 44, 311–319. [Google Scholar] [CrossRef]
- Cheng, Y.; Xie, J.; Li, Z.; Liu, J.; Zhang, P. Damage Response Characteristics of UHMWPE/aluminum Foam Composite Sandwich Panel Subjected to Combined Blast and Fragment Loadings. Acta Armamentarii 2021, 42, 1753–1762. [Google Scholar]
- Karagiozova, D.; Langdon, G.S.; Nurick, G.N. Propagation of compaction waves in metal foams exhibiting strain hardening. Int. J. Solids Struct. 2012, 49, 2763–2777. [Google Scholar] [CrossRef]
- Zheng, Z.; Liu, Y.; Yu, J.; Reid, S.R. Dynamic crushing of cellular materials: Continuum—Based wave models for the transitional and shock modes. Int. J. Impact Eng. 2012, 42, 66–79. [Google Scholar] [CrossRef]
- Liao, S.; Zheng, Z.; Yu, J. Dynamic crushing of 2D cellular structures: Local strain field and shock wave velocity. Int. J. Impact Eng. 2013, 57, 7–16. [Google Scholar] [CrossRef]
- Zheng, Z.; Yu, J.; Wang, C.; Liao, S.; Liu, Y. Dynamic crushing of cellular materials: A unified framework of plastic shock wave models. Int. J. Impact Eng. 2013, 53, 29–43. [Google Scholar] [CrossRef]
- Guo, K.; Xu, B.; Zhang, G.; Mu, M.; Zhu, L. Investigation on dynamic behavior of aluminium foam sandwich plate under low velocity impact with identical energy. J. Wuhan Univ. Technol. (Transp. Sci. Eng.) 2024. Available online: https://link.cnki.net/urlid/42.1824.u.20240409.1507.100 (accessed on 8 October 2024).
- Yujie, S.U.N.; Qiang, G.A.O.; Wanting, M.A. Low-velocity impact behavior and simulation of aluminum foam sandwich panels. J. Mater. Metall. 2023, 22, 67–74. [Google Scholar]
- Liu, S.; Liu, Y.; Zhang, Y. Low-Velocity Impact Response of Carbon Fiber-Aluminum Foam Sandwich Plate. Chin. J. High Press. Phys. 2020, 34, 034202-1–034202-10. [Google Scholar]
- Shokrieh, M.M.; Heidari-Rarani, M.; Rahimi, S. Influence of curved delamination front on toughness of multidirectional DCB specimens. Compos. Struct. 2012, 94, 1359–1365. [Google Scholar] [CrossRef]
- Cooper, V.; Ivankovic, A.; Karac, A.; McAuliffe, D.; Murphy, N. Effects of bond gap thickness on the fracture of nano-toughened epoxy adhesive joints. Polymer 2012, 53, 5540–5553. [Google Scholar] [CrossRef][Green Version]
- Michailidis, N.; Stergioudi, F.; Omar, H.; Tsipas, D.N. An image-based reconstruction of the 3D geometry of an Al open-cell foam and FEM modeling of the material response. Mech. Mater. 2010, 42, 142–147. [Google Scholar] [CrossRef]
- Kasparek, E.; Zencker, U.; Scheidemann, R.; Völzke, H.; Müller, K. Numerical and experimental studies of polyurethane foam under impact loading. Comput. Mater. Sci. 2011, 50, 1353–1358. [Google Scholar] [CrossRef]
- Rostamiyan, Y.; Norouzi, H. Flatwise Compression Strength and Energy Absorption of Polyurethane Foam-Filled Lattice Core Sandwich Panels. Mater. Sci. Forum 2015, 819, 246–250. [Google Scholar] [CrossRef]
- Shen, M.; Qin, X. Research on the Dynamic Compressive Constitutive Model and Finite Element Simulation of Rigid Polyurethane Foam. Mech. Electr. Technol. 2024, 1, 36–41. [Google Scholar]
- Wang, J.; Waas, A.M.; Wang, H. Experimental and numerical study on the low-velocity impact behavior of foam-core sandwich panels. Compos. Struct. 2013, 96, 298–311. [Google Scholar] [CrossRef]
- Ivañez, I.; Santiuste, C.; Barbero, E.; Sanchez-Saez, S. Numerical modelling of foam-cored sandwich plates under high-velocity impact. Compos. Struct. 2011, 93, 2392–2399. [Google Scholar] [CrossRef]
- Loganathan, S.B.; Shivanand, H.K. Effect of core thickness and core density on low velocity impact behavior of sandwich panels with PU foam core. J. Miner. Mater. Charact. Eng. 2015, 3, 164–170. [Google Scholar] [CrossRef][Green Version]
- Zhang, W.; Qi, M.; Zhao, Z. Preparation and Mechanical Property Analysis of Aluminum Foam-Polyurethane Composites. Pack. Eng. 2017, 38, 35–40. [Google Scholar]
- Xie, W.; Du, H.; Li, S. Comparative study of energy absorption performance for opencell aluminum and polyurethane foam aluminum. J. Shenyang Jianzhu Univ. (Nat. Sci.) 2011, 27, 307–311. [Google Scholar]
- Xie, W.; Du, H.; Li, S. Experimental study on dynamic mechanical performance of polyurethane aluminum foams composites. Acta Mater. Compos. Sin. 2011, 28, 103–108. [Google Scholar]
- Zhang, Y.; Chen, L.; Chen, R. Dynamic mechanical property experimental and constitutive model establishment of polyurethane foam aluminum. Explos. Shock. Waves 2014, 34, 373–378. [Google Scholar]
- GB/T 8363-2007; Test Method for Drop-Weight Tear Tests of Steel Products. Standardization Administration of China: Beijing, China, 2007.














| Water | Cement | Silica Powder | Fly Ash | Sand | Crushed Stone | Water Reducer |
|---|---|---|---|---|---|---|
| 150 | 370 | 80 | 50 | 595 | 1155 | 9 |
| Pore Size | Porosity | Open Cell Content | Bulk Density | Compressive Strength | Flexural Strength | Tensile Strength |
|---|---|---|---|---|---|---|
| 1.66 mm | 68~78% | 90~95% | 0.60~0.85 g/cm3 | 8.61 MPa | 8.06 MPa | 3.41 MPa |
| Test Group | Number | Number of Concrete Structural Layers | Concrete Structure Thickness/mm | Number of Polyurethane Foam Aluminum Interlayers | Polyurethane Foam Aluminum Interlayer Thickness/mm | Drop Hammer Height | Impact Energy | Impact Velocity |
|---|---|---|---|---|---|---|---|---|
| 1 | A | 2 | 100 | 1 | 8 | — | — | — |
| 1 | B1 | 2 | 100 | 2 | 16 | — | — | — |
| 2 | B2 | 2 | 100 | 2 | 16 | — | — | — |
| 3 | B3 | 2 | 100 | 2 | 16 | — | — | — |
| 3 | C | 2 | 100 | 3 | 24 | — | — | — |
| 1 | D | 3 | 66 | 2 | 16 | — | — | — |
| Parameter | Density/gcm−3 | Shear Modulus/GPa | A | B | C | N | T/Mpa | EPSO/10−6 | EFMIN | SFMAX |
|---|---|---|---|---|---|---|---|---|---|---|
| Values | 2.4 | 17.80 | 0.79 | 1.60 | 0.007 | 0.31 | 4 | 1 | 0.01 | 7.00 |
| Parameter | PC/MPa | UC/MPa | PL/GPa | UL | D1 | D2 | K1 | K2 | K3 | |
| Values | 20 | 1.17 | 0.80 | 0.10 | 0.04 | 1.0 | 85 | −171 | 208 |
| Parameter | Density/gcm−3 | Poisson’s Ratio | Young’s Modulus E/MPa | Tensile Strength TSC/MPa | Damping Factor DAMP |
|---|---|---|---|---|---|
| Values | 0.8 | 0.3 | 130 | 0.10 | 0.10 |
| Number | 1 | 2 | 3 | 4 | 5 | 6 | 7 |
|---|---|---|---|---|---|---|---|
| The thickness of the energy-absorbing layer/mm | 1 | 2 | 4 | 8 | 16 | 24 | 100 |
| 1 mm | 2 mm | 4 mm | 8 mm | 16 mm | 24 mm | 100 mm | |
|---|---|---|---|---|---|---|---|
| Impact end time/ms | 0.812 | 0.928 | 1.27 | 1.53 | 1.92 | 2.33 | 5.18 |
| Number | Number of Concrete Structure Layers | Concrete Structure Thickness/mm | Polyurethane Foam Aluminum Sandwich Thickness/mm | Impact Energy/J | Impact Speed/ms−1 |
|---|---|---|---|---|---|
| 1 | 2 | 100 | 16 | 450 | 4.2 |
| 2 | 2 | 100 | 16 | 600 | 4.9 |
| 3 | 2 | 100 | 16 | 750 | 5.5 |
| 4 | 2 | 100 | 16 | 900 | 6 |
| 5 | 2 | 100 | 16 | 1050 | 6.5 |
| Number | The Remaining Energy of the Hammer Head | One-Layer Concrete | Two-Layer Concrete | Energy-Absorbing Layer |
|---|---|---|---|---|
| 1 | 31 | 103 | 16 | 262 |
| 2 | 72 | 162 | 16 | 305 |
| 3 | 14.3 | 335 | 30 | 320 |
| 4 | 10.5 | 407 | 33 | 350 |
| 5 | 0 | 479 | 36 | 378 |
| Number | Number of Concrete Structure Layers | Concrete Structure Thickness/mm | Number of Polyurethane Foam Aluminum Sandwich | Polyurethane Foam Aluminum Sandwich Thickness/mm | The Height of the Hammer/m | Impact Energy/J | Impact Speed/ms−1 |
|---|---|---|---|---|---|---|---|
| 1 | 2 | 100 | 1 | 8 | 1.8 m | 900 | 6 |
| 2 | 3 | 66 | 2 | 8 | 1.8 m | 900 | 6 |
| 3 | 4 | 50 | 3 | 5.3 | 1.8 m | 900 | 6 |
| 4 | 5 | 40 | 4 | 4 | 1.8 | 900 | 6 |
| Peak Stress Time | Peak Displacement Time | |
|---|---|---|
| Single mezzanine | 1.36 | 1.52 |
| Double mezzanine | 1.15 | 1.34 |
| Three mezzanine | 1.35 | 1.52 |
| Four mezzanine | 1.48 | 1.6 |
| Damage Form of Specimen | Displacement Difference (mm) | |
|---|---|---|
| Single mezzanine | The hammer head penetrated into the top concrete plate, causing penetration damage with an approximate penetration depth of 0.42 cm. The top plate exhibited clear circular cracks with a depth of about 1.8 cm. | 0.29 |
| Double mezzanine | The top plate developed circular cracks with a depth of approximately 1.4 cm, and the hammer head did not cause any penetration damage to the concrete plate. | 0.1 |
| Three mezzanine | The hammer head penetrated into the top concrete plate, causing penetration damage with an approximate depth of 0.2 cm. The top plate exhibited clear circular cracks with a depth of approximately 3.2 cm. | 1.2 |
| Four mezzanine | The hammer head penetrated into the top concrete plate, causing penetration damage with a depth of 4 mm, and the top plate exhibited obvious through-and-through circular cracks. | 2.3 |
| Hammer Head Energy | One-Layer Concrete | Two-Layer Concrete | Three-Layer Concrete | Four-Layer Concrete | Five-Layer Concrete | One-Layer Energy Absorption Layer | Two-Layer Energy Absorption Layer | Three-Layer Energy Absorption Layer | Four-Layer Energy Absorption Layer | |
|---|---|---|---|---|---|---|---|---|---|---|
| Single mezzanine | 14.3 | 407 | 17 | — | — | — | 381.99 | — | — | |
| Double mezzanine | 41.8 | 178 | 83 | 30 | — | — | 248 | 294 | — | — |
| Three mezzanine | 43 | 204 | 66 | 41 | 124 | — | 151 | 80.8 | 169.7 | — |
| Four mezzanine | 30.85 | 195 | 42 | 30.85 | 37 | 100 | 110.4 | 67.253 | 116.61 | 86 |
Disclaimer/Publisher’s Note: The statements, opinions and data contained in all publications are solely those of the individual author(s) and contributor(s) and not of MDPI and/or the editor(s). MDPI and/or the editor(s) disclaim responsibility for any injury to people or property resulting from any ideas, methods, instructions or products referred to in the content. |
© 2024 by the authors. Licensee MDPI, Basel, Switzerland. This article is an open access article distributed under the terms and conditions of the Creative Commons Attribution (CC BY) license (https://creativecommons.org/licenses/by/4.0/).
Share and Cite
Zhang, Y.; Yin, F.; Ma, J. Experimental and Numerical Analysis of the Impact Resistance of Polyurethane Foam Aluminum-Concrete Sandwich Structures. Buildings 2024, 14, 3573. https://doi.org/10.3390/buildings14113573
Zhang Y, Yin F, Ma J. Experimental and Numerical Analysis of the Impact Resistance of Polyurethane Foam Aluminum-Concrete Sandwich Structures. Buildings. 2024; 14(11):3573. https://doi.org/10.3390/buildings14113573
Chicago/Turabian StyleZhang, Yong, Fenfang Yin, and Junwei Ma. 2024. "Experimental and Numerical Analysis of the Impact Resistance of Polyurethane Foam Aluminum-Concrete Sandwich Structures" Buildings 14, no. 11: 3573. https://doi.org/10.3390/buildings14113573
APA StyleZhang, Y., Yin, F., & Ma, J. (2024). Experimental and Numerical Analysis of the Impact Resistance of Polyurethane Foam Aluminum-Concrete Sandwich Structures. Buildings, 14(11), 3573. https://doi.org/10.3390/buildings14113573

