Dewatering Characteristics and Drawdown Prediction of Suspended Waterproof Curtain Foundation Pit in Soft Soil Areas
Abstract
1. Introduction
2. Seepage Mechanisms under the Influence of Waterproof Curtain
2.1. Seepage Analysis
- Alteration of seepage direction and elongation of the seepage path: In the absence of the waterproof curtain, groundwater flows horizontally into the well along the radial direction of the pumping well, with vertical seepage occurring around the pumping well, as shown in Figure 1a. However, with the installation of the waterproof curtain during dewatering, there is a change in the direction of groundwater flow outside the curtain at the base of the curtain, as depicted in Figure 1b. Groundwater outside the foundation pit site needs to circumvent the bottom of the waterproof curtain to reach the vicinity of the pumping well, resulting in an extended flow path compared to when no curtains are in place.
- Modification of groundwater drawdown within and outside the foundation pit: In the absence of the curtain, the drawdown profile exhibits a continuous funnel shape. However, when the waterproof curtain is installed, water levels inside and outside the excavation show a head difference on either side of the curtain, leading to a discontinuous, step-like drawdown profile on both sides of the curtain.
- Reduction in the total inflow to the foundation pit: According to Darcy’s law [38], when pumping is conducted at a constant flow rate, the elongation of the groundwater flow path due to the presence of the waterproof curtain leads to a reduced seepage area. This decrease in seepage area results in an increased hydraulic gradient, reducing the required dewatering time and improving dewatering efficiency. Consequently, this leads to a reduction in the overall seepage volume within the foundation pit.
- The groundwater flow towards the well is assumed to be approximately horizontal.
- The aquifer is considered to be homogeneous, isotropic, of uniform thickness, and laterally infinite.
- Before pumping, the natural hydraulic gradient in the aquifer is assumed to be zero.
- Pumping is assumed to be of long duration, and groundwater flow within the aquifer is expected to follow Darcy’s law, reaching a state of steady flow.
2.2. Drawdown in Equivalent Well
3. Numerical Simulation
3.1. Governing Equation
3.2. Finite Difference Model
3.2.1. Simplification of Model Parameters
3.2.2. Initial Boundary Conditions
3.3. Drawdown Coefficient
3.4. Normalized Form
4. Analysis of Factors Affecting Seepage
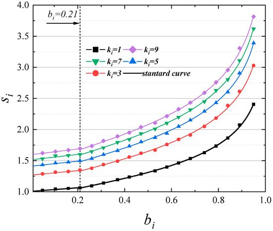
4.1. Anisotropy of Permeability
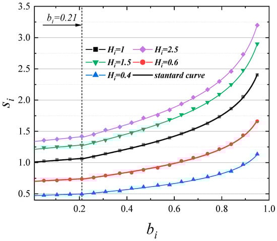
4.2. Thickness of the Aquifer
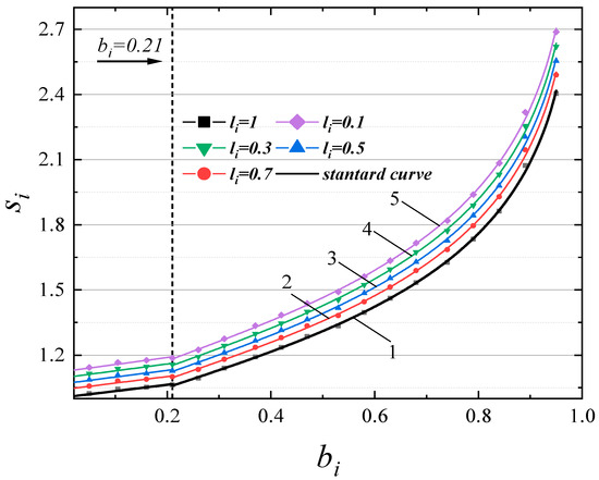
4.3. Pumping Well Screen Length
4.4. Drawdown Prediction with Suspended Waterproof Curtain
5. Application to Field Case
5.1. Project Description
5.2. Hydrogeological Conditions of the Area
5.3. Results
6. Conclusions
- The waterproof curtain can improve the efficiency of pit dewatering by changing the seepage field distribution and thus reducing the hydraulic connection between the inside and outside of the pit. The Thies formula does not take into account the influence of the change in the flow field morphology on the groundwater seepage, and the influence coefficient must be introduced to correct the calculation results.
- Based on the equivalent well theory, solve the characteristic curve of curtain ratio (bi) and drawdown ratio (si) under each influence coefficient. Quantify the curve to get the curtain-blocking effect coefficient under the normalized state. Considering the coupling effect generated by ki, Mi, li, and the waterproof curtain, the finite difference method is adopted, and the non-standard variability function is obtained by regression analysis of numerical results. The non-standard variability function reflects the coupled influence of the curtain barrier effect and project parameters on the amount of groundwater drawdown in the pit.
- This paper presents a calculation method for predicting the amount of groundwater drawdown in a pit for a certain amount of pumping. The established equation is applied to the Zhuhai field pit pumping design. The predicted value is close to the field wells observing results, and the original design scheme maintains a 16–21% safe margin. In addition, the change of groundwater drawdown outside the pit is less than 1.5 m, which ensures the environment inside and outside the excavation pit is safe. The prediction method is reasonable.
Author Contributions
Funding
Data Availability Statement
Conflicts of Interest
References
- Cao, Y.; Zhang, R.; Zhang, D.; Zhou, C. Urban Agglomerations in China: Characteristics and Influencing Factors of Population Agglomeration. Chin. Geogr. Sci. 2023, 33, 719–735. [Google Scholar] [CrossRef]
- Wang, Y.; Jiao, J.J.; Cherry, J.A.; Lee, C.M. Contribution of the aquitard to the regional groundwater hydrochemistry of the underlying confined aquifer in the Pearl River Delta, China. Sci. Total Environ. 2013, 461, 663–671. [Google Scholar] [CrossRef] [PubMed]
- Xu, Y.-S.; Shen, S.-L.; Du, Y.-J. Geological and hydrogeological environment in Shanghai with geohazards to construction and maintenance of infrastructures. Eng. Geol. 2009, 109, 241–254. [Google Scholar] [CrossRef]
- Xu, Y.-S.; Wu, H.-N.; Shen, J.S.; Zhang, N. Risk and impacts on the environment of free-phase biogas in quaternary deposits along the Coastal Region of Shanghai. Ocean Eng. 2017, 137, 129–137. [Google Scholar] [CrossRef]
- Zhang, X.; Yang, J.; Zhang, Y.; Gao, Y. Cause investigation of damages in existing building adjacent to foundation pit in construction. Eng. Fail. Anal. 2018, 83, 117–124. [Google Scholar] [CrossRef]
- Wan, X.; Ding, J.; Jiao, N.; Sun, S.; Liu, J.; Guo, Q. Observed Performance of Long-Zoned Excavation with Suspended Waterproof Curtain in Yangtze River Floodplain. J. Perform. Constr. Facil. 2022, 36, 04022018. [Google Scholar] [CrossRef]
- Wang, Y.; Jiao, J.J. Origin of groundwater salinity and hydrogeochemical processes in the confined Quaternary aquifer of the Pearl River Delta, China. J. Hydrol. 2012, 438, 112–124. [Google Scholar] [CrossRef]
- Huang, Y.; Bao, Y.; Wang, Y. Analysis of geo-environmental hazards in urban underground space development in Shanghai. Nat. Hazards 2015, 75, 2067–2079. [Google Scholar] [CrossRef]
- Wang, J.X.; Deng, Y.S.; Wang, X.B.; Liu, X.T.; Zhou, N.Q. Numerical evaluation of a 70-m deep hydropower station foundation pit de-watering. Environ. Earth Sci. 2022, 81, 364. [Google Scholar] [CrossRef]
- Sun, Z.; Li, H.; Bao, Y.; Meng, X.; Zhang, D. Intelligent Risk Prognosis and Control of Foundation Pit Excavation Based on Digital Twin. Buildings 2023, 13, 247. [Google Scholar] [CrossRef]
- Cao, C.; Shi, C.; Liu, L.; Liu, J. Evaluation of the effectiveness of an alternative to control groundwater inflow during a deep excavation into confined aquifers. Environ. Earth Sci. 2020, 79, 502. [Google Scholar] [CrossRef]
- Barbu, C.; Sabău, A.-D.; Manoli, D.-M.; Șerbulea, M.-S.; Erbașu, R.; Țăpuși, D.; Szlachetka, O.; Dzięcioł, J.; Baryła, A.; Dohojda, M.; et al. Analysis of the Water/Cement/Bentonite Ratio Used for Construction of Cut-Off Walls. Buildings 2023, 13, 2922. [Google Scholar] [CrossRef]
- Mahmoudpour, M.; Khamehchiyan, M.; Nikudel, M.R.; Ghassemi, M.R. Numerical simulation and prediction of regional land sub-sidence caused by groundwater exploitation in the southwest plain of Tehran, Iran. Eng. Geol. 2016, 201, 6–28. [Google Scholar] [CrossRef]
- Xu, Y.-S.; Wu, H.-N.; Wang, B.Z.-F.; Yang, T.-L. Dewatering induced subsidence during excavation in a Shanghai soft deposit. Environ. Earth Sci. 2017, 76, 351. [Google Scholar] [CrossRef]
- Chen, J.J.; Zhang, L.Y.; Zhang, J.F.; Zhu, Y.F.; Wang, J.H. Field Tests, Modification, and Application of Deep Soil Mixing Method in Soft Clay. J. Geotech. Geo-Environ. Eng. 2013, 139, 24–34. [Google Scholar] [CrossRef]
- Xu, Y.-S.; Shen, S.-L.; Ma, L.; Sun, W.-J.; Yin, Z.-Y. Evaluation of the blocking effect of retaining walls on groundwater seepage in aquifers with different insertion depths. Eng. Geol. 2014, 183, 254–264. [Google Scholar] [CrossRef]
- Wang, Z.-F.; Shen, S.-L.; Ho, C.-E.; Kim, Y.-H. Investigation of field-installation effects of horizontal twin-jet grouting in Shanghai soft soil deposits. Can. Geotech. J. 2013, 50, 288–297. [Google Scholar] [CrossRef]
- Du, S.; Liu, P.; Wang, W.; Shi, W.; Li, Q.; Li, J.; Li, J. Numerical Simulation and Analysis of the Influencing Factors of Foundation Pit Dewatering under a Coupled Radial Well and Curtain. Water 2023, 15, 1839. [Google Scholar] [CrossRef]
- Zeng, C.-F.; Zheng, G.; Xue, X.-L.; Mei, G.-X. Combined recharge: A method to prevent ground settlement induced by redevelopment of recharge wells. J. Hydrol. 2019, 568, 1–11. [Google Scholar] [CrossRef]
- Zeng, C.-F.; Xue, X.-L.; Zheng, G.; Xue, T.-Y.; Mei, G.-X. Responses of retaining wall and surrounding ground to pre-excavation dewatering in an alternated multi-aquifer-aquitard system. J. Hydrol. 2018, 559, 609–626. [Google Scholar] [CrossRef]
- Pujades, E.; Jurado, A.; Carrera, J.; Vazquez-Sune, E.; Dassargues, A. Hydrogeological assessment of non-linear underground en-closures. Eng. Geol. 2016, 207, 91–102. [Google Scholar] [CrossRef]
- Sundell, J.; Rosén, L.; Norberg, T.; Haaf, E. A probabilistic approach to soil layer and bedrock-level modeling for risk assessment of groundwater drawdown induced land subsidence. Eng. Geol. 2016, 203, 126–139. [Google Scholar] [CrossRef]
- Zhang, X.; Hu, M.; Chen, X.; Dong, J.; Liu, S. Research on Subsidence Induced by the Dewatering–Curtain Interaction in the Deep Foundation Pit of the Shield Launching Shaft in Shenzhen, China. Water 2023, 15, 1798. [Google Scholar] [CrossRef]
- Wang, J.; Wu, Y.; Liu, X.; Yang, T.; Wang, H.; Zhu, Y. Areal subsidence under pumping well–curtain interaction in subway foundation pit dewatering: Conceptual model and numerical simulations. Environ. Earth Sci. 2016, 75, 198. [Google Scholar] [CrossRef]
- You, Y.; Yan, C.; Xu, B.; Liu, S.; Che, C. Optimization of dewatering schemes for a deep foundation pit near the Yangtze River, China. J. Rock Mech. Geotech. Eng. 2018, 10, 555–566. [Google Scholar] [CrossRef]
- Chen, Z.; Huang, J.; Zhan, H.; Wang, J.; Dou, Z.; Zhang, C.; Chen, C.; Fu, Y. Optimization schemes for deep foundation pit dewatering under complicated hydrogeological conditions using MODFLOW-USG. Eng. Geol. 2022, 303, 106653. [Google Scholar] [CrossRef]
- Wu, Y.-X.; Shen, S.-L.; Yuan, D.-J. Characteristics of dewatering induced drawdown curve under blocking effect of retaining wall in aquifer. J. Hydrol. 2016, 539, 554–566. [Google Scholar] [CrossRef]
- Wang, X.-W.; Xu, Y.-S. Impact of the Depth of Diaphragm Wall on the Groundwater Drawdown during Foundation Dewatering Considering Anisotropic Permeability of Aquifer. Water 2021, 13, 418. [Google Scholar] [CrossRef]
- Yang, T.; Tong, L.Y.; El Naggar, M.H.; Yan, X. Hydraulic head difference at two sides of suspended waterproof curtain during mul-ti-grade dewatering of excavation. Undergr. Space 2023, 10, 137–149. [Google Scholar] [CrossRef]
- Wu, Y.-X.; Shen, S.-L.; Wu, H.-N.; Xu, Y.-S.; Yin, Z.-Y.; Sun, W.-J. Environmental protection using dewatering technology in a deep confined aquifer beneath a shallow aquifer. Eng. Geol. 2015, 196, 59–70. [Google Scholar] [CrossRef]
- Wang, J.; Liu, X.; Wu, Y.; Liu, S.; Wu, L.; Lou, R.; Lu, J.; Yin, Y. Field experiment and numerical simulation of coupling non-Darcy flow caused by curtain and pumping well in foundation pit dewatering. J. Hydrol. 2017, 549, 277–293. [Google Scholar] [CrossRef]
- Wang, J.; Liu, X.; Liu, S.; Zhu, Y.; Pan, W.; Zhou, J. Physical model test of transparent soil on coupling effect of cut-off wall and pumping wells during foundation pit dewatering. Acta Geotech. 2019, 14, 141–162. [Google Scholar] [CrossRef]
- Wang, X.-W.; Yang, T.-L.; Xu, Y.-S.; Shen, S.-L. Evaluation of optimized depth of waterproof curtain to mitigate negative impacts during dewatering. J. Hydrol. 2019, 577, 123969. [Google Scholar] [CrossRef]
- Shen, S.-L.; Wu, Y.-X.; Misra, A. Calculation of head difference at two sides of a cut-off barrier during excavation dewatering. Comput. Geotech. 2017, 91, 192–202. [Google Scholar] [CrossRef]
- Zhang, X.; Wang, X.; Xu, Y. Influence of Filter Tube of Pumping Well on Groundwater Drawdown during Deep Foundation Pit Dewatering. Water 2021, 13, 3297. [Google Scholar] [CrossRef]
- Vilarrasa, V.; Carrera, J.; Jurado, A.; Pujades, E.; Vázquez-Suné, E. A methodology for characterizing the hydraulic effectiveness of an annular low-permeability barrier. Eng. Geol. 2011, 120, 68–80. [Google Scholar] [CrossRef]
- Pujades, E.; López, A.; Carrera, J.; Vázquez-Suñé, E.; Jurado, A. Barrier effect of underground structures on aquifers. Eng. Geol. 2012, 145, 41–49. [Google Scholar] [CrossRef]
- Bear, J. Hydraulics of Groundwater; McGraw-Hill: New York, NY, USA, 2012. [Google Scholar]
- Xue, Y.Q.; Wu, J.C. Groundwater Dynamics; Geological Publish House: Beijing, China, 2010; pp. 20–96. (In Chinese) [Google Scholar]
- Theis, C.V. The relation between the lowering of the Piezometric surface and the rate and duration of discharge of a well using ground-water storage. Trans. Am. Geophys. Union 1935, 16, 519–524. [Google Scholar] [CrossRef]
- Lancia, M.; Su, H.; Tian, Y.; Xu, J.; Andrews, C.; Lerner, D.N.; Zheng, C. Hydrogeology of the Pearl River Delta, southern China. J. Maps 2020, 16, 388–395. [Google Scholar] [CrossRef]
- Chen, C.X.; Lin, M. Groundwater Dynamics; China University of Geosciences Press: Wuhan, China, 1999; pp. 59–69. (In Chinese) [Google Scholar]
- Shen, S.L.; Wu, Y.X.; Xu, Y.S.; Hino, T.; Wu, H.N. Evaluation of hydraulic parameters from pumping tests in multi-aquifers with vertical leakage in Tianjin. Comput. Geotech. 2015, 68, 196–207. [Google Scholar] [CrossRef]
- Yao, M.; Wang, H.; Yu, Q.; Li, H.; Xia, W.; Wang, Q.; Huang, X.; Lin, J. Anisotropy Study on the Process of Soil Permeability and Consolidation in Reclamation Areas: A Case Study of Chongming East Shoal in Shanghai. Buildings 2023, 13, 3059. [Google Scholar] [CrossRef]
- Xu, Y.S.; Yan, X.X.; Shen, S.L.; Zhou, A.N. Experimental investigation on the blocking of groundwater seepage from a waterproof curtain during pumped dewatering in an excavation. Hydrogeol. J. 2019, 27, 2659–2672. [Google Scholar] [CrossRef]
- Lyu, H.-M.; Shen, S.-L.; Wu, Y.-X.; Zhou, A.-N. Calculation of groundwater head distribution with a close barrier during excavation dewatering in confined aquifer. Geosci. Front. 2021, 12, 791–803. [Google Scholar] [CrossRef]
- Wang, J.; Feng, B.; Guo, T.; Wu, L.; Lou, R.; Zhou, Z. Using partial penetrating wells and curtains to lower the water level of confined aquifer of gravel. Eng. Geol. 2013, 161, 16–25. [Google Scholar] [CrossRef]
- Yao, T.Q. Manual of Pit Descending; China Construction Industry Press: Beijing, China, 2006. [Google Scholar]













| Soil Layer | H/m | Kh/(m·d−1) | Kv/(m·d−1) | Ss/(10−3m−1) | e |
|---|---|---|---|---|---|
| Backfill | 4 | 0.5 | 0.5 | - | 0.49 |
| Sandy clay | 36 | 2 | 2 | 2 | 0.43 |
| Silty clay | 20 | 0.001 | 0.001 | 5 | 0.56 |
| Value | Southwest Deep Pit | Northeast Shallow Pit |
|---|---|---|
| bi | 0.92 | 0.88 |
| Ki | 1.46 | 1.46 |
| Hi | 0.895 | 0.79 |
| li | 0.192 | 0.226 |
| α | 1.077 | 1.077 |
| β | 0.935 | 0.861 |
| γ | 1.106 | 1.100 |
| Si | 2.191 | 1.999 |
| Sni | 2.44 | 2.033 |
Disclaimer/Publisher’s Note: The statements, opinions and data contained in all publications are solely those of the individual author(s) and contributor(s) and not of MDPI and/or the editor(s). MDPI and/or the editor(s) disclaim responsibility for any injury to people or property resulting from any ideas, methods, instructions or products referred to in the content. |
© 2024 by the authors. Licensee MDPI, Basel, Switzerland. This article is an open access article distributed under the terms and conditions of the Creative Commons Attribution (CC BY) license (https://creativecommons.org/licenses/by/4.0/).
Share and Cite
Chu, Y.; Shi, J.; Ye, Z.; Liu, D. Dewatering Characteristics and Drawdown Prediction of Suspended Waterproof Curtain Foundation Pit in Soft Soil Areas. Buildings 2024, 14, 119. https://doi.org/10.3390/buildings14010119
Chu Y, Shi J, Ye Z, Liu D. Dewatering Characteristics and Drawdown Prediction of Suspended Waterproof Curtain Foundation Pit in Soft Soil Areas. Buildings. 2024; 14(1):119. https://doi.org/10.3390/buildings14010119
Chicago/Turabian StyleChu, Yuhan, Junfeng Shi, Zhaoyi Ye, and Dingdan Liu. 2024. "Dewatering Characteristics and Drawdown Prediction of Suspended Waterproof Curtain Foundation Pit in Soft Soil Areas" Buildings 14, no. 1: 119. https://doi.org/10.3390/buildings14010119
APA StyleChu, Y., Shi, J., Ye, Z., & Liu, D. (2024). Dewatering Characteristics and Drawdown Prediction of Suspended Waterproof Curtain Foundation Pit in Soft Soil Areas. Buildings, 14(1), 119. https://doi.org/10.3390/buildings14010119

