A Case Study on Multi-Objective Optimization Design of College Teaching Building Atrium in Cold Regions Based on Passive Concept
Abstract
:1. Introduction
2. Materials and Methods
2.1. Building Performance Simulation Software
2.2. Setting Climate Conditions
2.3. Basic Assumptions
2.4. Factors Determination
2.4.1. Atrium Design Factors
2.4.2. Other Factors
2.5. Evaluation Indicators Determination
2.6. Establishment of the Orthogonal Test
2.7. Multi-Objective Optimization
3. Results and Analyses
3.1. Base Model Energy and Daylight Simulation Results
3.2. Orthogonal Test
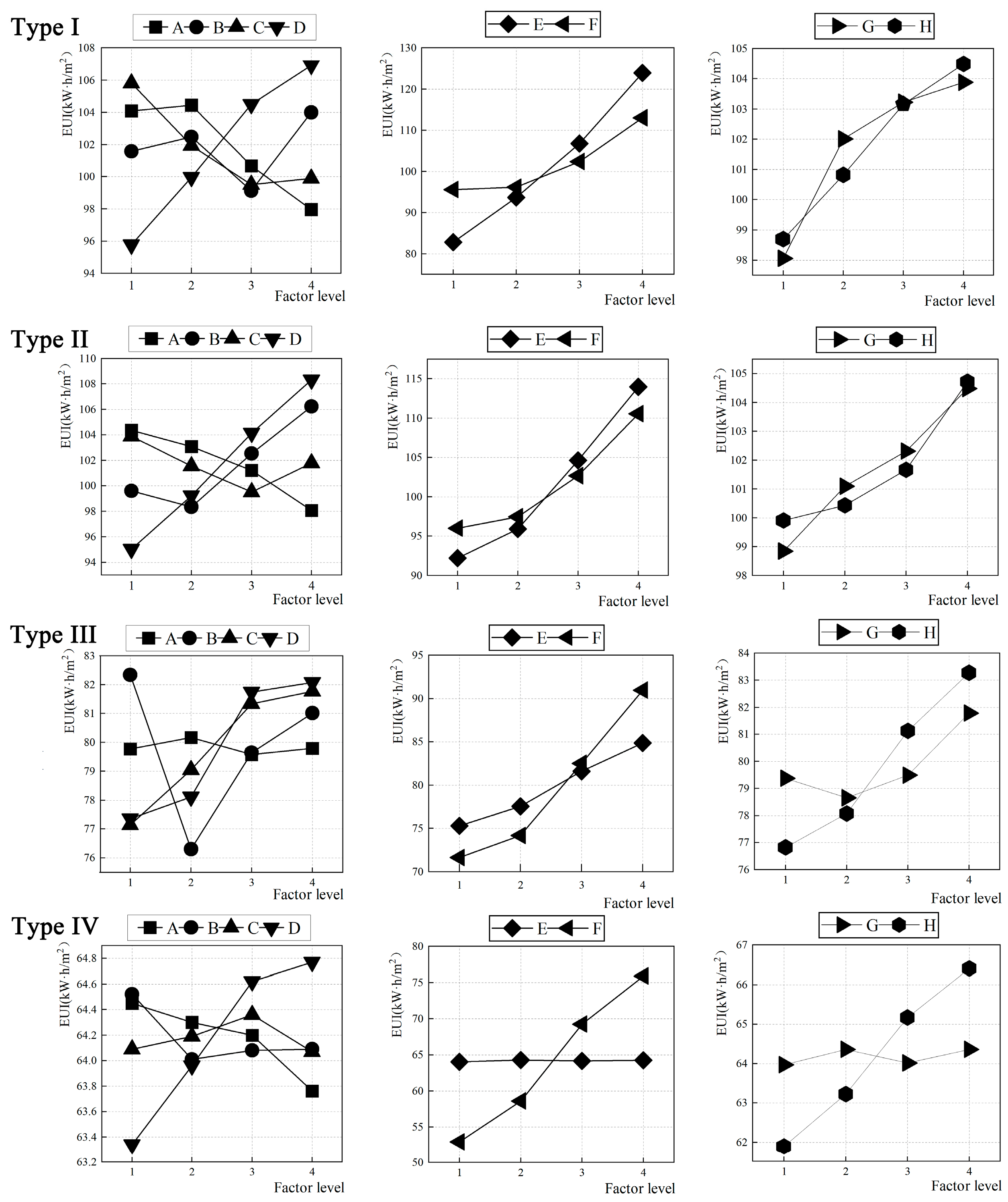
3.2.1. Range Analysis
3.2.2. Variance Analysis
3.3. Multi-Objective Optimization Simulation Results
3.3.1. Four-Directional Atrium
3.3.2. Tri-Directional Atrium
3.3.3. Bi-Directional Atrium
3.3.4. Uni-directional Atrium
3.3.5. Data Analysis and Comparison
3.3.6. Discussion
4. Conclusions
- Fenestration has the greatest impact on atrium energy consumption, followed by building form and an opaque envelope. Among the building form designs, atrium height has the greatest influence on energy consumption.
- Relative to the base model, the energy-saving rates of the four optimized atrium solutions are 10.3%, 17.6%, 37.2%, and 30.5%, with the Bi-directional atrium having the greatest energy-saving potential and the Uni-directional atrium having the foremost.
- Relative to the base model, the percentage improvement in light comfort for the four optimized atrium solutions is 4.4%, 10.4%, 44.7%, and 34.1%, respectively. The optimized design improves the daylight comfort of the Bi-directional and Uni-directional atriums, with UDI100~2000 lux above 80%.
Author Contributions
Funding
Data Availability Statement
Conflicts of Interest
References
- Franco, M.; Pawar, P.; Wu, X. Green building policies in cities: A comparative assessment and analysis. Energy Build. 2021, 231, 110561. [Google Scholar] [CrossRef]
- Huang, Y.; Yu, Q.; Wang, R. Driving factors and decoupling effect of carbon footprint pressure in China: Based on net primary production. Technol. Forecast. Soc. Chang. 2021, 167, 120722. [Google Scholar] [CrossRef]
- Hu, M.; Zhang, K.; Nguyen, Q.; Tasdizen, T. The effects of passive design on indoor thermal comfort and energy savings for residential buildings in hot climates: A systematic review. Urban Clim. 2023, 49, 101466. [Google Scholar] [CrossRef]
- Rodriguez-Ubinas, E.; Montero, C.; Montero, M. Passive design strategies and performance of net energy plus houses. Energy Build. 2014, 83, 10–22. [Google Scholar] [CrossRef]
- Stevanović, S. Optimization of passive solar design strategies: A review. Renew. Sustain. Energy Rev. 2013, 25, 177–196. [Google Scholar] [CrossRef]
- Gong, X.; Akashi, Y.; Sumiyoshi, D. Optimization of passive design measures for residential buildings in different Chinese areas. Build. Environ. 2012, 58, 46–57. [Google Scholar] [CrossRef]
- Konis, K.; Gamas, A.; Kensek, K. Passive performance and building form: An optimization framework for early-stage design support. Sol. Energy 2016, 125, 161–179. [Google Scholar] [CrossRef]
- Whitson, B.; Houska, C. Skylight Handbook, Design Guidelines; American Architectural Manufacturers Association: Des Plaines, IL, USA, 1987. [Google Scholar]
- Thumann, A.; Young, W. Design for Energy Conservation with Skylights; Architectural Aluminum Manufacturers Association: Chicago, IL, USA, 1981. [Google Scholar]
- Aldawoud, A. The influence of the atrium geometry on the building energy performance. Energy Build. 2013, 57, 1–5. [Google Scholar] [CrossRef]
- Tabesh, T.; Sertyesilisik, B. An investigation into energy performance with the integrated usage of a courtyard and atrium. Buildings 2016, 6, 21. [Google Scholar] [CrossRef]
- Ghasemi, M.; Noroozi, M.; Kazemzadeh, M.; Roshan, M. The influence of well geometry on the daylight performance of atrium adjoining spaces: A parametric study. J. Build. Eng. 2015, 3, 39–47. [Google Scholar] [CrossRef]
- Rastegari, M.; Pournaseri, S.; Sanaieian, H. Daylight optimization through architectural aspects in an office building atrium in Tehran. J. Build. Eng. 2021, 33, 101718. [Google Scholar] [CrossRef]
- Li, Z.; Yu, D.; Xu, W.; Zhang, M.; Geng, W.; Li, N. Research on the reconstruction design of the closed atrium of the No. 1 office building of Wuhan Kaidi. Buildings 2022, 12, 1674. [Google Scholar] [CrossRef]
- Dong, L.; He, Y.; Qi, Q.; Wang, W. Optimization of daylight in atrium in underground commercial spaces: A case study in Chongqing, China. Energy Build. 2022, 256, 111739. [Google Scholar] [CrossRef]
- Xue, Y.; Liu, W. A study on parametric design method for optimization of daylight in commercial building’s atrium in cold regions. Sustainability 2022, 14, 7667. [Google Scholar] [CrossRef]
- Berardi, U.; Wang, T. Daylighting in an atrium-type high performance house. Build. Environ. 2014, 76, 92–104. [Google Scholar] [CrossRef]
- Danielski, I.; Nair, G.; Joelsson, A.; Fröling, M. Heated atrium in multi-storey apartment buildings, a design with potential to enhance energy efficiency and to facilitate social interactions. Build. Environ. 2016, 106, 352–364. [Google Scholar] [CrossRef]
- Wang, Y.; Yang, W.; Wang, Q. Multi-objective parametric optimization of the composite external shading for the classroom based on lighting, energy consumption, and visual comfort. Energy Build. 2022, 275, 112441. [Google Scholar] [CrossRef]
- Liu, Q.; Ren, J. Research on the building energy efficiency design strategy of Chinese universities based on green performance analysis. Energy Build. 2020, 224, 110242. [Google Scholar] [CrossRef]
- Baker, N.; Steemers, K. Energy and Environment in Architecture: A Technical Design Guide; E&FN SPON: London, UK; E&FN SPON: New York, NY, USA, 2003. [Google Scholar]
- Wang, L.; Huang, Q.; Zhang, Q.; Xu, H.; Yuen, R.K. Role of atrium geometry in building energy consumption: The case of a fully Air-conditioned enclosed atrium in cold climates, China. Energy Build. 2017, 151, 228–241. [Google Scholar] [CrossRef]
- Cho, J.; Yoo, C.; Kim, Y. Viability of exterior shading devices for high-rise residential buildings: Case study for cooling energy saving and economic feasibility analysis. Energy Build. 2014, 82, 771–785. [Google Scholar] [CrossRef]
- Cheng, C.; Chen, C.; Chou, C.; Chan, C. A mini-scale modeling approach to natural daylight utilization in building design. Build. Environ. 2007, 42, 372–384. [Google Scholar] [CrossRef]
- Asfour, O. A comparison between the daylighting and energy performance of courtyard and atrium buildings considering the hot climate of Saudi Arabia. J. Build. Eng. 2020, 30, 101299. [Google Scholar] [CrossRef]
- Du, J.; Sharples, S. The assessment of vertical daylight factors across the walls of atrium buildings, Part 1: Square atria. Light. Res. Technol. 2012, 44, 109–123. [Google Scholar] [CrossRef]
- Vujošević, M.; Krstić-Furundžić, A. The influence of atrium on energy performance of hotel building. Energy Build. 2017, 156, 140–150. [Google Scholar] [CrossRef]
- Li, J.; Ban, Q.; Chen, X.; Yao, J. Glazing sizing in large atrium buildings: A perspective of balancing daylight quantity and visual Comfort. Energies 2019, 12, 701. [Google Scholar] [CrossRef]
- Lu, Y.; Xiang, Y.; Chen, G.; Wu, Y.; Sun, C.; Liu, J. Summer dynamic thermal environment for isolated atrium in the severe cold region: On-site measurement and numerical simulation. Appl. Therm. Eng. 2019, 160, 114108. [Google Scholar] [CrossRef]
- Wu, X.; Oldfield, P.; Heath, T. Spatial openness and student activities in an atrium: A parametric evaluation of a social informal learning environment. Build. Environ. 2020, 182, 107141. [Google Scholar] [CrossRef]
- Fan, Z.; Zehui, Y.; Liu, Y. Daylight performance assessment of atrium skylight with integrated semi-transparent photovoltaic for different climate zones in China. Build. Environ. 2020, 190, 107299. [Google Scholar] [CrossRef]
- Wu, P.; Zhou, J.; Li, N. Influences of atrium geometry on the lighting and thermal environments in summer: CFD simulation based on-site measurements for validation. Build. Environ. 2021, 197, 107853. [Google Scholar] [CrossRef]
- Li, J.; Zhu, N. The impact evaluation of the passive adjustment performance of intermediate space in buildings: A case study of the atrium space in large public buildings. Archit. J. 2016, 9, 108–113. [Google Scholar]
- Li, J.; Lu, S.; Wang, Q. Graphical visualisation assist analysis of indoor environmental performance: Impact of atrium spaces on public buildings in cold clim ates. Indoor Built Environ. 2016, 27, 331–347. [Google Scholar] [CrossRef]
- Hou, H.; Zhang, Q.; Huang, Q. Constructing the design strategy chart of low-Energy atriums in cold regions. Archit. J. 2016, 5, 72–76. [Google Scholar]
- Sher, F.; Kawai, A.; Güleç, F.; Sadiq, H. Sustainable energy saving alternatives in small buildings. Sustain. Energy Technol. Assess. 2019, 32, 92–99. [Google Scholar] [CrossRef]
- Shafiei Fini, A.; Moosavi, A. Effects of “wall angularity of atrium” on “buildings natural ventilation and thermal performance” and CFD model. Energy Build. 2016, 121, 265–283. [Google Scholar] [CrossRef]
- Hussain, S.; Oosthuizen, P. Numerical study of buoyancy-driven natural ventilation in a simple three-storey atrium building. Int. J. Sustain. Built Environ. 2012, 1, 141–157. [Google Scholar] [CrossRef]
- Nguyen, A.-T.; Reiter, S.; Rigo, P. A review on simulation-based optimization methods applied to building performance analysis. Appl. Energy 2014, 113, 1043–1058. [Google Scholar] [CrossRef]
- Roudsari, M.; Pak, M. Ladybug: A parametric environmental plugin for grasshopper to help designers create an environmentally-conscious design. In Proceedings of the 13th Conference of International Building Performance Simulation Association, Chambery, France, 26–28 August 2013. [Google Scholar]
- Attia, S.; Hamdy, M.; O’Brien, W.; Carlucci, S. Computational optimization for zero energy buildings design: Interview results with twenty-eight international experts. In Proceedings of the 13th Conference of International Building Performance Simulation Association, Chambery, France, 26–28 August 2013. [Google Scholar]
- Hung, W.; Chow, W. A review on architectural aspects of atrium buildings. Archit. Sci. Rev. 2001, 44, 285–295. [Google Scholar] [CrossRef]
- Sharples, S.; Lash, D. Daylight in atrium buildings: A critical review. Archit. Sci. Rev. 2011, 50, 301–312. [Google Scholar] [CrossRef]
- He, B.-J. Towards the next generation of green building for urban heat island mitigation: Zero UHI impact building. Sustain. Cities Soc. 2019, 50, 101647. [Google Scholar] [CrossRef]
- Xi, C.; Ding, J.; Ren, C.; Wang, J.; Feng, Z.; Cao, S.-J. Green glass space based design for the driven of sustainable cities: A case study. Sustain. Cities Soc. 2022, 80, 103809. [Google Scholar] [CrossRef]
- GB 50189-2015; Design Standard for Energy Efficiency of Public Buildings. Ministry of Housing and Urban-Rural Development: Beijing, China, 2015.
- Tian, Z.; Zhang, X.; Jin, X.; Zhou, X.; Si, B.; Shi, X. Towards adoption of building energy simulation and optimization for passive building design: A survey and a review. Energy Build. 2018, 158, 1306–1316. [Google Scholar] [CrossRef]
- GB 50736-2012; Design Code for Heating Ventilation and Air Conditioning of Civil Buildings. Ministry of Housing and Urban-Rural Development: Beijing, China, 2012.
- GB 50033-2013; Standard for Daylighting Design of Buildings. Ministry of Housing and Urban-Rural Development: Beijing, China, 2013.
- ASHRAE STANDARD 62.1; Ventilation for Acceptable Indoor Air Quality. ASHRAE: Atlanta, GA, USA, 2022.
- Illuminating Engineering Society (IES). ANSI/IES LS-1-22. Available online: https://www.ies.org/definitions/spatial-daylight-autonomy-sda/ (accessed on 7 September 2023).
- Cantin, F.; Dubois, C. Daylighting metrics based on illuminance, distribution, glare and directivity. Light. Res. Technol. 2011, 43, 291–307. [Google Scholar] [CrossRef]
- Nabil, A.; Mardaljevic, J. Useful daylight illuminances: A replacement for daylight factors. Energy Build. 2006, 38, 905–913. [Google Scholar] [CrossRef]
- Nabil, A.; Mardaljevic, J. Useful daylight illuminance: A new paradigm for assessing daylight in buildings. Light. Res. Technol. 2005, 37, 41–57. [Google Scholar] [CrossRef]
- Carlucci, S.; Causone, F.; De Rosa, F.; Pagliano, L. A review of indices for assessing visual comfort with a view to their use in optimization processes to support building integrated design. Renew. Sustain. Energy Rev. 2015, 47, 1016–1033. [Google Scholar] [CrossRef]
- Lindelöf, D.; Morel, N. A field investigation of the intermediate light switching by users. Energy Build. 2006, 38, 790–801. [Google Scholar] [CrossRef]
- Reinhart, C.F.; Voss, K. Monitoring manual control of electric lighting and blinds. Light. Res. Technol. 2003, 35, 243–258. [Google Scholar] [CrossRef]
- Tahsildoost, M.; Zomorodian, Z. Energy retrofit techniques: An experimental study of two typical school buildings in Tehran. Energy Build. 2015, 104, 65–72. [Google Scholar] [CrossRef]
- Seberry, J. Orthogonal Designs; Springer: Berlin, Germany, 2011. [Google Scholar]
- Uribe, D.; Bustamante, W.; Vera, S. Potential of perforated exterior louvers to improve the comfort and energy performance of an office space in different climates. Build. Simul 2018, 11, 695–708. [Google Scholar] [CrossRef]














| Year [Ref.] | Building Type | Design Parameter | Objective |
|---|---|---|---|
| 2012 [26] | Unspecified | Atrium geometry (aspect ratio), surface reflectance | Daylight |
| 2012 [23] | Office buildings | High-level opening sizes, wind speed, wall-to-roof void area, with and without roof overhangs above the clerestory | CFD |
| 2013 [10] | Unspecified | Atrium geometry, atrium height, glass type, WWR | Daylight and Energy |
| 2014 [17] | Solarium house | Radiance ambient parameters | Daylight |
| 2015 [12] | Office buildings | Atrium height, skylight height to atrium height rate(h/H) | Daylight |
| 2016 [18] | Multi-story apartment buildings | Shape factor, apartment floor area, WWR, skylight area and side window area, different regions | Energy |
| 2017 [27] | Hotel buildings | Four atrium envelope and space characteristics of the designed alternatives, orientation | Energy |
| 2017 [22] | Unspecified | SAR, case study, atrium’s height, skylight size | CFD |
| 2019 [28] | Unspecified | Atrium geometry, skylight area, building height | Daylight |
| 2019 [29] | Office buildings | Roof-glazing size, atrium shapes, building height | CFD |
| 2020 [30] | College school | Four main spaces considered | Viewing |
| 2020 [25] | Office buildings | WWR, window area, shading equipment | Daylight and Energy |
| 2021 [31] | Unspecified | Skylight Integrated Photovoltaic | Daylight |
| 2021 [13] | Office buildings | Height, width, length (size), glazing ratio, reflectance | Daylight |
| 2021 [32] | Library | AR, SAR | CFD |
| 2022 [16] | Office building | Atrium structure design | Daylight |
| 2022 [15] | Underground commercial spaces | The shape of atriums, profile inclination angle, the number of atriums, skylight height-to-width ratio | Daylight and Energy |
| Design Factors | Level | 1 | 2 | 3 | 4 |
|---|---|---|---|---|---|
| Building form | A: Atrium’s skylight angle (°) | 0° | 3° | 6° | 9° |
| B: Atrium’s orientation (°) | 0° | 90° | 180° | 270° | |
| C: Atrium’s plane aspect ratio | 2.0 | 1.65 | 1.39 | 1.18 | |
| D: Atrium’s height (m) | 9.9 | 10.8 | 11.7 | 12.6 | |
| Fenestration | E: WWR | 0.4 | 0.5 | 0.6 | 0.7 |
| F: SRR | 0.1 | 0.2 | 0.3 | 0.4 | |
| Opaque envelope | G: External walls’ U-value [W/(m2·K)] | 0.3 | 0.25 | 0.2 | 0.15 |
| H: Roofs’ U-value [W/(m2·K)] | 0.25 | 0.2 | 0.15 | 0.1 |
| Model | Structure | Input Value | |
|---|---|---|---|
| Enclosure parameters | Wall construction | Brick | 0.3, 0.25, 0.2, 0.15 W/(m2·K) |
| Roof construction | Concrete | 0.25, 0.2, 0.15, 0.1 W/(m2·K) | |
| Floor construction | Adiabatic floor | - | |
| Glazing | 5low-E + 12Air + 5 | U-value: 1.8 W/(m2·K), SHGC: 0.4, VT: 0.6 | |
| Skylight | 5low-E + 12Air + 5 | U-value: 1.8 W/(m2·K), SHGC: 0.4, VT:0.6 | |
| Indoor load parameters | People density | - | 0.3 ppl/m2 |
| Lighting density | - | 9 W/m2 | |
| HVAC | HVAC system | Ideal air loads system | - |
| Cooling set point | - | 28 °C | |
| Heating set point | - | 18 °C | |
| ACH | Air changes per hour | - | 4 times/h |
| Number | A | B | C | D | E | F | G | H |
|---|---|---|---|---|---|---|---|---|
| 1 | 0° | 0° | 2.0 | 9.9 | 0.4 | 0.1 | 0.2 | 0.2 |
| 2 | 0° | 0° | 1.65 | 10.8 | 0.7 | 0.4 | 0.4 | 0.3 |
| 3 | 0° | 3° | 1.39 | 12.6 | 0.4 | 0.2 | 0.4 | 0.35 |
| .............. | ||||||||
| 30 | 9° | 180° | 1.65 | 9.9 | 0.7 | 0.3 | 0.3 | 0.2 |
| 31 | 9° | 270° | 1.39 | 11.7 | 0.4 | 0.1 | 0.3 | 0.25 |
| 32 | 9° | 270° | 1.18 | 12.6 | 0.7 | 0.4 | 0.5 | 0.35 |
| Atrium Type | UDI100~2000 lux(%) | EUI (kWh/m2) |
|---|---|---|
| Four-directional (Type I) | ![]() 80.7 | ![]() 61.5 |
| Tri-directional (Type II) | ![]() 80.1 | ![]() 75.3 |
| Bi-directional (Type III) | ![]() 42.7 | ![]() 90.6 |
| Uni-directional (Type IV) | ![]() 33.9 | ![]() 90.3 |
| Atrium’s type | A | B | C | D | E | F | G | H |
|---|---|---|---|---|---|---|---|---|
| Type I | 0.69 | 0.51 | 0.29 | 1.44 | 0.22 | 22.96 | 0.39 | 4.52 |
| Type II | 0.59 | 6.05 | 4.63 | 4.73 | 9.58 | 19.32 | 3.13 | 6.46 |
| Type III | 6.3 | 7.89 | 4.4 | 13.27 | 21.75 | 14.52 | 5.63 | 4.01 |
| Type IV | 4.29 | 3.25 | 4.19 | 7.42 | 27.32 | 11.63 | 3.88 | 3.86 |
| Atrium Design Factor | F | p | Atrium Design Factor | F | p | ||
|---|---|---|---|---|---|---|---|
| Type I | A. Skylight angle | 0.27 | 0.845 | Type III | A. Skylight angle | 12.608 | 0.003 ** |
| B. Orientation | 0.167 | 0.915 | B. Orientation | 20.738 | 0.001 ** | ||
| C. Plane aspect ratio | 0.055 | 0.982 | C. Plane aspect ratio | 5.446 | 0.030 * | ||
| D. Height | 1.331 | 0.339 | D. Height | 56.213 | 0.000 ** | ||
| E. WWR | 0.029 | 0.993 | E. WWR | 158.408 | 0.000 ** | ||
| F. SRR | 327.375 | 0.000 ** | F. SRR | 72.445 | 0.000 ** | ||
| G. External walls’ U-value | 0.138 | 0.934 | G. External walls’ U-value | 9.295 | 0.008 ** | ||
| H. Roofs’ U-value | 12.35 | 0.003 ** | H. Roofs’ U-value | 7.81 | 0.012 * | ||
| Type II | A. Skylight angle | 0.143 | 0.931 | Type IV | A. Skylight angle | 3.453 | 0.08 |
| B. Orientation | 15.677 | 0.002 ** | B. Orientation | 1.54 | 0.287 | ||
| C. Plane aspect ratio | 10.756 | 0.005 ** | C. Plane aspect ratio | 3.078 | 0.1 | ||
| D. Height | 13.799 | 0.003 ** | D. Height | 8.997 | 0.008 ** | ||
| E. WWR | 42.09 | 0.000 ** | E. WWR | 115.591 | 0.000 ** | ||
| F. SRR | 178.277 | 0.000 ** | F. SRR | 24.238 | 0.000 ** | ||
| G. External walls’ U-value | 4.252 | 0.052 | G. External walls’ U-value | 2.507 | 0.143 | ||
| H. Roofs’ U-value | 19.911 | 0.001 ** | H. Roofs’ U-value | 2.42 | 0.151 |
| Atrium’s Type | Design Factor Ranking | A | B | C | D | E | F | G | H |
|---|---|---|---|---|---|---|---|---|---|
| Type I | F > H > D > A > G > C > B > E | √ | √ | √ | √ | × | √ | × | × |
| Type II | F > E > H > B > D > C > G > A | × | √ | √ | √ | √ | √ | × | × |
| Type III | E > F > D > B > A > G > C > H | √ | √ | √ | √ | √ | √ | × | × |
| Type IV | E > F > D > A > C > G > H > B | √ | × | √ | √ | √ | √ | × | × |
| Atrium Target Value | Min EUI | Max UDI | Pareto Set 1 | Pareto Set 2 | Pareto Set 3 |
|---|---|---|---|---|---|
| EUI (kWh/m2) | 49.5 | 68.4 | 55.2 | 55.6 | 56.4 |
| UDI100~2000 lux(%) | 29.6 | 89.6 | 82.6 | 84.5 | 85.2 |
| Solution Set | Min EUI | Max UDI | Pareto Set 1 | Pareto Set 2 | Pareto Set 3 |
|---|---|---|---|---|---|
| UDI Map | ![]() | ![]() | ![]() | ![]() | ![]() |
| Model | ![]() | ![]() | ![]() | ![]() | ![]() |
| Atrium Target Value | Min EUI | Max UDI | Pareto Set 1 | Pareto Set 2 | Pareto Set 3 |
|---|---|---|---|---|---|
| EUI (kWh/m2) | 57.7 | 71.3 | 62.5 | 63 | 64.5 |
| UDI100~2000 lux(%) | 82.9 | 92.9 | 90.5 | 90.2 | 90.1 |
| Solution Set | Min EUI | Max UDI | Pareto Set 1 | Pareto Set 2 | Pareto Set 3 |
|---|---|---|---|---|---|
| UDI Map | ![]() | ![]() | ![]() | ![]() | ![]() |
| Model | ![]() | ![]() | ![]() | ![]() | ![]() |
| Atrium Target Value. | Min EUI | Max UDI | Pareto Set 1 | Pareto Set 2 | Pareto Set 3 |
|---|---|---|---|---|---|
| EUI (kWh/m2) | 51.4 | 68.8 | 56.9 | 57.8 | 58.9 |
| UDI100~2000 lux (%) | 81.6 | 88.4 | 84.3 | 87.3 | 87.4 |
| Solution Set | Min EUI | Max UDI | Pareto Set 1 | Pareto Set 2 | Pareto Set 3 |
|---|---|---|---|---|---|
| UDI Map | ![]() | ![]() | ![]() | ![]() | ![]() |
| Model | ![]() | ![]() | ![]() | ![]() | ![]() |
| Atrium Target Value | Min EUI | Max UDI | Pareto Set 1 | Pareto Set 2 | Pareto Set 3 |
|---|---|---|---|---|---|
| EUI (kWh/m2) | 60.6 | 65.8 | 62.8 | 64 | 65 |
| UDI100~2000 lux (%) | 60.4 | 70.4 | 61.2 | 64.4 | 68 |
| Solution Set | Min EUI | Max UDI | Pareto Set 1 | Pareto Set 2 | Pareto Set 3 |
|---|---|---|---|---|---|
| UDI Map | ![]() | ![]() | ![]() | ![]() | ![]() |
| Model | ![]() | ![]() | ![]() | ![]() | ![]() |
Disclaimer/Publisher’s Note: The statements, opinions and data contained in all publications are solely those of the individual author(s) and contributor(s) and not of MDPI and/or the editor(s). MDPI and/or the editor(s) disclaim responsibility for any injury to people or property resulting from any ideas, methods, instructions or products referred to in the content. |
© 2023 by the authors. Licensee MDPI, Basel, Switzerland. This article is an open access article distributed under the terms and conditions of the Creative Commons Attribution (CC BY) license (https://creativecommons.org/licenses/by/4.0/).
Share and Cite
Chen, Z.; Cui, Y.; Zheng, H.; Wei, R.; Zhao, S. A Case Study on Multi-Objective Optimization Design of College Teaching Building Atrium in Cold Regions Based on Passive Concept. Buildings 2023, 13, 2391. https://doi.org/10.3390/buildings13092391
Chen Z, Cui Y, Zheng H, Wei R, Zhao S. A Case Study on Multi-Objective Optimization Design of College Teaching Building Atrium in Cold Regions Based on Passive Concept. Buildings. 2023; 13(9):2391. https://doi.org/10.3390/buildings13092391
Chicago/Turabian StyleChen, Zhengshu, Yanqiu Cui, Haichao Zheng, Ruihan Wei, and Shuo Zhao. 2023. "A Case Study on Multi-Objective Optimization Design of College Teaching Building Atrium in Cold Regions Based on Passive Concept" Buildings 13, no. 9: 2391. https://doi.org/10.3390/buildings13092391
APA StyleChen, Z., Cui, Y., Zheng, H., Wei, R., & Zhao, S. (2023). A Case Study on Multi-Objective Optimization Design of College Teaching Building Atrium in Cold Regions Based on Passive Concept. Buildings, 13(9), 2391. https://doi.org/10.3390/buildings13092391
















































