Abstract
A low stiffness makes long-span suspension bridges sensitive to loads, and this sensitivity is particularly significant for wind-induced nonlinear vibrations. In the present paper, nonlinear vibrations of suspension bridges under the combined effects of static and vortex-induced loads are explored using the nonlinear partial differential–integral equation that models the plane bending motion of suspension bridges. First, we discretized the differential–integral equation through the Galerkin method to obtain the nonlinear ordinary differential equation that describes the vortex-induced vibrations of the bridges at the first-order symmetric bending mode. Then, the approximate analytical solution of the ordinary differential equation was obtained using the multiple scales method. Finally, the analytical solution was applied to reveal the relationships between the vibration amplitude and other parameters, such as the static wind load, the frequency of dynamic load, structural stiffness, and damping. The results show that the static wind load slightly impacts the bridge’s vibrations if its influence on the natural frequency of bridges is ignored. However, the bridge’s vibrations are sensitive to the load frequency, structural stiffness, and damping. The vibration amplitude, as a result, may dramatically increase if the three parameters decrease.
1. Introduction
Suspension bridges are the preferred structure when people need to cross a wide river. However, characterizing the mechanical behaviors of long-span suspension bridges is challenging because they are usually strong nonlinear structures and can withstand complex loads [1,2,3]. Furthermore, the large span generally leads to the small structural stiffness of the bridges. This means that suspension bridges are sensitive to loads [2]. This sensibility is disadvantageous to the aeroelastic stability of the bridges [4,5]. To accurately acquire the dynamic behaviors of the bridges under complex loads, it is necessary to consider the nonlinearity caused by the finite structure deformation in the mathematical model [2,6]. The nonlinearity needs particular attention when wind arouses the bridge’s vibrations [4,5,6]. For example, the wind-induced collapse of the Tacoma Bridge still has some critical puzzles [7,8]. It is well known that the old Tacoma Bridge was destroyed in 1940 by torsional flutter induced by wind with a velocity of about [7]. In fact, the bridge underwent vibrations at with the fifth symmetrical bending mode under the wind velocity of . Next, the vibration mode suddenly switched to the first asymmetrical torsional mode with the frequency , and then the bridge was destroyed. The mechanism, which the bridge transformed from bending vibration to torsional vibration, still needs further study [9].
Existing studies have considered static and dynamic wind loads separately [10,11]. When the airflow bypasses the fixed beam of a bridge with a constant velocity and direction, this steady flow field imposes static pressure on the bridge, namely the static wind load [10]. The wind-induced dynamic effects on bridges are intricate. An outstanding characteristic of these dynamic effects is that suspension bridges absorb energy from the steady wind field, and the energy induces the bridges’ vibrations via the self-excitation characteristic, such as the vortex-induced vibrations and the flutter [11,12]. There are many studies on static or dynamic wind loads for suspension bridges. Nevertheless, most studies focus on linear problems [12,13,14,15]. For example, it was found in Ref. [14] that the frequencies of the fundamental symmetric and anti-symmetric modes are relatively independent of the girder stiffness. However, there is an interaction between the girder and the cable stiffness, and the effect on the fundamental frequencies appears to increase with the value of the cable stiffness.
The nonlinear problems of wind-induced vibrations are not considered profoundly because of their tremendous intricacy. The deformations of bridges under static wind loads are usually eliminated when the vibrations under the dynamic wind loads are studied in the existing literature [10]. This may imply that static wind loads have a slight effect on aerodynamic problems. However, evidence needs to be supplied for such treatments. Recently, the flutter of suspension bridges was studied with the mixed effects of static and dynamic wind loads [5,15]. There have been no detailed studies of the vortex-induced vibrations for bridges with static wind loads. Moreover, the deformations of the stay cables can significantly affect the nonlinear dynamic behaviors of suspension bridges if the stay cables have a slight stiffness [16,17]. Lateral pretension cables can improve the aerodynamic stability of small-stiffness suspension bridges [18]. The vibrations of suspension bridges on complex loads, such as wind and heavy vehicle loads, still need further research [19]. Recent studies suggested that the vortex-excited vibrations of cylinders are not fully understood. For example, the vortex-excited load in complex cross-sections contains some components with higher frequencies than the natural frequency of the structure [20]. Moreover, the vortex-induced vibrations can also be used to harvest wind energy [21]. A noteworthy example is the anomalous vibrations of the Humen Bridge in China. The bridge suffered sudden vertical vibrations in the afternoon on 5 May 2020. The vibrations calmed down after the removal of temporary water-filled barriers. However, in the following hours, secondary vertical vibrations appeared on the bridge girder with three vertical modes that involved fifth-, fourth-, and third-order vertical modes [22]. It is still an open question how the vibrations of the Humen Bridge were induced by wind with a low speed.
The present paper uses a plane bending motion equation [4] with a cubic nonlinear term to explore the influence of static wind loads on the vortex-induced vibrations of suspension bridges. Using the Galerkin method, we first discretized this nonlinear partial differential integral equation into a nonlinear ordinary differential equation that models the first-order symmetric bending vibration. Then, we obtained an approximate analytical solution of the ordinary differential equation using the multiple scales method. Finally, this analytical solution was applied to analyze the influence of static and dynamic wind loads and structural parameters on the vibration amplitude.
2. Description and Solution of The Model
In this section, a plane motion model of suspension bridges was considered, as shown in Figure 1. If the stay cables cannot stretch and slope, the vertical motions of suspension bridges can be described by a partial differential integral equation with a cubic nonlinear term as follows [4]:
Figure 1.
Schematic diagram of suspension bridges.
Here, is the span of the beam; is the vertical ( direction) displacement of the beam; the initial configuration of the main cables is with the initial sag ; is the mass of the unit length of the bridge; and and are the angles between the axis and the tangent of the main cable. The bending stiffness of the beam is ; here, and are the elasticity modulus and the moment of inertia of the beam. is the horizontal component of the tension force of the main cables. The tensile stiffness of the main cables is ; here, and are the elasticity modulus and the cross-sectional area of the two main cables, respectively. The wind-induced load is . The boundary conditions for Equation (1) are [4]
The lateral and torsional loads may be neglected if only the vertical bending vibrations are studied. So, we decomposed the wind loads into two parts, the static wind load independent of time and the vortex-excited load dependent on time, [5,6,10], as
and they were written as [5]
Here, is the static wind lift coefficient related to the attack angle of the wind ; is the aerodynamic parameter of the vortex-induced force; is the wind speed; and is the air density. is the beam’s width. Assumes ; then, the static wind load is written as . The lift coefficient is [5,6]
Assumes , and the direction is upward in the present research, so . The aerodynamic parameter about the vortex depends on the beam’s configuration and the attack angle of the wind, and one can obtain it through experiments and calculations of the fluid–structure interactions [11]. Here, we used a small value, . This can highlight the influence of the static wind load on the vibrations. So, we had and for . The frequency of the vortex-induced load is related to the geometry of the beam and the wind speed. Under the same wind speed, the amplitude and frequency of aerodynamic load are significantly different for different cross-section shapes of beams. A slight change in the shape can induce observably different vibrations in suspension bridges. In this paper, the load frequency was treated as a variable parameter to study its influence on the bridge’s vibrations.
For convenience, we normalized Equation (1) using
By substituting Equation (6) into Equation (1), and adding the structural damping term, , we obtained
where
The normalized boundary conditions are
Equation (7) is a nonlinear partial differential integral equation. One can solve this equation using the direct multiple scales method, but its process can be more complex [23,24,25]. We discretized Equation (7) into an ordinary differential equation using the Galerkin method and then used the multiple scales method [26,27] to solve the discretized equation. We assumed that the bending vibrations with the boundary conditions of Equation (9) are the sum of the three sine functions. So, the vibrations include two symmetrical bending modes and one antisymmetric bending mode. In most cases, the vibration frequency of the antisymmetric mode is the smallest in three frequencies. Nevertheless, symmetrical wind loads more easily induce symmetrical deformation. Therefore, we focused on the nonlinear behaviors of suspension bridges under symmetrically bending vibrations because the wind loads are symmetric. We supposed the solution of Equation (7) was
The details of Equation (10) and the parameter are shown in Appendix A.
We substituted Equation (10) into Equation (7), multiplied both sides by , and then integrated in the interval (the Galerkin method) to obtain
Here,
Equation (11) is a nonlinear equation with a constant term. A similar equation was also obtained in electrostatic microresonators [28]. Since the structure of suspension bridges is complex, it is not easy to accurately obtain their structural damping. Existing studies have shown that the modal damping ratio of suspension bridges is to for low-frequency vibrations [11,29,30,31]. In this paper, we took for the Runyang Bridge in China. For simplicity, we rescaled Equation (11) using , , and , so
Let us assume the solution of Equation (13) is [26]
We substituted Equation (14) into Equation (7) and noticed
where , has
According to the theory of differential equations, the solution of Equation (16) is [32]
Equation (19) shows that the static wind load produces a static deformation, . This deformation is inversely proportional to the linear stiffness of the bridge. This also means that the present research ignores the effect of the static wind load on the natural frequency of the bridges. Substituting Equation (19) into Equation (17) obtains
Here, denotes the complex conjugate of , and represents the complex conjugate of the preceding terms. We eliminated the secular term of Equation (20) [26], which has
namely,
Equation (22) indicates that the vibration amplitude, , will decay exponentially with the fast time if wind blows from below. Therefore, the static wind load has a damping effect on the fast time. Conversely, when wind blows from above, it causes the amplitude to diverge at the first-order perturbation. However, the motion does not grow without a bound. As the amplitude increases, the cubic nonlinear term suppresses the amplitude, as discussed below.
From the theory of ordinary differential equations, the special solution of Equation (20) is
Equation (23) implies that the quadratic nonlinearity induces a new vibration component with twice the natural frequency of the bridges. This high-frequency vibration is proportional to the square of the vibration amplitude with the natural frequency. Therefore, its amplitude is smaller than that with the natural frequency. Equation (23) also implies that the static wind load and the quadratic nonlinearity shift the vibration’s center from zero to . Namely, there is a drift in the amplitude [26].
By substituting Equations (14), (22) and (23) into Equation (18), we obtained
From Equation (24), one can find that unfolds the influence of Equation (22). Here, denotes the non-secular terms, and the solvable condition of Equation (24) is
Assumes
substitute Equation (26) into Equation (25), and separate the real and imaginary parts, to obtain
where . The second formula discovers that the effect of the static wind load coincides with the frequency of the dynamic load. The steady-state motion has [27]. So, the steady-state solutions can be determined using Equation (27) as follows:
Only stable steady-state solutions occur in the vibrations. The eigenvalues of the variational equations of Equation (27) can identify the stability of the solutions, and the details can be found in the literature [27]. Equation (28) shows the relationship between the vibration amplitudes, structural parameters, and wind loads. From Equations (14), (19), and (23), the second-order approximate solution is
Equation (29) implies that the static wind load and the square nonlinearity deviate the center of oscillation from zero to . Equation (29) also shows two periodic oscillations in the bridges. However, since the vibration amplitude with the frequency is smaller than that with the frequency , the high-frequency vibration is slight.
3. Results and Discussion
In this section, we used the Runyang Bridge to demonstrate the influence of wind loads and structural parameters on the nonlinear vortex-induced vibrations. Here, we also compared the Runyang Bridge’s vibrations with another bridge using the Runyang Bridge’s geometrical dimension, but only its eighty-percent mass, bending stiffness, and tensile stiffness. The Runyang Bridge is a typical long-span suspension bridge, and it has been widely studied [33,34]. Its structural and geometrical parameters come from Ref. [33], as shown in Table 1. According to Equations (8) and (12), the parameters in Equation (13) can be obtained, as shown in Table 2. One can find from Table 2 that the linear and nonlinear coefficients in the dimensionless mathematical model of the two bridges are identical if their stiffness and mass are proportional. Nevertheless, their loads are inversely proportional. In the present research, the dimensionless load of the small stiffness model increase by times. Using the data in Table 2 and Equation (28), the relationships between the vibration amplitudes and the other parameters were obtained for the two bridges, as shown in Figure 2, Figure 3, Figure 4, Figure 5, Figure 6, Figure 7, Figure 8, Figure 9 and Figure 10.
Table 1.
Geometric and mechanical parameters of the two bridges.
Table 2.
Parameters of Equation (13) for the two bridges using Table 1 with .
Figure 2.
Influence of the frequency on vibration amplitudes with static wind loads.
Figure 3.
Time traces of two different wind speeds.
Figure 4.
Influence of static wind load on the speed–amplitude curves.
Figure 5.
Influence of static wind load on the frequency–amplitude curves with .
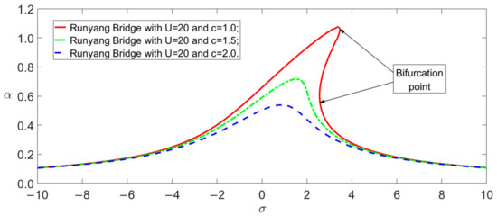
Figure 6.
Influence of damping on the frequency–amplitude curves with .
Figure 7.
Influence of damping on the speed–amplitude curves with and .
Figure 8.
Influence of structural stiffness on the speed–amplitude curves with and .
Figure 9.
Influence of structural stiffness on the frequency–amplitude curves with and .
Figure 10.
Time traces of two different structural stiffnesses with and .
Figure 2 shows the functions between the vibration amplitudes and the wind speeds for the three load frequencies. The solid lines in Figure 2 represent the stable solutions, and the dashed lines represent the unstable solutions. To verify the correctness of the analytical solution, we used the Runge–Kutta method to perform numerical simulations of Equation (11) with in Figure 2. Two of them are shown in Figure 3. The numerical simulations show that the analytical solution is reliable besides the vicinity of the bifurcation points. The bifurcation points of the amplitude correspond to the locations where the vibration amplitude may suddenly jump [26,27]. Figure 3 and Figure 4 also indicate that the small bifurcation points of the wind velocity correspond to the small vibration amplitudes after the jump. However, the jump may disappear when the load frequency is close to the bridge’s natural frequency, for example, .
Figure 4 shows the effect of static wind loads on the wind speed–amplitude curves. The upward static wind load reduces the bifurcation points of the wind speed, which produce the jump of the vibration amplitude. Nevertheless, this effect is slight even under a high wind speed, as shown in Figure 5 for . It should be noted that Figure 2 and Figure 4 also indicate the sensitivity of the vibration amplitude to the excited frequency. The present study ignores the influence of the static wind load on the natural frequency of the bridges. If this influence is considered, the static wind load may significantly impact the bridge’s vibrations. Clarifying the effects of the wind loads on the vibration frequency is a complicated problem, and we will consider this problem in another article.
Determining the structural damping of suspension bridges is complex and challenging. So, we used the frequency–amplitude curves and the wind speed–amplitude curves with different damping parameters to illustrate the effects of the structural damping, as shown in Figure 6 and Figure 7 obtained using Equation (28). These two figures show that the vibrations of the bridges have a sensitive dependence on damping. Under the same wind speed, the vibration amplitude with a smaller damping is greater than that with a bigger damping. Furthermore, the amplitude jump phenomenon will occur if the damping is less than the threshold, as shown in Figure 6. For the same load frequency, the critical wind speed of the jump will decrease with the damping, as shown in Figure 7.
The large span of suspension bridges is a significant advantage, but the low stiffness induced by the large span is a primary source of the aerodynamic instability [6,11]. Therefore, we compared the Runyang Bridge with a small stiffness bridge to reveal the influence of stiffness on the vibration amplitudes. The comparative bridge has eighty percent of the mass and the structural stiffness of the Runyang Bridge. Using the data in Table 2 and Equation (28), we obtained the two bridges’ wind speed–amplitude and frequency–amplitude curves at , as shown in Figure 8 and Figure 9. The two figures show that although the stiffness parameters ( and ) are reduced by only 20%, their effect on the vibration amplitudes is conspicuous. In particular, there is a more remarkable distinction at the bifurcation points that produce the jump of the vibration amplitude. For example, the amplitude with the small stiffness is about three times that of the Runyang Bridge for and , as shown in Figure 9 and Figure 10.
Based on the perturbation analytical solution, Equation (29), one can find that the suspension bridge’s damping and structural stiffness are the key factors impacting nonlinear vibrations. Recently, using the partial differential equation theory with the unilateral constraints of stay cables, researchers have found that the relaxation of the stay cables may lead to a catastrophic deformation of suspension bridges. This theory indicates that the wind-induced slack of the stay cables may destroy the Tacoma Bridge [35,36]. The stay cables have the pretension, and their slack must meet certain conditions. This problem still needs further research.
From the above discussion, it can be seen that suspension bridges’ vibrations are sensitive to structural damping, stiffness, and load frequency because the nonlinearity of the structure appears. The nonlinearity may cause a sudden change in the vibration amplitude of suspension bridges with a slight perturbation of the structural or wind parameters. Therefore, in order to accurately understand the wind-induced vibrations of suspension bridges, the nonlinearity caused by the finite deformations of the bridges needs to be considered.
4. Conclusions
In this paper, the nonlinear partial differential integral equation, which models the plane bending motion of suspension bridges, was discretized as a nonlinear ordinary differential equation using the Galerkin method. Then, we applied the ordinary differential equation to demonstrate the suspension bridge’s first-order symmetric bending vibration with static wind loads and vortex-excited loads. The approximate analytical solution of the ordinary differential equation was obtained using the multiple scales method, and the following results were found through the analytical solution:
- (1)
- The influence of the static wind loads on the vibration amplitude is slight if its effect on the natural frequency is ignored.
- (2)
- The vibrations of suspension bridges are sensitive to the load frequency. Therefore, slightly disturbing the frequency can significantly change the vibration amplitudes under the same wind speed.
- (3)
- The vibrations of suspension bridges are sensitive to structural damping. The vibration amplitude will increase as the structural damping decreases. The wind speed bifurcation points inducing the jump of the vibration amplitude will decrease as the damping diminishes.
- (4)
- The vibrations of suspension bridges have significant sensitivity to structural stiffness. Under identical geometric dimensions, the bifurcation points of the wind speed with a slight stiffness are lower than those with a larger stiffness.
Author Contributions
Conceptualization, K.H.; methodology, K.H.; software, J.Y. and T.L.; validation, J.Y. and K.H.; formal analysis, J.Y. and T.L.; investigation, J.Y.; resources, K.H.; data curation, K.H. and T.L.; writing—original draft preparation, J.Y. and T.L.; writing—review and editing, K.H.; visualization, J.Y.; supervision, K.H.; project administration, K.H.; funding acquisition, K.H. All authors have read and agreed to the published version of the manuscript.
Funding
This work was supported by the National Natural Science Foundation of China (grant no. 12050001).
Data Availability Statement
No new data were created.
Conflicts of Interest
The authors declare no conflict of interest.
Appendix A
We omitted the loads and the structural damping, and then linearized Equation (7) as
Under the boundary conditions, Equation (9), the solution of the linear equation is
Modes of a linear equation can be accurately obtained by solving the boundary value problem [13,37]. However, these accurate modes are extremely complex. If the sine functions replace the precise free vibration modes of suspension bridges, one can also obtain high-precision results [4,15,38,39]. Therefore, we assumed , and then used the Galerkin method to truncate the first three terms to obtain
where
The elements in the matrix are as follows:
Then, the frequencies of the free vibrations of the first three modes were obtained using the algebraic equation, ; here, is an identity matrix. So, we obtained
According to Equation (A6), the frequency of the antisymmetric mode is , and the frequencies of the two symmetric modes are
Using the data in Table 1 and Equation (A7) and considering the real vibration frequency , we obtained the first three frequencies of the Runyang Bridge as . The values of the finite element calculations are [33] . The above results show that from the finite element calculations is evidently smaller than the theoretical calculations. This issue may require further research [14]. Using the algebraic equation, , we obtained the eigenvectors’ corresponding symmetric modes as
Therefore, the first three truncated modes are
References
- Gazzola, F. Mathematical Models for Suspension Bridges; Springer: Cham, Switzerland, 2015; pp. 43–99. [Google Scholar]
- Timoshenko, S.P.; Young, D.H. Theory of Structures; McGraw-Hill: New York, NY, USA, 1965; pp. 523–561. [Google Scholar]
- Farsani, H.Y.; Valentine, D.T.; Arena, A.; Lacarbonara, W.; Marzocca, P. Indicial functions in the aeroelasticity of bridge decks. J. Fluids Struct. 2014, 48, 203–215. [Google Scholar] [CrossRef]
- Lacarbonara, W. Nonlinear Structural Mechanics: Theory, Dynamical Phenomena and Modeling; Springer: New York, NY, USA, 2012; pp. 665–671. [Google Scholar]
- Arena, A.; Lacarbonara, W.; Valentine, D.T.; Marzocca, P. Aeroelastic behavior of long-span suspension bridges under arbitrary wind profiles. J. Fluids Struct. 2014, 50, 105–119. [Google Scholar] [CrossRef]
- Jurado, J.A.; Albarracín, J.Á.J. Bridge Aeroelasticity: Sensitivity Analysis and Optimal Design; WIT Press: Boston, MA, USA, 2011. [Google Scholar]
- Matsumoto, M.; Shirato, H.; Yagi, T.; Shijo, R.; Eguchi, A.; Tamaki, H. Effects of aerodynamic interferences between heaving and torsional vibration of bridge decks: The case of Tacoma Narrows Bridge. J. Wind. Eng. Ind. Aerodyn. 2003, 91, 1547–1557. [Google Scholar] [CrossRef]
- Abbas, T.; Kavrakov, I.; Morgenthal, G. Methods for flutter stability analysis of long-span bridges: A review. In Proceedings of the Institution of Civil Engineers-Bridge Engineering; Thomas Telford Ltd.: London, UK, 2017; Volume 170, pp. 271–310. [Google Scholar]
- Farquharson, F.B. Aerodynamic Stability of Suspension Bridges; University of Washington: Washington, DC, USA, 1949; Part I–IV. [Google Scholar]
- Chen, X.; Kareem, A. Advances in modeling of aerodynamic forces on bridge decks. J. Eng. Mech. 2002, 128, 1193–1205. [Google Scholar] [CrossRef]
- Blevins, R.D. Flow-Induced Vibration; Krieger Publishing Company: Malabar, FL, USA, 1990; pp. 43–138. [Google Scholar]
- Païdoussis, M.P.; Price, S.J.; De Langre, E. Fluid-Structure Interactions: Cross-Flow-Induced Instabilities; Cambridge University Press: Cambridge, UK, 2010; pp. 30–43. [Google Scholar]
- Di Nino, S.; Luongo, A. Nonlinear aeroelastic in-plane behavior of suspension bridges under steady wind flow. Appl. Sci. 2020, 10, 1689. [Google Scholar] [CrossRef]
- Luco, J.E.; Turmo, J. Linear vertical vibrations of suspension bridges: A review of continuum models and some new results. Soil Dyn. Earthq. Eng. 2010, 30, 769–781. [Google Scholar] [CrossRef]
- Çevik, M.; Pakdemirli, M. Non-linear vibrations of suspension bridges with external excitation. Int. J. Non-Linear Mech. 2005, 40, 901–923. [Google Scholar] [CrossRef]
- Huang, K.; Feng, Q.; Yin, Y. Nonlinear vibration of the coupled structure of suspended-cable-stayed beam—1: 2 internal resonance. Acta Mech Solida Sin. 2014, 27, 467–476. [Google Scholar] [CrossRef]
- Huang, K.; Feng, Q.; Qu, B. Bending aeroelastic instability of the structure of suspended cable-stayed beam. Nonlinear Dyn. 2017, 87, 2765–2778. [Google Scholar] [CrossRef]
- Guan, Q.; Liu, L.; Gao, H.; Wang, Y.; Li, J. Research on Soft Flutter of 420m-Span Pedestrian Suspension Bridge and Its Aerodynamic Measures. Buildings 2022, 12, 1173. [Google Scholar] [CrossRef]
- Wang, S.; Wan, X.; Guo, M.; Qiao, H.; Zhang, N.; Ye, Q. Nonlinear Dynamic Analysis of the Wind–Train–Bridge System of a Long-Span Railway Suspension Truss Bridge. Buildings 2023, 13, 277. [Google Scholar] [CrossRef]
- Yang, F.; Zheng, S.; Zhou, Q.; Yan, Z.; Ding, Z.; Tai, X. Vortex-excited force evolutionary characteristics of split three-box girder bridges during vortex-induced vibration. J. Wind. Eng. Ind. Aerodyn. 2021, 218, 104762. [Google Scholar] [CrossRef]
- Dai, H.L.; Abdelkefi, A.; Wang, L. Theoretical modeling and nonlinear analysis of piezoelectric energy harvesting from vortex-induced vibrations. J. Intel. Mat. Syst. Str. 2014, 25, 1861–1874. [Google Scholar] [CrossRef]
- Ge, Y.; Zhao, L.; Cao, J. Case study of vortex-induced vibration and mitigation mechanism for a long-span suspension bridge. J. Wind. Eng. Ind. Aerodyn. 2022, 220, 104866. [Google Scholar] [CrossRef]
- Nayfeh, A.H.; Arafat, H.N.; Chin, C.M.; Lacarbonara, W. Multimode interactions in suspended cables. J. Vib. Control. 2002, 8, 337–387. [Google Scholar] [CrossRef]
- Luongo, A.; Zulli, D. Nonlinear energy sink to control elastic strings: The internal resonance case. Nonlinear Dyn. 2015, 81, 425–435. [Google Scholar] [CrossRef]
- Lacarbonara, W. Direct treatment and discretizations of non-linear spatially continuous systems. J. Sound Vib. 1999, 221, 849–866. [Google Scholar] [CrossRef]
- Nayfeh, A.H.; Balachandran, B. Applied Nonlinear Dynamics: Analytical, Computational, and Experimental Methods; John Wiley & Sons: New York, NY, USA, 2008. [Google Scholar]
- Nayfeh, A.H.; Mook, D.T. Nonlinear Oscillations; John Wiley & Sons: New York, NY, USA, 2008. [Google Scholar]
- Meng, D.; Huang, K.; Xu, W. Impacts of Small-Scale Effect and Nonlinear Damping on the Nonlinear Vibrations of Electrostatic Microresonators. Micromachines 2023, 14, 170. [Google Scholar] [CrossRef]
- Malekghaini, N.; Ghahari, F.; Ebrahimian, H.; Bowers, M.; Ahlberg, E.; Taciroglu, E. A Two-Step FE Model Updating Approach for System and Damage Identification of Prestressed Bridge Girders. Buildings 2023, 13, 420. [Google Scholar] [CrossRef]
- Abedin, M.; Basalo, F.J.D.C.Y.; Kiani, N.; Mehrabi, A.B.; Nanni, A. Bridge load testing and damage evaluation using model updating method. Eng. Struct. 2022, 252, 113648. [Google Scholar] [CrossRef]
- Brownjohn, J.M.W. Estimation of damping in suspension bridges. Proc. Inst. Civ. Eng.-Struct. Build. 1994, 104, 401–415. [Google Scholar] [CrossRef]
- Walter, W. Ordinary Differential Equations; Springer: New York, NY, USA, 2013; pp. 125–131. [Google Scholar]
- Zhang, X.; Xiang, H.; Sun, B. Nonlinear aerostatic and aerodynamic analysis of long-span suspension bridges considering wind-structure interactions. J. Wind. Eng. Ind. Aerodyn. 2002, 90, 1065–1080. [Google Scholar] [CrossRef]
- Zhang, X.; Sun, B. Parametric study on the aerodynamic stability of a long-span suspension bridge. J. Wind. Eng. Ind. Aerodyn. 2004, 92, 431–439. [Google Scholar] [CrossRef]
- Lazer, A.C.; McKenna, P.J. Large-amplitude periodic oscillations in suspension bridges: Some new connections with nonlinear analysis. Siam Rev. 1990, 32, 537–578. [Google Scholar] [CrossRef]
- Rega, G.; Settimi, V.; Lenci, S. Chaos in one-dimensional structural mechanics. Nonlinear Dyn. 2020, 102, 785–834. [Google Scholar] [CrossRef]
- Rega, G. Nonlinear vibrations of suspended cables—Part I: Modeling and analysis. Appl. Mech. Rev. 2004, 57, 443–478. [Google Scholar] [CrossRef]
- Cheng, S.H.; Lau, D.T. Modeling of cable vibration effects of cable-stayed bridges. Earthq. Eng. Eng. Vib. 2002, 1, 74–85. [Google Scholar] [CrossRef]
- de Freitas, M.S.T.; Viana, R.L.; Grebogi, C. Basins of attraction of periodic oscillations in suspension bridges. Nonlinear Dyn. 2004, 37, 207–226. [Google Scholar] [CrossRef]
Disclaimer/Publisher’s Note: The statements, opinions and data contained in all publications are solely those of the individual author(s) and contributor(s) and not of MDPI and/or the editor(s). MDPI and/or the editor(s) disclaim responsibility for any injury to people or property resulting from any ideas, methods, instructions or products referred to in the content. |
© 2023 by the authors. Licensee MDPI, Basel, Switzerland. This article is an open access article distributed under the terms and conditions of the Creative Commons Attribution (CC BY) license (https://creativecommons.org/licenses/by/4.0/).









