Next Article in Journal
Finite Element Analysis Using the Crack Strain Separation Model for Reinforced Concrete Membrane
Previous Article in Journal
Study on the Dynamic Response of the Component Failure of Drum-Shaped Honeycomb-Type III Cable Dome with Quad-Strut Layout
 
 
Font Type:
Arial Georgia Verdana
Font Size:
Aa Aa Aa
Line Spacing:
Column Width:
Background:
Article

Fuzzy Inference System (FIS) Model for the Seismic Parameters of Code-Based Earthquake Response Spectra

Department of Civil Engineering, School of Engineering and Natural Sciences, Istanbul Medipol University, Istanbul 34810, Türkiye
Buildings 2023, 13(8), 1895; https://doi.org/10.3390/buildings13081895
Submission received: 17 May 2023 / Revised: 21 June 2023 / Accepted: 27 June 2023 / Published: 26 July 2023
(This article belongs to the Section Building Structures)

Abstract

The response spectra defined in seismic design codes include crisp classifications of seismic parameters, which directly affect the spectra’s shape and greatly alter seismic design loads. The optimum design phase seismic forces have an important role in the efficiency of the construction costs and structural safety. Various parameters are used to calculate the seismic design forces, especially presented in the codes with earthquake design spectra. This study presents a rule-based fuzzy inference model with fuzzy sets to determine these parameters using fuzzy inference system (FIS) modelling, which is the most appropriate approach among the different alternatives because both the input and output variables have numerical and linguistic uncertainties in the earthquake problem. Using the seismic zone factor of the region and shear wave velocity of the soil profile as inputs, the model generates the seismic coefficients and peak ground acceleration values of the response spectra specified in the Uniform Building Code (UBC, 1997). The response spectra in this code can be easily generated with these seismic coefficients after their fuzzification. Response spectra of twenty-five different sample cases with and without the FIS model are generated, which provide comparisons for the model superiority assessment. Significant differences are observed between the crisp logic and the FIS model-generated spectra. It is suggested that the FIS model can be modified and applied to various parameters to generate response spectra in different seismic design codes.

1. Introduction

In the seismic design and assessment of structures, response spectra in seismic design codes and code-based provisions are generally used to apply seismic loads during structural analysis [1,2]. Input parameter factors for generating the response spectra are commonly based on soil profiles, seismic zones, seismic coefficients, and site classes, as if they do not include uncertainty components. In the literature, codes overwhelmingly present crisp logic parameter classifications, and thus the fuzzification for uncertainty components remains a potential question for the abovementioned factors like structural safety and construction costs [3,4,5]. The results of several cases, including crisp model values and fuzzy inference system (FIS) products, should be evaluated to compare the change in the response spectra shape for the seismic design loads.
Although there are other fuzzy logic-based methodologies such as hybrid fuzzy, adaptive neuro-fuzzy inference system (ANFIS), fuzzy cognitive mapping (FCM), and fuzzy decision tree (FDT), they are more efficient for clustering multiple data. For example, fuzzy cognitive maps (FCM) and neuro-fuzzy inference systems (NFIS) are used for clustering purposes [6]. In addition, for clustering purposes, K-nearest neighbors and especially fuzzy c-means models play major roles [7]. On the other hand, ANFIS is used by different authors in its hybrid and backpropagation mechanisms for various engineering and medicine examples [8,9]. The fuzzy cognitive maps (FCMs) method is also an efficient decision-making procedure in data management [10,11]. The fuzzy uncertainty digestion procedure for the earthquake spectrum data modelling of input and output variables is adopted in this paper according to the Mamdani FIS [8].
Some earlier studies include fuzzy logic principles and solutions for verbal uncertainties, complexities, complications, and vagueness [12,13,14,15,16,17]. Şen [18] thoroughly described the details and framework of these principles.
In some studies, fuzzy logic principles are modelled with FIS to identify the seismic effects and/or response spectra on earthquakes. For example, Mellal [19] presented a method combining the fuzzy set theory and a nonlinear numerical model. Wadia-Fascetti and Gunes [20] used statistical models to incorporate fuzzy logic for the response spectra generation. Ansari and Noorzad [21] proposed a method to calculate fuzzy response spectra of seismic activity in lowlands. Marano et al. [22] used the fuzzy random theory and fuzzy probabilistic approach to define a ground motion model for a fuzzy-type classical stochastic response spectrum evaluation. Şen [23] focused on FIS modelling in the seismic hazard evaluation of existing buildings by quick visual methods. In the study, inputs and outputs of the model are fuzzified considering expert views and fuzzy rules to connect input variables to output. Furthermore, Şen [24] also presented another FIS model for the earthquake hazard assessment in the upcoming years. On the other hand, Ozkul et al. [25] presented a fuzzy degrading model used in dynamic analyses for the inelastic displacement ratios of reinforced concrete structures. The fuzzy logic approach presented in their work helped to designate the most appropriate classical method to find the inelastic displacement ratios of degrading systems. Al-Fahdawi and Barroso [26] presented adaptive neuro-fuzzy and simple adaptive control methods on three-dimensional coupled buildings under bi-directional seismic excitations. Ghani et al. [27] explored the earthquake-induced liquefaction behavior of fine-grained soils with artificial intelligence-based hybridized modelling using the adaptive neuro-fuzzy inference system. Mehrabi et al. [28] used intelligent fuzzy-based hybrid metaheuristic techniques to predict the seismic response of fiber-reinforced concrete columns. Tombari and Stefanini [29] addressed a hybrid fuzzy-stochastic one-dimensional site response analysis approach considering probability models for the seismic input and fuzzy intervals for the soil uncertainties. Using fuzzy theory, Guo et al. [30] assessed the seismic vulnerability of reinforced concrete structures by global vulnerability curves. Liu et al. [31] investigated the earthquake damages in the 2015 Nepal earthquake and provided seismic measures for post-earthquake reconstruction of damaged buildings. Compared to crisp logic methodologies, fuzzy logic-based methods have the advantage of appreciating logical relationships between input and output variables. Additionally, these approaches help reduce numerical and lexical uncertainties through the training and testing stages, leading to more reliable verification and validation results. Among the limitations of adaptive neuro-fuzzy inference systems is their partial black-box behavior concerning the internal generation mechanism of the system.
Nahhas [32] conducted a study for generating code-compliant seismic response spectra using a fuzzy model. He implemented fuzzy logic-based software to generate Uniform Building Code (UBC, 1997) spectra [33]. There is no study in the literature on acquiring these seismic parameters by fuzzy logic assessment for the response spectra.
The main purpose of this paper is to develop an efficient version of the classical FIS model for input parameters of soil profiles, seismic zones, seismic coefficients, and site classes. Many buildings around the globe are designed according to the UBC (1997), which is still in use in various developing countries. In this paper, this design code’s seismic spectra coefficients are modelled with the proposed FIS, making it possible to express the vagueness of the seismic coefficients. It is hoped that the method presented in this paper can be modified and applied to the other seismic codes’ response spectra generation procedures for better accuracy and precision.

2. Code Overview

In many countries around the world, especially in developing nations, the Uniform Building Code (UBC, 1997) or a seismic code based on UBC (1997) is often used for the seismic design of multi-story buildings. Numerous buildings have been constructed worldwide utilizing the UBC (1997) provisions [33]. The following sub-section briefly presents the seismic provisions of UBC (1997).

2.1. Design Response Spectra

The design response spectra (Figure 1) presented in UBC (1997) mainly depends on two seismic coefficients, Ca and Cv. A function of the Ca coefficient defines the constant acceleration region on the spectrum, and a function of Cv defines the constant velocity region. The control periods (T0 and TS) forming the constant acceleration region limits are also defined by functions of both Ca and Cv coefficients. The soil profile types and seismic zone factors are used in the determination of these seismic coefficients. Near-source factors are also applied as multipliers in calculating these seismic coefficients, and these factors are based on the nearest distance to known active faults, namely seismic sources.

2.2. Seismic Coefficients

The seismic coefficients presented in the code (Ca and Cv) are found according to Table 1 and Table 2 classifications. In seismic zone 4 regions, near-source factors (Na and Nv) are applied to the Ca and Cv values as multipliers given in these tables. Near-source factors depend on the closest distance to known seismic sources and the type of seismic source (see Table 3 and Table 4). The location and type of these sources can be established upon approved geotechnical or national survey data, such as the hazard map prepared by the United States Geological Survey [34]. The descriptions related to seismic source types are given in Table 5. In this study, the FIS modelling does not consider the near-source effects, and Na and Nv multipliers are assumed to be “1.0”.

2.3. Seismic Zones

UBC (1997) defines five different seismic zones as 1, 2A, 2B, 3, and 4, and a seismic zone factor is attached to each zone. Figure 2 provides a seismic zone map of the United States as the code. In this map, the strict boundaries of the zones appear according to the crisp logic classification of zone factors. However, logically there should be a fuzzy transition between the two neighboring zones. These properties directly affect the calculation of Ca and Cv values and, accordingly, the formation of design spectra. The seismic zones and corresponding zone factors are given in Table 6.

2.4. Soil Profiles

Six different soil profile types are defined in UBC (1997), and the classification is based on the average shear wave velocity (VS) of the top soil profile 30 m (100 feet) from the surface. The soil profile types are classified as SA, SB, SC, SD, SE, and SF, with generic linguistic descriptions such as “hard rock”, “rock”, “very dense soil and soft rock”, “stiff soil”, and “soft soil”. SF corresponds to soils that are susceptible to ground failure during earthquakes. Thus, site-specific geotechnical investigations are necessary to specify and categorize the seismic properties of SF soil type. Even though the soil profile types are mainly connected with average shear wave velocities, corresponding standard penetration test (SPT) results and undrained shear strength values are also given in the same chart for soil type designation. The soil profile types and corresponding shear wave velocity, SPT test, and undrained shear strength values are given in Table 7.

3. Fuzzy Inference System (FIS) Model

The fundamentals of the proposed FIS, as explained in the previous sections, are adapted in this section for the form of FIS as proposed in this paper for inference and interpretation of the design response spectra seismic coefficients. The approach in this study considers expert view combinations of input variables’ fuzzy sets in the form of fuzzy rule base propositions in the antecedence parts. Each rule antecedent part relates the fuzzy input sets to the seismic coefficient outputs as the consequent (estimation) part. Throughout the study, the Mamdani FIS method is modelled by the MATLAB fuzzy logic controller tool software due to its precision and practicality [15,16,36]. Herein, there are two input parameters, and the model outputs are the seismic coefficients, Ca or Cv. The input variables are the seismic zone factor (Z) of the region and the shear wave velocity of the soil (VS). These variables are fuzzified according to a rule base, and after applying the model’s generation mechanism, the results are defuzzified to obtain seismic coefficient crisp estimations. Figure 3 shows the overall structure of the model for seismic coefficients (Ca or Cv). The output MFs and rule bases are different, as will be explained in subsequent sub-sections.

3.1. Membership Functions (MFs)

Triangular and trapezium MFs are considered for each input and output variable for the fuzzification procedure. The fuzzy sets are used in the fuzzification of input variables as MFs given by Nahhas [32]. The soil profile types are fuzzified by considering the shear wave velocity values given in the code. The transition between peak shear wave velocity values is achieved by triangular-shaped fuzzy sets. The shear wave velocity (VS) MFs are given in Figure 4 as “Soft soil”, “Stiff soil”, “Soft rock”, “Rock”, and “Hard rock”.
Likewise, the seismic zone factor, Z, is fuzzified by considering the seismic zone factor values given in the code. The transition between peak seismic zone factor values is also achieved by triangular fuzzy sets. The seismic zones’ MFs as “Zone 1”, “Zone 2A”, “Zone 2B”, “Zone 3”, and “Zone 4” are shown in Figure 5.
Output membership functions are attached according to the recommendations by Ross [8] with the author’s and some more experienced colleague experts’ views. Each seismic coefficient (Ca or Cv) is categorized individually into five mutually inclusive classes in terms of fuzzy sets as “Very Low”, “Low”, “Medium”, “High”, and “Very High”. The MFs of these outputs are presented in Figure 6 and Figure 7, respectively.
It is to be noted that in all the input and output fuzzifications (Figure 4, Figure 5, Figure 6 and Figure 7), initial and final sets are in the form of trapezium MFs, and in between, there are three triangular MFs.

3.2. Fuzzy Rule Base (FRB) and FIS

Since there are five MFs in each input variable, the number of rules in the fuzzy rule base (FRB) equals 5 × 5 = 25 for the logical system combination of each MF in the two input variables (see Figure 4 and Figure 5). The general structure of each rule is in the form of the following:
“IF soil profile MF AND seismic zone MF THEN Ca or Cv MF.”
In the antecedent part of this statement, that is, between IF and THEN, all input MF combinations are combined by AND logical conjunction. Each of the fuzzy rules is combined by OR logical conjunction. In light of the above explanations, the proposed FIS model FRBs are given in Table 8 based on expert views. Each rule implies a logically valid relation between input and output fuzzy MFs.
According to fuzzy set operations, “MIN” inference is represented with the “AND” operator for logically combining input sets to obtain output results. The aggregation process is achieved by the “MAX” operator corresponding to the “OR” operation to combine the fuzzy output sets. When the output is achieved in terms of categories previously defined, such as “Very Low”, “Medium”, or “Very High”, a crisp value of the seismic coefficient can be obtained to form the response spectra. For this aim, the output is transformed into a crisp value by defuzzification, in which the “CENTROID” method is used [8]. The crisp output value is calculated by considering the centroid of the consequent output fuzzy set. The surface graphs of the FIS controller’s three-dimensional appearances are presented in Figure 8 for both seismic coefficients, Ca and Cv.

4. Applications

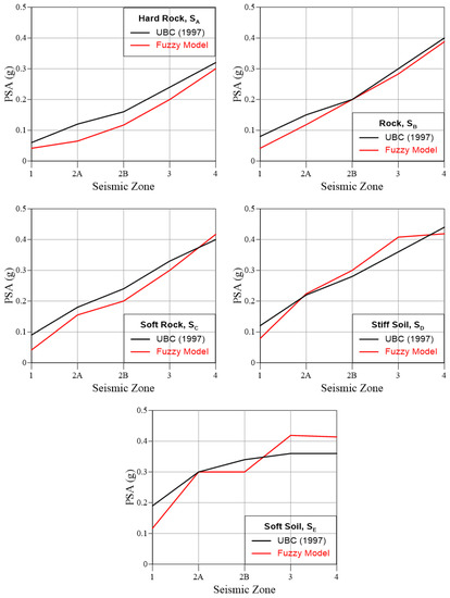
This paper proposed another version of the well-known fuzzy inference system (FIS) approach application to seismic design code response spectra. For the application of the suggested methodology, twenty-five case scenarios are generated to compare the difference between the design response spectra by the crisp seismic coefficients given in the code and the FIS model. The numerical values of shear wave velocity (VS) and seismic zone factor (Z) are calculated corresponding to Ca and Cv coefficients according to the Uniform Building Form (UBC, 1997) provisions, which were previously described in Section 2. The design response spectra are formed using these crisp values. The FIS model is applied using the same VS and Z values as inputs for each case, and fuzzy Ca and Cv (Ca′ and Cv′) coefficients are found. Various soil profile types and seismic zone combinations are considered for the calculations. Near-source factors (Na and Nv) are not fuzzified and are taken as “1.0” because they depend on the closest known distance to seismic sources and the type of seismic source, which are well-known numerical values. The results of these example cases are given in Table 9, Figure 9 and Figure 10, respectively. The variation of peak spectral acceleration (PSA) values is also compared based on shear wave velocities, soil profile types, and seismic zones in Figure 11 and Figure 12. PSA corresponds to the Ca coefficient.
When the FIS model seismic coefficients were used to form response spectra, the magnitude of spectral accelerations and the spectra’s shape changed in most cases. In some cases, the response spectra formed using crisp values in UBC (1997) have more conservative spectral acceleration values than those formed by the fuzzy inference model. The difference minimizes in the higher period values. The spectra functions obtained with FIS are lower in relatively weak ground motions (lower seismic zones). On the other hand, there is a tendency for the plateau region (constant acceleration region) and lower arm (constant velocity and displacement regions) of the spectrum curve to be longer, especially on “stiff soils”, which shows that some structures designed according to UBC (1997), especially in “VS = 1550 m/s” soils and “Zone 1”, may be exposed to higher ground accelerations.
As the seismic zone type increases, it is seen that the FIS model-based spectra become closer to the UBC (1997) spectra, and the spectral accelerations exceed those of the UBC (1997) spectra, especially in “soft soils” that are quite compatible with seismic wave propagation in “soft soils”, considering the highly nonlinear behavior of “soft soils” and the fact that seismic waves are more prone to amplification in these soils [37,38,39,40,41]. When the shorter period regions of spectra before the first control period (T0) are compared, the spectral acceleration values of FIS model-based spectra are higher than those of the UBC (1997) spectra in higher seismic zones. This outcome highlights a critical issue that should be emphasized, especially for the structural safety of relatively rigid reinforced concrete structures with low periods, such as industrial and nuclear facility structures. When the peak spectral acceleration (PSA) values are compared for each case, the differences between the crisp method and FIS model values have variations, including a case practically with no difference. In the lower seismic zones (Zone-1 and 2A), the PSA values of UBC (1997) are lower than FIS model-based PSA values. The difference increases with increasing shear wave velocity, especially in Zone-2A. In the other seismic zones (Zone 2B, 3, and 4), the FIS model PSA values exceed the UBC (1997) ones, especially at lower shear wave velocity zones. After approximately the VS = 1000 m/s threshold, the UBC (1997)-based PSA values become larger than the fuzzy model’s values. When the PSA results in the same soil type are compared, it is seen that the PSA values obtained from UBC (1997) are above the FIS model, particularly in rock soils (“hard rock”, “rock”, and “soft rock”). In the softer soil types, such as “stiff soil” and “soft soil”, the FIS PSA values exceed the UBC (1997) ones in some seismic zones, mostly in higher seismic activity zones.

5. Conclusions

The fuzzy logic inference system (FIS) model is a mathematical approach that allows the representation of partial uncertainties based on verbal fuzzy sets that are numerically scaled based on available data. It has been applied in various fields to address problems that involve uncertain or imprecise data. In this research, the crisp classification of seismic codes’ parameters in the formation of response spectra is studied. FIS model response spectra are developed to present a methodology for considering the imperfections in the soil profile type and seismic zone selection. This model, as proposed in this paper, is demonstrated on the seismic parameters of the response spectrum given the Uniform Building Code (UBC, 1997) provisions. The results are presented with twenty-five samples, including various input data such as different soil profile types, shear wave velocities, and seismic zones. The fuzzy and crisp output seismic parameters are found, and the code-compliant traditional and fuzzy response spectra are formed. Significant differences were found in the spectra’s shape and peak spectral acceleration values.
In some specific seismic zones and soil profiles, the resulting FIS model response spectra were more conservative than traditional response spectra. This indicates that there might be an under-design of the current building code, and the crisp design acceleration values of the code may not be sufficient in terms of structural safety when uncertainties in these locations are considered. In some other regions, FIS model response spectra provided similar or lower values than traditional response spectra, showing that the structural designs may have been overdesigned according to the code’s traditional response spectrum. The fuzzy version of the response spectrum in corresponding regions will surely provide a more economical design. Consequently, the utilization of the fuzzy response spectrum has the potential to offer seismic design solutions that are either safer or more cost-effective in different scenarios based on the soil profile and seismic zone.
In conclusion, using a fuzzy logic-based FIS model in forming response spectra can provide a more comprehensive and realistic representation of the uncertainties involved in the problem, which can lead to more robust and reliable designs. A similar methodology can be applied to the seismic parameters of other design codes. However, more research is needed to comprehensively understand the capabilities and limitations of this approach. Among the future proposal research, it is recommended that similar studies should be carried out with other building codes, and inter-comparison of future studies with the existing ones may guide further research directions. Developing fuzzy-based spectra of various seismic design codes considering the fuzzification of various seismic parameters, such as site coefficients that may have high uncertainties, is a potential future research direction. This kind of future work can improve the calculation of seismic design loads in line with the codes’ approach.

Funding

The APC was funded by Istanbul Medipol University.

Data Availability Statement

Data is contained within the article or Supplementary Material.

Conflicts of Interest

The author declares no conflict of interest.

References

  1. Mohraz, B.; Sadek, F. Earthquake ground motion and response spectra. In The Seismic Design Handbook; Naeim, F., Ed.; Springer: Boston, MA, USA, 2001; pp. 47–124. [Google Scholar]
  2. Trifunac, M.D. Earthquake response spectra for performance based design—A critical review. Soil Dyn. Earthq. Eng. 2012, 37, 73–83. [Google Scholar] [CrossRef]
  3. Goulet, C.A.; Haselton, C.B.; Mitrani-Reiser, J.; Beck, J.L.; Deierlein, G.G.; Porter, K.A.; Stewart, J.P. Evaluation of the seismic performance of a code-conforming reinforced-concrete frame building—From seismic hazard to collapse safety and economic losses. Earthq. Eng. Struct. Dyn. 2007, 36, 1973–1997. [Google Scholar] [CrossRef]
  4. Mitropoulou, C.C.; Lagaros, N.D.; Papadrakakis, M. Life-cycle cost assessment of optimally designed reinforced concrete buildings under seismic actions. Reliab. Eng. Syst. Saf. 2011, 96, 1311–1331. [Google Scholar] [CrossRef]
  5. Ramirez, C.M.; Liel, A.B.; Mitrani-Reiser, J.; Haselton, C.B.; Spear, A.D.; Steiner, J.; Deierlein, G.G.; Miranda, E. Expected earthquake damage and repair costs in reinforced concrete frame buildings. Earthq. Eng. Struct. Dyn. 2012, 41, 1455–1475. [Google Scholar] [CrossRef]
  6. Amirkhani, A.; Nasiriyan-Rad, H.; Papageorgiou, E.I. A novel fuzzy inference approach: Neuro-fuzzy cognitive map. Int. J. Fuzzy Syst. 2020, 22, 859–872. [Google Scholar] [CrossRef]
  7. Roy, S.; Sadhu, S.; Bandyopadhyay, S.K.; Bhattacharyya, D.; Kim, T.H. Brain tumor classification using adaptive neuro-fuzzy inference system from MRI. Int. J. Bio-Sci. Bio-Technol. 2016, 8, 203–218. [Google Scholar] [CrossRef]
  8. Ross, T.J. Fuzzy Logic with Engineering Applications; John Wiley & Sons: Hoboken, NJ, USA, 2009. [Google Scholar]
  9. Walia, N.; Singh, H.; Sharma, A. ANFIS: Adaptive neuro-fuzzy inference system-a survey. Int. J. Comput. Appl. 2015, 123, 32–38. [Google Scholar] [CrossRef]
  10. Groumpos, P.P. Intelligence and fuzzy cognitive maps: Scientific issues, challenges and opportunities. Stud. Inform. Control. 2018, 27, 247–264. [Google Scholar] [CrossRef]
  11. Bakhtavar, E.; Valipour, M.; Yousefi, S.; Sadiq, R.; Hewage, K. Fuzzy cognitive maps in systems risk analysis: A comprehensive review. Complex Intell. Syst. 2021, 7, 621–637. [Google Scholar] [CrossRef]
  12. Zadeh, L.A. Fuzzy sets. Inf. Control. 1965, 8, 338–353. [Google Scholar] [CrossRef]
  13. Zadeh, L.A. Outline of a new approach to the analysis of complex systems and decision processes. IEEE Trans. Syst. Man Cybern. 1973, 3, 28–44. [Google Scholar] [CrossRef]
  14. Zadeh, L.A. The concept of a linguistic variable and its application to approximate reasoning. Parts I, II, and III. Inf. Sci. 1975, 8, 199–249, 301–357, 43–80. [Google Scholar] [CrossRef]
  15. Mamdani, E.H. Application of fuzzy algorithms for simple dynamic plant. Proc. IEEE 1974, 121, 1585–1588. [Google Scholar] [CrossRef]
  16. Mamdani, E.H.; Assilian, S. An Experiment in Linguistic Synthesis with a Fuzzy Logic Controller. Int. J. Man-Mach. Stud. 1975, 7, 1–13. [Google Scholar] [CrossRef]
  17. Sugeno, M. (Ed.) Industrial Applications of Fuzzy Control; North-Holland: Amsterdam, The Netherlands; Elsevier Science Pub. Co.: New York, NY, USA, 1985. [Google Scholar]
  18. Şen, Z. Fuzzy Logic and Modeling Principles (Bulanık Mantık ve Modelleme Ilkeleri); Bilge Kültür Sanat Yayınevi: Istanbul, Türkiye, 2001. (In Turkish) [Google Scholar]
  19. Mellal, A. Derivation of Seismic Response Spectra from the Combination of Fuzzy Logic Theory and a Nonlinear Numerical Model. In Proceedings of the 12th World Conference of Earthquake Engineering, Auckland, New Zealand, 30 January–4 February 2000; Volume 620. [Google Scholar]
  20. Wadia-Fascetti, S.; Gunes, B. Earthquake response spectra models incorporating fuzzy logic with statistics. Comput.-Aided Civ. Infrastruct. Eng. 2000, 15, 134–146. [Google Scholar] [CrossRef]
  21. Ansari, A.; Noorzad, A. A new method for calculation of fuzzy response spectra of earthquake motion in lowland. Lowl. Technol. Int. 2004, 6, 21–32. [Google Scholar]
  22. Marano, G.C.; Morrone, E.; Sgobba, S.; Chakraborty, S. A fuzzy random approach of stochastic seismic response spectrum analysis. Eng. Struct. 2010, 32, 3879–3887. [Google Scholar] [CrossRef]
  23. Şen, Z. Rapid visual earthquake hazard evaluation of existing buildings by fuzzy logic modeling. Expert Syst. Appl. 2010, 37, 5653–5660. [Google Scholar] [CrossRef]
  24. Şen, Z. Supervised fuzzy logic modeling for building earthquake hazard assessment. Expert Syst. Appl. 2011, 38, 14564–14573. [Google Scholar] [CrossRef]
  25. Ozkul, S.; Ayoub, A.; Altunkaynak, A. Fuzzy-logic based inelastic displacement ratios of degrading RC structures. Eng. Struct. 2014, 75, 590–603. [Google Scholar] [CrossRef]
  26. Al-Fahdawi, O.A.; Barroso, L.R. Adaptive neuro-fuzzy and simple adaptive control methods for full three-dimensional coupled buildings subjected to bi-directional seismic excitations. Eng. Struct. 2021, 232, 111798. [Google Scholar] [CrossRef]
  27. Ghani, S.; Kumari, S.; Ahmad, S. Prediction of the seismic effect on liquefaction behavior of fine-grained soils using artificial intelligence-based hybridized modeling. Arab. J. Sci. Eng. 2022, 47, 5411–5441. [Google Scholar] [CrossRef]
  28. Mehrabi, P.; Honarbari, S.; Rafiei, S.; Jahandari, S.; Alizadeh Bidgoli, M. Seismic response prediction of FRC rectangular columns using intelligent fuzzy-based hybrid metaheuristic techniques. J. Ambient. Intell. Humaniz. Comput. 2021, 12, 10105–10123. [Google Scholar] [CrossRef]
  29. Tombari, A.; Stefanini, L. Hybrid fuzzy–stochastic 1D site response analysis accounting for soil uncertainties. Mech. Syst. Signal Process. 2019, 132, 102–121. [Google Scholar] [CrossRef]
  30. Guo, M.; Huang, H.; Xue, C.; Huang, M. Assessment of fuzzy global seismic vulnerability for RC structures. J. Build. Eng. 2022, 57, 104952. [Google Scholar] [CrossRef]
  31. Liu, C.; Fang, D.; Zhao, L. Reflection on earthquake damage of buildings in 2015 Nepal earthquake and seismic measures for post-earthquake reconstruction. Structures 2021, 30, 647–658. [Google Scholar] [CrossRef]
  32. Nahhas, T.M. A Fuzzy Inference Model for Generating Code-Compliant Seismic Design Response Spectra, Umm Al-Qura University. J. Sci. Med. Eng. 2005, 17, 231–254. [Google Scholar]
  33. Uniform Building Code, UBC. Structural Engineering Design Provisions; International Conference of Building Officials: Whittier, CA, USA, 1997. [Google Scholar]
  34. USGS Interactive Fault Map. United States Geological Survey. 2022. Available online: https://www.usgs.gov/programs/earthquake-hazards/faults (accessed on 17 May 2023).
  35. United States Nuclear Regulatory Commission (U.S.NRC) NRC-070—U.S. Seismic Zone Map Based on 1997 Uniform Building Code (UBC) Map. Available online: https://www.nrc.gov/docs/ML1513/ML15131A128.pdf (accessed on 17 May 2023).
  36. MATLAB; Version 9.12.0.1884302 (R2022a); The MathWorks Inc.: Natick, MA, USA, 2022.
  37. Yang, J.; Sato, T.; Li, X.S. Seismic amplification at a soft soil site with liquefiable layer. J. Earthq. Eng. 2000, 4, 1–23. [Google Scholar] [CrossRef]
  38. Tezcan, S.S.; Kaya, E.; Bal, I.E.; Özdemir, Z. Seismic amplification at Avcılar, Istanbul. Eng. Struct. 2002, 24, 661–667. [Google Scholar] [CrossRef]
  39. Pratt, T.L.; Brocher, T.M.; Weaver, C.S.; Creager, K.C.; Snelson, C.M.; Crosson, R.S.; Miller, K.C.; Tréhu, A.M. Amplification of seismic waves by the Seattle basin, Washington State. Bull. Seismol. Soc. Am. 2003, 93, 533–545. [Google Scholar] [CrossRef]
  40. Wang, S.; Hao, H. Effects of random variations of soil properties on site amplification of seismic ground motions. Soil Dyn. Earthq. Eng. 2002, 22, 551–564. [Google Scholar] [CrossRef]
  41. Semblat, J.F.; Kham, M.; Parara, E.; Bard, P.Y.; Pitilakis, K.; Makra, K.; Raptakis, D. Seismic wave amplification: Basin geometry vs soil layering. Soil Dyn. Earthq. Eng. 2005, 25, 529–538. [Google Scholar] [CrossRef]
Figure 1. Design response spectra in UBC (1997) [33].
Figure 1. Design response spectra in UBC (1997) [33].
Buildings 13 01895 g001
Figure 2. Seismic zone map of the United States [35].
Figure 2. Seismic zone map of the United States [35].
Buildings 13 01895 g002
Figure 3. The overall structure of the FIS model.
Figure 3. The overall structure of the FIS model.
Buildings 13 01895 g003
Figure 4. Membership function of soil profiles [32].
Figure 4. Membership function of soil profiles [32].
Buildings 13 01895 g004
Figure 5. Membership function of seismic zones [32].
Figure 5. Membership function of seismic zones [32].
Buildings 13 01895 g005
Figure 6. Membership function of seismic coefficient, Ca.
Figure 6. Membership function of seismic coefficient, Ca.
Buildings 13 01895 g006
Figure 7. Membership function of seismic coefficient, Cv.
Figure 7. Membership function of seismic coefficient, Cv.
Buildings 13 01895 g007
Figure 8. Surface graphs of the fuzzy logic controller: (a) Ca, (b) Cv.
Figure 8. Surface graphs of the fuzzy logic controller: (a) Ca, (b) Cv.
Buildings 13 01895 g008
Figure 9. Application on example cases; case 1~15.
Figure 9. Application on example cases; case 1~15.
Buildings 13 01895 g009
Figure 10. Application on example cases; case 16~25.
Figure 10. Application on example cases; case 16~25.
Buildings 13 01895 g010
Figure 11. The change in the peak spectral acceleration values in different seismic zones.
Figure 11. The change in the peak spectral acceleration values in different seismic zones.
Buildings 13 01895 g011
Figure 12. The change in the peak spectral acceleration values in different soil profiles.
Figure 12. The change in the peak spectral acceleration values in different soil profiles.
Buildings 13 01895 g012
Table 1. Seismic coefficient, Ca [33].
Table 1. Seismic coefficient, Ca [33].
Soil Profile TypeSeismic Zone Factor, Z
Z = 0.075Z = 0.15Z = 0.2Z = 0.3Z = 0.4
SA0.060.120.160.240.32 Na
SB0.080.150.200.300.40 Na
SC0.090.180.240.330.40 Na
SD0.120.220.280.360.44 Na
SE0.190.300.340.360.36 Na
SFSite-specific geotechnical investigation
Table 2. Seismic coefficient, Cv [33].
Table 2. Seismic coefficient, Cv [33].
Soil Profile TypeSeismic Zone Factor, Z
Z = 0.075Z = 0.15Z = 0.2Z = 0.3Z = 0.4
SA0.060.120.160.240.32 Nv
SB0.080.150.200.300.40 Nv
SC0.130.250.320.450.56 Nv
SD0.180.320.400.540.64 Nv
SE0.260.500.640.840.96 Nv
SFSite-specific geotechnical investigation
Table 3. Near-source factor, Na [33].
Table 3. Near-source factor, Na [33].
Seismic Source TypeClosest Distance to Known Seismic Source
≤2 km5 km≥10 km
A1.51.21.0
B1.31.01.0
C1.01.01.0
Table 4. Near-source factor, Nv [33].
Table 4. Near-source factor, Nv [33].
Seismic Source TypeClosest Distance to Known Seismic Source
≤2 km5 km10 km≥15 km
A2.01.61.21.0
B1.61.21.01.0
C1.01.01.01.0
Table 5. Seismic source types [33].
Table 5. Seismic source types [33].
Seismic Source TypeSeismic Source Description
AFaults that are capable of producing large magnitude events and that have a high rate of seismic activity
BAll faults other than Types A and C
CFaults that are not capable of producing large magnitude earthquakes and that have a relatively low rate of seismic activity
Table 6. Seismic zone factor, Z [33].
Table 6. Seismic zone factor, Z [33].
ZONE12A2B34
Z0.0750.150.200.300.40
Table 7. Soil profile types [33].
Table 7. Soil profile types [33].
Soil Profile TypeSoil Profile Name/Generic DescriptionAverage Soil Properties for the Top 30 Meters of Soil Profile
Shear Wave Velocity, VS (m/s)SPT Test, N (Blows/Foot)Undrained Shear Strength (kPa)
SAHard Rock>1500--
SBRock760 to 1500
SCVery Dense Soil and Soft Rock360 to 760>50>100
SDStiff Soil Profile180 to 36015 to 5050 to 100
SESoft Soil Profile<180<15<50
SFSoil requiring site-specific evaluation
Table 8. Rule base of seismic coefficients, Ca and Cv.
Table 8. Rule base of seismic coefficients, Ca and Cv.
R1:IF “Soil_Profile” is “Soft Soil” AND “Seismic_Zone” is “Zone 1” THEN “Ca” and “Cv” is “Low”
R2:IF “Soil_Profile” is “Soft Soil” AND “Seismic_Zone” is “Zone 2A” THEN “Ca” is “High”, “Cv” is “Medium”
R3:IF “Soil_Profile” is “Soft Soil” AND “Seismic_Zone” is “Zone 2B” THEN “Ca” and “Cv” is “High”
R4:IF “Soil_Profile” is “Soft Soil” AND “Seismic_Zone” is “Zone 3” THEN “Ca” and “Cv” is “V. High”
R5:IF “Soil_Profile” is “Soft Soil” AND “Seismic_Zone” is “Zone 4” THEN “Ca” and “Cv” is “V. High”
R6:IF “Soil_Profile” is “Stiff Soil” AND “Seismic_Zone” is “Zone 1” THEN “Ca” and “Cv” is “V. Low”
R7:IF “Soil_Profile” is “Stiff Soil” AND “Seismic_Zone” is “Zone 2A” THEN “Ca” is “Medium”, “Cv” is “Low”
R8:IF “Soil_Profile” is “Stiff Soil” AND “Seismic_Zone” is “Zone 2B” THEN “Ca” is “High”, “Cv” is “Low”
R9:IF “Soil_Profile” is “Stiff Soil” AND “Seismic_Zone” is “Zone 3” THEN “Ca” is “V. High”, “Cv” is “Medium”
R10:IF “Soil_Profile” is “Stiff Soil” AND “Seismic_Zone” is “Zone 4” THEN “Ca” is “V. High”, “Cv” is “High”
R11:IF “Soil_Profile” is “Soft Rock” AND “Seismic_Zone” is “Zone 1” THEN “Ca” is “Low”, “Cv” is “V. Low”
R12:IF “Soil_Profile” is “Soft Rock” AND “Seismic_Zone” is “Zone 2A” THEN “Ca” and “Cv” is “Low”
R13:IF “Soil_Profile” is “Soft Rock” AND “Seismic_Zone” is “Zone 2B” THEN “Ca” is “Medium”, “Cv” is “Low”
R14:IF “Soil_Profile” is “Soft Rock” AND “Seismic_Zone” is “Zone 3” THEN “Ca” is “High”, “Cv” is “Medium”
R15:IF “Soil_Profile” is “Soft Rock” AND “Seismic_Zone” is “Zone 4” THEN “Ca” is “V. High”, “Cv” is“Medium”
R16:IF “Soil_Profile” is “Rock” AND “Seismic_Zone” is “Zone 1” THEN “Ca” and “Cv” is “V. Low”
R17:IF “Soil_Profile” is “Rock” AND “Seismic_Zone” is “Zone 2A” THEN “Ca” is “Low”, “Cv” is “V. Low”
R18:IF “Soil_Profile” is “Rock” AND “Seismic_Zone” is “Zone 2B” THEN “Ca” is “Medium”, “Cv” is “V. Low”
R19:IF “Soil_Profile” is “Rock” AND “Seismic_Zone” is “Zone 3” THEN “Ca” is “High”, “Cv” is “Low”
R20:IF “Soil_Profile” is “Rock” AND “Seismic_Zone” is “Zone 4” THEN “Ca” is “V. High”, “Cv” is “Low”
R21:IF “Soil_Profile” is “Hard Rock” AND “Seismic_Zone” is “Zone 1” THEN “Ca” and “Cv” is “V. Low”
R22:IF “Soil_Profile” is “Hard Rock” AND “Seismic_Zone” is “Zone 2A” THEN “Ca” and “Cv” is “V. Low”
R23:IF “Soil_Profile” is “Hard Rock” AND “Seismic_Zone” is “Zone 2B” THEN “Ca” is “Low”, “Cv” is “V. Low”
R24:IF “Soil_Profile” is “Hard Rock” AND “Seismic_Zone” is “Zone 3” THEN “Ca” is “Medium”, “Cv” is “Low”
R25:IF “Soil_Profile” is “Hard Rock” AND “Seismic_Zone” is “Zone 4” THEN “Ca” is “High”, “Cv” is “Low”
Table 9. Example case results.
Table 9. Example case results.
Case No.Soil ProfileSoil TypeVS (m/s)Seismic ZoneZUBC (1997)Fuzzy ModelDifference in PSA
CaCvCaCv
1Hard RockSA155010.0750.060.060.04140.0946−31%
2RockSB78010.0750.080.080.04150.0950−48%
3Soft RockSC38010.0750.090.130.04140.0948−54%
4Stiff SoilSD20010.0750.120.180.07900.1620−34%
5Soft SoilSE3010.0750.190.260.11700.2330−38%
6Hard RockSA20002A0.150.120.120.06490.0893−46%
7RockSB9502A0.150.150.150.11800.1500−21%
8Soft RockSC4702A0.150.180.250.15500.2320−14%
9Stiff SoilSD2352A0.150.220.320.22400.27902%
10Soft SoilSE652A0.150.300.500.30000.41700%
11Hard RockSA24502B0.200.160.160.11700.0832−27%
12RockSB11152B0.200.200.200.20000.08970%
13Soft RockSC5602B0.200.240.320.20000.2330−17%
14Stiff SoilSD2702B0.200.280.400.30000.23307%
15Soft SoilSE1002B0.200.340.640.30000.5680−12%
16Hard RockSA290030.300.240.240.20000.2330−17%
17RockSB128030.300.300.300.28300.2330−6%
18Soft RockSC65030.300.330.450.30000.3780−9%
19Stiff SoilSD30530.300.360.540.40800.417013%
20Soft SoilSE13530.300.360.840.41900.739016%
21Hard RockSA335040.400.320.320.30000.2330−6%
22RockSB145040.400.400.400.38800.2320−3%
23Soft RockSC74040.400.400.560.41700.35104%
24Stiff SoilSD34040.400.440.640.41900.5580−5%
25Soft SoilSE17040.400.360.960.41400.740015%
Disclaimer/Publisher’s Note: The statements, opinions and data contained in all publications are solely those of the individual author(s) and contributor(s) and not of MDPI and/or the editor(s). MDPI and/or the editor(s) disclaim responsibility for any injury to people or property resulting from any ideas, methods, instructions or products referred to in the content.

Share and Cite

MDPI and ACS Style

Mangir, A. Fuzzy Inference System (FIS) Model for the Seismic Parameters of Code-Based Earthquake Response Spectra. Buildings 2023, 13, 1895. https://doi.org/10.3390/buildings13081895

AMA Style

Mangir A. Fuzzy Inference System (FIS) Model for the Seismic Parameters of Code-Based Earthquake Response Spectra. Buildings. 2023; 13(8):1895. https://doi.org/10.3390/buildings13081895

Chicago/Turabian Style

Mangir, Atakan. 2023. "Fuzzy Inference System (FIS) Model for the Seismic Parameters of Code-Based Earthquake Response Spectra" Buildings 13, no. 8: 1895. https://doi.org/10.3390/buildings13081895

APA Style

Mangir, A. (2023). Fuzzy Inference System (FIS) Model for the Seismic Parameters of Code-Based Earthquake Response Spectra. Buildings, 13(8), 1895. https://doi.org/10.3390/buildings13081895

Note that from the first issue of 2016, this journal uses article numbers instead of page numbers. See further details here.

Article Metrics

Back to TopTop