Abstract
The drum-shaped honeycomb-type cable dome departs from traditional concepts and incorporates the idea of multiple strut configurations. It is the most diverse type of cable dome structure. Both cables and struts serve as the main load-bearing components. Analyzing the effects of local component failure is crucial for designing large-scale cable domes able to resist continuous collapse. A numerical analysis model using the ANSYS finite element method with a 120 m span is established. Dynamic analysis methods are employed to study the response of structural internal forces and displacements during the failure of different component types. By defining the internal force dynamic coefficient and change coefficient, the structural continuity collapse resulting from component failure is determined based on computational results and observation of structural deformations. Furthermore, the importance of the various components within the overall structure is classified. The research findings indicate that the failure of individual components does not cause overall instability of the structure. The importance level of the ring cables and some upper chord ridge cables is higher than that of the inclined cables. Class a struts have a higher importance level than class b struts. Additionally, the importance level of outer ring components is higher than that of inner ring components.
1. Introduction
The cable dome theory originated from the concept of “tensegrity” proposed by the architectural master R.B. Fuller [1]. In 1986, the renowned American engineer Geiger, based on this concept, invented a prestressed tensegrity cable dome structure supported by a peripheral compressive ring beam, known as the Geiger-type cable dome structure. In 1992, American engineer Levy made improvements to it and proposed the Levy-type cable dome. However, both of these classical cable dome structures have their own drawbacks. The Geiger-type cable dome [2] has weak out-of-plane stiffness at the nodes on each strut, making it prone to instability. The Levy-type cable dome [3] solves the instability problem of the Geiger-type cable dome, but increases the number of components due to the arrangement of the structure. Additionally, the dense subdivision of the inner grid makes the construction of the inner nodes and membrane laying more difficult.
To address the issues with these two classic cable dome structures, in 2005, Dong Shilin et al. [4] proposed the Kiewit-type cable dome and two hybrid dome structures, considering geometric topology, structural construction, and force mechanics. They applied various grid shell configurations to cable dome structures, all of which have the advantages of uniform grid division and even stiffness distribution. In 2010, Dong Shilin et al. [5] creatively introduced a spatial structural system that combines a single-layer grid shell with a cable dome. Subsequently, they proposed the honeycomb-type cable dome with a multi-strut layout [6], where the upper chord of the dome is composed of ridge cables distributed in a honeycomb pattern and connected to the lower chord by multiple struts. This arrangement departs from the traditional concept of the tensioned structure. Following this innovative research on the drum-shaped honeycomb sequential cable dome structural system, Dong Shilin recently proposed a drum honeycomb-type cable dome with a quad-strut layout [7] and explored analysis methods for the prestressed states of this cable dome. The four compression struts are connected as a whole at the lower chord node, significantly improving the stability of the structure compared to the Geiger-type cable dome. The upper chord ridge cables have three schemes: Type I, II and III. Type III consists of a plum blossom arrangement comprisig a drum honeycomb hexagonal main and sub-grid system, which can also be seen as a circumferentially alternating arrangement of drum honeycomb hexagonal grids offset by half a grid in the radial direction.
In large cable structures, the tension cables and compression struts are the main load-bearing members, and bear relatively large loads, while damage to local members may occur under the action of chance events or when the structure is severely overloaded, leading to sudden changes in the geometry of the structure and vibration because the internal forces of the structure are no longer in equilibrium, until the internal forces of the structure reach equilibrium again or damage failure. In recent years, a series of studies and comparisons have been carried out by domestic and foreign scholars using different analysis methods related to local member failure and continuity collapse resistance of pretensioned structures with cables. Ying Yu et al. [8] employed the finite particle method to perform verification and anti-collapse analysis on cable net structures under strong wind action, proposing methods to address geometric nonlinearity and material nonlinearity in discrete elements. Xiaoxi Wang et al. [9] investigated the deformation and internal force redistribution process of a scaled-down model of a 10.8 m chord-supported cable dome after cable failure through numerical simulation and experiments. The results indicate that cable failure leads to significant oscillation effects in the remaining structural components. Renjie Liu et al. [10] conducted an analysis of the anti-continuous collapse of Levy-type geodesic domes and loop-free suspen-dome after cable failure using the AP method. They discussed the structural displacement and load-carrying capacity after implementing 34 different cable failure scenarios. Chao Zhang et al. [11] utilized an improved alternative load path implicit analysis method to simulate the beam-cable failure in a suspen-dome. They analyzed parameters including the failure time, failure path, and damping ratio, thereby providing recommended numerical values. Zhenyu Xu et al. [12] proposed the mechanism of continuous collapse for a suspen-dome structure under the cable fracture based on experimental and finite element results. Kahla et al. [13] carried out a failure analysis of cables in tensioned monolithic structures. Ran Zhao et al. [14] studied the analysis of cable breakage of the cable membrane structure of Baoan Stadium in Shenzhen and gave the static response of the structure under constant load. Lianmeng Chen et al. [15] conducted a cable rod breakage analysis for a rib-ring type cable dome, but the dynamic time response process was not given. Jinyu Lu et al. [16] and Xiaofeng Jiang et al. [17] analyzed the dynamic response and collapse process of the structure after the breakage of the cable-rod tension structure and tension string beam. Zhang Chao et al. [18] analyzed the local breakage of a multiple-quadrilateral ring cable-tensioned chord dome and gave the dynamic amplification factor of the chord dome. Zhu et al. [19] analyzed the structural dynamic response of the chord-supported dome structure after damage to the cable and strut. Haoqing Liang et al. [20] analyzed the effect of local cable rod failure on the structural performance of rib ring herringbone cable dome, and gave the dynamic time response process. Chenyu Liang, Zhongyi Zhu et al. [21] selected several large domestic and foreign cable structures, including the FAST telescope, the National Speed Skating Stadium, and Qatar Lusail Stadium, and analyzed and compared the dynamic response characteristics and dynamic coefficients of different types of cable structure, such as the cable net and spoke-type cable trusses with hair fracture index.
Accordingly, in order to further study the changes in structural force performance of the drum-shaped honeycomb type III cable dome with a quad-strut layout structure when the local cable rod breaks, in this paper, we establish an ANSYS finite element numerical model. Nonlinear dynamic analysis methods are employed to study the dynamic response of structural internal forces and displacements during the failure of various cable components. Based on the computational results and by defining force dynamic coefficients, force change coefficients, and observing the structural configuration after stability restoration, the importance of corresponding components within the overall structure is determined. This research provides a reference for the practical engineering design of this cable dome configuration.
2. Structural Model and Calculation Method
2.1. Structural Model
A numerical model was built of a structure with a span of 120 m and an inner circular opening diameter of 40 m. The structural model is shown in Figure 1. Previous research suggests that the structure’s prestress distribution and stiffness are more optimal when the structural rise–span ratio and height–span ratio are 0.08 and 0.10, respectively [7]. The structure consists of 17 different types of component, including 13 tension cables and 4 compression struts. For modeling these components, the Link180 element was chosen due to its ability to handle large strains and deformations. Additionally, the element allows for the specification of whether the struts experience tension or compression, making it suitable for simulating the elements in this structural model. The cable sections are determined based on a prestress level of 20% of the cable’s breaking force. The sizing of the strut sections follows the design principle of maintaining a suitable aspect ratio, ensuring comparable initial prestress among all components. The cables are modeled as tension elements, while the struts are modeled as compression elements, considering the effects of large deformations and stress stiffening. In the practical application of the structure, the outermost nodes of the cable dome structure are connected to a rigid ring beam. Therefore, all nodes on the outer ring of the structure are constrained and fully fixed in the APDL command flow, applying all constraints. In addition to considering the self-weight of the structure, a roof load of 0.5 kN/m2 is applied as the equivalent concentrated load at the bi-directional guided nodes. The initial prestress of the structure is obtained using the singular value decomposition method [22], and is applied by imposing initial strains. The initial prestress values and component section parameters are detailed in Table 1. Material parameters are shown in Table 2. As shown in Table 1, after the finite element structural model self-equilibrates, the internal force distribution is aligned with the theoretical calculation results, confirming the correctness and appropriateness of the established numerical model for the structure.
Figure 1.
Structural model of the drum-shaped honeycomb type III cable domes with quad-strut layout. (a) Three-dimensional structural model; (b) structural model section.
Table 1.
Table of structural prestressing modal and member section parameters.
Table 2.
Material parameters.
2.2. Dynamic Analysis Methods
The basic principle of the power analysis method for failure detection in linkages is structural dynamics, with its structural dynamic equation given as follows:
In the aforementioned equation, [M] represents the structural mass matrix, [C] represents the structural damping matrix, [K] represents the structural stiffness matrix, {F(t)} denotes the time-varying load function, is the nodal displacement vector, is the nodal velocity vector, and is the nodal acceleration vector [23]. The solution of the aforementioned motion equation can be obtained through two main methods: the modal superposition method and the direct integration method. The modal superposition method transforms the coupled motion equations, based on natural frequencies and mode shapes, into a set of independent uncoupled equations. On the other hand, the direct integration method solves the motion equations directly through time integration and can be implemented using either explicit or implicit approaches.
Transient dynamic analysis in the general finite element analysis software ANSYS is used to determine the dynamic response of structures under arbitrary time-varying loads, such as impact loads and sudden loads. It includes three methods: the direct method, the reduced method, and the modal superposition method. Among them, the direct method calculates the transient response using the complete system matrix and is the most powerful method among the three, capable of including various nonlinear characteristics (plasticity, large deformation, and large strain). ANSYS provides the functionality of the element birth and death technique, making it possible to simulate practical engineering problems such as excavation, structure installation and removal, and damage by adding and removing selected elements. In ANSYS, killed elements are only multiplied by a very small factor (1 × 10−6) [24] of their stiffness and are not actually removed from the model. When using the element birth and death technique, killing elements may result in individual nodes that are not connected to any surviving elements, causing these nodes to “drift”, eventually leading to non-convergence of the calculations. In this case, it is necessary to constrain these potentially drifting nodes to reduce the number of equations to be solved and prevent non-convergence. The entire dynamic process of component failure is calculated using ANSYS transient dynamic analysis (direct method). The element birth and death technique is employed to simulate component failure, considering large deformations for nonlinear dynamic analysis. The damping ratio of the cable dome structure is taken as 0.02, and the duration of component unloading is set to 0.001 s. It is assumed that the cable failure occurs at the end of the first second, and the total duration of the dynamic analysis is not less than 8 s. The unloading process of the component is shown in Figure 2, where F0 represents the initial internal forces of the structure.
Figure 2.
Unloading process of components.
2.3. Component Numbering and Definition of Relevant Coefficient
Figure 3a illustrates the highly symmetrical configuration of the drum honeycomb quadrilateral truss Type III dome. It can be regarded as a substructure formed by rotation along the central axis. To facilitate calculation and analysis, the structure is divided into five substructures based on the radial symmetric axis. Each substructure undergoes controlled failure of different categories of cable and strut elements in the first substructure, while monitoring the changes in internal forces of the remaining four substructures’ components. The component labeling, as depicted in Figure 3b, assigns identifiers N, T, B, H, and V to represent ridge cables, diagonal cables, ring cables, and struts, respectively. The numerical subscripts indicate the concentric circles from the innermost to the outermost, while the alphabetical subscripts represent the categories of the components. The numerical values (1–5) following the component names indicate the substructure number to which the component belongs. For instance, N1a-1 denotes an upper chord ring cable of category ‘a’ in the first substructure.
Figure 3.
Substructure and component numbering. (a) Substructure numbering; (b) component numbering.
In the subsequent table documenting the variations in internal forces, F represents the internal force of the components before failure, Fmax represents the maximum internal force among the components after failure, Fmin represents the minimum internal force among the components after failure, and Fdmax indicates the maximum value of internal force fluctuations during the post-failure period. The internal force dynamic coefficient β1 and the internal force variation coefficient β2 are defined to evaluate the changes in internal forces of the members. If β1 > 1.5 or β2 > 0.5, it is considered that the internal force variations of that particular member are significantly influenced by the failure of the component. The specific formulas are as follows:
2.4. Rules for Differentiating Component Importance
This study comprehensively assesses the importance of failed components in the overall structure based on the computational results of structural dynamic responses after component failure, including the internal force dynamic and variation coefficients, the number of relaxation components, and the maximum displacement of the structure. The importance level of the components will be distinguished according to the following rules:
- After a single component breaks, it causes structural deformation. UZmax represents the maximum vertical displacement after structural stability is restored. The “+” and “−” represent displacement in the positive or negative directions along the Z-axis. If its absolute value is greater than 0.48 (Span/250), it is considered that the structure has experienced local failure, and the importance level of the broken component is at least medium.
- After a single component breaks, the number of significantly affected components is determined based on the value of the β1 and β2. Simultaneously, the changes in internal forces of the remaining components are tracked. After the structure restores stability, the number of relaxation components is determined based on the presence of zero internal forces in the cables. If the number of significantly affected components is greater than 0 or the number of relaxation components is greater than 0, the importance level of the broken component is considered to be medium. If both the number are greater than 0, the importance level of the broken component is considered to be high.
- After a single component breaks, if the structure does not experience local failure and there are no significantly affected components or relaxation components, it can be considered that such components have a low level of importance in the structure.
3. The Impact of Local Component Failure on the Structural Load Bearing Performance
3.1. Failure of Component N1-1
After the failure of the component N1-1, the time history curves of the internal forces and vertical displacements of ridge cable N1 are presented in Figure 4a,b. Analysis of the graph reveals that following the rupture of N1-1 in the upper chord ring cable, the remaining cables of the same category exhibit relaxation behavior, with their internal forces rapidly decreasing to lower levels. The vertical displacements of the nodes show fluctuations towards the end of the first second, characterized by three distinct oscillations before returning to a stable state. Notably, the vertical displacements of upper chord nodes 1a, 1b, and lower chord node 1′ undergo significant changes, while the other nodes remain relatively stable. Table 3 indicates that the failure of the component N1-1 has a significant impact on ridge cable N1b and the inner circle strut V1b of the lower chord. The internal force coefficient β1 of strut V1b reaches 4.85, and the internal force variation coefficient β2 reaches 0.11, whereas the internal force coefficients for other components are relatively small. Additionally, Figure 4c illustrates the structural deformation at 9 s after failure. It shows that, following the stabilization of structural deformations, a localized collapse occurs at the position of the failed component N1-1, while the overall structure remains intact without experiencing complete failure.
Figure 4.
Time history curves of internal force of N1 and each nodal vertical displacement, and structural deformation diagrams. (a) Internal force of N1; (b) each nodal vertical displacements; (c) deformation of the structure at the 9th s following failure.
Table 3.
Variation of internal forces in various components after the failure of N1-1.
3.2. Failure of Component N1a-1
After the upper chord ridge cable N1a-1 failed, the force and vertical displacement time history curves of spinal cord N1a are depicted in Figure 5a,b. The internal force of spinal cord N1a experiences a significant reduction, and there is a noticeable fluctuation in the vertical displacement of the lower node 1’ at the end of the first second. However, the displacement changes in other nodes are relatively minor. Table 4 reveals that spinal cords N1b and T1b exhibit relaxation. Notably, the failure of N1a-1 has the most pronounced impact on the internal brace V1b of the inner ring. Following the redistribution of internal forces within the structure, the internal force dynamic coefficient β1 for brace V1b reaches 2.45, and the internal force variation coefficient β2 for internal forces reaches 0.06, while the coefficients for other components remain comparatively small. From Figure 5c, it is evident that after the structural deformation stabilizes, the location of the failed spinal cord N1a-1 experiences localized collapse, but overall structural failure does not occur.
Figure 5.
Time history curves of internal force of N1a and each nodal vertical displacement, and structural deformation diagrams. (a) Internal force of N1a; (b) each nodal vertical displacements; (c) deformation of the structure at the 9th s following failure.
Table 4.
Variation of internal forces in various components after the failure of N1a-1.
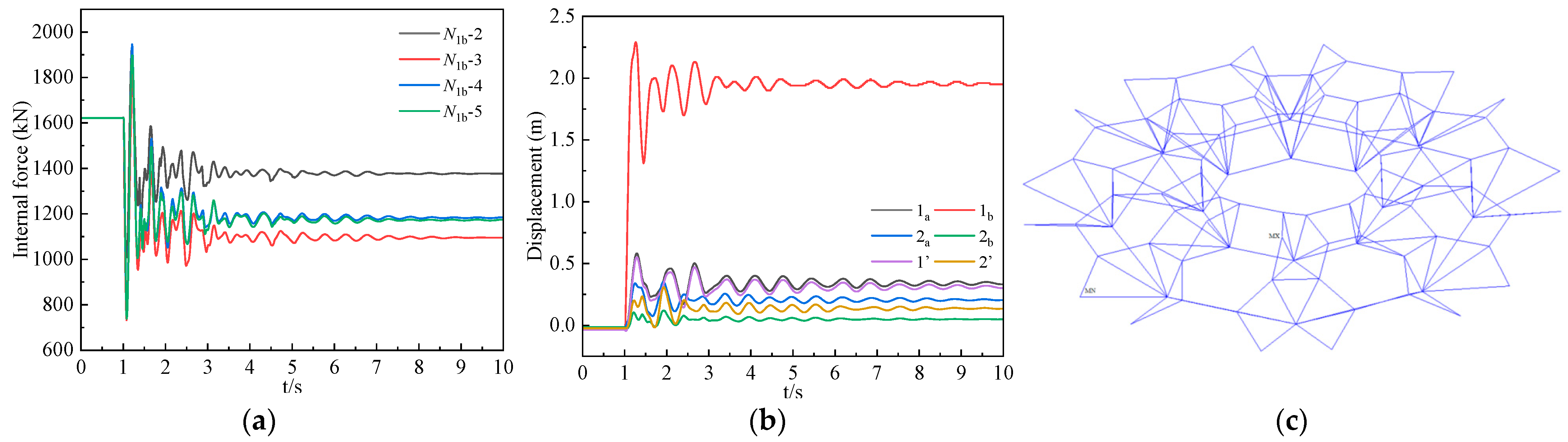
3.3. Failure of Component N1b-1
After the failure of the upper chord ridge cable N1b-1, the force and vertical displacement time history curves of spinal cord N1b are depicted in Figure 6a,b. Following a notable fluctuation, the structure once again reaches an equilibrium state. N1b, which connects the upper node 1b of two adjacent substructures, exhibits a distinct fluctuation in internal forces at the end of the first second. While the internal forces of spinal cord N1b decrease, there is no indication of relaxation. Simultaneously, the vertical displacement of node 1b rapidly increases to 2 m, while the displacement of other nodes remains relatively minimal. The changes in internal forces for other components are presented in Table 5. The failure of spinal cord N1b-1 has a considerable impact on B1 and V1b. After the redistribution of internal forces within the structure, the diagonal cable B1 experiences relaxation, and the internal force dynamic coefficient β1 for brace V1b reaches 3.24, while the internal force variation coefficient β2 for internal forces reaches 1.31. As illustrated in Figure 6c, after the rupture of N1b-1, the maximum deformation occurs at node 1b, signifying localized structural failure without continuous collapse. Nevertheless, the structure retains its load-bearing capacity.
Figure 6.
Time history curves of internal force of N1b and each nodal vertical displacement, and structural deformation diagrams. (a) Internal force of N1b; (b) each nodal vertical displacements; (c) deformation of the structure at the 9th s following failure.
Table 5.
Variation of internal forces in various components after the failure of N1b-1.
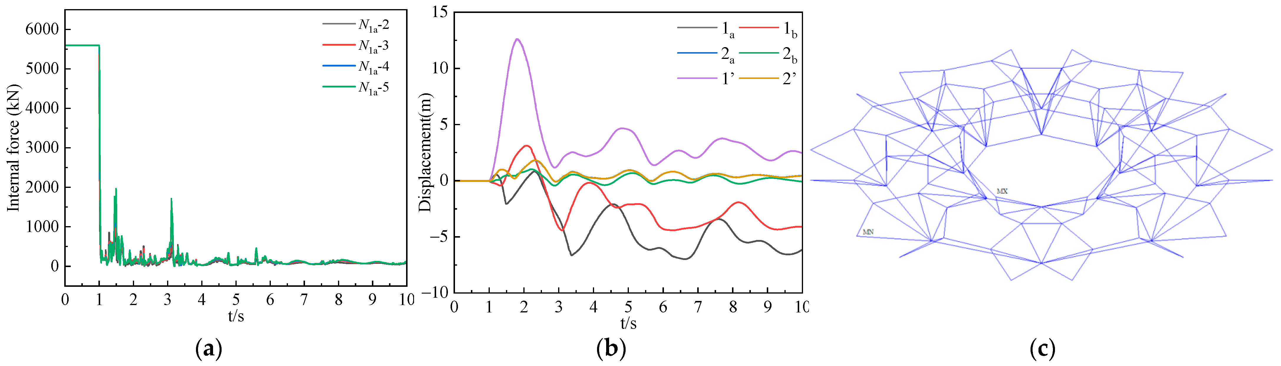
3.4. Failure of Component N2a-1
Figure 7a,b illustrates the time history curves of internal forces and vertical displacements of nodes after the failure of the circumferential spinal cord N2a-1. From Figure 7a, it is evident that the internal forces in N2a rapidly decrease to a significantly lower level. The displacements of various nodes in the structure exhibit considerable variations, leading to uneven deformations. Both the upper node 2a and the lower node 1′ experience substantial deformations, with the maximum displacement reaching 4 m after stabilization. Table 6 provides insights into the changes in internal forces for other components. It is noticeable that the failure of N2a-1 has a significant impact on N1b, B1, and V1b. Both the spinal cord N1b and the outer ring diagonal cable B2 exhibit relaxation. The internal force dynamic coefficient β1 for brace V1b reaches 2.21, while the internal force variation coefficient β2 for internal forces reaches 0.05. At the 9th second after the failure of N2a-1, the structural deformation, as depicted in Figure 7c, shows localized failure, but the structure is still capable of bearing the load.
Figure 7.
Time history curves of internal force of N2a and each nodal vertical displacement, and structural deformation diagrams. (a) Internal force of N2a; (b) each nodal vertical displacements; (c) deformation of the structure at the 9th s following failure.
Table 6.
Variation of internal forces in various components after the failure of N2a-1.
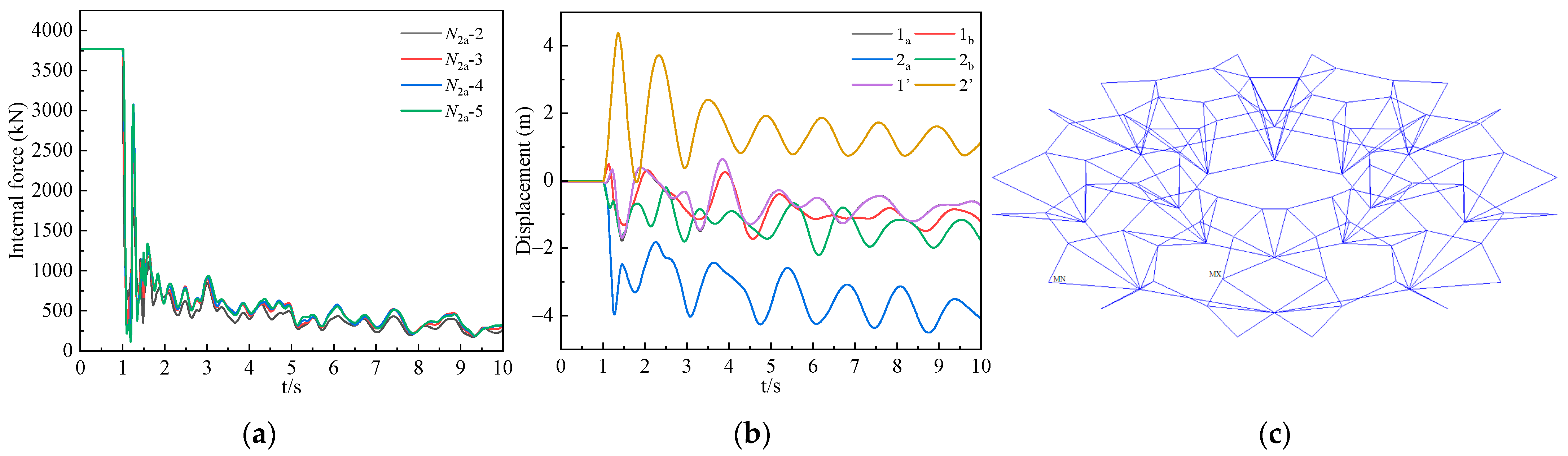
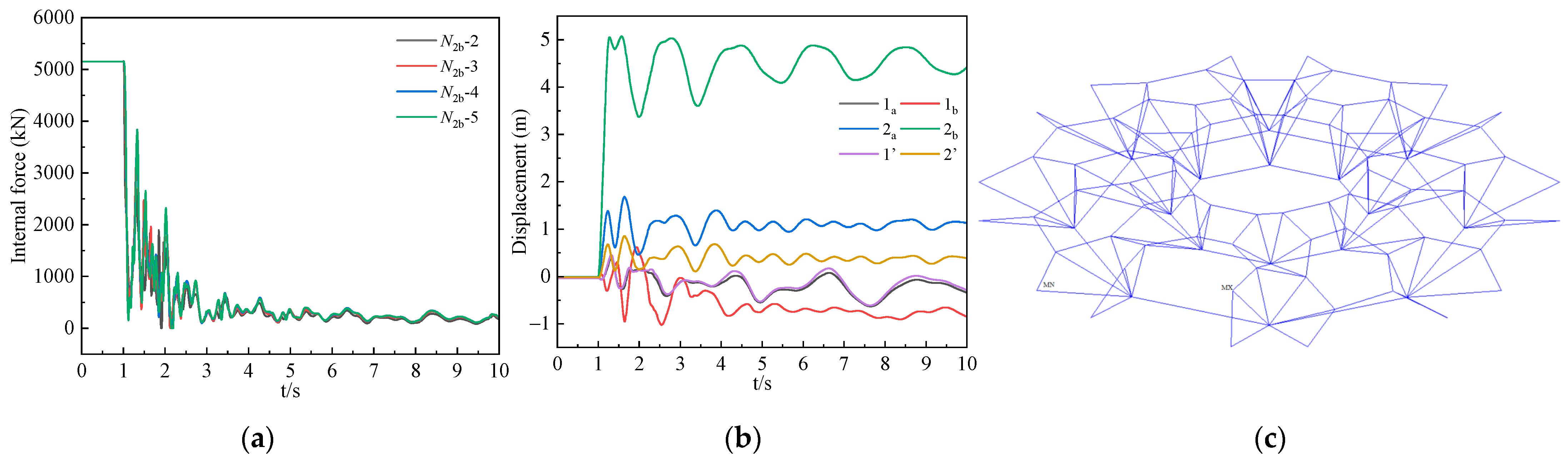
3.5. Failure of Component N2b-1
Following the failure of the upper chord ridge cable N2b-1, the time history curves of internal forces and vertical displacements of nodes are presented in Figure 8a,b. The internal forces in spinal cord N2b exhibit a substantial decrease without any sign of relaxation. The upper node 2b, connected to N2b, displays noticeable fluctuations in displacement. Upon reaching a stable state of deformation, the displacement at node 2b reaches 4.3 m, while the remaining nodes demonstrate relatively stable changes. Table 7 outlines the variations in internal forces for other components after redistributing the forces. The failure of N2b-1 notably impacts N1b, T1b, and V2b. Both spinal cord N1b and T1b experience relaxation, while the inner ring brace V1b attains an internal force dynamic coefficient β1 of 1.88 and an internal force variation coefficient β2 of 0.05. After the structure stabilizes, the configuration, as depicted in Figure 8c, indicates significant deformation at the upper node 2b, illustrating localized structural deformations without widespread failure.
Figure 8.
Time history curves of internal force of N2b and each nodal vertical displacement, and structural deformation diagrams. (a) Internal force of N2b; (b) each nodal vertical displacements; (c) deformation of the structure at the 9th s following failure.
Table 7.
Variation of internal forces in various components after the failure of N2b-1.
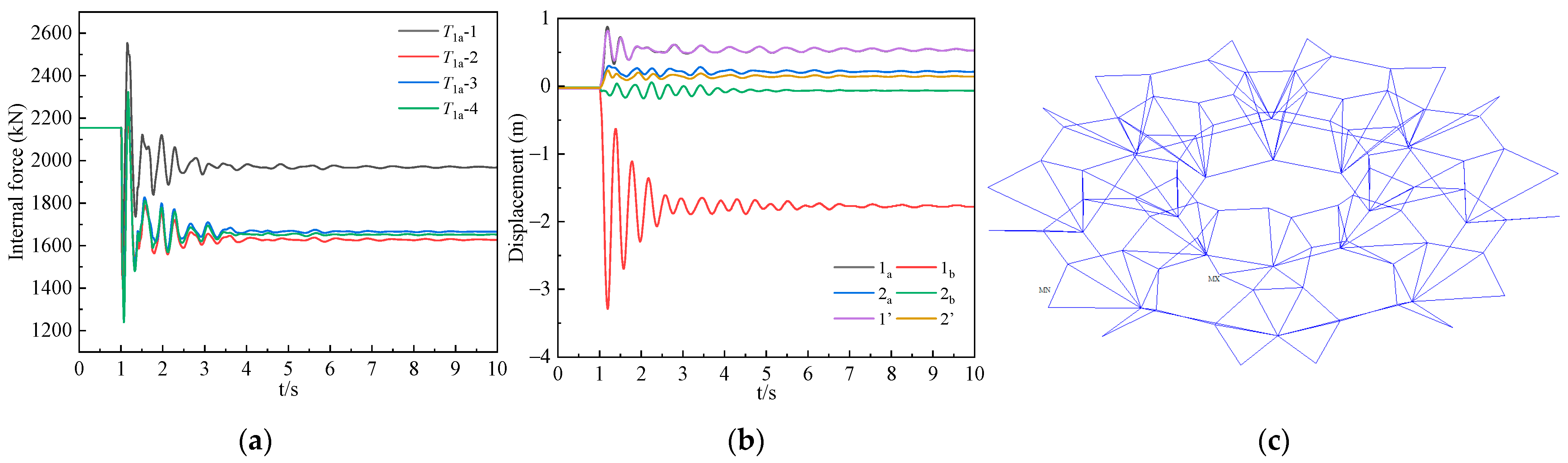
3.6. Failure of Component T1a-1
Following the rupture of upper chord ridge cable T1a-1, the time-dependent variations of internal forces and vertical displacements of nodes are depicted in Figure 9a,b. The corresponding changes in internal forces for each component are summarized in Table 8. As observed from Figure 9a,b, both the internal forces and node displacements of T1a exhibit a significant fluctuation before returning to a stable state. The internal forces of all T1a segments decrease, with the maximum displacement occurring at node 1b, reaching a magnitude of 3.3 m and stabilizing at 1.9 m at 2 s after rupture. The displacements of other nodes show relatively minor changes. According to Table 8, the rupture of T1a notably affects B1, V1a, and V1b. The internal force dynamic coefficient β1 for inner ring brace V1a reaches 2.66, while internal force the variation coefficient β2 of internal forces reaches 0.54. As depicted in Figure 9c, after the structural deformation stabilizes, localized failure occurs without resulting in a complete structural collapse.
Figure 9.
Time history curves of internal force of T1a and each nodal vertical displacement, and structural deformation diagrams. (a) Internal force of T1a; (b) each nodal vertical displacements; (c) deformation of the structure at the 9th s following failure.
Table 8.
Variation of internal forces in various components after the failure of T1a-1.
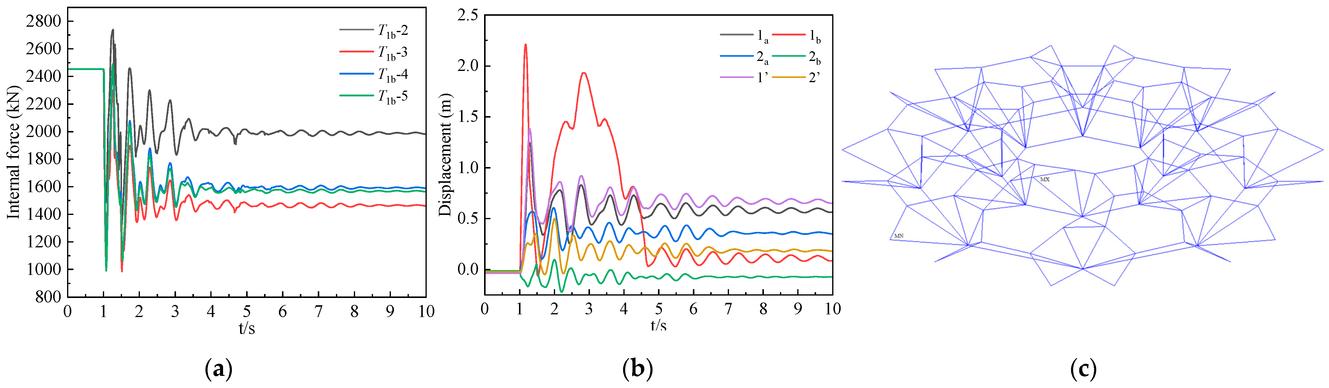
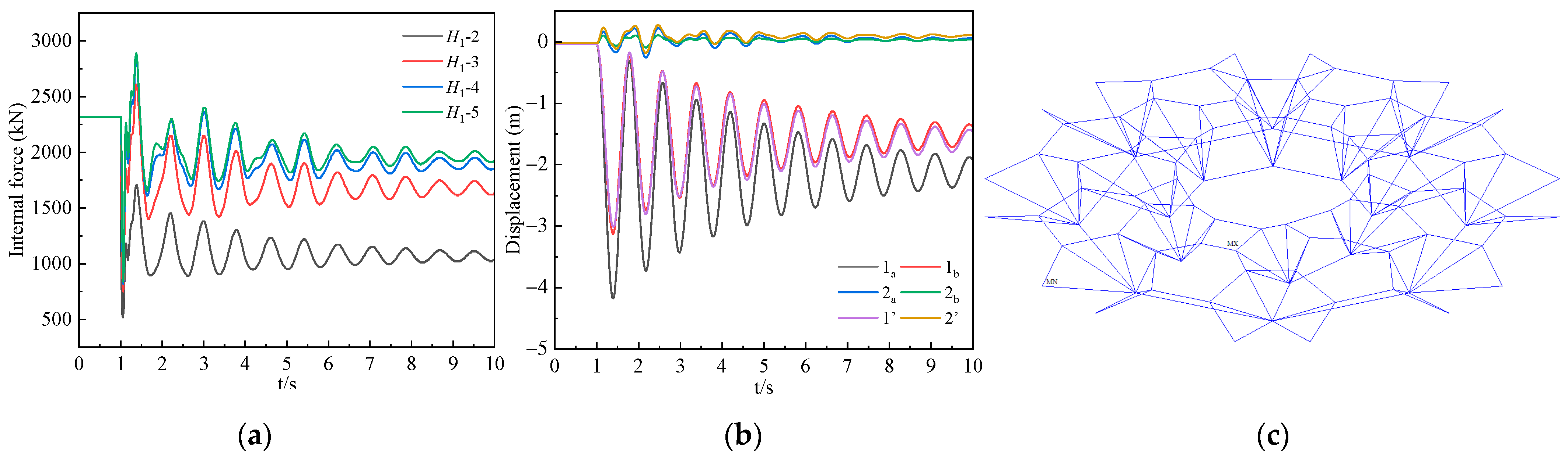
3.7. Failure of Component T1b-1
Following the rupture of upper chord ridge cable T1b-1, the time-dependent variations of internal forces and vertical displacements of nodes are illustrated in Figure 10a,b. Table 9 provides an overview of the changes in internal forces for each component. It can be observed from Figure 10a that after experiencing two distinct fluctuations, the internal forces in the structure undergo redistribution. The T1b internal forces diminish to varying degrees. As the spinal cord T1b is connected to the upper node 1b, the vertical displacement at node 1b exhibits more prominent oscillations, reaching a maximum of 2.4 m. However, the displacements of all nodes stabilize and remain below 1 m. Table 9 reveals that the rupture of T1b-1 notably impacts N1b, B1, and V1b. Notably, the internal force dynamic coefficient β1 for inner ring brace V2b reaches 3.50, while the internal force variation coefficient β2 of internal forces reaches 0.11. At 9 s after component failure, the structural deformation, as depicted in in Figure 10c, displays deformation at the upper node 1b, while the overall stiffness remains largely intact.
Figure 10.
Time history curves of internal force of T1b and each nodal vertical displacement, and structural deformation diagrams. (a) Internal force of T1b; (b) each nodal vertical displacements; (c) deformation of the structure at the 9th s following failure.
Table 9.
Variation of internal forces in various components after the failure of T1b-1.
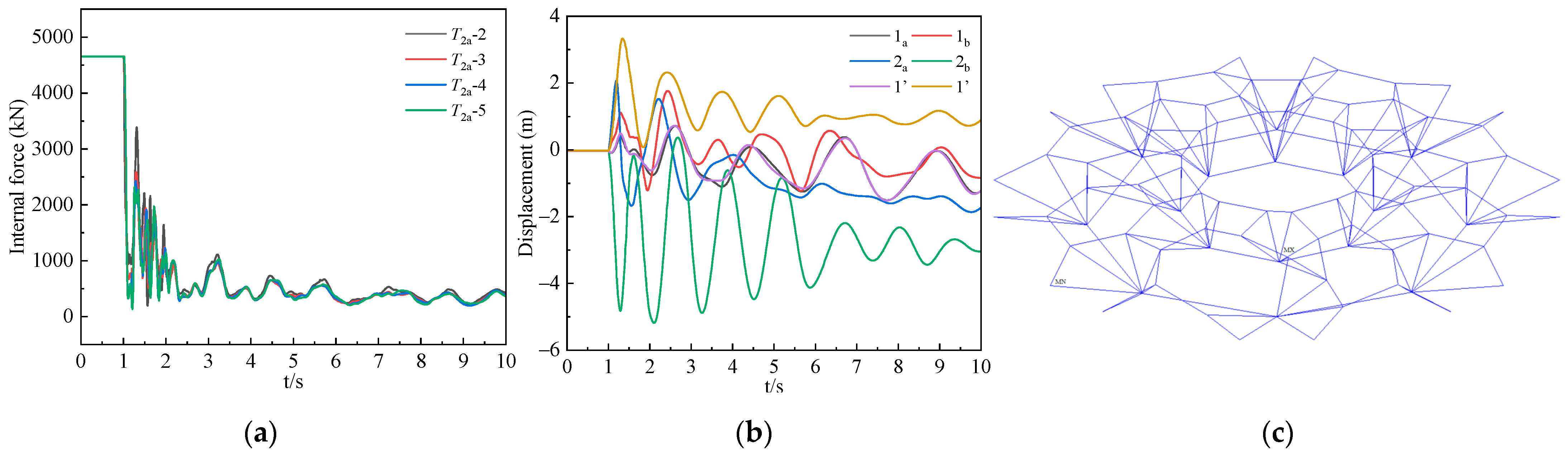
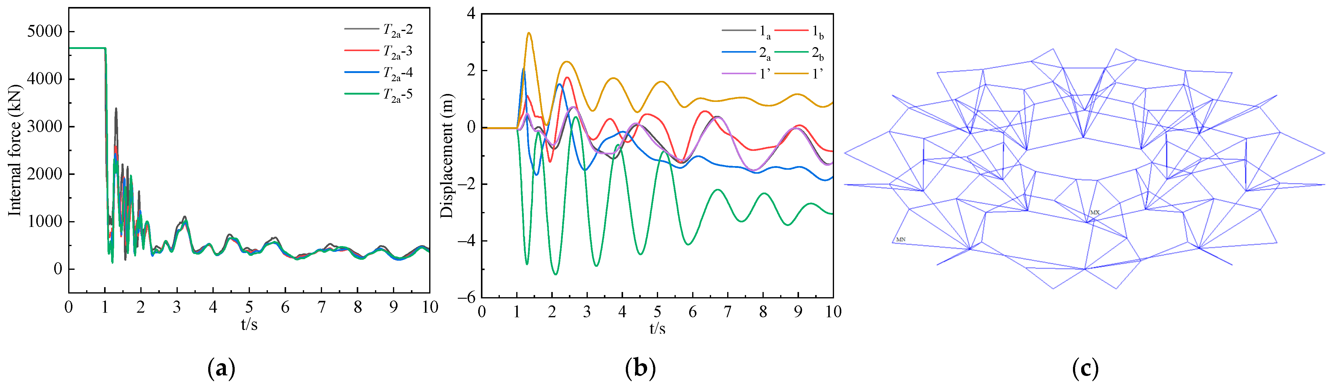
3.8. Failure of Component T2a-1
After the rupture of upper chord ridge cable T2a-1, the variations of internal forces and vertical displacements of nodes over time are depicted in Figure 11a,b. Table 10 provides a summary of the changes in internal forces for each component. Within the first second following the cable rupture, there is a substantial fluctuation in internal forces, leading to a redistribution of forces within the structure. The T1b spinal cord experiences a reduction in internal forces to a lower level without relaxation, while the vertical displacement at node 2b exhibits pronounced oscillations. However, 6 s after the cable rupture, the vertical displacements of all nodes gradually stabilize. According to Table 10, the rupture of T2a-1 significantly affects the internal forces of components such as N1b, N2a, B1, T1a, T1b, and V1b. Notably, the tension cables N1b, N2a, T1a, and T1b undergo relaxation. The internal force dynamic coefficient β1 for the inner ring brace V1b reaches 3.71, while the internal force variation coefficient β2 of internal forces reaches 0.07. At 9 s after component failure, the structural deformation, as depicted in Figure 11c, reveals localized significant deformation in the outer ring hexagonal honeycomb grid, but it does not exhibit extensive failure.
Figure 11.
Time history curves of internal force of T2a and each nodal vertical displacement, and structural deformation diagrams. (a) Internal force of T2a; (b) each nodal vertical displacements; (c) deformation of the structure at the 9th s following failure.
Table 10.
Variation of internal forces in various components after the failure of T2a-1.
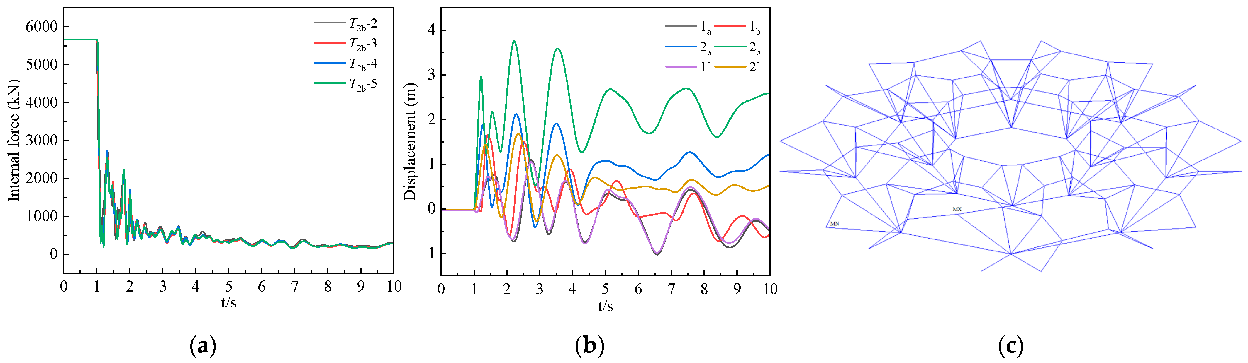
3.9. Failure of Component T2b-1
After the failure of upper chord ridge cable T2b-1, the variations in internal forces and vertical displacements of each node over time are depicted in Figure 12a,b. T2b-1, which belongs to the outer ring spinal cord, is connected to nodes 2b and 3a. As observed in Figure 12a, when one of these spinal cords of the same type fails, the internal forces of the remaining cords gradually decrease to lower levels. This redistribution of internal forces leads to the relaxation of cables such as N1b, T1a, T1b, and B1. All nodes experience noticeable vertical displacement fluctuations, with node 2b exhibiting the largest magnitude, stabilizing at 2.5 m. According to Table 11, the internal forces of both the inner and outer ring braces of type “b” are significantly affected by the failure of spinal cord T2b-1. The internal force dynamic coefficient β1 for the inner ring brace V1b reaches 1.49, and the internal force variation coefficient β2 for internal forces reaches 0.04. As shown in Figure 12c, once the structure regains stability, it only undergoes localized deformations, with minimal impact on the overall structure.
Figure 12.
Time history curves of internal force of T2b and each nodal vertical displacement, and structural deformation diagrams. (a) Internal force of T2b; (b) each nodal vertical displacements; (c) deformation of the structure at the 9th s following failure.
Table 11.
Variation of internal forces in various components after the failure of T2b-1.
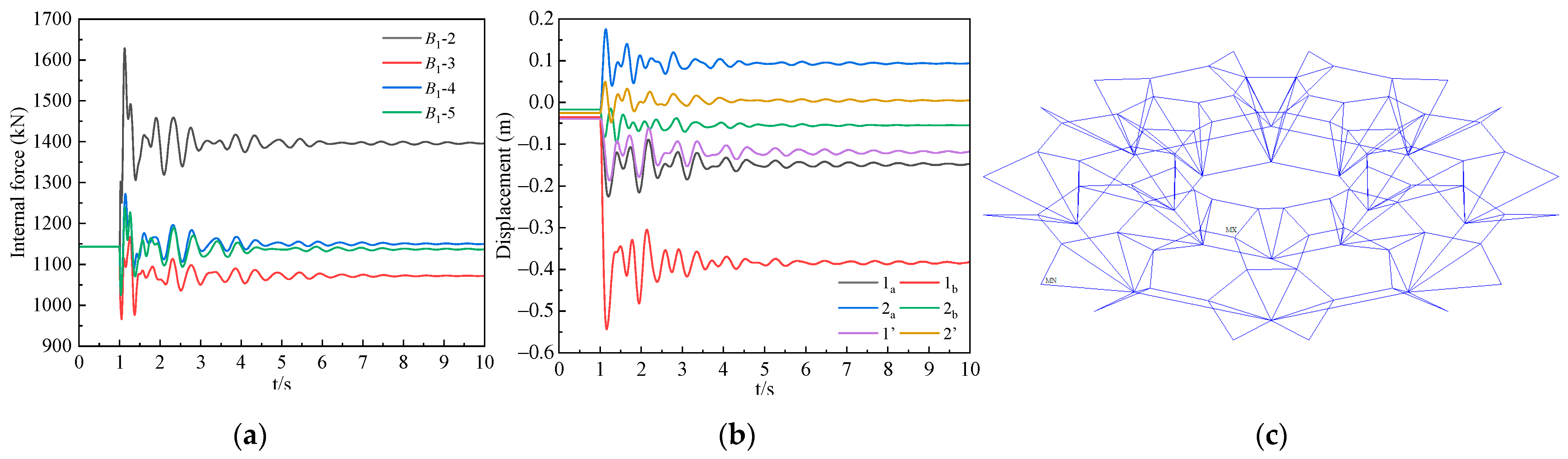
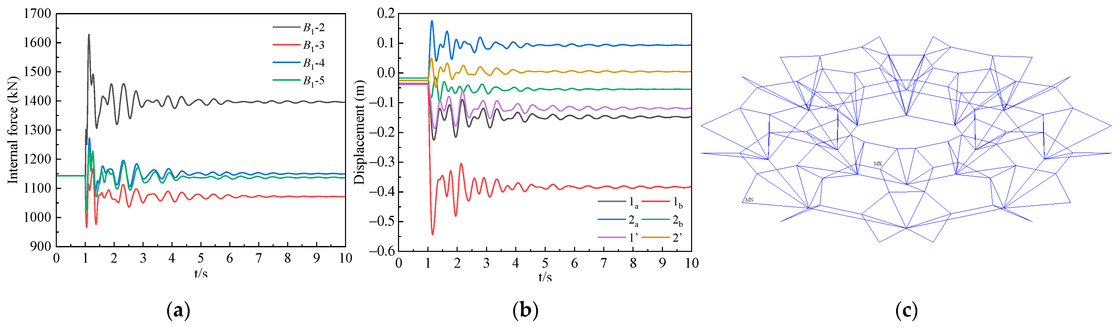
3.10. Failure of Component B1-1
After the failure of the inner ring diagonal cable B1-1, the internal forces and vertical displacements of each node exhibit time-dependent variations, as shown in Figure 13a,b. B1 diagonal cable is responsible for providing tension to four adjacent inner ring lower braces, connecting nodes 1′ and 2a. Upon the failure of B1-1, there is a noticeable fluctuation in the internal forces of B1 components within the first second. As the system reaches a new equilibrium, the internal forces of similar cables in neighboring substructures increase, while the remaining components experience varying degrees of reduction. Specifically, the internal force of B1-2 increases by approximately 20%. Among the vertical displacements of the nodes, node 1b shows the highest peak at 0.54 m, indicating a notable displacement. However, overall, the displacements remain within acceptable limits, and the structural stiffness is only minimally compromised. Table 12 provides a comprehensive summary of the internal force variations, revealing the impact of B1-1 failure on various components without significantly affecting any specific component. From Figure 13c illustrating the structural deformation following the component failure, no substantial deformation is observed, affirming the structural integrity of the system.
Figure 13.
Time history curves of internal force of B1 and each nodal vertical displacement, and structural deformation diagrams. (a) Internal force of B1; (b) each nodal vertical displacements; (c) deformation of the structure at the 9th s following failure.
Table 12.
Variation of internal forces in various components after the failure of B1-1.
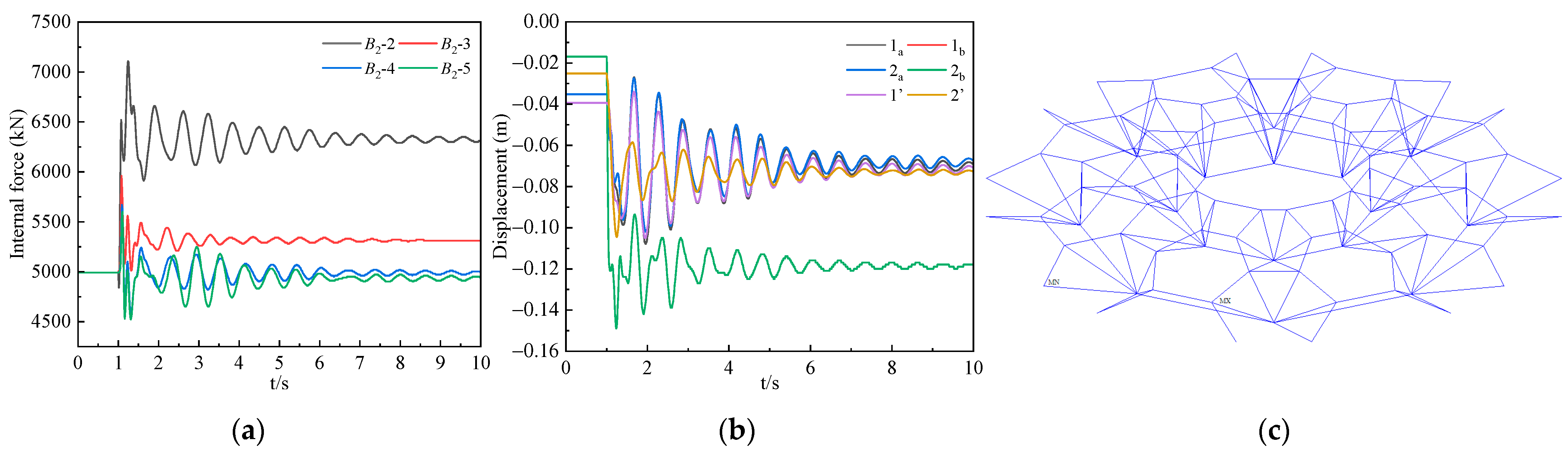
3.11. Failure of Component B2-1
After the rupture of inner ring diagonal cable B2-1, the variation of B2 internal forces and vertical displacements of each node over time is illustrated in Figure 14a,b. Positioned in the outer ring, B2-1 acts as the active cable during the initial tensioning phase, imparting equal horizontal tension to all outer ring diagonal cables B2 to establish the initial prestress in the cable dome structure. Upon the rupture of B2-1, a noticeable fluctuation in internal forces occurs within 1 s, followed by a redistribution of internal forces throughout the structure. B2-2 experiences an approximate 26% increase in internal force, while the other similar diagonal cables exhibit varying degrees of reduction in internal forces. Concerning the vertical displacements of each node, the largest oscillation is observed at the upper chord node 2b of the outer ring, peaking at 0.15 m and gradually stabilizing after the 6th second. No significant displacements are observed in the remaining nodes. Table 13 presents a statistical analysis of the changes in internal forces, revealing that the failure of B2-1 impacts various components, albeit without significantly affecting any particular component. Furthermore, Figure 14c provides visual evidence that the structure undergoes localized deformation while avoiding total collapse.
Figure 14.
Time history curves of internal force of B2 and each nodal vertical displacement, and structural deformation diagrams. (a) Internal force of B2; (b) each nodal vertical displacements; (c) deformation of the structure at the 9th s following failure.
Table 13.
Variation of internal forces in various components after the failure of B2-1.
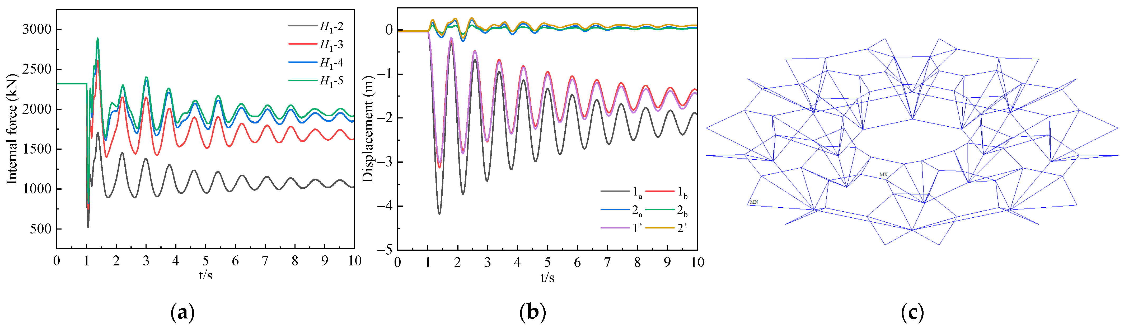
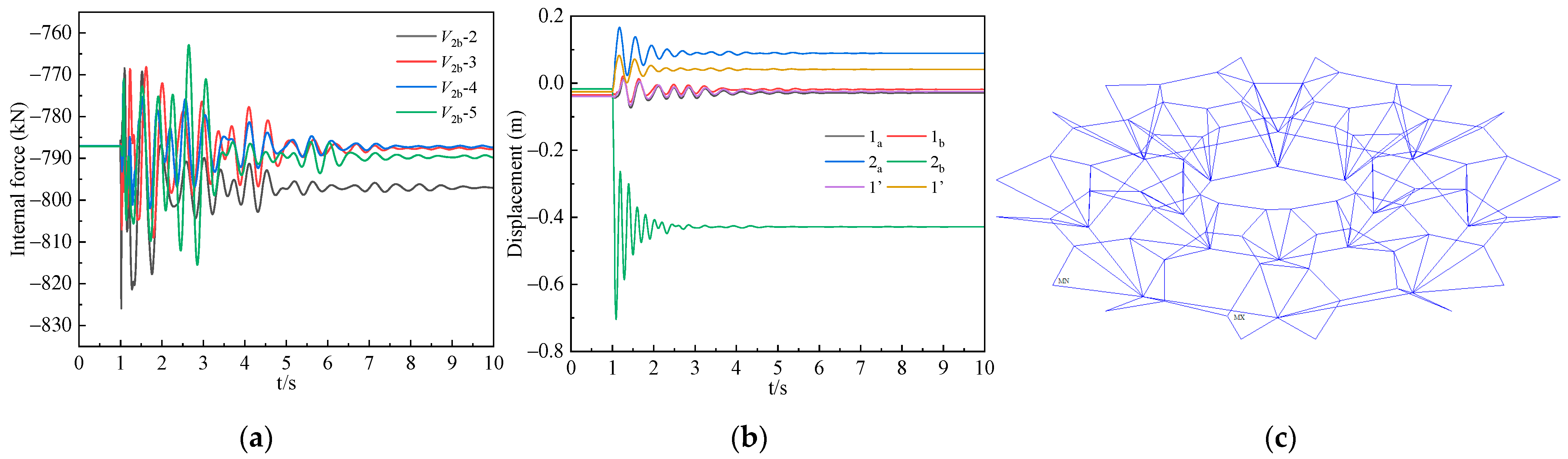
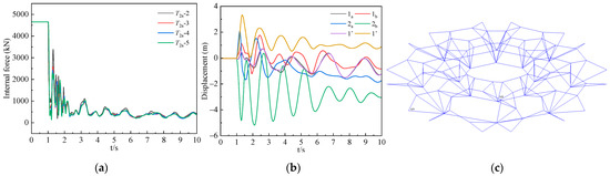
3.12. Failure of Component H1-1
After the rupture of the inner ring cable H1-1, the internal forces and vertical displacements of each node in H1 vary over time, as depicted in Figure 15a,b. H1 is the lower chord ring cable in the inner ring, connecting all lower chord nodes 1′. Following the rupture of H1-1, the remaining H1 cables undergo different degrees of oscillation before stabilizing after 5 s. The internal forces in all H1 cables decrease to varying extents, with the H1-2 cable closest to the rupture point experiencing a reduction of nearly 50%. Apart from nodes 2b and 2′, the vertical displacements of other nodes are significantly affected by the cable rupture, gradually converging to stability after 6 s. Notably, node 1a exhibits the maximum displacement of 2 m. Table 14 summarizes the changes in internal forces, revealing significant impacts on all bracing members, except V2b. Specifically, the dynamic internal force coefficient β1 of the inner ring bracing members V1a and V1b reaches values of 4.10 and 6.06, respectively, while the internal force change coefficient β2 reaches values of 1.69 and 3.68, respectively. By observing the structural deformation Figure 15c, it becomes apparent that a pronounced downward deformation occurs at node 1a, where the two adjacent substructures connected by H1-1 are located, indicating a noticeable loss of stiffness in the inner ring structure.
Figure 15.
Time history curves of internal force of H1 and each nodal vertical displacement, and structural deformation diagrams. (a) Internal force of H1; (b) each nodal vertical displacements; (c) deformation of the structure at the 9th s following failure.
Table 14.
Variation of internal forces in various components after the failure of H1-1.
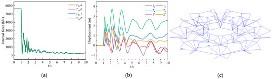
3.13. Failure of Component H2-1
After the outer ring cable H2-1 ruptures, the time-varying changes in internal forces of H1 and the vertical displacements of each node are shown in Figure 16a,b. Acting similarly to H1, H2 connects all the lower chord nodes of the outer ring, which constitutes the primary portion of the cable dome structure’s stiffness. Once it breaks, the structural dynamic response becomes severe. Throughout the entire dynamic analysis, H2 experiences significant fluctuations in internal forces, which subsequently decrease after the redistribution of internal forces within the structure. The vertical displacements of all nodes in the structure exhibit a consistent pattern of change, indicating a noticeable loss of structural stiffness. The maximum vertical displacement reaches nearly 6 m. Table 15 provides a statistical overview of the changes in internal forces. As indicated, the failure of H2-1 affects various components, with a more pronounced impact on B1, V1a, and V2b. The internal force dynamic coefficient β1 for the V2b strut in the outer ring reaches 3.84, and the internal force variation coefficient β2 for internal force changes reaches 0.94. From Figure 16c, it is evident that the two lower chord nodes connected to H2-1, located within the hexagonal honeycomb grid of the outer ring, experience noticeable deformation.
Figure 16.
Time history curves of internal force of H2 and each nodal vertical displacement, and structural deformation diagrams. (a) Internal force of H2; (b) each nodal vertical displacements; (c) deformation of the structure at the 9th s following failure.
Table 15.
Variation of internal forces in various components after the failure of H2-1.
3.14. Failure of Component V1a-1
V1a is an internal ring compression brace that connects the upper chord class-a nodes with the lower chord nodes. Following the rupture, Figure 17a,b illustrates the time-dependent variations in internal forces and vertical displacements of V1a and its associated nodes. After approximately 4 s of vibration, the internal forces in the brace stabilize, prompting a redistribution of forces within the structure and a slight increase in the internal forces of each V1a brace. Notably, the upper chord node 1a, which is linked to V1a-1, experiences a significant downward displacement, while the remaining nodes exhibit negligible changes. Additional details regarding the changes in internal forces for other components can be found in the provided Table 16. The rupture of V1a-1 predominantly impacts the internal forces of V1b, with the dynamic internal force coefficient β1 reaching 1.44 and the internal force variation coefficient β2 reaching 0.34. Upon inspecting Figure 17c, localized collapse becomes evident in the inner ring’s hexagonal grid, where support is lost.
Figure 17.
Time history curves of internal force of V1a and each nodal vertical displacement, and structural deformation diagrams. (a) Internal force of V1a; (b) each nodal vertical displacements; (c) deformation of the structure at the 9th s following failure.
Table 16.
Variation of internal forces in various components after the failure of V1a-1.
3.15. Failure of Component V1b-1
V1b-1 represents a type-b compression strut in the inner ring. After its failure, the internal forces and vertical displacements of each node, as depicted in Figure 18a,b, undergo distinct changes. Following a prominent oscillation, the internal forces of V1b stabilize, leading to a redistribution of forces within the structure. With the exception of V1b-3, which experiences a significant increase in internal forces, the remaining V1b elements undergo a slight reduction in internal forces. Notably, the vertical displacement of node 1b exhibits substantial fluctuations, reaching 0.46 m within the first second before settling at around 0.3 m. Conversely, the displacements of other nodes remain relatively consistent. The accompanying Table 17 provides a statistical overview of internal force variations in other components, revealing no discernible impact on any particular element. Upon examining Figure 18c, it becomes evident that the hexagonal honeycomb grid in the inner ring of the first module undergoes only minor deformations, avoiding structural collapse.
Figure 18.
Time history curves of internal force of V1b and each nodal vertical displacement, and structural deformation diagrams. (a) Internal force of V1b; (b) each nodal vertical displacements; (c) deformation of the structure at the 9th s following failure.
Table 17.
Variation of internal forces in various components after the failure of V1b-1.
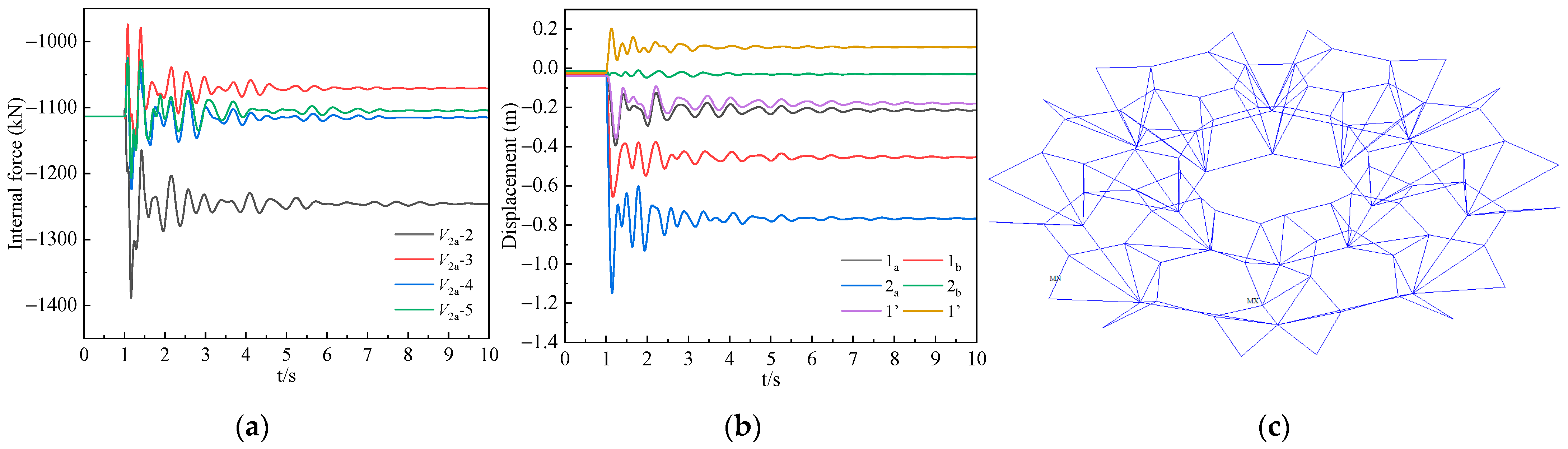
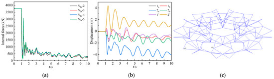
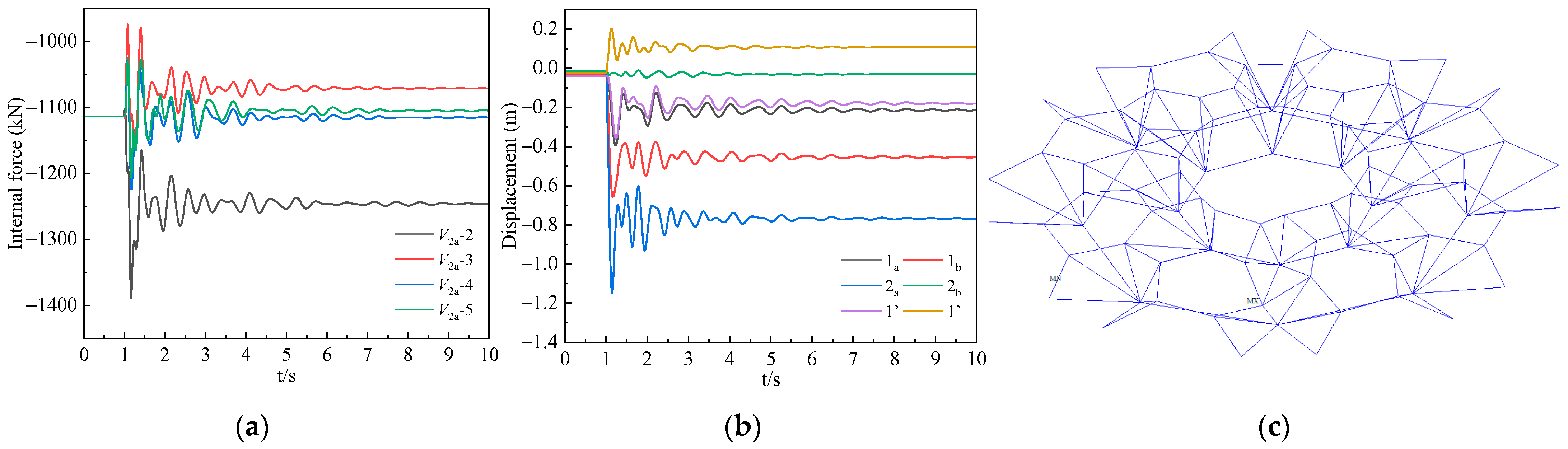
3.16. Failure of Component V2a-1
After the rupture of V2a-1, the internal forces and vertical displacements of each node in V2a undergo changes over time, as depicted in the accompanying Figure 19a,b. Following an initial significant fluctuation, the internal forces in V2a-2 increase, while the remaining similar bracing members experience a minor reduction in internal forces. The vertical displacements of the nodes are predominantly affected by the failure of V2a-1, particularly impacting node 1b in the inner ring and node 2a in the outer ring. Notably, during the fluctuation process, node 2a exhibits a maximum displacement of 1.1 m. The statistical analysis of internal force variations for other components is provided in Table 18. The failure of V2a-1 has a relatively even impact on other types of components, with V1b being significantly influenced, as evidenced by its internal force dynamic coefficient β1 of 1.89 and internal force variation coefficient β2 of 0.42. Upon observing Figure 19c, localized collapse becomes evident in the vicinity of node 2a within the first substructure.
Figure 19.
Time history curves of internal force of V2a and each nodal vertical displacement, and structural deformation diagrams. (a) Internal force of V2a; (b) each nodal vertical displacements; (c) deformation of the structure at the 9th s following failure.
Table 18.
Variation of internal forces in various components after the failure of V2a-1.
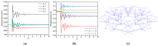
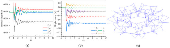
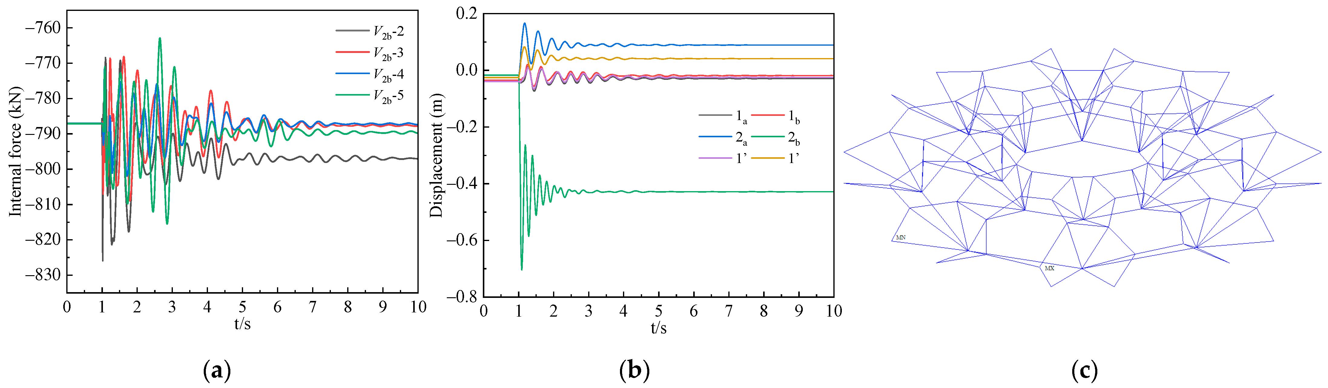
3.17. Failure of Component V2b-1
V2b-1 is a b-class compression strut in the outer ring. After its rupture, the internal forces and vertical displacements of each node in V2b vary over time, as shown in Figure 20a,b. Within the first 4 s following the rupture, all V2b internal forces undergo significant fluctuations. However, they gradually stabilize afterward, with only V2b-2 experiencing a slight increase in internal force. The remaining V2b internal forces exhibit no notable changes. Similarly, the displacements of the nodes follow a similar pattern, with node 2b showing a distinct downward displacement of up to approximately 0.7 m. Once the structure regains stability, the displacement decreases to around 0.45 m. The statistical analysis of internal force variations for other components can be found in Table 19, indicating that the impact of V2b-1 failure on other component types is relatively uniform, with no significantly affected components. Figure 20c also serves as evidence that the structure undergoes localized deformation without collapsing.
Figure 20.
Time history curves of internal force of V2b and each nodal vertical displacement, and structural deformation diagrams. (a) Internal force of V2b; (b) each nodal vertical displacements; (c) deformation of the structure at the 9th s following failure.
Table 19.
Variation of internal forces in various components after the failure of V2b-1.
4. Components Importance Level Evaluation
Table 20 compares various indicators after the failure of different components and assesses the importance of the components based on the rules outlined in Section 2.4.
Table 20.
Comparison of structural performance after the failure of each component and the importance level.
The failure of the upper chord ridge cables N1, N1b, T1a, or T1b resulted in significant effects on the remaining components and localized damage. However, no relaxation components were observed within the structure. Therefore, according to the rules, the importance level of these components can be classified as “Medium”. On the other hand, after the failure of the upper chord components N1a, N2a, N2b, T2a, or T2b, the remaining components were significantly affected, leading to localized damage to the structure. Simultaneously, the presence of relaxation components within the structure was observed. Consequently, the importance level of these components should be categorized as “High”.
After the failure of diagonal cables B1 or B2, no significant effects or relaxation components were observed in the structure, and the vertical displacement of the structure did not exceed the limit. Therefore, the importance level of both types of diagonal cable can be classified as “Low”. As ring cables with higher internal forces in the structure, they primarily contribute to the structural stiffness and usually have a significant impact on the structure. After the failure of H1 or H2, it results in significant effects on the remaining components, leading to localized damage, and at the same time, the presence of relaxation components is observed within the structure. Consequently, the importance level of both types of tension cables is categorized as “High”.
The struts are located in the lower chord of the structure and are the only compression components in the structure. After the failure of struts V1a, V1b, or V2b, no significant effects or relaxation components were observed in the structure, and the vertical displacement of the structure did not exceed the limit. Therefore, the importance level of these struts can be classified as “Low”. The situation is quite different after the failure of the strut V2a. It not only significantly affects the internal forces of some remaining components but also leads to localized damage. According to the rules, the importance level of strut V2a should be classified as “Medium”.
5. Conclusions
In this study, the dynamic response and failure patterns of the drum-shaped honeycomb type III cable dome with quad-strut layout were investigated when experiencing localized failure of individual components due to accidental events or severe overloading by establishing a finite element numerical model and utilizing nonlinear dynamic analysis methods. Based on the computational results of single-component failures, the importance levels of different types of components within the overall structure were determined.
In conclusion, this research contributes to the understanding of the stability of cable dome structures with this configuration. The findings offer valuable insights for structural design and safety assessment, making this research a valuable addition to the field of structural engineering. The main conclusions drawn in this paper are as follows:
- The ridge cables play a critical role in the structure, and their failure can lead to different levels of localized collapse. Moreover, certain ridge cables are prone to relaxation. The circumferential ridge cables N hold slightly greater importance compared to the transverse ridge cables T.
- When a single inner or outer diagonal cable B fails, it does not cause substantial deformation of the structure. Consequently, the importance of the diagonal cables is relatively low compared to other components.
- The annular cable H holds significant importance in the structure due to its substantial internal forces and its crucial contribution to the overall stiffness. It plays a vital role in maintaining the equilibrium of internal forces within the structure. The failure of the annular cable has a pronounced impact on the internal forces of other components and the displacement of nodes, ultimately resulting in localized structural collapse.
- The failure of strut V leads to a partial loss of vertical stiffness in the structure, resulting in a significant decrease in its load-bearing capacity. Since the type-a struts are vertically arranged, they contribute significantly to the overall vertical stiffness. As a result, the importance of type-a struts is markedly higher than that of type-b struts. Based on the computational results, it appears that outer ring struts are more important than inner ring struts.
- In the case of failure of a single component in this particular cable dome structure, no overall collapse occurs. Analyzing the dynamic response reveals that the outer ring significantly contributes to the overall stiffness of the structure. Consequently, the safety rating of the components in the outer ring is consistently higher than that of components in the inner ring.
- In practical engineering design, for components with medium or high importance levels, more conservative design methods should be adopted to ensure the stability and safety of the structure.
Author Contributions
Conceptualization, H.L.; methodology, Z.Z.; software, H.Z. and Y.C.; investigation, Z.C.; resources, Z.Z.; data curation, H.Z.; writing—review and editing, H.Z.; visualization, Z.C. and Y.C.; project administration, H.L.; All authors have read and agreed to the published version of the manuscript.
Funding
National Natural Science Foundation of China (NSFC) [Grant No. 52268031].
Institutional Review Board Statement
Not applicable.
Informed Consent Statement
Not applicable.
Data Availability Statement
Not applicable.
Conflicts of Interest
The authors declare no conflict of interest.
References
- Fuller, R.B. Tensile-Integrity Structures. U.S. Patent 3063521, 13 November 1962. [Google Scholar]
- Geiger, D.H. The Design and construction of two cable domes for the Korean Olympics Shells. In Proceedings of the Membranes and Space Frames IASS Symposium, Osaka, Japan, 15–19 September 1986. [Google Scholar]
- Levy, M.P. The Georgia Dome and beyond: Achieving lightweight-longspan structures. In Spatial Lattice and Tention Structures; ASCE: Reston, VA, USA, 1994; pp. 560–562. [Google Scholar]
- Dong, S.; Yuan, X. Advances in research on cable domes. J. Zhejiang Univ. Eng. Sci. 2008, 42, 1–7. [Google Scholar] [CrossRef]
- Dong, S.; Wang, Z.; Yuan, X. Static behavior analysis of a space structure combined of cable dome and single-layer lattice shell. J. Build. Struct. 2010, 31, 1–8. [Google Scholar] [CrossRef]
- Dong, S.; Wang, Y.; Liu, H. Innovative research and pre-stress state analysis of drum honeycomb sequence multi-strut type cable dome structural system. Spat. Struct. 2022, 28, 3–15. [Google Scholar] [CrossRef]
- Dong, S.; Lv, H.; Chen, Z.; Zhang, H.; Wang, Y. Structural form and initial prestress analysis on drum-shaped honeycomb-type cable dome with quad-strut layout. Spat. Struct. 2022, 28, 3–15. [Google Scholar] [CrossRef]
- Yu, Y.; Xia, P.; Yang, C. Form finding and collapse analysis of cable nets under dynamic loads beased on finite particle method. CMES-Comput. Model. Eng. Sci. 2018, 117, 73–89. [Google Scholar] [CrossRef]
- Wang, X.; Chen, Z.; Yu, Y.; Liu, H. Numerical and experimental study on loaded suspendome subjected to sudden cable failure. J. Constr. Steel Res. 2017, 137, 358–371. [Google Scholar] [CrossRef]
- Liu, R.; Zou, Y.; Wang, G.; Xue, S. On the collapse resistance of the levy type and the loop-free suspen-dome structures after accidental failure of cables. Int. J. Steel Struct. 2022, 22, 585–596. [Google Scholar] [CrossRef]
- Zhang, C.; Lai, Z.; Yang, X.; Li, Q.; Zhang, Z.; Fu, X. Dynamic analyses and simplified methods for evaluating complicated suspend-dome structures subjected to sudden cable failure. Int. J. Steel Struct. 2022, 23, 18–36. [Google Scholar] [CrossRef]
- Xu, Z.; Yan, S. Progressive-collapse mechanism of suspended-dome structures subjected to sudden cable rupture. Buildings 2023, 13, 1533. [Google Scholar] [CrossRef]
- Kahla, N.B.; Moussa, B. Effect of a cable rupture ontensegrity system. Int. J. Space Struct. 2002, 17, 51–65. [Google Scholar] [CrossRef]
- Zhao, R.; Wei, D.; Sun, W.; Li, D. Form-finding and cable-breaking analyses for cable-membrane roof structure of Shenzhen Baoan stadium. Eng. Mech. 2010, 27 (Suppl. S1), 266–269. [Google Scholar]
- Chen, L.; Li, Z.; Liu, Y.; Huang, K.; Zeng, Y.; Zhou, Y.; Dong, S. Analysis and evaluation of the progressive collapse behaviourof a cable dome structure. Buildings 2022, 12, 1700. [Google Scholar] [CrossRef]
- Lu, J.; Dong, X.; Li, N.; Wu, X. Progressive collapse-resistant capacity analysis of torus-dome cable-strut structure due to cable rupture. Eng. Mech. 2016, 33, 173–178. [Google Scholar]
- Jiang, X. Research on Progressive Collapse Mechanism and Prevention Methods of Large-Span Truss/Beam-Type Structural Systems. Ph.D. Thesis, Tongji University, Shanghai, China, 2008. [Google Scholar]
- Zhang, C.; Fu, X.; Du, X.; Yan, X.; Xu, L.; Jia, H. Dynamic Analysis of multi-loop cable-string dome due to sudden cable failure. Eng. Mech. 2021, 38, 64–77. [Google Scholar]
- Zhu, M.; Dong, S.; Yuan, X. Failure analysis of a cable dome due to cable slack or rupture. Adv. Struct. Eng. 2013, 16, 259–271. [Google Scholar] [CrossRef]
- Liang, H.; Dong, S. Effect of local failure on structural behavior of herringbone ribbed dome. J. Build. Struct. 2015, 36, 70–80. [Google Scholar] [CrossRef]
- Liang, C.; Zhu, Z.; Zhang, L.; Bai, G.; Wang, W.; Chen, Y.; Wang, Z. Study on dynamic response of large cable structure after cable break. J. Build. Struct. 2023, 44, 42–53. [Google Scholar] [CrossRef]
- Yuan, X.; Dong, S. New forms and initial prestress calculation of calbe dome. Eng. Mech. 2005, 22, 22–26. [Google Scholar]
- Long, Y.; Bao, S. Structural Mechanics (II); Beijing Higher Education Press: Beijing, China, 2001. [Google Scholar]
- He, J.; Yuan, X.; Jin, B. Analysis of cable domes with rupture of local cable. J. Vib. Shock 2019, 29, 13–16. [Google Scholar] [CrossRef]
Disclaimer/Publisher’s Note: The statements, opinions and data contained in all publications are solely those of the individual author(s) and contributor(s) and not of MDPI and/or the editor(s). MDPI and/or the editor(s) disclaim responsibility for any injury to people or property resulting from any ideas, methods, instructions or products referred to in the content. |
© 2023 by the authors. Licensee MDPI, Basel, Switzerland. This article is an open access article distributed under the terms and conditions of the Creative Commons Attribution (CC BY) license (https://creativecommons.org/licenses/by/4.0/).



















