Abstract
Model-based approaches have been widely employed in damage detection and localization studies. However, alternative techniques, such as built-in online detection methods, hold promise for future advancements in structural health monitoring technologies. In this research paper, we present a dynamic algorithm specifically designed for accurate damage localization in functionally graded plates. The suggested method involves the creation of a grid matrix that captures the dynamic response of the structure over time. Subsequently, an optimization process is performed using a linear equation that incorporates the information contained within the grid, enabling the precise localization of damage. To address the inherent sparsity of the localization nature, we utilize the FISTA (fast iterative shrinkage-thresholding algorithm) as a problem solver. The effectiveness of our approach is evaluated through experimental tests on a functionally graded plate with clamped free boundary conditions. Multiple damage scenarios are investigated, including cases with damage signals on and off-the-grid. The results demonstrate that our proposed approach is capable of accurately predicting the position of damage, indicating its suitability for application in low-size data systems.
1. Introduction
Composite materials are widely employed in various civil and mechanical engineering fields, such as building construction and infrastructure rehabilitation, mainly due to their exceptional properties, including lightweight, high strength, high modulus, high fatigue resistance, and good corrosion resistance. However, composites are more easily damaged and delaminate under excessive inter-laminar stresses, and, additionally, they cannot tolerate high temperatures. As a class of composite materials, functionally graded material (FGM) overcome the limitations of traditional composites by comprising two or more materials with gradual variation from surface to surface. The conventional FGMs are formed from metal and ceramic, and the material properties of FGMs are a mixture of the high thermal resistance of ceramic [1], high strength, and superior fracture toughness of metal [2]. Numerous investigations have been conducted by researchers to elucidate the mechanical characteristics of functionally graded materials (FGMs). However, it is noteworthy that a substantial portion of the existing literature predominantly focuses on the examination of unidirectional FGMs, wherein the material properties exhibit a discernible variation along a single direction, specifically spanning from the top to the bottom surface [3,4,5,6,7]. However, it is imperative to address the exposure of advanced living structures to external loads in multiple directions. To meet this requirement, the development of multi-directional FGMs becomes crucial. These FGMs exhibit varying material properties in different directions, including the thickness and in-plane directions.
FGM-based structures, like other types of structures, are exposed to various loads during operation that can result in different types of damage. Failing to spot and localize these damages can eventually lead to a catastrophic failure with severe consequences. Therefore, it is imperative to identify and detect any potential damages in FGM structures. Damage detection plays a vital role in guaranteeing the safety and dependability of structures, particularly in scenarios where failure could lead to severe consequences. Nonetheless, the existence of graded disparities in material properties within FGM structures can present challenges in the detection and characterization of damage. Numerous techniques have been developed to address the issue of damage detection in FGM structures. One approach is to use non-destructive testing (NDT) methods, such as ultrasonic testing [8,9,10], eddy current tomography [11,12,13,14,15], and X-ray computed tomography (CT) [16]. These methods can detect damage by analyzing changes in the properties of the material, such as changes in acoustic properties or changes in magnetic fields.
An alternative methodology involves the implementation of sensor-based structural health monitoring (SHM) systems to detect alterations in the structural response of the functionally graded material structure. These SHM systems commonly rely on a network of sensors, including accelerometers, strain gauges, and temperature sensors, to continuously monitor the dynamic behaviour of the structure in real-time [17,18,19,20,21,22,23]. The detection of structural damage can be inferred from alterations in the response of the system. Moreover, analytical and numerical modelling methodologies can be employed to forecast the behaviour of functionally graded material structures under various loading scenarios and to simulate the progression of damage. Such models are instrumental in identifying vulnerable regions within the structure that are susceptible to damage, consequently aiding in the formulation of strategies for damage mitigation. The detection of damage in FGM structures represents a multifaceted challenge necessitating a multidisciplinary approach incorporating non-destructive testing, structural health monitoring, and analytical and numerical modelling techniques.
There are several algorithms available for damage detection in structures. The most investigated methods in the literature are the modal-based algorithms [24], which involve measuring changes in modal parameters, such as natural frequencies, mode shape curvature [25], structure damping [23], and strain energy [26], to identify damage in the FGM structure. The efficacy of this particular approach in detecting damage in FGMs has been well-established; however, it is worth noting that its performance may be influenced by the presence of noise in the measured response. An alternative technique considered for damage detection in FGMs is the frequency response function (FRF) method [27], which includes analyzing the curvature of the FRF to identify changes in the dynamic properties of the structure. The FRF technique can be further refined using the modal assurance criterion (MAC) in the frequency domain [28], in which quantitative measures of mode shape similarity can be utilized to ascertain the location of the damages. Additionally, employing the coupling response measurement technique enables the determination of damage location and extent through the analysis of output responses of a structure under diverse loading conditions [29]. This methodology holds significant potential for the detection of damage in intricate FGM structures, surpassing the capabilities of conventional techniques. Each of these methods possesses inherent advantages and limitations, and the selection of an appropriate approach is contingent upon multiple considerations, including the nature and magnitude of the damage, the material properties inherent to the FGM structure, and the accessibility of relevant data. Thorough evaluation and comparison of diverse approaches are imperative to ascertain their efficacy and appropriateness within a specific application.
The use of artificial neural networks (ANNs) for detecting damage in FGM structures has gained popularity and is being extensively studied. ANNs work by collecting data from the structure and constructing a mathematical model that can predict the presence and location of damage [18,30,31,32,33]. The acquisition of data for training ANNs commonly involves visual inspections or vibration tests. ANNs offer the advantage of obviating the requirement for high-fidelity system models. Nonetheless, ANNs necessitate substantial quantities of training data and may lack adequate reliability in the absence of appropriate training. To address this concern, this research paper introduces an innovative methodology founded on the dynamic response exhibited by the impaired structure. The suggested approach uses a matrix grid to store the signal response of an FGM plate for every damage, and by using a sparse algorithm, the position of the damage can be identified. The finite element method (FEM) is considered to analyze the accuracy and reliability of the proposed procedure in localizing damage when the damage is on the grid and off-the-grid.
The present research paper is organized as follows: Section 1 presents the mathematical formulation of the structure being investigated; Section 2 presents the outcomes and results derived from the approach employed in this study; and finally, concluding remarks are provided to summarize the findings.
2. Materials and Methods
2.1. FGM Constitutive Equations
Consider an FGM material made of two separate isotropic material bases, which in this case are a ceramic and a metal. The effective material properties of the FGM are mainly estimated using the well-known rule of mixture (ROM) formula, which describes the effective property P as the sum of the ratio of each constituent, as described below [33]:
where is the volume fraction, and c and m are indexes that respectively represent the metal and ceramic parts. In the present work, we presume that the metal material varies through the thickness of the structure following the power law formula:
where h is the thickness of the structure, and k is the power law index, which governs the volume fraction outline through the thickness. It is worth mentioning that the variation of the material is proceeding symmetrically to the mid surface, which means that the material on the bottom surface (z = −h/2) is pure metal and at the top surface (z = h/2) is entirely ceramic.
2.2. Equation of Motion
The FE equations of the FGM plate can be described in terms of nodal displacement {U}, while each node includes its corresponding degree of freedom. Thus, the equation of motion in a global system coordinate is assembled and presented as follows:
where is the stiffness matrix, is the mass matrix, is the damping matrix, and {F} is the structural load.
The Newmark beta schema is used to solve Equation (3). The schema is adopted for the required time domain. The displacement, velocity, and acceleration are calculated using the following integration formula:
and are Newmark beta integration parameters that are given below:
where is a parameter that controls the numerical dissipation of the method.
2.3. Finite Element Model
This section presents a comprehensive account of the implementation of the finite element model. The Ansys APDL package is utilized for modelling and conducting the analysis. The modelling approach incorporates a series of macro files specifically tailored for each procedural step. A macro file, in this context, is defined as a function encompassing a custom-designed command written in APDL. The modelling process encompasses various stages, such as geometry implementation, material assignment, meshing, load application, boundary condition specification, and ultimately, the analysis. The specific focus of this study revolves around a plate composed of FGM.
The modelling approach commences with the utilization of the block command to generate a three-dimensional (3D) model of the plate structure. Subsequently, the damage geometry is introduced by subtracting it from the primary BLOCK using the Boolean command VSBV. For meshing purposes, the SOLID186 element, a 3D solid element, is employed. This element comprises 20 nodes, each possessing 3 translation degrees of freedom, and supports various analysis types. To ensure greater control over the mesh size and quality, the LSEL and LESIZE commands are utilized. The assignment of the FGM is accomplished through a *Do loop in conjunction with a power law function (Equation (1)). The loop iterates through the elements in the z-direction and assigns the necessary parameters to each element, considering the element length as an argument.
The code developed for the incorporation of the FGM is presented in Algorithm 1. Of course, this approach can not insure a complete continuous distribution of the graded material but it is as far the best method to border on the real-life material distribution when an appropriate number of elements is used [34,35]. The suitable boundary conditions are allocated using NSEL and D commands. The complete finite element model is given in Figure 1.
| Algorithm 1. Implementation of FGM in Ansys APDL | |
| * Create, mat_fgm z_coord = arg1 grad_common = (a_z*z_coord)**k E_fgm = (E_t − E_b)*grad_common + E_b den_fgm = (dens_t − dens_b)*grad_common + dens_b * End !mat_fgm_pol counter = 0 * Do, j, 1, ele_numb_z, 1 z_coord = length_e_z*(j − 0.5) counter = counter + 1 * use, mat_fgm, z_coord mp, ex, counter, E_fgm mp, dens, counter, den_fgm esel, s, CENT, Z, −b/2 + length_e_z* (counter − 1), −b/2 + length_e_z*counter, 1 emodif, all, mat, counter esel, all * Enddo | * Create a function named mat_fgm * Take z_coord as a variable * Calculate the volume fraction (Equation (2)) * Calculate the effective Youngs Modulus (Equation (1)) * Calculate the effective Density (Equation (1)) Start the loop through the z-direction element Assign the variable the needed value Use the function mat_fgm Redefine the Youngs modulus Redefine the density Select the elements that receive the new properties. Modify the element material properties to calculate one End the loop |
Figure 1.
Finite element model.
2.4. Damage Detection Based on Sparse Regression
Models that are parametrically based can generally be described by a set of linear equations that define the relationship between the model inputs and outputs. Usually, such linear models are addressed using regression algorithms. A regression is said to be sparse when some components in the model are non-zero while others are explicitly set to zero. This approach enables variable selection, effectively determining which variables are included or excluded. In this study, we employ a sparsity approach to define our problem. Therefore, we capture the time history deflections of the fibre-reinforced (FG) plate for various damage locations. We subtract the retrieved signals from the undamaged deflections and then plug the results into a matrix grid. Thus, the problem is formulated as follows:
is a matrix container, where each column is the normalized substruction between damage and undamaged responses for a damage location. The raw of is the time intervals of the retrieved data, which are in our case the plate deflections.
is a sparse vector pointer that defines the damage locations. The element in is taken to be zero when there is no damage and non-zero when the damage exists.
is a normalized substruction between the damaged and undamaged response vector for an unknown damage location. Figure 2 illustrates the idea.
Figure 2.
Illustration of the structural response estimation for unknown damage.
Equation (6) can be handled as an optimization problem concerning as follows:
In Equation (7), norm is found to be the best choice because it promotes sparsity, which fits our damage identification approach. Hence, our problem is reformulated as an optimization problem using as follows:
where is defined as the sum of the absolute values of the X elements, and is the regularization parameter governing the sparsity of the vector . In the case of multiple damages, the test signal is treated as the sum of the signals acquired from the structures with different damages. As stated by [29], this assumption remains true only in the case of small damages. To solve Equation (8), we use the FISTA Algorithm 2 proposed by [36].
| Algorithm 2. Implementation of the FISTA algorithm |
| Set Take , ; & (i.e., is an arbitrary real-valued n-dimensional starting point) while do End while |
3. Results
3.1. Validation
To validate the present model, two sets of analyses are performed. The material properties used in the analysis are presented in Table 1 The model implementation follows the same procedure described in Section 2.3. It is worth mentioning that a sensitivity analysis is performed for each analysis, and a total of 1800 elements are used.
Table 1.
Material and geometrical proprieties.
In the first analysis, we consider a square FGM plate made of Al/ZrO2-1 with a dimension of mm following Clamped Free Free Free boundary conditions. The plate is subjected to modal analysis and the first six frequencies are extracted and compared with those presented by [36]. The results are shown in Table 2. It can be seen that the predictions are in good agreement with those found in [36]. In the second validation process, an Al/ZrO2-2 fully clamped FGM plate is considered. The plate is subjected to a uniform pressure loading . The nondimensional central deflection is retrieved for two sets of length-to-thickness ratios and three values of index. The results are presented in Table 3 and compared with those presented by [37,38]. It is observed that the results are in close agreement, which proves the accuracy of the present model.
Table 2.
Natural frequencies (Hz) of a cantilever plate for different power law index.
Table 3.
Non-dimensional deflections of the fully clamped plate with different power law index.
3.2. Damage Detection
In the present section, we examine the proposed damage identification schema. Hence, a plate as a structure involving FGM materials was used as a use case. A through-all damage having a length of 2 mm is incorporated into the plate to represent the damage. The location of the damage is repeatedly changed 100 times. Throughout, the damage was uniformly distributed across the plate and labelled as shown in Figure 3. This numbering procedure avoids the use of floating values for the location in the x and y direction, which helps simplify the problem.
Figure 3.
Damage location numbering.
3.2.1. Case Study
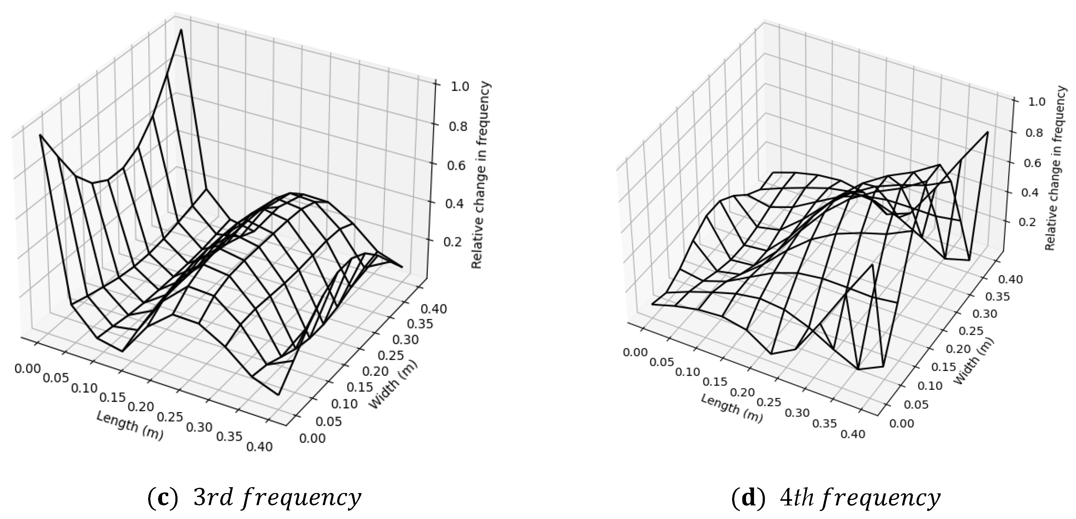
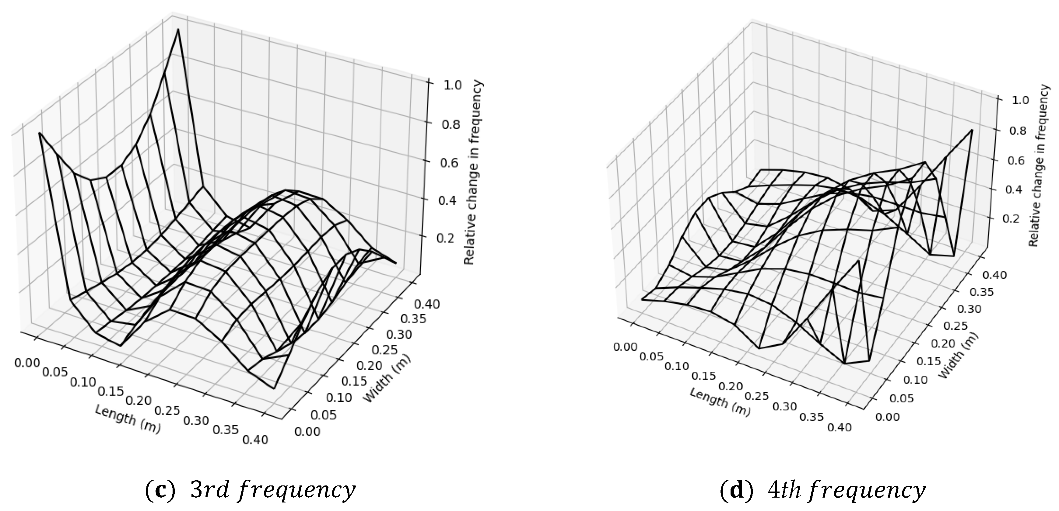
An FGM Al/ZrO2-1 square plate with a length of 400 mm and thickness of 0.5 mm is implemented using APDL following the modelling procedure presented in Section 2.3. A modal analysis was performed and the first six frequencies were extracted. Three power law indexes were investigated. The relative change in frequencies for each damage position is depicted in Figure 4. For the case of brevity, only the first four frequencies with are presented in (a), (b), (c) and (d) respectively. It can be seen that the structure is sensitive to the damaged position while the change can be significant when it is located out of the mode shape neural line.

Figure 4.
Relative change in frequency along the plate surface for first four frequencies: case .
To construct the grid according to the specifications outlined in Section 2.4 of the research paper, a nodal transient load is imposed on the unrestrained end of the plate. For this investigation, a 5-cycle tone burst load with a suitable central frequency of 50 Hz is considered. The selection of this central frequency is based on the resonance modes of interest, specifically the first three modes in our particular scenario. Subsequently, the deflections of the functionally graded (FG) plate are recorded. This procedure is repeated for a total of one hundred locations while ensuring that the load position and the node at which the deflections are obtained remain consistent. Figure 5 displays the representative deflection profiles observed for both the damaged and undamaged plates.
Figure 5.
A typical deflection response for damaged and undamaged cases.
The damage was quantified using the relative vibration energy, which is just the normalized subtraction of the energy vibration of healthy and damaged cases. The normalized vibration energy is given as follows:
where and are the time history displacements of the FG plate.
Figure 6 depicted the relative vibration energy reduction for each damage position. It is clearly shown that the vibration energy reduction is significantly large when it is closed to the clamped area of the FG plate.
Figure 6.
Change in vibration energy for each damage position.
In this research paper, a total of 199 samples were obtained for each registered deflection. The construction process of the grid involved subtracting the deflections observed in damaged cases from those recorded in the responses of the healthy structure. These subtracted values were subsequently normalized. To construct the grid, the time deflections from 16 randomly selected damage positions were utilized, while the remaining positions were considered degraded.
To evaluate the methodology, two cases were examined. The first case involved damage located within the grid, while the second case involved damage positioned outside the grid, which we will refer to as “off-the-grid.” From Figure 7, it is evident that the algorithm successfully identified the location of the damage (in this case, damage 70) within the grid. However, for the off the grid position (specifically position 71), the algorithm determined the nearest position within the grid to the actual damage.
Figure 7.
Values of the elements of the sparse vector x obtained for damage location: 70 on-the-grid. 71 off-the-grid.
The algorithm underwent additional testing to evaluate its performance across multiple cases, and the outcomes are presented in Figure 8. As anticipated, in all instances where the target positions were within the grid, the algorithm demonstrated perfect accuracy in predicting the locations of damage. However, for instances where the target positions were situated outside the grid, the algorithm’s findings are depicted in Figure 9. In such cases, the algorithm highlighted the closest grid location it identified.
Figure 8.
Damage localization for the case of on grid.
Figure 9.
Damage localization for the case of off-grid.
3.2.2. Damage Localization Sensitivity
The accuracy of the sparsity-based algorithm is highly dependent on the data size used [40]. To evaluate the impact of grid size on the algorithm’s accuracy, we analyzed six different data size scenarios: 5, 10, 16, 20, 30, and 50 damage positions, respectively. In all scenarios, the same unknown damage position was utilized.
We determined the accuracy of damage localization by measuring the distance between the predicted damage position and the true position. The distance was calculated using a simple Pythagorean equation, as depicted in Figure 10.
Figure 10.
Damage error evaluation.
The true and predicted damage positions for each data size scenario are given in Figure 11. As the figures clearly show, the accuracy of the present algorithm is highly sensitive to data size. The prediction error decreases with respect to the amount of data. However, increasing the data will also rise computational time. Therefore, optimizing the used data concerning the prediction performance can significantly enhance the reliability of the proposed algorithm. Figure 12 shows that, in our case, the prediction error decreases linearly until reaching 30 damage points, and then the results stabilize.
Figure 11.
Off grid damage prediction for different data sizes.
Figure 12.
Relative distance vs. data size.
3.2.3. Effect of Observation Nodes
In this section, our focus is to analyze the effect of the deflection measuring point on the performance of the algorithm for localizing multiple damages. Thus, we excite the plate using the same excitation as before, placing it in the middle of the free end of the plate. We select six measuring points, as shown in Figure 13. Based on the findings in Section 3.2.2, we construct a grid using 30 randomly chosen damage positions. However, the sought-after damage position is intentionally chosen to be off-the-grid, specifically at location 72 in our case. We run the algorithm for each measuring point and present the results in Figure 14. From the figures, we observe a significant improvement in accuracy when the measuring points coincide with the excitation point, which is visible in Figure 14 (S4).
Figure 13.
Displacements Lecture points.

Figure 14.
Distance between the true and predicted damage positions.
4. Conclusions
This paper suggests a dynamic algorithm for accurate damage localization in functionally graded plates. The algorithm utilized a grid matrix to capture the dynamic response of the structure and an optimization process incorporating the information from the grid to precisely locate damage. Our approach demonstrated its suitability for application in low-size data systems by accurately predicting the position of damage in experimental tests on a functionally graded plate.
The validation process confirmed the accuracy of our proposed model by comparing the predicted frequencies and deflections with those obtained from previous studies, showing good agreement and supporting its reliability. The damage detection experiments further demonstrated the sensitivity of the structure to damaged positions and the effectiveness of our algorithm in localizing damage. The algorithm identified the location of damage within the grid and determined the nearest grid location for off-the-grid positions.
Additionally, our algorithm’s performance was evaluated for different data sizes and observation nodes, revealing that increasing the data size improved the accuracy of damage localization but also resulted in longer computational time. Therefore, optimizing the data used for prediction can enhance the algorithm’s reliability. Moreover, we found that the algorithm performed better when the measuring points coincided with the excitation point.
We observed that our approach is time-dependent, making it suitable for online tracking of damages. The algorithm exhibited high sensitivity to data size, emphasizing the importance of choosing appropriate data for achieving accurate results. Furthermore, the choice of measuring point significantly improved the algorithm’s accuracy. Notably, our approach outperformed an ANN-based approach when the training data was limited.
Author Contributions
E.G. and K.B., Conceptualization, software, investigation, writing—original draft preparation. S.K. and B.B., methodology, software, writing—review. E.M.B., A.M.A. and E.B.M., writing—review, editing and funding acquisition. All authors have read and agreed to the published version of the manuscript.
Funding
This research work was funded by Institutional Fund Projects under grant no. (IFPIP: 1878-135-1443).
Data Availability Statement
The authors confirm that the data supporting the findings of this study are available within the article.
Acknowledgments
The authors gratefully acknowledge the technical and financial support from the Ministry of Education and King Abdulaziz University, DSR, Jeddah, Saudi Arabia.
Conflicts of Interest
The authors declare no conflict of interest.
References
- Koizumi, M. FGM activities in Japan. Compos. Part B Eng. 1997, 28, 1–4. [Google Scholar] [CrossRef]
- Jha, D.K.; Kant, T.; Singh, R.K. A critical review of recent research on functionally graded plates. Compos. Struct. 2013, 96, 833–849. [Google Scholar] [CrossRef]
- Cuong-Le, T.; Nguyen, K.D.; Lee, J.; Rabczuk, T.; Nguyen-Xuan, H. A 3D nano scale IGA for free vibration and buckling analyses of multi-directional FGM nanoshells. Nanotechnology 2021, 33, 065703. [Google Scholar] [CrossRef]
- Le Thanh, C.; Nguyen, T.N.; Vu, T.H.; Khatir, S.; Wahab, M.A. A geometrically nonlinear size-dependent hypothesis for porous functionally graded micro-plate. Eng. Comput. 2020, 38, 449–460. [Google Scholar] [CrossRef]
- Cuong-Le, T.; Nguyen, K.D.; Nguyen-Trong, N.; Khatir, S.; Nguyen-Xuan, H.; Abdel-Wahab, M. A three-dimensional solution for free vibration and buckling of annular plate, conical, cylinder and cylindrical shell of FG porous-cellular materials using IGA. Compos. Struct. 2021, 259, 113216. [Google Scholar] [CrossRef]
- Żur, K.K.; Arefi, M.; Kim, J.; Reddy, J. Free vibration and buckling analyses of magneto-electro-elastic FGM nanoplates based on nonlocal modified higher-order sinusoidal shear deformation theory. Compos. Part B Eng. 2020, 182, 107601. [Google Scholar] [CrossRef]
- Sahmani, S.; Fattahi, A.M.; Ahmed, N.A. Analytical treatment on the nonlocal strain gradient vibrational response of postbuckled functionally graded porous micro-/nanoplates reinforced with GPL. Eng. Comput. 2020, 36, 1559–1578. [Google Scholar] [CrossRef]
- Fang, W.; Cheng, L.; Wang, H.; Yang, L.; Liao, R. High Power Ultrasonic Testing Method for Agglomeration of Nanoparticles in Nanocomposite Dielectrics. In Proceedings of the 2021 IEEE Conference on Electrical Insulation and Dielectric Phenomena (CEIDP), Vancouver, BC, Canada, 12–15 December 2021; pp. 347–351. [Google Scholar]
- Aslam, M.; Lee, J. Numerical Investigation of Nonlinear Guided Wave Propagation in a Functionally Graded Material. In Fiber Reinforced Polymeric Materials and Sustainable Structures; Springer: Berlin/Heidelberg, Germany, 2023; pp. 191–198. [Google Scholar]
- Aslam, M.; Park, J.; Lee, J. Microcrack inspection in a functionally graded plate structure using nonlinear guided waves. Structures 2023, 49, 666–677. [Google Scholar] [CrossRef]
- Haddar, H.; Jiang, Z.; Riahi, M.K. A Robust Inversion Method for Quantitative 3D Shape Reconstruction from Coaxial Eddy Current Measurements. J. Sci. Comput. 2017, 70, 29–59. [Google Scholar] [CrossRef]
- Haddar, H.; Riahi, M.K. Near-field linear sampling method for axisymmetric eddy current tomography. Inverse Probl. 2021, 37, 105002. [Google Scholar] [CrossRef]
- Riahi, M.K.; Qattan, I.A. On the convergence rate of Fletcher-Reeves nonlinear conjugate gradient methods satisfying strong Wolfe conditions: Application to parameter identification in problems governed by general dynamics. Math. Methods Appl. Sci. 2022, 45, 3644–3664. [Google Scholar] [CrossRef]
- Riahi, M.K. A new approach to improve ill-conditioned parabolic optimal control problem via time domain decomposition. Numer. Algorithms 2016, 72, 635–666. [Google Scholar] [CrossRef]
- Benaissa, B.; Khatir, S.; Jouini, M.S.; Riahi, M.K. Optimal Axial-Probe Design for Foucault-Current Tomography: A Global Optimization Approach Based on Linear Sampling Method. Energies 2023, 16, 2448. [Google Scholar] [CrossRef]
- Zhu, L.; Dang, F.; Xue, Y.; Ding, W.; Zhang, L.; Xiong, X. Meso-scale damage detection and assessment of concrete under dynamic compression loading using X-ray computed tomography. Mater. Charact. 2021, 176, 111149. [Google Scholar] [CrossRef]
- Khatir, A.; Capozucca, R.; Khatir, S.; Magagnini, E.; Benaissa, B.; Le Thanh, C.; Wahab, M.A. A new hybrid PSO-YUKI for double cracks identification in CFRP cantilever beam. Compos. Struct. 2023, 311, 116803. [Google Scholar] [CrossRef]
- Ghandourah, E.; Khatir, S.; Banoqitah, E.M.; Alhawsawi, A.M.; Benaissa, B.; Wahab, M.A. Enhanced ANN Predictive Model for Composite Pipes Subjected to Low-Velocity Impact Loads. Buildings 2023, 13, 973. [Google Scholar] [CrossRef]
- Slimani, M.; Tiachacht, S.; Behtani, A.; Khatir, T.; Khatir, S.; Benaissa, B. Improved ANN for Damage Identification in Laminated Composite Plate BT—Proceedings of the International Conference of Steel and Composite for Engineering Structures; Capozucca, R., Khatir, S., Milani, G., Eds.; Springer International Publishing: Cham, Switzerland, 2023; pp. 186–198. [Google Scholar]
- Khatir, S.; Tiachacht, S.; Benaissa, B.; Le Thanh, C.; Capozucca, R.; Abdel Wahab, M. Damage Identification in Frame Structure Based on Inverse Analysis. In Proceedings of the 2nd International Conference on Structural Damage Modelling and Assessment: SDMA 2021, Ghent, Belgium, 4–5 August 2021; Springer: Berlin/Heidelberg, Germany, 2022; pp. 197–211. [Google Scholar]
- Slimani, M.; Khatir, T.; Tiachacht, S.; Boutchicha, D.; Benaissa, B. Experimental sensitivity analysis of sensor placement based on virtual springs and damage quantification in CFRP composite. J. Mater. Eng. Struct. JMES 2022, 9, 207–220. [Google Scholar]
- Kahouadji, A.; Tiachacht, S.; Slimani, M.; Behtani, A.; Khatir, S.; Benaissa, B. Vibration-Based Damage Assessment in Truss Structures Using Local Frequency Change Ratio Indicator Combined with Metaheuristic Optimization Algorithms BT—Proceedings of the International Conference of Steel and Composite for Engineering Structures; Capozucca, R., Khatir, S., Milani, G., Eds.; Springer International Publishing: Cham, Switzerland, 2023; pp. 171–185. [Google Scholar]
- Banerjee, A.; Panigrahi, B.; Pohit, G. Crack modelling and detection in Timoshenko FGM beam under transverse vibration using frequency contour and response surface model with GA. Nondestruct. Test. Eval. 2016, 31, 142–164. [Google Scholar] [CrossRef]
- Dinh-Cong, D.; Nguyen-Thoi, T. An effective damage identification procedure using model updating technique and multi-objective optimization algorithm for structures made of functionally graded materials. Eng. Comput. 2023, 39, 1229–1247. [Google Scholar] [CrossRef]
- Xiang, J.; Matsumoto, T.; Wang, Y.; Jiang, Z. Detect damages in conical shells using curvature mode shape and wavelet finite element method. Int. J. Mech. Sci. 2013, 66, 83–93. [Google Scholar] [CrossRef]
- Liang, C.; Yaw, Z.; Lim, C. Thermal strain energy induced wave propagation for imperfect FGM sandwich cylindrical shells. Compos. Struct. 2023, 303, 116295. [Google Scholar] [CrossRef]
- Xiang, J.; Lei, Y.; Wang, Y.; He, Y.; Zheng, C.; Gao, H. Structural Dynamical Monitoring and Fault Diagnosis. Shock Vib. 2015, 2015, 193831. [Google Scholar] [CrossRef]
- Ghannadi, P.; Khatir, S.; Kourehli, S.S.; Nguyen, A.; Boutchicha, D.; Wahab, M.A. Finite element model updating and damage identification using semi-rigidly connected frame element and optimization procedure: An experimental validation. Structures 2023, 50, 1173–1190. [Google Scholar] [CrossRef]
- Sen, D.; Aghazadeh, A.; Mousavi, A.; Nagarajaiah, S.; Baraniuk, R. Sparsity-based approaches for damage detection in plates. Mech. Syst. Signal Process. 2019, 117, 333–346. [Google Scholar] [CrossRef]
- Shirazi, M.I.; Khatir, S.; Benaissa, B.; Mirjalili, S.; Wahab, M.A. Damage assessment in laminated composite plates using modal Strain Energy and YUKI-ANN algorithm. Compos. Struct. 2023, 303, 116272. [Google Scholar] [CrossRef]
- Benaissa, B.; Hocine, N.A.; Khatir, S.; Riahi, M.K.; Mirjalili, S. YUKI Algorithm and POD-RBF for Elastostatic and dynamic crack identification. J. Comput. Sci. 2021, 55, 101451. [Google Scholar] [CrossRef]
- Ishihara, S.; Ishihara, K.; Nagamachi, M.; Matsubara, Y. An automatic builder for a Kansei Engineering expert system using self-organizing neural networks. Int. J. Ind. Ergon. 1995, 15, 13–24. [Google Scholar] [CrossRef]
- Zara, A.; Belaidi, I.; Khatir, S.; Brahim, A.O.; Boutchicha, D.; Wahab, M.A. Damage detection in GFRP composite structures by improved artificial neural network using new optimization techniques. Compos. Struct. 2023, 305, 116475. [Google Scholar] [CrossRef]
- Bendine, K.; Boukhoulda, B.F.; Nouari, M.; Satla, Z. Structural Modeling and Active Vibration Control of Smart FGM Plate through ANSYS. Int. J. Comput. Methods 2017, 14, 1750042. [Google Scholar] [CrossRef]
- Martínez-Pañeda, E. On the Finite Element Implementation of Functionally Graded Materials. Materials 2019, 12, 287. [Google Scholar] [CrossRef]
- Saadatmorad, M.; Jafari-Talookolaei, R.-A.; Pashaei, M.-H.; Khatir, S. Damage Detection in Rectangular Laminated Composite Plate Structures using a Combination of Wavelet Transforms and Artificial Neural Networks. J. Vib. Eng. Technol. 2022, 10, 1647–1664. [Google Scholar] [CrossRef]
- Kapuria, S.; Patni, M.; Yasin, M.Y. A quadrilateral shallow shell element based on the third-order theory for functionally graded plates and shells and the inaccuracy of rule of mixtures. Eur. J. Mech. A/Solids 2015, 49, 268–282. [Google Scholar] [CrossRef]
- Moita, J.S.; Correia, V.F.; Soares, C.M.M.; Herskovits, J. Higher-order finite element models for the static linear and nonlinear behaviour of functionally graded material plate-shell structures. Compos. Struct. 2019, 212, 465–475. [Google Scholar] [CrossRef]
- Dai, K.; Liu, G.; Han, X.; Lim, K. Thermomechanical analysis of functionally graded material (FGM) plates using element-free Galerkin method. Comput. Struct. 2005, 83, 1487–1502. [Google Scholar] [CrossRef]
- Di Lorenzo, D.; Champaney, V.; Germoso, C.; Cueto, E.; Chinesta, F. Data Completion, Model Correction and Enrichment Based on Sparse Identification and Data Assimilation. Appl. Sci. 2022, 12, 7458. [Google Scholar] [CrossRef]
Disclaimer/Publisher’s Note: The statements, opinions and data contained in all publications are solely those of the individual author(s) and contributor(s) and not of MDPI and/or the editor(s). MDPI and/or the editor(s) disclaim responsibility for any injury to people or property resulting from any ideas, methods, instructions or products referred to in the content. |
© 2023 by the authors. Licensee MDPI, Basel, Switzerland. This article is an open access article distributed under the terms and conditions of the Creative Commons Attribution (CC BY) license (https://creativecommons.org/licenses/by/4.0/).















