The Development of Soil-Based 3D-Printable Mixtures: A Mix-Design Methodology and a Case Study
Abstract
1. Introduction
2. Materials and Methods
2.1. Materials
2.1.1. Excavated Soil
2.1.2. Ordinary Portland Cement (OPC)
2.1.3. Superplasticizers
2.2. Methods
2.2.1. Mix-Design Methodology for the Mortars
Superplasticizer Saturation
- The Marsh cone test
- b.
- The mini cone test
2.2.2. Methods of Characterization of Mortars
Characterization of Mortars in the Fresh State
- Printability tests and requirements
- b.
- Flow Table test and setting time
- c.
- Fall cone test
Characterization of Mortars in the Hardened State
- The compacted samples were prepared according to EN NF 196-1 [71], where the mold of dimensions 4 × 4 × 16 cm was filled with two layers of mortar and each layer was struck 60 times.
- The non-compacted samples were prepared by pouring the fresh mortar directly into the 4 × 4 × 16 cm mold without applying compaction or vibration.
- The samples printed with the gun were prepared by printing directly inside the 4 × 4 × 16 cm mold using the same manual gun that was used for the extrudability test, which had a 3 × 1 cm rectangular nozzle in order to obtain 4 successive layers, each of which was 4 cm in width and 1 cm in thickness (Figure 6a).
- The samples printed with the laboratory printer were obtained by extracting 4 × 4 × 4 cm cubic specimens of extruded filaments from the large-scale printer (Figure 6b). The edges of the printed layers were removed so that the six surfaces of the samples were flat and free of irregularities. Each sample was finally composed of 4 layers, each of which was 1 cm in height.
- Compressive strength
- b.
- Mercury intrusion porosity (MIP)
3. Superplasticizer Saturation Tests
3.1. Saturation of Cement with Superplasticizers Using the Marsh Cone
3.2. Saturation of Cement and Soil with Superplasticizers Using the Mini Cone
3.3. Saturation of Cement/Soil Mixtures with Superplasticizers Using the Mini Cone
4. Characterization of Mortars in the Fresh State
4.1. Printability Tests
4.1.1. Determination of the Percentages of SP for All Printable Mixtures
4.1.2. Laboratory Printing Using the Three-Axis Printer
4.2. Flow Table Test and Setting Time
4.3. Fall Cone Test
5. Characterization of Mortars in the Hardened State
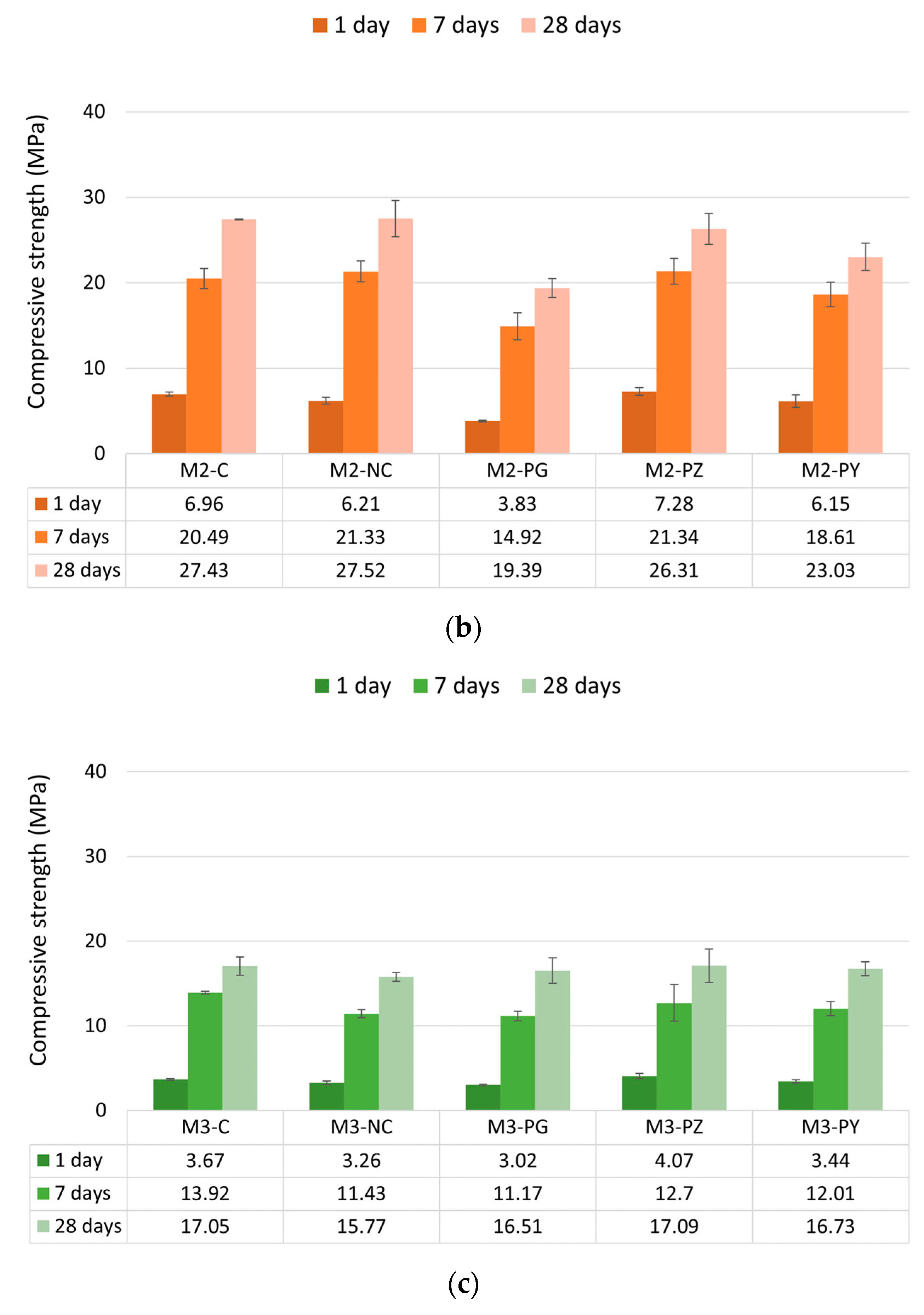
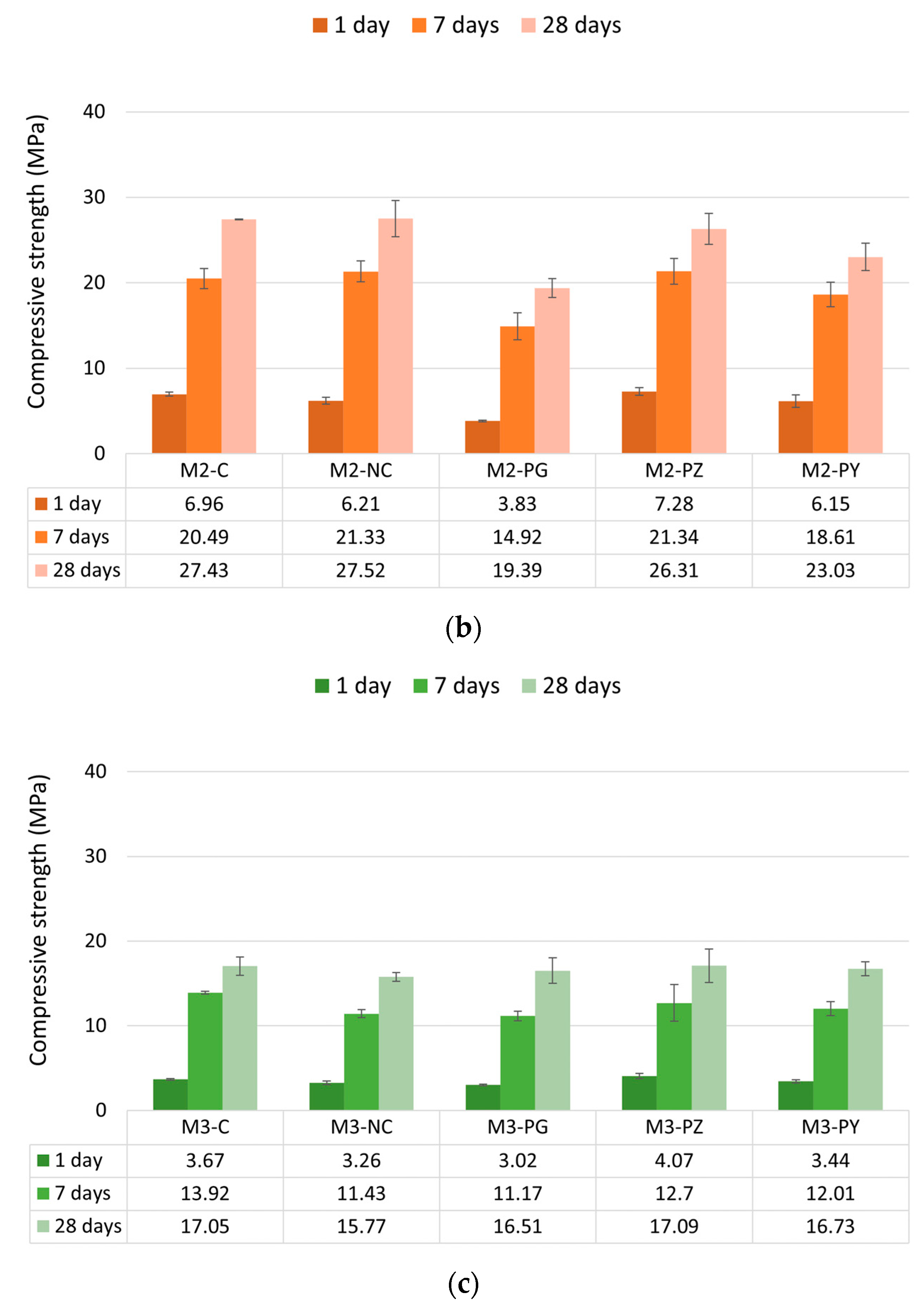
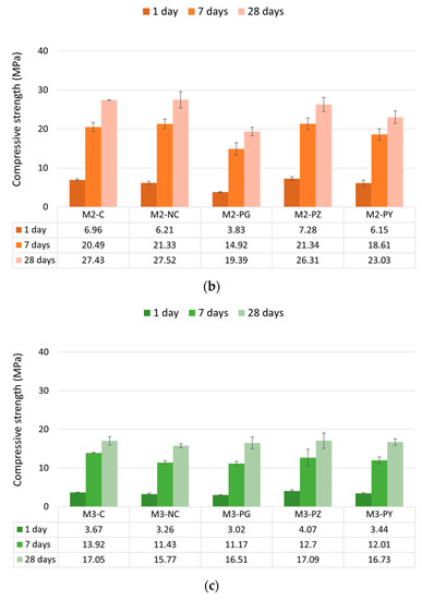
5.1. Compressive Strength
5.2. Mercury Intrusion Porosity (MIP)
5.3. Potential Application of Soil-Based Printable Mixtures at Construction Scale
6. Conclusions
- A mix-design methodology was implemented and proved to be efficient and accurate. It enabled the development of three resistant printable mortars using excavated soil with different soil/cement ratios.
- The flowability, spread diameter and setting time all decreased as the soil/cement ratio in the mixtures increased.
- The evolution of yield stress and structural build-up of the soil-based mixtures was linear over time, and increasing the soil/cement ratio led to the faster development of structural build-up.
- The compressive strength decreased as the soil/cement ratio increased. In addition, the compressive strength values of different types of samples tested for the same mixture decreased as the amount of soil increased.
- The printed mixtures showed compressive strengths higher than the minimum strength required for structural concrete. Therefore, in theory, 3D printing of soil-based mixtures could be used to build load-bearing structures with a strength equivalent to that of traditional concrete structures.
- The total porosity increased as the soil/cement ratio in the mixtures increased, and the porosity results were consistent with those for compressive strength.
Author Contributions
Funding
Data Availability Statement
Conflicts of Interest
References
- Puzatova, A.; Shakor, P.; Laghi, V.; Dmitrieva, M. Large-Scale 3D Printing for Construction Application by Means of Robotic Arm and Gantry 3D Printer: A Review. Buildings 2022, 12, 2023. [Google Scholar] [CrossRef]
- ASTM International F2792-12a; Standard Terminology for Additive Manufacturing Technologies. ASTM International: West Conshohocken, PA, USA, 2013.
- Valente, M.; Sibai, A.; Sambucci, M. Extrusion-Based Additive Manufacturing of Concrete Products: Revolutionizing and Remodeling the Construction Industry. J. Compos. Sci. 2019, 3, 88. [Google Scholar] [CrossRef]
- Sakin, M.; Kiroglu, Y.C. 3D Printing of Buildings: Construction of the Sustainable Houses of the Future by BIM. Energy Procedia 2017, 134, 702–711. [Google Scholar] [CrossRef]
- Pelz, J.S.; Ku, N.; Meyers, M.A.; Vargas-Gonzalez, L.R. Additive manufacturing of structural ceramics: A historical perspective. J. Mater. Res. Technol. 2021, 15, 670–695. [Google Scholar] [CrossRef]
- Allen, S.M.; Sachs, E.M. Three-dimensional printing of metal parts for tooling and other applications. Met. Mater. Int. 2000, 6, 589–594. [Google Scholar] [CrossRef]
- Jafferson, J.M.; Chatterjee, D. A review on polymeric materials in additive manufacturing. Mater. Today Proc. 2021, 46, 1349–1365. [Google Scholar] [CrossRef]
- Robayo-Salazar, R.; Mejía de Gutiérrez, R.; Villaquirán-Caicedo, M.A.; Delvasto Arjona, S. 3D printing with cementitious materials: Challenges and opportunities for the construction sector. Autom. Constr. 2023, 146, 104693. [Google Scholar] [CrossRef]
- Bos, F.; Wolfs, R.; Ahmed, Z.; Salet, T. Additive manufacturing of concrete in construction: Potentials and challenges of 3D concrete printing. Virtual Phys. Prototyp. 2016, 11, 209–225. [Google Scholar] [CrossRef]
- Crowley, A.G.; Tran, T.Q.; Green, M.J. Using nanomaterials to enhance the additive manufacturing of polymeric resins. Nano Futur. 2022, 6, 042502. [Google Scholar] [CrossRef]
- Siripongpreda, T.; Hoven, V.P.; Narupai, B.; Rodthongku, N. Emerging 3D printing based on polymers and nanomaterial additives: Enhancement of properties and potential applications. Eur. Polym. J. 2023, 184, 111806. [Google Scholar] [CrossRef]
- Hambach, M.; Volkmer, D. Properties of 3D-printed fiber-reinforced Portland cement paste. Cem. Concr. Compos. 2017, 79, 62–70. [Google Scholar] [CrossRef]
- Arunothayan, A.R.; Nematollahi, B.; Ranade, R.; Bong, S.H.; Sanjayan, J.G.; Khayat, K.H. Fiber orientation effects on ultra-high performance concrete formed by 3D printing. Cem. Concr. Res. 2021, 143, 106384. [Google Scholar] [CrossRef]
- Gao, W.; Zhang, Y.; Ramanujan, D.; Ramani, K.; Chen, Y.; Williams, C.B.; Wang, C.C.L.; Shin, Y.C.; Zhang, S.; Zavattieri, P.D. The status, challenges, and future of additive manufacturing in engineering. Comput. Des. 2015, 69, 65–89. [Google Scholar] [CrossRef]
- Ahuja, B.; Karg, M.; Schmidt, M. Additive manufacturing in production: Challenges and opportunities. In Laser 3D Manufacturing II, Proceedings of the SPIE LASE, San Francisco, CA, USA, 7–12 February 2015; Helvajian, H., Pique, A., Wegener, M., Gu, B., Eds.; SPIE Digital Library: Bellingham, WA, USA, 2015; Volume 9353, pp. 11–20. [Google Scholar] [CrossRef]
- Asprone, D.; Menna, C.; Bos, F.P.; Salet, T.A.M.; Mata-Falcón, J.; Kaufmann, W. Rethinking reinforcement for digital fabrication with concrete. Cem. Concr. Res. 2018, 112, 111–121. [Google Scholar] [CrossRef]
- Nematollahi, B.; Xia, M.; Sanjayan, J. Current progress of 3D concrete printing technologies. In Proceedings of the 34th International Symposium on Automation and Robotics in Construction, ISRAC 2017, Taipei, Taiwan, 28 June–1 July 2017; pp. 260–267. [Google Scholar]
- Han, Y.; Yang, Z.; Ding, T.; Xiao, J. Environmental and economic assessment on 3D printed buildings with recycled concrete. J. Clean. Prod. 2021, 278, 123884. [Google Scholar] [CrossRef]
- De Schutter, G.; Lesage, K.; Mechtcherine, V.; Nerella, V.N.; Habert, G.; Agusti-Juan, I. Vision of 3D printing with concrete—Technical, economic and environmental potentials. Cem. Concr. Res. 2018, 112, 25–36. [Google Scholar] [CrossRef]
- Zhang, J.; Wang, J.; Dong, S.; Yu, X.; Han, B. A review of the current progress and application of 3D printed concrete. Compos. Part A Appl. Sci. Manuf. 2019, 125, 105533. [Google Scholar] [CrossRef]
- Le, T.T.; Austin, S.A.; Lim, S.; Buswell, R.A.; Gibb, A.G.F.; Thorpe, T. Mix design and fresh properties for high-performance printing concrete. Mater. Struct. Constr. 2012, 45, 1221–1232. [Google Scholar] [CrossRef]
- Perrot, A.; Rangeard, D.; Pierre, A. Structural built-up of cement-based materials used for 3D-printing extrusion techniques. Mater. Struct. Constr. 2016, 49, 1213–1220. [Google Scholar] [CrossRef]
- Kazemian, A.; Yuan, X.; Cochran, E.; Khoshnevis, B. Cementitious materials for construction-scale 3D printing: Laboratory testing of fresh printing mixture. Constr. Build. Mater. 2017, 145, 639–647. [Google Scholar] [CrossRef]
- Alhumayani, H.; Gomaa, M.; Soebarto, V.; Jabi, W. Environmental assessment of large-scale 3D printing in construction: A comparative study between cob and concrete. J. Clean. Prod. 2020, 270, 122463. [Google Scholar] [CrossRef]
- Batikha, M.; Jotangia, R.; Baaj, M.Y.; Mousleh, I. 3D concrete printing for sustainable and economical construction: A comparative study. Autom. Constr. 2022, 134, 104087. [Google Scholar] [CrossRef]
- Klyuev, S.; Klyuev, A.; Fediuk, R.; Ageeva, M.; Fomina, E.; Amran, M.; Murali, G. Fresh and mechanical properties of low-cement mortars for 3D printing. Constr. Build. Mater. 2022, 338, 127644. [Google Scholar] [CrossRef]
- Ma, G.; Li, Z.; Wang, L. Printable properties of cementitious material containing copper tailings for extrusion based 3D printing. Constr. Build. Mater. 2018, 162, 613–627. [Google Scholar] [CrossRef]
- Chen, Y.; Romero Rodriguez, C.; Li, Z.; Chen, B.; Çopuroğlu, O.; Schlangen, E. Effect of different grade levels of calcined clays on fresh and hardened properties of ternary-blended cementitious materials for 3D printing. Cem. Concr. Compos. 2020, 114, 103708. [Google Scholar] [CrossRef]
- Panda, B.; Lim, J.H.; Tan, M.J. Mechanical properties and deformation behaviour of early age concrete in the context of digital construction. Compos. Part B Eng. 2019, 165, 563–571. [Google Scholar] [CrossRef]
- Liu, Z.; Li, M.; Weng, Y.; Wong, T.N.; Tan, M.J. Mixture Design Approach to optimize the rheological properties of the material used in 3D cementitious material printing. Constr. Build. Mater. 2019, 198, 245–255. [Google Scholar] [CrossRef]
- Liu, C.; Wang, X.; Chen, Y.; Zhang, C.; Ma, L.; Deng, Z.; Chen, C.; Zhang, Y.; Pan, J.; Banthia, N. Influence of hydroxypropyl methylcellulose and silica fume on stability, rheological properties, and printability of 3D printing foam concrete. Cem. Concr. Compos. 2021, 122, 104158. [Google Scholar] [CrossRef]
- Daher, J.; Kleib, J.; Benzerzour, M.; Abriak, N.E.; Aouad, G. Recycling of Flash-Calcined Dredged Sediment for Concrete 3D Printing. Buildings 2022, 12, 1400. [Google Scholar] [CrossRef]
- Long, W.J.; Lin, C.; Tao, J.L.; Ye, T.H.; Fang, Y. Printability and particle packing of 3D-printable limestone calcined clay cement composites. Constr. Build. Mater. 2021, 282, 122647. [Google Scholar] [CrossRef]
- Khan, S.A.; Koç, M.; Al-Ghamdi, S.G. Sustainability assessment, potentials and challenges of 3D printed concrete structures: A systematic review for built environmental applications. J. Clean. Prod. 2021, 303, 127027. [Google Scholar] [CrossRef]
- Yao, Y.; Hu, M.; Di Maio, F.; Cucurachi, S. Life cycle assessment of 3D printing geo-polymer concrete: An ex-ante study. J. Ind. Ecol. 2020, 24, 116–127. [Google Scholar] [CrossRef]
- Ilcan, H.; Sahin, O.; Kul, A.; Yildirim, G.; Sahmaran, M. Rheological properties and compressive strength of construction and demolition waste-based geopolymer mortars for 3D-Printing. Constr. Build. Mater. 2022, 328, 127114. [Google Scholar] [CrossRef]
- Excavated Soils: The Biggest Source of Waste You’ve Never Heard of—EURACTIV.com. Available online: https://www.euractiv.com/section/circular-economy/news/excavated-soils-the-biggest-source-of-waste-youve-never-heard-of/ (accessed on 20 January 2023).
- Valorisation des Terres Excavées Issues de Sites et Sols Potentiellement Pollués. BRGM. Available online: https://www.brgm.fr/fr/solutions/valorisation-terres-excavees-issues-sites-sols-potentiellement-pollues (accessed on 19 January 2023).
- Traiter les 47 Millions de Tonnes de Déchets de Chantier du Grand. Available online: https://www.batirama.com/article/50563-traiter-les-47-millions-de-tonnes-de-dechets-de-chantier-du-grand-paris-express.html (accessed on 19 January 2023).
- Hale, S.E.; Roque, A.J.; Okkenhaug, G.; Sørmo, E.; Lenoir, T.; Carlsson, C.; Kupryianchyk, D.; Flyhammar, P.; Žlender, B. The reuse of excavated soils from construction and demolition projects: Limitations and possibilities. Sustainability 2021, 13, 6083. [Google Scholar] [CrossRef]
- Walsh, D.; McRae, I.; Zirngibl, R.; Chawla, S.; Zhang, H.; Alfieri, A.; Moore, H.; Bailey, C.; Brooks, A.; Ostock, T.; et al. Generation rate and fate of surplus soil extracted in New York City. Sci. Total Environ. 2019, 650, 3093–3100. [Google Scholar] [CrossRef] [PubMed]
- Capasso, I.; Liguori, B.; Ferone, C.; Caputo, D.; Cioffi, R. Strategies for the valorization of soil waste by geopolymer production: An overview. J. Clean. Prod. 2021, 288, 125646. [Google Scholar] [CrossRef]
- Priyadharshini, P.; Ramamurthy, K.; Robinson, R.G. Sustainable reuse of excavation soil in cementitious composites. J. Clean. Prod. 2018, 176, 999–1011. [Google Scholar] [CrossRef]
- Khelifi, H.; Perrot, A.; Lecompte, T.; Ausias, G. Design of clay/cement mixtures for extruded building products. Mater. Struct. Constr. 2013, 46, 999–1010. [Google Scholar] [CrossRef]
- Khelifi, H.; Lecompte, T.; Perrot, A.; Ausias, G. Mechanical enhancement of cement-stabilized soil by flax fibre reinforcement and extrusion processing. Mater. Struct. Constr. 2016, 49, 1143–1156. [Google Scholar] [CrossRef]
- Temimi, M.; Ben Amor, K.; Camps, J.P. Making building products by extrusion and cement stabilization: Limits of the process with montmorillonite clay. Appl. Clay Sci. 1998, 13, 245–253. [Google Scholar] [CrossRef]
- Molard, J.P.; Camps, J.P.; Laquerbe, M. Etude de l’extrusion et de la stabilisation par le ciment d’argiles monominérales. Mater. Struct. 1987, 20, 44–50. [Google Scholar] [CrossRef]
- D’Haese, R.; Carpentier, O.; Dubois, V.; Chafei, S.; Wirquin, E. 3D-Printable Materials Made with Industrial By-Products: Formulation, Fresh and Hardened Properties. Sustainability 2022, 14, 14236. [Google Scholar] [CrossRef]
- Perrot, A.; Rangeard, D.; Courteille, E. 3D printing of earth-based materials: Processing aspects. Constr. Build. Mater. 2018, 172, 670–676. [Google Scholar] [CrossRef]
- The First 3D Printed House with Earth Gaia 3D Printers WASP. Available online: https://www.3dwasp.com/en/3d-printed-house-gaia/ (accessed on 1 June 2023).
- Ferretti, E.; Moretti, M.; Chiusoli, A.; Naldoni, L.; De Fabritiis, F.; Visonà, M. Mechanical Properties of a 3D-Printed Wall Segment Made with an Earthen Mixture. Materials 2022, 15, 438. [Google Scholar] [CrossRef]
- Haese, R.D.; Dubois, V.; Carpentier, O.; Chartier, T.; Chafei, S.; Wirquin, E. Composite for additive manufacturing including flax byproducts and quarry fines. In Proceedings of the 2nd EuroMaghrébine Conference of BioComposites, Hammamet, Tunisia, 1–3 November 2018. [Google Scholar]
- AFNOR NF EN 933-1; Essais Pour Déterminer les Caractéristiques Géométriques des Granulats–Partie 1: Détermination de la Granularité–Analyse Granulométrique par Tamisage. AFNOR: Paris, France, 2012.
- AFNOR NF EN ISO 17892-12; Reconnaissance et Essais Géotechniques–Essais de Laboratoire sur les Sols–Partie 12: Détermination des Limites de Liquidité et de Plasticité. AFNOR: Paris, France, 2018.
- AFNOR NF P 94-068; Sols: Reconnaissance et Essais–Mesure de la Capacité d’Adsorption de Bleu de Méthylène d’un Sol ou d’un Matériau Rocheux–Détermination de la Valeur de Bleu de Méthylène d’un Sol ou d’un Matériau Rocheux par l’Essai à la Tache. AFNOR: Paris, France, 1998.
- Baz, B.; Remond, S.; Aouad, G. Influence of the mix composition on the thixotropy of 3D printable mortars. Mag. Concr. Res. 2022, 74, 271–283. [Google Scholar] [CrossRef]
- MasterSuna SBS 4131. Available online: https://www.master-builders-solutions.com/fr-fr/nos-solutions/mastersuna/mastersuna-sbs-4131 (accessed on 17 May 2023).
- Inozemtcev, A.; Korolev, E.; Qui, D.T. Study of mineral additives for cement materials for 3D-printing in construction. IOP Conf. Ser. Mater. Sci. Eng. 2018, 365, 032009. [Google Scholar] [CrossRef]
- Qian, Y. Effect of polycarboxylate ether (PCE) superplasticizer on thixotropic structural build-up of fresh cement pastes over time. Constr. Build. Mater. 2021, 291, 123241. [Google Scholar] [CrossRef]
- Chen, Y.; Li, Z.; Figueiredo, S.C.; Çopuroğlu, O.; Veer, F.; Schlangen, E. Limestone and Calcined Clay-Based Sustainable Cementitious Materials for 3D Concrete Printing: A Fundamental Study of Extrudability and Early-Age Strength Development. Appl. Sci. 2019, 9, 1809. [Google Scholar] [CrossRef]
- Qian, Y.; De Schutter, G. Enhancing thixotropy of fresh cement pastes with nanoclay in presence of polycarboxylate ether superplasticizer (PCE). Cem. Concr. Res. 2018, 111, 15–22. [Google Scholar] [CrossRef]
- AFNOR P 18-358; Adjuvants pour Bétons, Mortiers et Coulis–Coulis Courants d’Injection pour Précontrainte–Mesure de la Fluidité et de la Réduction d’Eau. AFNOR: Paris, France, 1985.
- Wedding, P.; Kantro, D. Influence of Water-Reducing Admixtures on Properties of Cement Paste—A Miniature Slump Test. Cem. Concr. Aggreg. 1980, 2, 95–102. [Google Scholar] [CrossRef]
- Mardani-Aghabaglou, A.; Öztürk, H.T.; Kankal, M.; Ramyar, K. Assessment and prediction of cement paste flow behavior; Marsh-funnel flow time and mini-slump values. Constr. Build. Mater. 2021, 301, 124072. [Google Scholar] [CrossRef]
- Tan, Z.; Bernal, S.A.; Provis, J.L. Reproducible mini-slump test procedure for measuring the yield stress of cementitious pastes. Mater. Struct. Constr. 2017, 50, 235. [Google Scholar] [CrossRef]
- Khalil, N.; Aouad, G.; El Cheikh, K.; Rémond, S. Use of calcium sulfoaluminate cements for setting control of 3D-printing mortars. Constr. Build. Mater. 2017, 157, 382–391. [Google Scholar] [CrossRef]
- AFNOR NF EN 1015-3; Méthodes d’Essai des Mortiers pour Maçonnerie–Partie 3: Détermination de la Consistance du Mortier Frais (avec une Table à Secousses). AFNOR: Paris, France, 1999.
- AFNOR NF EN 480-2; Adjuvants pour Béton, Mortier et Coulis–Méthodes d’Essai–Partie 2: Détermination du Temps de Prise. AFNOR: Paris, France, 2006.
- AFNOR EN ISO 17892-6; Reconnaissance et Essais Géotechniques–Essais de Laboratoire sur les Sols–Partie 6: Essai de Pénétration de Cone. International Organization for Standardization: London, UK, 2017.
- Estellé, P.; Michon, C.; Lanos, C.; Grossiord, J.L. Chapitre 7: De l’intérêt d’une caractérisation rhéologique empirique et relative. In La Mesure en Rhéologie; EDP Sciences: Les Ulis, France, 2021; pp. 205–248. [Google Scholar] [CrossRef]
- AFNOR EN NF 196-1; Méthodes d’Essais des Ciments–Partie 1: Détermination des Résistances. AFNOR: Paris, France, 2016.
- AFNOR ISO 15901-1:2016; Evaluation de la Distribution de Taille des Pores et la Porosité des Matériaux Solides par Porosimétrie à Mercure et L’adsorption des Gaz–Partie 1: Porosimétrie à Mercure. International Organization for Standardization: London, UK, 2016.
- Panda, B.; Ruan, S.; Unluer, C.; Tan, M.J. Improving the 3D printability of high-volume fly ash mixtures via the use of nano attapulgite clay. Compos. Part B Eng. 2019, 165, 75–83. [Google Scholar] [CrossRef]
- Kaushik, S.; Sonebi, M.; Amato, G.; Perrot, A.; Das, U.K. Influence of nanoclay on the fresh and rheological behaviour of 3D printing mortar. Mater. Today Proc. 2022, 58, 1063–1068. [Google Scholar] [CrossRef]
- Chen, M.; Yang, L.; Zheng, Y.; Huang, Y.; Li, L.; Zhao, P.; Wang, S.; Lu, L.; Cheng, X. Yield stress and thixotropy control of 3D-printed calcium sulfoaluminate cement composites with metakaolin related to structural build-up. Constr. Build. Mater. 2020, 252, 119090. [Google Scholar] [CrossRef]
- Zhang, Y.; Zhang, Y.; Liu, G.; Yang, Y.; Wu, M.; Pang, B. Fresh properties of a novel 3D printing concrete ink. Constr. Build. Mater. 2018, 174, 263–271. [Google Scholar] [CrossRef]
- Rahul, A.V.; Santhanam, M.; Meena, H.; Ghani, Z. 3D printable concrete: Mixture design and test methods. Cem. Concr. Compos. 2019, 97, 13–23. [Google Scholar] [CrossRef]
- Wolfs, R.J.M.; Bos, F.P.; Salet, T.A.M. Hardened properties of 3D printed concrete: The influence of process parameters on interlayer adhesion. Cem. Concr. Res. 2019, 119, 132–140. [Google Scholar] [CrossRef]
- Le, T.T.; Austin, S.A.; Lim, S.; Buswell, R.A.; Law, R.; Gibb, A.G.F.; Thorpe, T. Hardened properties of high-performance printing concrete. Cem. Concr. Res. 2012, 42, 558–566. [Google Scholar] [CrossRef]
- Panda, B.; Chandra Paul, S.; Jen Tan, M. Anisotropic mechanical performance of 3D printed fiber reinforced sustainable construction material. Mater. Lett. 2017, 209, 146–149. [Google Scholar] [CrossRef]
- Paul, S.C.; Tay, Y.W.D.; Panda, B.; Tan, M.J. Fresh and hardened properties of 3D printable cementitious materials for building and construction. Arch. Civ. Mech. Eng. 2018, 18, 311–319. [Google Scholar] [CrossRef]
- Feng, P.; Meng, X.; Chen, J.F.; Ye, L. Mechanical properties of structures 3D printed with cementitious powders. Constr. Build. Mater. 2015, 93, 486–497. [Google Scholar] [CrossRef]
- Koker, D. De Manufacturing Processes for Engineered Cement-Based Composite Material Products. Master’s Thesis, Stellenbosch University, Stellenbosch, South Africa, 2004. [Google Scholar]
- American Concrete Institute. Building Code Requirements for Structural Concrete (ACI 318-95) and Commentary (ACI 318R-95); American Concrete Institute: Farmington Hills, MI, USA, 1995. [Google Scholar]
- American Concrete Institute. Chapter 3: The Strength of Concrete. In 2012 Concrete Manual; American Concrete Institute: Farmington Hills, MI, USA, 2012. [Google Scholar]

























| Composition (%) | Al2O3 | CaO | FeO | Fe2O3 | K2O | MgO | Na2O | SO3 | SiO2 | TiO2 | Cl | P2O5 | ZnO |
|---|---|---|---|---|---|---|---|---|---|---|---|---|---|
| Excavated soil | 3.63 | 13.04 | 1.00 | 1.12 | 1.37 | 7.98 | 0.16 | 1.30 | 57.16 | 0.2 | – | – | – |
| Cement | 4.53 | 60.17 | 2.57 | 2.86 | 1.08 | 0.83 | 0.27 | 4.25 | 16.90 | 0.33 | 0.10 | 0.23 | 0.12 |
| Superplasticizer (SP) | CHRYSO®Fluid Optima 100 | MasterSuna SBS 4131 | MasterGlenium ACE 456 |
|---|---|---|---|
| Type | Modified phosphonate | Polymer | Polycarboxylate |
| Dry content (%) | 31.00 | 28.50 | 30.00 |
| Preliminary Mixtures | |||
|---|---|---|---|
| Mixture 1 (M1) | Mixture 2 (M2) | Mixture 3 (M3) | |
| Cement mass (g) | 300 | 300 | 300 |
| Total soil mass (g) | 700 | 1200 | 1700 |
| Soil/cement ratio (~) | 2 | 4 | 6 |
| Soil mass <80 µm (g) | 224 | 384 | 544 |
| Fines = cement + soil <80 µm | 524 | 684 | 844 |
| Water/fines ratio | 0.40 | 0.40 | 0.40 |
| % SP (wt.% fines) in dry content | To be determined | To be determined | To be determined |
| Abbreviation Used | Type of Sample | Example |
|---|---|---|
| C | Compacted (NF EN 196-1) | M1-C |
| NC | Non-compacted | M1-NC |
| PG | Printed with the manual gun | M1-PG |
| PZ | Printed with the printer and tested along the Z-axis | M1-PZ |
| PY | Printed with the printer and tested along the Y-axis | M1-PY |
| Composition of M1 Mixtures | Composition of M2 Mixtures | Composition of M3 Mixtures | ||||||
|---|---|---|---|---|---|---|---|---|
| SP = 0.45% | SP = 0.48% | SP = 0.51% | SP = 0.72% | SP = 0.75% | SP = 0.87% | SP = 0.90% | SP = 1.00% | |
| Cement mass (g) | 300 | 300 | 300 | |||||
| Total soil mass (g) | 700 | 1200 | 1700 | |||||
| Soil/cement ratio (~) | 2 | 4 | 6 | |||||
| Soil mass <80 µm (g) | 224 | 384 | 544 | |||||
| Fines = cement + soil <80 µm | 524 | 684 | 844 | |||||
| Water/fines ratio | 0.40 | 0.40 | 0.40 | |||||
| % SP (wt.% fines) | 0.45 | 0.48 | 0.51 | 0.72 | 0.75 | 0.87 | 0.90 | 1.00 |
| Extrudability and buildability of mixtures | ||||||||
| Extrudability | ✗ | ✓ | ✓ | ✗ | ✓ | ✓ | ✓ | ✓ |
| hf (cm) | 4.75 | 4.50 | 2.70 | 4.85 | 4.50 | 4.55 | 4.50 | 2.55 |
| Buildability | ✓ | ✓ | ✗ | ✓ | ✓ | ✓ | ✓ | ✗ |
| M1 | M2 | M3 | |
|---|---|---|---|
| Compressive strength at 28 days (MPa) | 33–34 | 23–26 | 16–17 |
Disclaimer/Publisher’s Note: The statements, opinions and data contained in all publications are solely those of the individual author(s) and contributor(s) and not of MDPI and/or the editor(s). MDPI and/or the editor(s) disclaim responsibility for any injury to people or property resulting from any ideas, methods, instructions or products referred to in the content. |
© 2023 by the authors. Licensee MDPI, Basel, Switzerland. This article is an open access article distributed under the terms and conditions of the Creative Commons Attribution (CC BY) license (https://creativecommons.org/licenses/by/4.0/).
Share and Cite
Daher, J.; Kleib, J.; Benzerzour, M.; Abriak, N.-E.; Aouad, G. The Development of Soil-Based 3D-Printable Mixtures: A Mix-Design Methodology and a Case Study. Buildings 2023, 13, 1618. https://doi.org/10.3390/buildings13071618
Daher J, Kleib J, Benzerzour M, Abriak N-E, Aouad G. The Development of Soil-Based 3D-Printable Mixtures: A Mix-Design Methodology and a Case Study. Buildings. 2023; 13(7):1618. https://doi.org/10.3390/buildings13071618
Chicago/Turabian StyleDaher, Jana, Joelle Kleib, Mahfoud Benzerzour, Nor-Edine Abriak, and Georges Aouad. 2023. "The Development of Soil-Based 3D-Printable Mixtures: A Mix-Design Methodology and a Case Study" Buildings 13, no. 7: 1618. https://doi.org/10.3390/buildings13071618
APA StyleDaher, J., Kleib, J., Benzerzour, M., Abriak, N.-E., & Aouad, G. (2023). The Development of Soil-Based 3D-Printable Mixtures: A Mix-Design Methodology and a Case Study. Buildings, 13(7), 1618. https://doi.org/10.3390/buildings13071618

