Abstract
In composite structures, interface shear resistance is a critical design criterion for transferring forces between interconnected elements at the contact surface. Recently, Ultra-High-Performance Concrete (UHPC) applications in construction have been growing rapidly due to superior mechanical and durability properties; however, there is no guidance on how to predict the interface shear resistance of UHPC cast on hardened conventional concrete (CC). This paper presents the experimental and analytical investigations conducted to develop friction and cohesion factors of the shear friction theory for UHPC cast on hardened CC in composite sections. Push-off shear tests and slant shear tests were conducted to evaluate and validate the effect of interface surface texture, interface reinforcement ratio, CC and UHPC compressive strength, and fiber presence. A friction factor of 1.0 was adopted—as in the current code provisions—while a cohesion factor of 3.45 MPa (0.5 ksi) between UHPC cast on intentionally roughened hardened CC was proposed, which is significantly higher than that in the current code provisions of CC. Also, increasing the interface shear reinforcement ratio increased the interface shear resistance significantly and resulted in a more ductile failure. Neither UHPC compressive strength nor the presence of steel fibers had a significant effect on the interface shear resistance of UHPC cast on hardened CC.
1. Introduction
According to ASTM C1856-17, Ultra-High-Performance Concrete (UHPC) is a special class of cementitious concrete with minimum specified compressive strength of 120 MPa (17.4 ksi), maximum aggregate size less than 5 mm (1/4 in.), and flow between 200 and 250 mm (8–10 in.) [1]. UHPC is characterized by high particle packing density of its ingredients and low water-to-binder ratio to achieve its high compressive strength and durability. Adding fibers to UHPC mix, generally high-strength steel fibers, enhances the performance of UHPC in flexural and tension, even after initial cracking, and provides ductile behavior that makes UHPC superior to conventional concrete (CC). These properties make UHPC an ideal material for connections, toppings, overlays, and structural components in a wide range of applications [2,3,4,5,6].
The interface shear resistance is a critical design criterion for transferring shear forces between two interconnected structural components of different materials, or those cast at different times, to achieve composite action. Using UHPC in construction results in four types of contact surfaces where interface shear resistance needs to be evaluated:
- Fresh UHPC cast on hardened CC (CC–UHPC);
- Fresh CC cast on hardened UHPC (UHPC–CC);
- Fresh UHPC cast on hardened UHPC (UHPC–UHPC);
- UHPC cast monolithically (MON-UHPC).
In this paper, the interface shear resistance of only the first type (CC–UHPC) is investigated experimentally and analytically, to assist designers in estimating the required interface shear reinforcement for applications where UHPC topping/slab is cast on CC beam/girder. Examples of these composite sections are shown in Figure 1.
Figure 1.
CC–UHPC interface shear examples; (a) UHPC topping on precast CC inverted tee (IT) beam, and (b) UHPC topping on precast CC double-tee (DT) beam.
The paper is organized as follows: First, the literature of shear friction theory, current code provisions, and UHPC interface shear research are reviewed. Second, interface shear models for CC–UHPC are developed using the results of fifteen L-shape push-off tests with different reinforcement ratios and similar tests conducted in the literature. These results are also compared against predictions of current code provisions for CC, namely, ACI 318-19 [7]; AASHTO LRFD (2020) [8]; Eurocode 2 (2004) [9]; CSA A23.3-14 [10]; and NF-P-18-710-UHPC (2016) [11]. Third, the proposed model for highly roughened interface shear texture is validated using slant shear tests and similar tests conducted in the literature. Finally, a design example and research conclusions are presented.
2. Literature Review
2.1. Shear Friction Theory
The interface shear resistance is the maximum shear stress that prevents relative slide between two different concrete layers. The shear friction theory was first presented by Birkeland and Birkeland (1966) [12]. In this theory, a crack was assumed to develop at the interface plane, creating a roughened surface that is simulated by a fine sawtooth pattern. The mechanism of resisting shear force (V) relies on the friction force produced by the normal force (i.e., clamping force) to the interface, which is either externally applied compression load or internal tension in the shear reinforcement crossing the interface (T). When the two layers of concrete start to move away from each other at the interface, a displacement (δ) normal to the interface plane occurs, which generates a tension force in the interface shear reinforcement up to its yield. In this case, the interface shear resistance (vni) can be predicted using the following equation:
where ρ is the interface shear reinforcement ratio (Avf/Acv) and is limited to 1.5%; Acv is the area of concrete engaged in interface shear transfer (mm2 (in.2)); Avf is the area of reinforcement crossing the interface shear plane (mm2 (in.2)); fy is the yield strength of the interface shear reinforcement and is limited to 420 MPa (60 ksi); and is the slope of sawtooth ramps, the tangent of which is also called shear friction factor (µ). Concrete compressive strength is assumed to be greater than 28 MPa (4.0 ksi).
Based on experimental testing results, the friction factor (µ) was found to be 1.70, 1.40, 0.80, and 1.0 for monolithic concrete, intentionally roughened concrete surfaces, smooth concrete surfaces, and concrete– steel interfaces, respectively [12]. Many researchers studied the interface shear behavior between two concrete layers for different cases and different interface surface textures over the last few decades [13,14,15,16,17,18,19]. Concrete cohesion factor (c) was added later to shear friction theory, known as “Modified shear-friction theory”, to represent the chemical bond between the concrete particles at the interface plane, adding to the initial interface shear resistance [14].
2.2. Code Provisions
The current provisions of ACI 318-19 [7], AASHTO LRFD (2020) [8], Eurocode 2 (2004) [9], and CSA A23.3-14 [10] are based on the shear friction theory, but they do not address the interface shear resistance of CC–UHPC. Only the French standard for UHPC (NF-P-18-710-UHPC [11]) indicates that normal concrete interface shear equations of the Eurocode 2 (EN 1992-1-1:2004) can be used to predict the interface shear resistance of CC–UHPC. Recently, the draft of the AASHTO LRFD Guide Specifications for Structural Design using UHPC (Guide Section 1.7.4.4) presented the interface shear resistance of UHPC cast against CC to be the same as that between conventional concrete layers. The recently completed research project sponsored by precast/prestressed concrete institute (PCI) to study the implementation of UHPC in Long-Span Precast Pretensioned Elements for Concrete Buildings and Bridges also adopted the AASHTO LRFD provisions for CC when the CC section is one of the interface shear layers (PCI, 2021) [2]. Table 1 summarizes the interface shear resistance provisions for CC and associated upper bounds. Table 1 also shows that the interface shear is resisted by both concrete cohesion and shear-friction at the interface plane with area (Acv) in all codes, except ACI 318-19, which ignores the concrete cohesion portion. ACI 318-19, Eurocode 2 (2004), and CSA A23.3-14 provisions consider the interface shear reinforcement inclination angle (α), between the reinforcement and the interface, in predicting interface shear resistance. In all provisions, the shear reinforcement crossing the interface plane is required to be fully developed on both sides of interface plane, and its stress is limited to the yield strength, but should not exceed 420 MPa (60 ksi) in AASHTO LRFD (2020) and ACI 318-19, and 500 MPa (72.52 ksi) in CSA A23.3-14, to control crack width. Also, the compressive strength of the weaker concrete layer (fc’) is used in obtaining the interface shear resistance upper bound.
Table 1.
Interface shear resistance prediction equations between fresh and hardened normal weight concrete and associated upper bounds in different code provisions.
Table 2 summarizes the concrete cohesion and shear friction factors stated by the four codes for three different interface surface textures. Two surface textures are recognized by all the codes: (1) smooth texture (clean surface that is not intentionally roughened); and (2) high-roughened surface (clean surface that is intentionally roughened with an amplitude of at least 6 mm (0.25 in.) in AASHTO LRFD and ACI 318-19, or 5 mm (0.2 in.) in Eurocode 2 and CSA A23.3-14). Eurocode 2 is the only code that includes a low-roughened surface (clean surface that is intentionally roughened with an amplitude of at least 3 mm (0.12 in.)) and estimates the cohesion factor as a fraction of the concrete tensile strength (fctd). In all four codes, the friction factors (µ) are the same for smooth surfaces, which are 0.6, and almost the same for high-roughened surfaces (0.9 or 1.0).
Table 2.
Cohesion and friction factors for interface shear resistance between fresh and hardened normal weight concrete with different interface surface textures by different codes.
2.3. UHPC Interface Shear
Several researchers conducted experimental testing to study the interface behavior of CC–UHPC using different testing methods, mostly slant shear and L-shape push-off tests. ASTM C882/C882M [20] was utilized to conduct slant shear testing on 76 mm by 152 mm (3 in. by 6 in.) cylindrical composite specimens, with an interface plane angle of 60° with the horizontal axis, using CC [21] or mortar [22] as substrata. Different prismatic slant shear specimen dimensions were tested [23,24,25] and different interface plane angles also were investigated [24,25]. The compressive strength of CC ranged from 35.9 MPa (5.2 ksi) to 56.8 Mpa (8.24 ksi), while the UHPC ranged from 80.6 MPa (11.69 ksi) to 170.3 MPa (24.7 ksi). Several interface surface textures and treatment methods were conducted to evaluate its effect on the interface shear resistance such as as-cast, sandblasted, brushed, grooved, exposed aggregate, and shear key textures. Of those tested, the sandblasted and deep-grooved surface textures gave the highest interface shear resistance of CC–UHPC. Also, the slant shear composite specimens failed mostly in the concrete section rather than interface or UHPC section; even if interface failure happened, CC fracture was associated with it in most of the cases. The interface shear resistance generally increased with the increase in texture roughness and concrete strength [25].
L-shape push-off test is the most common method for determining the interface shear resistance between two layers of concrete. L-shape push-off tests were conducted using 300 × 640 × 150 mm (11.8 × 25.2 × 5.9 in.) specimens without interface shear reinforcement [26]. Five different surface treatments were applied to CC sections: smooth, water jet, grooved with 10 mm (0.4 in.) depth, grooved with 20 mm (0.8 in.) depth, and grooved with 30 mm (1.2 in.)) depth. The CC and UHPC achieved compressive strength of 35.9 MPa (5.2 ksi) and 200.5 MPa (29.08 ksi), respectively. Based on the results, the interface shear resistance of CC–UHPC increased with the increase in the grooved interface surface texture depth.
Feng et al. [27] conducted a single side shear test to investigate the UHPC–CC interface shear resistance using different interface shear surfaces and CC compressive strengths. Twelve groups of specimens with different surface roughening—low (as cast), medium exposed aggregate (0.64 mm (0.03 in.)), and high exposed aggregate (1.29 mm (0.05 in.))—were tested to obtain the interface shear resistance. The surface roughening is considerably lower than the common interface roughened surface, which is 6 mm (0.25 in.). The composite specimen is a 100 cm (40 in.) cube which consists of two portions: (1) the first cast is CC with different compressive strengths (50 cm (20 in.)), and (2) the second cast is UHPC with different steel fiber shapes, which is not the focus of this paper. A special steel frame, similar to the L-shape push-off test, that the composite specimen fits in was used to apply vertical load at the interface shear plane. The as-cast specimens had the failure crack at the interface plane. The other two types had the failure crack at the same location but in the CC. It was concluded that the roughness of interface surface texture significantly affects the interface resistance.
Banta (2005) [28] and Crane (2010) [29] also conducted push-off testing to evaluate the interface shear resistance of normal weight and lightweight CC cast on hardened UHPC, which is different from the case presented here, as the surface of UHPC is almost impermeable and much harder to roughen compared to the surface of CC.
3. Material Properties
A commercially available pre-bagged UHPC mix was used to conduct the experimental investigation. Straight brass-coated steel micro-fibers, 13 mm (0.5 in.) long and 0.2 mm (0.0078 in.) in diameter, with tensile strength of 2750 MPa (400 ksi), were added to the mix at a dosage of 2% by volume. The mechanical properties of UHPC mix are summarized in Table 3 including compressive, peak flexural, splitting tensile, and direct tension strengths, as well as modulus of elasticity. All the presented test results were averages of at least three specimens. Table 4 shows the mix proportions for CC used in the study, which had compressive strength, modulus of elasticity, and tensile strength of 45.5 MPa (6.6 ksi), 33 GPa (4800 ksi), and 4.1 MPa (0.6 ksi), respectively. ASTM A615 Grade 60 uncoated black steel rebars were used for all interface shear reinforcement, which had a minimum yield strength of 420 MPa (60 ksi) and minimum tensile strength of 620 MPa (90 ksi).
Table 3.
UHPC mechanical properties at 28 days.
Table 4.
Mix proportions for conventional concrete.
4. Model Development
The L-shape push-off tests were conducted to develop interface shear model for CC–UHPC when interface shear reinforcement is used with roughened surfaces. Figure 2 shows the L-shape push-off specimen dimensions, interface shear reinforcement, and two interface shear textures: 6 mm (¼ in.) deep roughening and 19 mm (3/4 in.) shear key. Three different interface reinforcement ratios (0%, 0.44%, and 0.8%) (three specimens for each) and two different surface treatments of the shear key were investigated, as cast- and aggregate-exposed. A low-slump CC mix was used for casting CC sections to allow for application of ¼ in.-deep roughening, as shown in Figure 3a. Figure 3b shows the shear key interface texture as as-cast. Also, a concrete retarder admixture was applied to the forms at the shear key to allow use of a pressure washer the day after casting to have exposed aggregate surface, as shown in Figure 3c. The CC sections of the L-shape specimens were wrapped with plastic sheets for curing after stripping the forms at 24 h. The fresh UHPC was cast vertically on top of the horizontal hardened roughened CC interface to mimic common construction practices. The UHPC forms were stripped at 24 h, and the specimens were covered with plastic sheets for curing at room temperature until the day of testing. The average compressive strengths of CC was 45.5 MPa (6.6 ksi), and of UHPC were 144 MPa (20.84 ksi) and 155 MPa (16.71) ksi for deep-grooved and shear key interface textures on the testing day, respectively. Figure 4 shows the L-shape push-off test setup and instrumentation. The relative displacement in the parallel (slip) and perpendicular (crack width) directions to the interface plane were measured using two LVDTs for each side, as shown in Figure 4. A hydraulic ram was used to load the specimens at a rate of 3.67 kN/sec (600 Ib/sec.), using a steel plate and bearing pads to evenly distribute the applied force. Specimens were labeled using the form A-B-C-D% #E, where A is the first section, B is the second section, C is surface texture, D is the interface reinforcement ratio, and E is the specimen number, as shown in Table 5.
Figure 2.
L-shape push-off specimen details and reinforcement details (in.); (a) 6 mm (0.25 in.) deep-grooved interface texture and (b) 19 mm (0.75 in.) shear key interface texture.
Figure 3.
Interface surface roughening and reinforcement; (a) No reinforcement (left), 2leg No. 10 (#3) stirrup (middle), and 2leg No. 13 (#4) stirrup (right), (b) As-cast shear key with 2leg No. 10 (#3) stirrup, and (c) Aggregate-exposed shear key with 2leg No. 10 (#3) stirrup.
Figure 4.
L-shape push-off test setup and reinforcement details.
Table 5.
L-shape push-off test specimens.
Table 6 shows the results of testing 15 L-shape specimens in terms of maximum applied shear stress at failure and failure location. All the deep-grooved interface specimens exhibited failure in the CC section parallel to the interface plane as shown in Figure 5a. However, all the specimens with shear key interface exhibited failure at the interface plane, as shown in Figure 5b. The specimens without interface shear reinforcement exhibited brittle failure at the peak shear load, while specimens with interface shear reinforcement exhibited ductile failure due to reinforcement yielding.
Table 6.
L-shape push-off test results.
Figure 5.
Failure modes of L-shape specimens with different interface shear roughening and reinforcement ratios; (a) Deep-grooved interface specimens and (b) Shear key interface specimens.
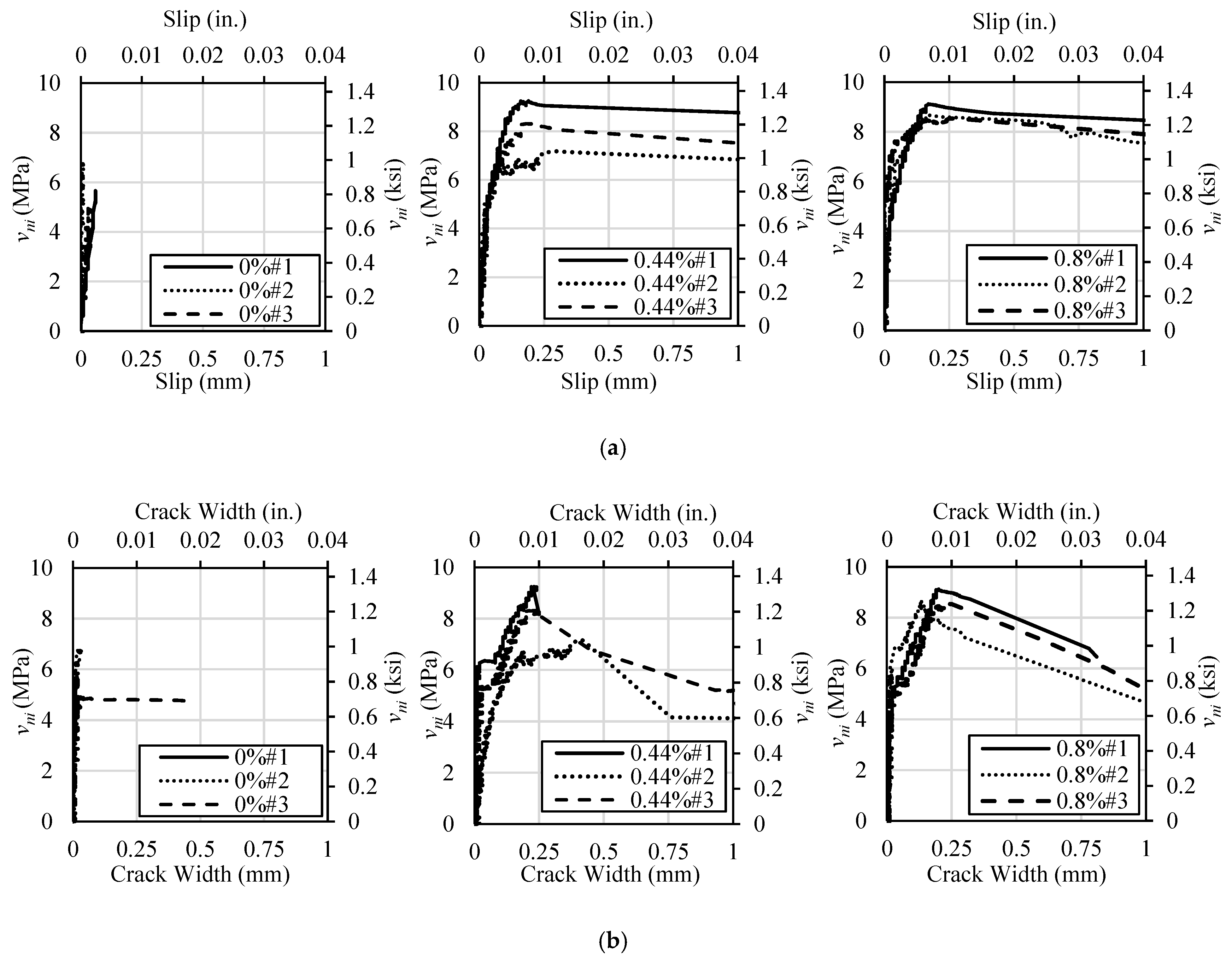
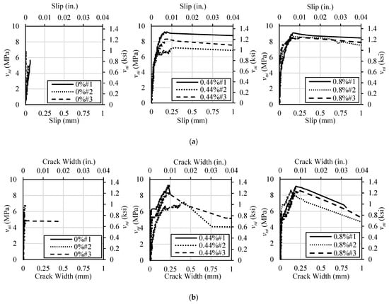
Figure 6 and Figure 7 show the interface shear resistance versus slip and crack width, respectively, at the interface plane of the tested specimens. The specimens without interface shear reinforcement demonstrated sudden failure at the maximum load, as there was no means of shear transfer after cracking. However, the presence of interface shear reinforcement demonstrated significant slip and crack width values after reaching the maximum capacity due to the yielding of the shear reinforcement, which resulted in ductile behavior. Also, these plots show that the peak shear load occurred at very low slip and crack width values (less than 0.25 mm (0.01 in.)), which indicates the effectiveness of interface reinforcement in controlling the crack width and interface displacement. This is in agreement with the current code limit on the yield strength of the interface shear reinforcement to control crack width.
Figure 6.
Effect of different interface reinforcement on relative displacements between the two L-shape sections with 6 mm (0.25 in.) roughened interface surface; (a) slip, and (b) crack width.
Figure 7.
Effect of shear key interface texture on relative displacements between the two L-shape sections; (a) slip, and (b) crack width.
Figure 8 plots the L-shape test results, along with the current interface shear models and the proposed interface shear factors. The friction factor for intentionally roughened concrete surfaces is 1.0 according to ACI 318-19, AASHTO LRFD 2020, and CSA A23.3-14. Thus, the same friction factor is proposed for UHPC cast against intentionally roughened CC. A linear regression analysis was conducted on the test results to obtain the cohesion factors using friction factor of 1.0. The shear key specimens without surface preparation (CC–UHPC-K) results were excluded from model development, as it is uncommon practice to cast UHPC on CC shear key without sandblasting or exposed aggregate. The straight line that represents the lower bound of all test data was determined to have an intercept (cohesion factor) of 3.45 MPa (0.5 ksi). The proposed factor is two times higher than that of CC, which is attributed the ability of UHPC to flow and fill the grooves of the roughened CC surface resulting, in better mechanical interlock (bearing) in addition to its chemical bond (adhesion) with CC substrate.
Figure 8.
L-shape push-off test results and their comparison with proposed cohesion and friction factors and code provisions.
5. Model Validation
A slant shear test was performed according to ASTM C882/C882M [20] to evaluate the interface shear resistance of CC–UHPC. Composite cylindrical specimens, which were 102 mm (4 in.) by 203 mm (8 in.), were used instead of the original 76 mm (3 in.) by 152 mm (6 in.) cylindrical specimens, to allow the use of CC substrate instead of mortar [31]. Full CC cylinders were cast, removed from molds after 24 h, and placed in a curing room for 28 days. Then, hardened CC cylinders were saw-cut diagonally, at a 60° angle with the horizontal axis, to form the CC interface surface of slant shear specimens. Three interface surface textures were applied to interface surface, as shown in Figure 9: as-cut (as cut with the wet saw and without additional treatment); shallow-grooved (average 3 mm (1/8 in.) depth); and deep-grooved (average 6 mm (1/4 in.) depth).
Figure 9.
Interface surface textures of hardened CC; (a) as-cut, (b) shallow-grooved, and (c) deep-grooved (mm (in.)).
The CC specimens were placed back in the plastic molds, and their interface surfaces were pre-wetted directly before casting the fresh UHPC. The composite specimens were stripped out of the molds after one day and submerged in lime-saturated water at a room temperature of 23 °C (73 °F) until the day of testing. Both ends of composite specimens were mechanically ground and tested using a compression load rate of 1.33–1.78 kN/sec (300–400 lb/s) until failure, according to ASTM C39. A total of 24 slant shear specimens were tested (minimum 3 specimens for each set), wherein the UHPC compressive strength (fUHPC) ranged from 122 to 188 MPa (17.6 to 27.2 ksi) and CC compressive strength was approximately 55 MPa (8 ksi).
Different failure modes were observed for the three interface surface textures as shown in Figure 10. Specimens with as-cut surface had interface failure as shown in Figure 10a, while specimens with deep-grooved surface had fractured CC as shown in Figure 10c. Specimens with a shallow-grooved surface had interface failure accompanied with fractured CC, as shown in Figure 10b. The interface shear stress of slant shear specimens () was calculated as follows:
where P is the maximum applied load, θ is interface shear angle with the horizontal axis, and A is the cross-sectional area of the cylindrical specimen. Table 7 shows the slant shear test results and the associated failure modes at different UHPC compressive strengths for each interface surface texture.
Figure 10.
Slant shear test failure modes; (a) interface failure, (b) interface failure and CC fracture, and (c) CC failure.
Table 7.
Slant shear test results.
Slant shear test data collected from the literature were classified into two categories according to the interface surface texture: low-roughened and high-roughened, as shown in Table 8. Each value in this table is the average of at least three specimens. These data are used in addition to test data presented earlier to determine cohesion and friction factors for CC–UHPC. The compressive strength of CC and UHPC in this data set ranged from 635.9 MPa (5.2 ksi) to 56.8 MPa (8.24 ksi) and 80.6 MPa (11.69 ksi) to 187.4 MPa (27.2 ksi), respectively. The low values of UHPC compressive strength represent early age compressive strength on the test day. Low-roughened category includes the wire-brushed, shallow-grooved, and form liner (with depth less than 5 mm (0.20 in.)) interface surface textures. Deep-grooved, aggregate-exposed, and form liner (with depth greater than 5 mm (0.20 in.)) surface textures are included in the high-roughened category. Different specimen shapes, dimensions, and interface angles are used to calculate the interface shear resistance, as shown in Equation (1). The normal stress (σn) at the interface plane of these specimens is calculated as follows:
Table 8.
Interface surface texture categories based on the literature of CC–UHPC interface shear resistance.
The shear friction model was used to obtain concrete cohesion (c) and shear friction (μ) factors for each category using the following straight-line equation:
Figure 11 shows the plots of average interface shear resistance (vni) and corresponding normal stress () at the interface plane for all specimens (i.e., tested by the authors and in the literature), as well as the proposed model and code provisions presented earlier. The intercept of each line in the plot represents the cohesion factor, while the slope represents the friction factor. Comparing test results to the line plots indicates that the proposed model is more accurate than the existing provisions, while still being conservative in predicting the interface shear resistance for specimens with high-roughened interface, which complies to the standards for intentionally roughened surfaces (6 mm (0.25 in.)). For specimens with a low-roughened interface, the proposed model can accurately and conservatively predict the interface shear resistance for 90% of the cases, while overestimating in 10% of cases. Therefore, it is recommended to limit the use of the proposed model to CC components with intentionally roughened interfaces with UHPC.
Figure 11.
Interface shear resistance of CC–UHPC with different interface surface textures; (a) low-roughened interface and (b) high-roughened interface.
Figure 12 shows a plot of the average interface shear resistance grouped by UHPC compressive strength for each interface surface texture. This plot indicates that there is no significant effect of UHPC compressive strength on the interface shear resistance of CC–UHPC with shallow- and deep-grooved surface textures, as the failure occurs at the CC. However, for the as-cut surface texture, where the bond with UHPC is dominant, the interface shear resistance increases with the increase in UHPC compressive strength.
Figure 12.
Average slant shear test results at different UHPC compressive strengths.
To study the effect of CC compressive strength, the slant shear data from the literature and experimental investigation were grouped into three categories of CC compressive strength: C1—less than 41 MPa (6 ksi); C2—from 41 MPa (6 ksi) to 48 MPa (7 ksi); and C3—greater than 48 MPa (7 ksi). Figure 13 shows the average interface shear resistance of the two categories in only roughened interface surface textures where CC failure occurred. This figure indicates that the interface shear resistance increases with the increase in CC compressive strength; however, this trend is not the same between the two categories. There is no significant increase in the interface shear resistance between C1 and C2, while there is a significant increase in the interface shear resistance between C2 and C3. More data are needed to determine whether this trend continues for higher compressive strength.
Figure 13.
Average slant shear test results at different CC compressive strengths.
The effect of steel fibers on the interface shear resistance of UHPC was studied using slant shear testing of two identical groups of specimens with 6 mm (0.25 in.)-deep grooves: (a) specimens with steel fibers at a dosage of 2% by volume; and (b) specimens without steel fibers. Six specimens were tested from each group at two different CC compressive strengths. The average interface shear resistance was the same at 22.3 MPa (3.24 ksi) for both specimens with and without fibers. Also, the coefficients of variation were 5.6% and 7% for specimens with and without fibers, respectively. These values indicate that the presence of fibers does not have a significant effect on the interface shear resistance of CC–UHPC. This is mainly because steel fibers do not cross the interface plane, and failure often occurs in the weaker stratum (i.e., CC), which does not have steel fibers. However, it was observed that the specimens without fibers had slightly different failure modes, as they exhibited vertical splitting of the UHPC section in addition to the crushing of the CC section.
6. Design Example
The PCI Design Handbook (2017) example 5.3.5.1, on horizontal shear design for composite beams [32], was used to demonstrate the difference between the proposed equations and current code provisions. A 51 mm (2 in.) UHPC topping was placed on a 7.3 m (24 ft)-long inverted tee (IT) beam, as shown in Figure 14. The compressive strength of IT and UHPC topping were 34.5 MPa (5 ksi) and 124 MPa (18 ksi), respectively. The maximum interface horizontal shear force (V) was 2129 kN (478.6 kip), acting on an interface area of 0.30 m × 3.66 m (12 in. × 144 in.). The interface surface texture was high-roughened with amplitude of 6 mm (0.25 in.), and the strength-reduction factor (ϕ) was 0.75. The nominal interface shear resistance was calculated as follows:
Figure 14.
Design example of a CC–UHPC composite section [32].
Table 9 shows the interface shear design using the proposed model and current code provisions. Two No. 13 (#4) shear stirrups were used as interface shear reinforcement, and the spacing is predicted based on the demand. The table indicates that the proposed model results in maximum spacing between interface shear reinforcement, as the high CC–UHPC cohesion factor results in minimum reinforcement requirements. Table 9 also shows that the stirrup spacing increased by more than three times compared to ACI 318-19, Eurocode 2, and CSA A23.3-14, and 38% more than AASHTO LRFD 2020, resulting in more economical design.
Table 9.
Design example results using the proposed equation and current codes’ provisions.
7. Conclusions
In this study, the shear friction factors for the interface shear between UHPC cast on hardened CC were developed using the results of fifteen L-shape push-off tests with different reinforcement ratios and surface textures, in addition to the results of similar tests conducted in the literature. The predictions using the proposed friction and cohesion factors were compared to those of current code provisions for CC, namely, ACI 318-19 [7]; AASHTO LRFD (2020) [8]; Eurocode 2 (2004) [9]; CSA A23.3-14 [10]; and NF-P-18-710-UHPC (2016) [11]. Also, slant shear tests were conducted in addition to those available in the literature to validate the proposed factors and evaluate the effect of UHPC compressive strength, CC compressive strength, and presence of fibers on the interface shear resistance. Based on the results of the analytical and experimental investigations presented in this study, the following conclusions were drawn:
- The interface shear resistance of CC–UHPC can be predicted using the shear friction model. However, the cohesion and friction factors stated in AASHTO LRFD 2020, Draft AASHTO 2023, ACI 318-19, Eurocode 2, and CSA A23.3-14 provisions are very conservative;
- Interface shear resistance of CC–UHPC with surface roughening of 6 mm (1/4 in.) amplitude can be predicted using a cohesion factor of 3.45 MPa (0.50 ksi) and shear friction factor of 1.0. The shear friction factor is adopted from the current codes, and the cohesion factor is more than double the ones for conventional concrete;
- The addition of interface shear reinforcement with ratios of 0.44%, and 0.80% resulted in higher interface shear resistance and more ductile failure compared to the specimens without interface shear reinforcement, which had brittle failure;
- The interface shear resistance increases with the increase in UHPC compressive strength only for surfaces that are not intentionally roughened. However, for intentionally roughened surfaces, where failure occurs in CC, the interface shear resistance increases with the increase in CC compressive strength. These observations were based on the compressive strength of CC and UHPC, ranging from 35.9 MPa (5.2 ksi) to 56.8 MPa (8.24 ksi) and 80.6 MPa (11.69 ksi) to 187.4 MPa (27.2 ksi), respectively;
- All slant shear and L-shape shear specimens with surface roughening of 6 mm (1/4 in.) amplitude exhibited CC failure, while slant shear specimens with surface roughening of 3 mm (1/8 in.) amplitude exhibited failure in both CC and interface plane;
- The presence of fibers in UHPC does not have a significant effect on the interface shear resistance of CC–UHPC.
Author Contributions
Conceptualization, M.A.E.-K. and G.M.; methodology, M.A.E.-K.; software, M.A.E.-K.; validation, M.A.E.-K. and G.M.; formal analysis, M.A.E.-K.; investigation, M.A.E.-K.; resources, G.M.; data curation, M.A.E.-K.; writing—original draft preparation, M.A.E.-K.; writing—review and editing, G.M.; visualization, M.A.E.-K.; supervision, G.M.; project administration, G.M.; funding acquisition, G.M. All authors have read and agreed to the published version of the manuscript.
Funding
This research was funded by Nebraska Department of Transportation (NDOT), grant number SPR-P1(19) M085.
Institutional Review Board Statement
Not applicable.
Informed Consent Statement
Not applicable.
Data Availability Statement
All data are included in the manuscript and will be made available on request.
Acknowledgments
The research team would like to thank LafargeHolcim for material donation.
Conflicts of Interest
The authors declare no conflict of interest. The funders had no role in the design of the study; in the collection, analyses, or interpretation of data; in the writing of the manuscript; or in the decision to publish the results.
References
- ASTM C1856/C1856M-17; Standard Practice for Fabricating and Testing Specimens of Ultra-High-Performance Concrete. ASTM (American Society for Testing and Materials): West Conshohocken, PA, USA, 2017.
- Tadros, M.; Lawler, J.; Abo El-Khier, M.; Gee, D.; Kurt, A.; Lucier, G.; Wagner, E. Implementation of Ultra-High-Performance Concrete in Long-Span Precast Pretensioned Elements for Concrete Buildings and Bridges; PCI (Precast/Prestressed Concrete Institute): Chicago, IL, USA, 2021. [Google Scholar]
- Graybeal, B.A. Design and Construction of Field-Cast UHPC Connections; FHWA-HRT-14-084; FHWA: Washington, DC, USA, 2014. Available online: https://rosap.ntl.bts.gov/view/dot/28283 (accessed on 1 February 2023).
- Ng, K.; Garder, J.; Sritharan, S. Investigation of ultra high performance concrete piles for integral abutment bridges. Eng. Struct. 2015, 105, 220–230. [Google Scholar] [CrossRef]
- Honarvar, E.; Sritharan, S.; Rouse, J.M.; Aaleti, S. Bridge Decks with Precast UHPC Waffle Panels: A Field Evaluation and Design Optimization. J. Bridg. Eng. 2016, 21, 4015030. [Google Scholar] [CrossRef]
- Abo El-Khier, M.; Morcous, G. Precast concrete deck-to-girder connection using Ultra-High Performance Concrete (UHPC) shear pockets. Eng. Struct. 2021, 248, 113082. [Google Scholar] [CrossRef]
- ACI (American Concrete Institute) Committee 318. Building Code Requirements for Structural Concrete (ACI 318-19) and Commentary; ACI 318-19; ACI: Farmington Hills, MI, USA, 2019. [Google Scholar]
- AASHTO (American Association of State Highway and Transportation Officials). AASHTO LRFD Bridge Design Specifications, 9th ed.; AASHTO: Washington, DC, USA, 2020. [Google Scholar]
- British Standards Institution. Eurocode 2: Design of Concrete Structures—Part 1-1: General Rules and Rules for Buildings; BS EN 1992-1-1; CEN: London, UK, 2004. [Google Scholar]
- CSA (Canadian Standards Association). Design of Concrete Structures; CSA A23.3-14; CSA Group: Toronto, ON, Canada, 2014. [Google Scholar]
- AFNOR (Association Française de Normalization). National Addition to Eurocode 2–Design of Concrete Structures: Specific Rules for Ultra-High-Performance Fiber-Reinforced Concrete (UHPFRC); NF-P-18-710-UHPC; AFNOR: Paris, France, 2016; pp. 18–710. [Google Scholar]
- Birkeland, P.W.; Birkeland, H.W. Connections in precast concrete construction. ACI J. Proc. 1966, 63, 345–368. [Google Scholar]
- Hofbeck, J.A.; Ibrahim, I.O.; Mattock, A.H. Shear transfer in reinforced concrete. ACI J. Proc. 1969, 66, 119–128. [Google Scholar]
- Mattock, A.H.; Hawkins, N.M. Shear transfer in reinforced concrete—Recent research. PCI J. 1972, 17, 55–75. [Google Scholar] [CrossRef]
- Paulay, T.; Park, R.; Phillips, M.H. Horizontal construction joints in cast-in-place reinforced concrete. ACI Spec. Publ. 1974, 42, 599–616. [Google Scholar]
- Mattock, A.H.; Li, W.K.; Wang, T.C. Shear transfer in lightweight reinforced concrete. PCI J. 1976, 21, 20–39. [Google Scholar] [CrossRef]
- Wairaven, J.; Frenay, J.; Pruijssers, A. Influence of Concrete Strength and Load History on the Shear Friction Capacity of Concrete Members. PCI J. 1987, 32, 66–84. [Google Scholar] [CrossRef]
- Loov, R.E.; Patnaik, A.K. Horizontal Shear Strength of Composite Concrete Beams With a Rough Interface. PCI J. 1994, 39, 48–69. [Google Scholar] [CrossRef]
- Mattock, A.H. Shear friction and high-strength concrete. ACI Struct. J. 2001, 98, 50–59. [Google Scholar]
- ASTM C882/C882M-13a; Standard Test Method for Bond Strength of Epoxy-Resin Systems Used with Concrete by Slant Shear. ASTM (American Society for Testing and Materials): West Conshohocken, PA, USA, 2013.
- Harris, D.K.; Sarkar, J.; Ahlborn, T.M. Characterization of Interface Bond of Ultra-High-Performance Concrete Bridge Deck Overlays. Transp. Res. Rec. J. Transp. Res. Board 2011, 2240, 40–49. [Google Scholar] [CrossRef]
- Rangaraju, P.R.; Kizhakommudom, H.; Li, Z.; Schiff, S.D. Development of High-Strength/High Performance Concrete/Grout Mixtures for Application in Shear Keys in Precast Bridges; FHWA-SC-13-04a; FHWA: McLean, VA, USA, 2013.
- Tayeh, B.A.; Abu Bakar, B.; Johari, M.M.; Voo, Y.L. Mechanical and permeability properties of the interface between normal concrete substrate and ultra high performance fiber concrete overlay. Constr. Build. Mater. 2012, 36, 538–548. [Google Scholar] [CrossRef]
- Carbonell Muñoz, M.Á. Compatibility of Ultra-High-Performance Concrete as Repair Material: Bond Characterization with Concrete under Different Loading Scenarios. Master’s Thesis, Michigan Technological University, Houghton, MI, USA, 2012. Available online: https://digitalcommons.mtu.edu/etds/225 (accessed on 1 February 2023).
- Aaleti, S.; Sritharan, S. Investigation of a suitable shear friction interface between UHPC and normal strength concrete for bridge deck applications. Bridge 2017, 515, 294–8103. Available online: https://trid.trb.org/view/1470040 (accessed on 1 February 2023).
- Jang, H.-O.; Lee, H.-S.; Cho, K.; Kim, J. Experimental study on shear performance of plain construction joints integrated with ultra-high performance concrete (UHPC). Constr. Build. Mater. 2017, 152, 16–23. [Google Scholar] [CrossRef]
- Feng, S.; Xiao, H.; Liu, M.; Zhang, F.; Lu, M. Shear behavior of interface between normal-strength concrete and UHPC: Experiment and predictive model. Constr. Build. Mater. 2022, 342, 127919. [Google Scholar] [CrossRef]
- Banta, T.E. Horizontal Shear Transfer between Ultra High-Performance Concrete and By Horizontal Shear Transfer between Ultra High-Performance Concrete. Master’s Thesis, Virginia Polytechnic Institute and State University, Blacksburg, VA, USA, 2005. [Google Scholar]
- Crane, C.K. Shear and Shear Friction Of Ultra-High Performance Concrete Bridge Girders. Ph.D. Thesis, Georgia Institute of Technology, Atlanta, GA, USA, 2010. [Google Scholar]
- Graybeal, B.A.; Baby, F. Tension Testing of Ultra-High-Performance Concrete; FHWA-HRT-17-053; FHWA: Washington, DC, USA, 2019. Available online: https://rosap.ntl.bts.gov/view/dot/40091 (accessed on 1 February 2023).
- Abo El-Khier, M.; Morcous, G.; Hu, J. Interface Shear Resistance of Ultra-High Performance Concrete (UHPC). Int. Interact. Symp. Ultra-High Perform. Concr. 2019. [Google Scholar] [CrossRef]
- PCI (Precast/Prestressed Concrete Institute). PCI Design Handbook, 8th ed.; PCI: Chicago, IL, USA, 2017. [Google Scholar]
Disclaimer/Publisher’s Note: The statements, opinions and data contained in all publications are solely those of the individual author(s) and contributor(s) and not of MDPI and/or the editor(s). MDPI and/or the editor(s) disclaim responsibility for any injury to people or property resulting from any ideas, methods, instructions or products referred to in the content. |
© 2023 by the authors. Licensee MDPI, Basel, Switzerland. This article is an open access article distributed under the terms and conditions of the Creative Commons Attribution (CC BY) license (https://creativecommons.org/licenses/by/4.0/).













