Bond Stress Distribution and Bond–Slip Model of Deformed Steel Bars in Iron Tailing Sand Recycled Aggregate Concrete
Abstract
1. Introduction
2. Experimental Program
2.1. Materials
2.2. Mix Proportion
2.3. Preparation of Specimens
2.4. Loading System and Device
3. Test Results and Analysis
3.1. Failure Mode
3.2. Bond–Slip Curve
3.3. Analysis of the Factors That Affect the Bonding Properties of Ribbed Steel Bars in ITRAC
3.3.1. Effect of ITS and Steel Fiber
3.3.2. Effect of RA Substitution Rate
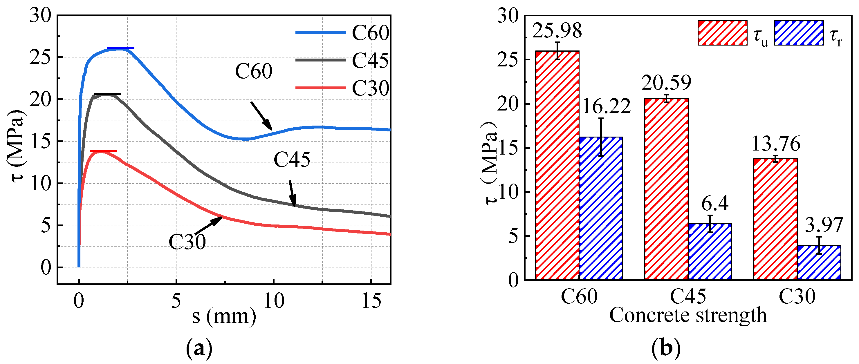
3.3.3. Effect of Concrete Strength
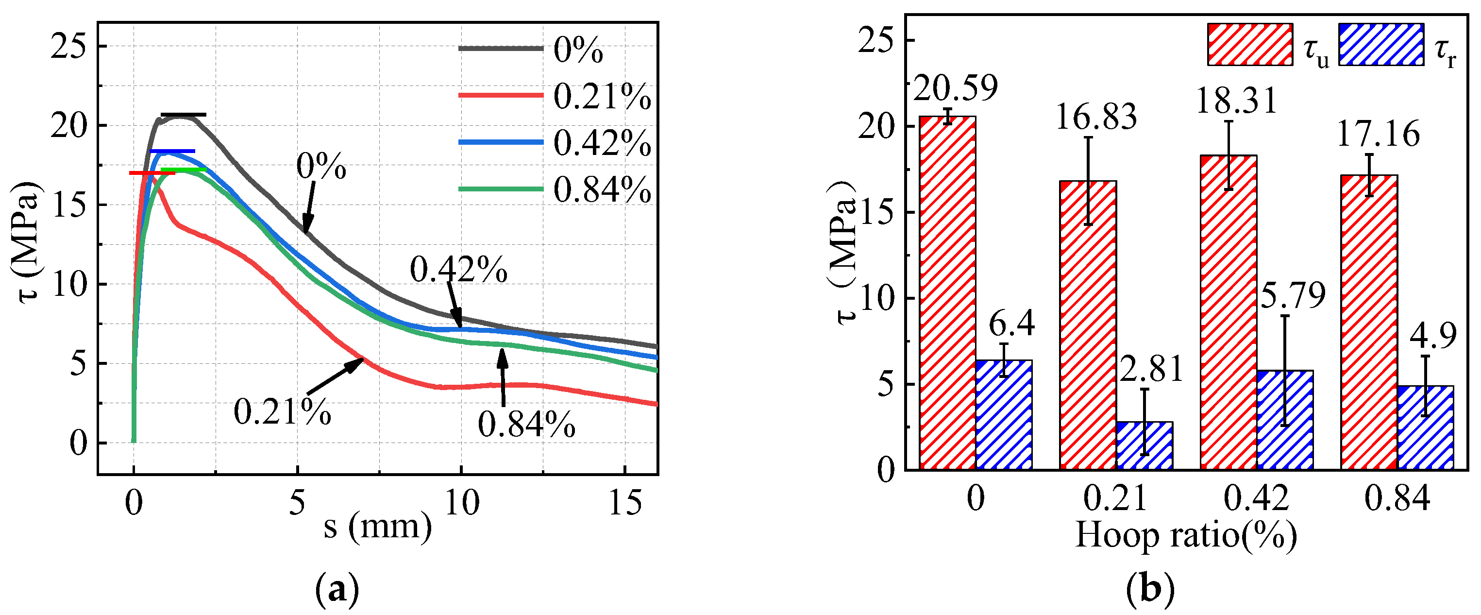
3.3.4. Influence of the Hoop Ratio
3.4. Spread of Bonded Stress along the Bonded Section
3.5. Bond Strength Formula and Bond–Slip Constitutive Relation
3.5.1. Bond Strength Formula
3.5.2. Bond–Slip Constitutive Relation
4. Conclusions
Author Contributions
Funding
Institutional Review Board Statement
Informed Consent Statement
Data Availability Statement
Conflicts of Interest
References
- Chen, J.; Yuan, Y.; Zhu, Q.; Duan, J. High-temperature resistance of high-strength concrete with iron tailing sand. J. Build. Eng. 2023, 63, 105544. [Google Scholar] [CrossRef]
- Zhu, Q.; Yuan, Y.-X.; Chen, J.-H.; Fan, L.; Yang, H. Research on the high-temperature resistance of recycled aggregate concrete with iron tailing sand. Constr. Build. Mater. 2022, 327, 126889. [Google Scholar] [CrossRef]
- Bai, G.; Zhu, C.; Liu, C.; Liu, H. Chloride Ion Invasive Behavior of Recycled Aggregate Concrete under Coupling Flexural Loading and Wetting-Drying Cycles. KSCE J. Civ. Eng. 2019, 23, 4454–4462. [Google Scholar] [CrossRef]
- Duan, Z.; Poon, C.S. Properties of recycled aggregate concrete made with recycled aggregates with different amounts of old adhered mortars. Mater. Des. 2014, 58, 19–29. [Google Scholar] [CrossRef]
- Shettima, A.U.; Hussin, M.W.; Ahmad, Y.; Mirza, J. Evaluation of iron ore tailings as replacement for fine aggregate in concrete. Constr. Build. Mater. 2016, 120, 72–79. [Google Scholar] [CrossRef]
- Hou, Y.F. Comparison of Effect of Iron Tailing Sand and Natural Sand on Concrete Properties. Key Eng. Mater. 2014, 599, 11–14. [Google Scholar] [CrossRef]
- Morohashi, N.; Sakurada, T.; Yanagibashi, K. Bond Splitting Strength of High–quality Recycled Coarse Aggregate Concrete Beams. J. Asian Arch. Build. Eng. 2007, 6, 331–337. [Google Scholar] [CrossRef]
- Pandurangan, K.; Dayanithy, A.; Prakash, S.O. Influence of treatment methods on the bond strength of recycled aggregate concrete. Constr. Build. Mater. 2016, 120, 212–221. [Google Scholar] [CrossRef]
- Butler, L.; West, J.; Tighe, S. The effect of recycled concrete aggregate properties on the bond strength between RCA concrete and steel reinforcement. Cem. Concr. Res. 2011, 41, 1037–1049. [Google Scholar] [CrossRef]
- Seara-Paz, S.; González-Fonteboa, B.; Eiras-López, J.; Herrador, M.F. Bond behavior between steel reinforcement and recycled concrete. Mater. Struct. 2013, 47, 323–334. [Google Scholar] [CrossRef]
- Xiao, J.; Falkner, H. Bond behaviour between recycled aggregate concrete and steel rebars. Constr. Build. Mater. 2007, 21, 395–401. [Google Scholar] [CrossRef]
- Gao, D.; Yan, H.; Fang, D.; Yang, L. Bond strength and prediction model for deformed bar embedded in hybrid fiber reinforced recycled aggregate concrete. Constr. Build. Mater. 2020, 265, 120337. [Google Scholar] [CrossRef]
- Breccolotti, M.; Materazzi, A. Structural reliability of bonding between steel rebars and recycled aggregate concrete. Constr. Build. Mater. 2013, 47, 927–934. [Google Scholar] [CrossRef]
- Hu, J.; Chen, W.; Zhou, C. Experimental study on bonding properties of recycled concrete. J. Harbin Inst. Technol. 2010, 42, 1849–1854. [Google Scholar] [CrossRef]
- Arezoumandi, M.; Steele, A.R.; Volz, J.S. Evaluation of the Bond Strengths Between Concrete and Reinforcement as a Function of Recycled Concrete Aggregate Replacement Level. Structures 2018, 16, 73–81. [Google Scholar] [CrossRef]
- Xiao, J.; Li, P.; Qin, W. Study on Bond-slip Between Recycled Concrete and Rebars. J. Tongji Univ. 2006, 34, 13–16. [Google Scholar] [CrossRef]
- Prince, M.J.R.; Singh, B. Bond behaviour of deformed steel bars embedded in recycled aggregate concrete. Constr. Build. Mater. 2013, 49, 852–862. [Google Scholar] [CrossRef]
- Prince, M.J.R.; Singh, B. Bond behaviour of normal- and high-strength recycled aggregate concrete. Struct. Concr. 2015, 16, 56–70. [Google Scholar] [CrossRef]
- Wang, B.; Bai, G.; Dai, H.; Wu, S. Experimental And Mechanical Analysis Of Bond-Slip Performance Between Recycled Concrete And Rebar. Eng. Mech. 2013, 30, 54–64. [Google Scholar] [CrossRef]
- Cairns, J.; Goodchild, C. Effect of reduced concrete cover on strength of lapped joints. Proc. Inst. Civ. Eng. 2016, 169, 34–45. [Google Scholar] [CrossRef]
- Moodi, Y.; Sohrabi, M.R.; Mousavi, S.R. Effects of stirrups in spliced region on the bond strength of corroded splices in reinforced concrete (RC) beams. Constr. Build. Mater. 2019, 230, 116873. [Google Scholar] [CrossRef]
- Senthil, K.; Aswa, S.; Aswin, C. Influence of concrete strength and diameter of reinforcing bar on pullout tests using finite element analysis. J. Struct. Eng. Appl. Mech. 2018, 1, 105–116. [Google Scholar] [CrossRef]
- Lin, S.-K.; Wu, C.-H. Improvement of Bond Strength and Durability of Recycled Aggregate Concrete Incorporating High Volume Blast Furnace Slag. Materials 2021, 14, 3708. [Google Scholar] [CrossRef]
- Ismail, F.I.; Abbas, Y.M.; Shafiq, N.; Fares, G.; Osman, M.; Hussain, L.A.; Khan, M.I. Investigation of the Impact of Graphene Nanoplatelets (GnP) on the Bond Stress of High-Performance Concrete Using Pullout Testing. Materials 2021, 14, 7054. [Google Scholar] [CrossRef]
- Wang, Q.; Zhang, Y.; Kang, H.; Dong, L. Experimental research on bond behavior between deformed bars and ferrous mill tailing concrete. J. Xi’an Univ. Of Arch. Tech. 2015, 47, 830–833. [Google Scholar] [CrossRef]
- Xu, F.; Wang, S.; Li, T.; Liu, B.; Li, B.; Zhou, Y. Mechanical properties and pore structure of recycled aggregate concrete made with iron ore tailings and polypropylene fibers. J. Build. Eng. 2021, 33, 101572. [Google Scholar] [CrossRef]
- Li, T.; Wang, S.; Xu, F.; Meng, X.; Li, B.; Zhan, M. Study of the basic mechanical properties and degradation mechanism of recycled concrete with tailings before and after carbonation. J. Clean. Prod. 2020, 259, 120923. [Google Scholar] [CrossRef]
- Xu, F.; Wang, S.; Li, T.; Liu, B.; Li, B.; Zhou, Y. The mechanical properties of tailing recycled aggregate concrete and its resistance to the coupled deterioration of sulfate attack and wetting–drying cycles. Structures 2020, 27, 2208–2216. [Google Scholar] [CrossRef]
- GB 51032-2014; Technical Specification for The Application of Iron Tailings Sand Concrete. Part 4: Raw Materials. China Standard Press: Beijing, China, 2014.
- GB/T 14684-2022; Construction Sand. Part 6: Skills Requirement. China Standard Press: Beijing, China, 2022.
- GB/T 14685-2022; Pebbles and Gravel for Construction. Part 6: Skills Requirement. China Standard Press: Beijing, China, 2022.
- GB/T 25177-2010; Recycled Coarse Aggregate for Concrete. Part 5: Requirement. China Standard Press: Beijing, China, 2010.
- Chrysanidis, T. Experimental and numerical research on cracking characteristics of medium-reinforced prisms under variable uniaxial degrees of elongation. Eng. Fail. Anal. 2023, 145, 107014. [Google Scholar] [CrossRef]
- Cai, J.W.; Zhang, S.B.; Hou, G.X.; Wang, C.M.; Feng, X.X. Effects of Ferrous Mill Tailings as Aggreagtes on Workability and Strength of Concrete. J. Wuhan Univ. Technol. 2009, 31, 104–107. [Google Scholar] [CrossRef]
- Xiao, J.; Li, J.; Lan, Y. Research on recycled aggregate concrete—A review. Concrete 2003, 10, 17–20. [Google Scholar]
- Gao, D.; Yan, H.; Yang, L.; Pang, Y.; Sun, B. Analysis of bond performance of steel bar in steel-polypropylene hybrid fiber reinforced concrete with partially recycled coarse aggregates. J. Clean. Prod. 2022, 370, 133528. [Google Scholar] [CrossRef]
- Li, X. Study on Mechanical Properties of Recycled Aggregate Concrete (I)—Behaviour under Uniaxial Compression. J. Build. Mater. 2007, 10, 598–603. [Google Scholar] [CrossRef]
- Orangun, C.O.; Jirsa, J.O.; Breen, J.E. A Reevaulation of Test Data on Development Length and Splices, C. J. Proc. 1977, 74, 114–122. [Google Scholar] [CrossRef]
- Esfahani, M.R.; Rangan, B.V. Bond between Normal Strength and High-Strength Concrete (HSC) and Reinforcing Bars in Splices in Beams. J. Struct. J. 1998, 95, 272–280. [Google Scholar] [CrossRef]
- Deng, M.; Pan, J.; Liang, X. Experimental study on bond behavior between steel bar and high ductility concrete. J. China Civ. Eng. J. 2018, 51, 19–26. [Google Scholar]
- Okelo, R.; Yuan, R.L. Bond Strength of Fiber Reinforced Polymer Rebars in Normal Strength Concrete. J. Compos. Constr. 2005, 9, 203–213. [Google Scholar] [CrossRef]
- Lee, J.-Y.; Kim, T.-Y.; Yi, C.-K.; Park, J.-S.; You, Y.-C.; Park, Y.-H. Interfacial bond strength of glass fiber reinforced polymer bars in high-strength concrete. Compos. Part B Eng. 2008, 39, 258–270. [Google Scholar] [CrossRef]
- Xiao, J.-Z.; Li, J.; Zhang, C. On relationships between the mechanical properties of recycled aggregate concrete: An overview. Mater. Struct. 2006, 39, 655–664. [Google Scholar] [CrossRef]














| Steel Type | Diameter (mm) | Yield Load (kN) | Maximum Load (kN) | Yield Strength (MPa) | Maximum Strength (MPa) | Elongation (%) |
|---|---|---|---|---|---|---|
| HRB400 | 16 | 93.2 | 129.7 | 463.0 | 645.0 | 29.97 |
| HRB400 | 12 | 52.4 | 74.3 | 463.0 | 656.5 | 31.85 |
| HRB335 | 4 | 6.3 | 8.1 | 504.0 | 642.0 | 14.48 |
| Specimen | R (%) | Water (kg) | Cement (kg) | ITS (kg) | NCA (kg) | RCA (kg) | SF (kg) | AW(kg) | Slump (mm) | fcu (MPa) | ft (MPa) | ft/fcu |
|---|---|---|---|---|---|---|---|---|---|---|---|---|
| C30-R50 | 50 | 166 | 302 | 884 | 540 | 540 | 0 | 28.24 | 132 | 36.1 | 2.30 | 0.064 |
| C45-R0 | 0 | 166 | 415 | 839 | 1024 | 0 | 0 | 0 | 200 | 57.7 | 2.21 | 0.038 |
| C45-R30 | 30 | 166 | 415 | 839 | 717 | 307 | 0 | 16.06 | 88 | 57.5 | 2.66 | 0.046 |
| C45-R50 | 50 | 166 | 415 | 839 | 512 | 512 | 0 | 26.78 | 23 | 53.1 | 2.13 | 0.040 |
| C45-R100 | 100 | 166 | 415 | 839 | 0 | 1024 | 0 | 53.56 | 193 | 43.3 | 1.76 | 0.041 |
| C60-R50 | 50 | 166 | 553 | 783 | 479 | 479 | 0 | 25.05 | 236 | 64.4 | 2.35 | 0.036 |
| C45-R0-NS | 0 | 166 | 415 | 839 | 1024 | 0 | 0 | 0 | 150 | 51.8 | 2.33 | 0.045 |
| C45-R0-SF | 0 | 166 | 415 | 839 | 1024 | 0 | 78.5 | 0 | 41 | 60.3 | 3.95 | 0.066 |
| Specimen Numbering | DS (MPa) | R (%) | P (%) | Fu (MPa) | τu (MPa) | Su (mm) | τr (MPa) | Sr (mm) | k | W (mm) | Failure Mode |
|---|---|---|---|---|---|---|---|---|---|---|---|
| C45-R0-P0 | 45 | 0 | 0 | 82.19 | 20.45 | 1.22 | — | — | 16.76 | 4.21 | PL |
| C45-R0-P0-NS | 45 | 0 | 0 | 66.71 | 16.61 | 1.61 | 5.36 | 8.72 | 10.32 | — | BC |
| C45-R0-P0-SF | 45 | 0 | 0 | 94.01 | 23.39 | 1.45 | 12.28 | 8.86 | 16.13 | — | BC |
| C45-R30-P0 | 45 | 30 | 0 | 73.75 | 18.35 | 1.83 | 4.27 | 10.09 | 10.03 | — | BC |
| C45-R50-P0 | 45 | 50 | 0 | 82.63 | 20.59 | 1.39 | 6.40 | 9.73 | 14.81 | — | BC |
| C45-R100-P0 | 45 | 100 | 0 | 70.81 | 17.62 | 1.10 | 5.76 | 8.81 | 16.02 | — | BC |
| C30-R50-P0 | 30 | 50 | 0 | 55.33 | 13.76 | 1.12 | 3.97 | 10.00 | 12.29 | — | BC |
| C60-R50-P0 | 60 | 50 | 0 | 104.47 | 25.98 | 2.17 | 16.22 | 11.87 | 11.97 | — | BC |
| C45-R50-P0.21 | 45 | 50 | 0.21 | 67.64 | 16.83 | 0.43 | 2.81 | 9.34 | 39.14 | 0.21 | PB |
| C45-R50-P0.42 | 45 | 50 | 0.42 | 73.63 | 18.31 | 1.06 | 5.79 | 9.08 | 17.27 | — | BC |
| C45-R50-P0.84 | 45 | 50 | 0.84 | 69.00 | 17.16 | 1.51 | 4.90 | 10.39 | 11.36 | — | BC |
| Author | Formula | Modified Formula |
|---|---|---|
| Orangun et al. [38] | ||
| Esfahani et al. [39] | ||
| Lee et al. [42] | ||
| Okelo et al. [41] | ||
| Deng et al. [40] | Pullout failure: Splitting-pullout failure: | Pullout failure & split-pullout failure: Split failure: |
| Fitting Formula | Orangun [38] | Esfahani [39] | Lee [42] | Okelo [41] | Deng [40] | Formula (2) |
|---|---|---|---|---|---|---|
| Average value | 1.020 | 1.007 | 0.927 | 0.867 | 1.032 | 1.007 |
| Mean variance | 0.116 | 0.210 | 0.103 | 0.107 | 0.114 | 0.089 |
| Standard deviation | 0.111 | 0.200 | 0.098 | 0.102 | 0.109 | 0.085 |
| Correlation coefficient | 0.809 | 0.435 | 0.832 | 0.838 | 0.792 | 0.883 |
Disclaimer/Publisher’s Note: The statements, opinions and data contained in all publications are solely those of the individual author(s) and contributor(s) and not of MDPI and/or the editor(s). MDPI and/or the editor(s) disclaim responsibility for any injury to people or property resulting from any ideas, methods, instructions or products referred to in the content. |
© 2023 by the authors. Licensee MDPI, Basel, Switzerland. This article is an open access article distributed under the terms and conditions of the Creative Commons Attribution (CC BY) license (https://creativecommons.org/licenses/by/4.0/).
Share and Cite
Zhu, Q.; Chen, J.; He, Y.; Sun, X. Bond Stress Distribution and Bond–Slip Model of Deformed Steel Bars in Iron Tailing Sand Recycled Aggregate Concrete. Buildings 2023, 13, 1176. https://doi.org/10.3390/buildings13051176
Zhu Q, Chen J, He Y, Sun X. Bond Stress Distribution and Bond–Slip Model of Deformed Steel Bars in Iron Tailing Sand Recycled Aggregate Concrete. Buildings. 2023; 13(5):1176. https://doi.org/10.3390/buildings13051176
Chicago/Turabian StyleZhu, Qian, Jihao Chen, Yang He, and Xialing Sun. 2023. "Bond Stress Distribution and Bond–Slip Model of Deformed Steel Bars in Iron Tailing Sand Recycled Aggregate Concrete" Buildings 13, no. 5: 1176. https://doi.org/10.3390/buildings13051176
APA StyleZhu, Q., Chen, J., He, Y., & Sun, X. (2023). Bond Stress Distribution and Bond–Slip Model of Deformed Steel Bars in Iron Tailing Sand Recycled Aggregate Concrete. Buildings, 13(5), 1176. https://doi.org/10.3390/buildings13051176

