Abstract
Nearly zero-energy-consumption buildings are the inevitable trend of future buildings. There have been a large number of studies on nearly zero building technology issues. However, there is no detailed study on how to effectively promote the development of nearly zero-energy consumption buildings according to China’s national conditions. Here, by establishing an evolutionary game model, this paper discusses the dynamic game scheme selection and stability strategy of three stakeholders, namely local government, real estate companies, and construction consumers, related to the development of nearly zero-energy-consumption buildings in the development process. The conditions required for evolutionary stabilization strategies were identified. Finally, Matlab data simulation analysis is used to further illustrate the stability and equilibrium strategies of each subject and the sensitivity analysis of the main influencing factors at various stages in the development process of nearly zero-energy-consuming buildings. The research results show that the government plays a leading role in the early stage of the development of nearly zero-energy consumption buildings, and as the market matures, government intervention gradually withdraws from the market; furthermore, if the cost of supervision is prohibitively high, the government’s willingness to supervise the market will be reduced. This will hinder consumers and developers from choosing nearly zero-energy-consuming buildings and if the penalties and subsidies are too low, it will be meaningless to the evolution of the optimal solution of the three parties. On this basis, targeted promotion programs are established to realize the rapid development of China’s nearly zero-energy-consumption building sector. Our research results can provide important scientific basis for the development of the nearly zero-energy building industry in China.
1. Introduction
Under the 3060 dual carbon emission target, China proposes that carbon dioxide emissions will reach a peak in 2030 and achieve carbon neutrality in 2060. It is understood that the energy utilization ratio of the building sector accounts for more than 33% of the global total [1]. As a large country with a large population, China’s huge consumer groups are also facing huge pressure on energy consumption. The energy consumption of by buildings accounts for about 36% of the total energy consumption [2]. Nearly zero-energy buildings refer to buildings that adapt to climate characteristics and site conditions, minimize building heating, air conditioning and lighting requirements through passive building, maximize energy equipment and system efficiency through active technical measures, and make full use of renewable energy to provide a comfortable indoor environment with minimal energy consumption (https://www.mohurd.gov.cn/ (accessed on 8 February 2023). Therefore, the concept of nearly- zero-energy consumption building further increases the possibility of reducing energy waste on the basis of energy conservation and environmental protection of traditional green buildings. Promoting the promotion of nearly zero-energy consumption buildings is of great significance to sustainable development. On 24 January 2019, the Ministry of Housing and Urban-Rural Development of China issued a notice on issuing the national standard "Technical Standard" for buildings with near zero energy consumption [3], which was implemented in that year.Considering the characteristics of different climate zones in China, the Standard uses different buildings in different climate zones to restrict different energy consumption control indexes for nearly zero-energy buildings in different climate zones. The energy consumption in residential buildings in cold and cold areas decreases by more than 70–75% without traditional heating methods. The energy consumption in hot summer and winter decreases by more than 60%, and the energy consumption in different climate areas decreases by more than 60% on average. The energy efficiency index is used to determine whether the nearly zero-energy building standard of the binding index “standard” stipulates that the residential building energy efficiency index accounting should include function of heat consumption, cooling consumption, building comprehensive energy consumption value and renewable energy utilization; public building energy efficiency index accounting should include building ontology energy saving rate, building comprehensive energy saving rate and renewable energy utilization. The implementation of the standard will play an important role in promoting the building energy conservation and emission reduction, improving the level of the indoor environment, adjusting the building energy consumption structure, and promoting the transformation and upgrading of the building energy conservation industry. As the United States, Japan, South Korea, other developed countries and the EU cooperate to combat climate change and extreme weather with a sustainable development strategy, they are actively building towards lower energy consumption long-term (2020, 2030, 2050) policy and development goals, and establish the technical standards and technology system, building towards lower energy consumption is becoming the development trend of global building energy conservation.
Due to factors such as cost, technology, materials and complicated climate conditions in different regions of China, the development of nearly zero-energy consumption in China started relatively late compared with European and American countries. At the same time, with the acceleration of the process of economic globalization, the related technical barriers are no longer the key factors that restrict the development of nearly zero-energy-consuming buildings in China. With the implementation of the nearly zero-energy consumption construction subsidy policy and the strategic transformation of the market model, the key pain point in the development of nearly zero-energy consumption construction has been transferred from the technical level to the market level. China’s nearly zero-energy consumption construction market is at the initial stage of development, the relevant market mechanism is not perfect, and there is still little research on the main interest relationship and strategy selection of the market. Many countries have listed zero-energy buildings as long-term development plans, and their development has matured [4,5]. For example, the UK set a target for zero-carbon homes by 2016, and the EU directive declares that all buildings constructed from January 2021 must be “nearly zero-energy buildings”. California requires nearly zero residential emissions by 2020 [6]. In order to establish an ultra-low-energy building system that meets our national conditions, our country actively draws on the experience of developed countries in Europe and the United States, gives incentives in the construction of energy-saving buildings, and provides technical and economic support. However, the status quo is that the development of energy-efficient buildings mainly relies on financial subsidies. The government is under environmental pressure and the concept of sustainable development to introduce incentive policies to subsidize energy-saving buildings, which is undoubtedly a greater challenge for the popularization of nearly zero-energy-consuming buildings with higher incremental costs and greater technical difficulties. Facing the challenges of new technologies and the uncertainty of benefits, developers lack initiative in the development of nearly zero-energy-consuming buildings. Consumers are faced with higher-cost options and doubts about the length of service life of new buildings supported by new technologies and materials. Even if the government offers preferential policies for house purchases, consumers are still on the sidelines. However, if the incentive is too strong, it will bring huge financial pressure to the government [7]. To sum up, the research on the main strategy of the nearly zero-energy consumption construction market in China, which is currently in the initial stage of market development, should focus on the government, developers and consumers. Because the motives of different market subjects are quite different, such as commercial buildings and residential buildings, it is first clear that the research focus of this paper is the nearly zero-energy consumption residential market rather than commercial buildings. Therefore, studying the strategic choices of the three participants under different conditions and the results of stable and balanced market will help each participant to adopt appropriate strategies according to different market conditions to promote the development of the nearly zero-energy consumption construction market. The evolutionary game overcomes the assumption that the game subject is limited to a limited number of participants, and can consider the evolution process of the subject strategy over time. It is suitable for studying the equilibrium strategy evolution of the government, developers and consumers in different stages of the nearly zero-energy consumption construction market. Before that, there had been a lot of research on nearly zero-energy consumption building technology and research on the game strategy of stakeholders in the development process of different types of energy-saving green buildings. There are both connections and differences between buildings with nearly zero-energy consumption and ordinary green buildings. The concept of ordinary green buildings and buildings with nearly zero-energy consumption is to reduce the building’s energy consumption. The difference is that green buildings also include performance attributes other than energy, namely indoor environmental quality, material efficiency, site considerations, water efficiency and quality, etc. Therefore, the research purpose of this paper is to study the evolution process of interest mechanism and strategy selection among the subjects in different stages of the development of the nearly zero-energy consumption construction market based on the three-party evolutionary game model including government, developers and consumers, and analyze the key factors that affect the equilibrium strategy of the subjects, in order to provide reference suggestions for solving the problems in the development of the nearly zero-energy consumption market. It will solve the following questions: What are the stability and necessary conditions for the nearly zero-energy consumption building sector at all stages of development? How do the three parties’ strategy choices and interference factors affect the evolution of the equilibrium state [8]?
In order to solve these problems, this paper establishes a game model of government, developers and consumers, analyzes the factors that affect the three parties’ strategic choices, and calculates the evolution of the three parties by copying the dynamic equation. The stability strategy is verified by data simulation analysis, which verifies the rationality and effectiveness of the proposed scheme. Finally, through the research results, the paper puts forward specific suggestions to promote the development of the zero-energy consumption building sector. The main contributions of this study are as follows: (1) A three-party game model is established, which can accurately describe the interaction mechanism of each participant and the factors that affect each participant’s strategic choice; (2) Simulate and analyze the impact of cost, incentives, penalties and other factors on the profit and loss of each participant; (3) According to the law of industrial development, suggestions are put forward to promote the nearly zero-energy consumption construction market in different development stages.
2. Literature Review
Nearly zero-energy consumption building refers to a building with passive design and an active, high-performance, renewable energy system, which greatly reduces the consumption of fossil energy and significantly reduces the energy required for heating, ventilation and lighting, and is also suitable for cooling and various electronic equipment and water heating. These type of buildings emphasize energy efficiency and strongly advocate the use of renewable energy to create comfortable conditions for use [9]. Building energy consumption accounts for one-third of global energy consumption and one-quarter of carbon dioxide emissions [10]. Nearly zero-energy consumption buildings have great potential to improve energy efficiency [11]. Automated systems can reduce consumption and power requirements while keeping indoor comfort within limits [12].
In China, building energy consumption begins to decline only when the number of zero- or nearly zero-energy buildings reaches 50% of the total construction volume [13]. The extensive research on nearly zero-energy buildings focuses on government policies. The government plays a leading role in promoting market incentives [14]. The lack of incentives will hinder the development of nearly zero-energy-consuming buildings [15]. The development of nearly zero-energy consumption buildings involves confronting new processes, new technologies, and new materials. Since various stakeholders cannot obtain short-term benefits in the early stage of development, it is very likely that the above inputs will be rejected [16]. For example, construction developers face huge economic pressure in the early stages of construction development [17]. The government’s subsidy policy can solve the economic difficulties of construction developers and promote the development of the building sector. Policies such as economic subsidies, tax incentives, and simplification of land supply procedures are the main sources of motivation for developers [18]. For consumers, the pursuit of high-quality buildings is an inevitable demand for consumers due to their emphasis on usage conditions and environmental responsibility [19].
However, due to poor information, the vast majority of consumers cannot understand the advantages of various measures for energy-efficient buildings in the short term and will not actively choose nearly zero-energy consumption buildings. There are many factors that influence consumers’ choice of building types, of which cost is the most important factor [20]. However, the superior energy-saving characteristics of the building itself can greatly reduce the operating cost of consumers [21]. Therefore, in the design process of nearly zero-energy buildings, in addition to reducing energy consumption, life cycle cost must be also reduced [22].
In summary, we can find that nearly-zero energy buildings can solve the energy consumption problems in China’s construction sector to a large extent. However, although there have been many previous studies on nearly zero building technology issues, there is no detailed study on how to effectively promote the development of nearly zero-energy consumption buildings according to China’s national conditions. For China’s building sector, the government’s policies, the behavior and decision making of developers and consumers are the lifeblood of the development of the nearly zero-energy-consumption building sector. However, there is a question of how to balance the strategic choices among the three parties involved, so that the industry of nearly zero-energy consumption buildings can develop stably. The answer to that question is unclear.
Therefore, this research, based on the interest distribution mechanism of the three parties in the zero-energy-consumption market, aims to study the behavior and decision making of the government, developers, and consumers under different circumstances, and to identify and optimize the factors that hinder nearly-zero-energy-consumption buildings at different stages. Clearing the development context can promote the development of the nearly zero-energy consumption building industry in China.
3. Evolutionary Game Model between Local Government, Building Developers and Consumers
This section will first explain the principles of evolutionary game theory and why evolutionary game theory is used in this research. Secondly, the evolutionary game theory model of the three-party participating subjects is hypothesized, and then the evolutionary game theory model is established, and the mathematical basis is fully used to calculate its stable solution. Finally its stability is analyzed in depth according to Lyaplov’s stability theory.
3.1. Principles and Applications of Evolutionary Game Theory
Game theory is a discipline based on mathematics that studies the interaction of rational stakeholders. It takes into account the interaction between individuals and between individuals and their surroundings. It is a more authoritative analytical tool [23]. The complete rationality of the participants and the mastery of complete information are the two basic assumptions of traditional game theory. However, in reality, the participants are often bounded rational, and their grasp of game-related information is incomplete. Therefore, the use of traditional game theory is hindered. As a result, evolutionary game theory was derived. Evolutionary game theory points out the basis of traditional game theory: stakeholders have limited rationality, and there is dynamic equilibrium in the game process. Moreover, evolutionary game theory believes that people finally achieve dynamic equilibrium through continuous trial and error, imitation and learning in the decision-making process. Replicator dynamics and evolutionary stable strategies (ESS) are two important fundamental concepts of evolutionary game theory.
In the development process of nearly zero-energy buildings, the government, building developers and consumers stand on different positions and have different interest demands. During the development process, the three parties will engage in constant cooperation, conflict, and competition, which has led to the complex interaction mechanism of the three parties involved in the whole process. In other words, the development of the nearly zero-energy consumption building industry is essentially a game between the government, construction developers and consumers. Under the conditions of limited rationality and incomplete information of each participant, each participant cannot determine the best strategy through a single selection.
Therefore, this study uses evolutionary game theory to establish a three-party subject evolutionary game model, analyzes the evolutionary strategies of the three-party participants under different influencing factors, and finds a stable equilibrium point.
3.2. Basic Assumptions of Evolutionary Games
These assumptions are based on the typical characteristics of game theory; that is, players have limited information and pursue profit maximization.
3.2.1. Assumption One
The entire development process only considers the behavioral strategies of the government, construction developers, and consumers, and other non-subject influencing factors are not considered for the time being. All three parties pursue the maximization of interests and have bounded rationality. During the development of the nearly zero-energy-consumption building industry, behavioral strategies can be continuously adjusted as the development environment changes.
3.2.2. Assumption Two
The government has two purely strategic options: subsidies or no subsidies. Subsidies include capital subsidies and policy subsidies. Policy subsidies such as active research and development or introduction of new technologies, new processes, new materials, or tax incentives, land preferential policies and loan preferential policies. Building developers also have two purely strategic options, namely the development of ordinary buildings and the development of nearly zero-energy consumption buildings. Developers may choose to develop nearly zero-energy consumption buildings due to various government incentives and the additional benefits of choosing to develop nearly zero-energy consumption buildings. It is also possible to choose ordinary buildings because the short-term benefits of nearly zero-energy-consuming buildings are not significant and the incremental costs are too high. Consumers also have the choice to buy two purely strategic options, ordinary buildings and nearly zero-energy-consuming buildings. Consumers may choose buildings with nearly zero energy consumption because of environmental benefit perception and government subsidy policies, or they may choose ordinary buildings with lower cost. There are many factors that consumers consider when buying a house. This study does not consider other non-major factors that affect consumers’ home purchase choices for the time being.
3.2.3. Assumption Three
The probability of the government choosing to subsidize nearly zero energy consumption is X, and the probability of choosing not to subsidize is (1 − x), 0 ≤ x ≤ 1. The probability of developers choosing to develop nearly zero-energy consumption buildings is y, and the probability of them choosing to develop ordinary buildings is (1 − y), 0 ≤ y ≤ 1. The probability of consumers choosing to buy nearly zero-energy consumption buildings is z, and the probability of them choosing to buy ordinary buildings is (1 − z), 0 ≤ z ≤ 1.
In the development process of nearly zero-energy consumption buildings, the three main parties influence each other. Changes in the strategies of either party will affect other participants, and they will also be affected by changes in the strategies of other parties. Description of parameter settings in the Table 1.
Table 1.
Description of parameter settings.
The expected return tree diagram of each participant in different situations is demonstrated in Figure 1.
Figure 1.
The expected return free diagram.
The “z” represents nearly zero-energy-consumption buildings, while the “o” represents ordinary buildings.
3.3. Construct the Game Matrix and Calculate the Solution
As shown in Figure 1, we can calculate the income expectation of the local government choice to subsidize nearly zero-energy-consumption buildings and those not subsidizing nearly zero-energy-consumption buildings, respectively denoted by HX and H1−X, and average income is expressed as .
By sorting out Equations (1)–(3), the replication dynamic equation of the local government’s implementation of nearly zero-energy consumption building subsidies is obtained as follows:
The expected benefits of building developers choosing to open nearly zero-energy buildings and ordinary buildings are Hy and H1−y, The average income expectation is expressed as .
By sorting out Equations (5)–(7), the replication dynamics equation for the construction development company to select the nearly zero-energy-consumption building strategy is obtained as follows:
The expected benefits of consumers buying nearly zero-energy-consumption buildings and ordinary buildings are HZ and H1−Z respectively, and the average income expectation is .
Equations (9)–(11) result in the dynamic equation of the replication factor for consumers to choose to buy green building strategies, as follows:
Finally, Equations (4), (8) and (12) constitute the dynamic system of the three-party evolutionary game, as follows:
When F(x) = 0, F(y) = 0, F(z) = 0, according to Equation (13) we can determine eight pure-strategy equilibrium points, namely (0, 0, 0), (0, 0, 1), (0, 1, 1), (1, 1, 1), (1, 0, 1), (1, 0, 0), (0, 1, 0), (1, 1, 0) and there may also be (x*. y*. z*), and x*, y*, z* ∈ (0, 1). If it does not belong to (0,1), it should be rounded.
3.4. ESS Analysis
In this section, we will construct a Jacobian matrix to verify whether the equilibrium point of the game model is stable. The matrix is constructed as follows:
Almost all industrial development conforms to the industrial cycle theory, which refers to the process of an industry from rising to stable development and then to decline. According to this theory, the stable conditions for the development of nearly zero-energy-consumption building sector are analyzed [24]. This study will conduct stability analysis from the initial stage, development stage and mature stage of the nearly zero-energy-consumption building industry.
In the early stages of the development of nearly zero-energy-consumption buildings, due to the deterioration of the environment, the proportion of annual energy consumption in the construction field is too high, and the government is under pressure from all parties. In order to solve environmental problems, the government will take the initiative to choose subsidy policies. On the other hand, due to the limited understanding of nearly zero-energy-consumption building information and the uncertainty of expected benefits, the developers and consumers generally do not choose nearly zero-energy-consumption buildings. Therefore, the corresponding points (1, 0, 0), (1, 1, 0) and (1, 0, 1) in the early stage of the development of nearly zero-energy-consumption buildings, as shown in Table 2, when ∆RB − ∆CB − K1 < 0, that is, ∆RB < ∆CB + K1, mean that when the benefits of developers choosing nearly-zero energy-consuming buildings are less than the sum of the incremental costs and potential losses of developing nearly zero-energy-consuming buildings, developers will choose to develop ordinary buildings. When FC -RC + CC < 0, FC + CC < RC, that is, when the cost of consumers choosing ordinary buildings plus the government’s penalties is less than the basic income of choosing ordinary buildings, consumers will choose ordinary buildings. −E + PB − FC + CG < 0, CG + PB <E + FC; when the sum of the government’s supervision cost and subsidies to developers who develop buildings with nearly zero energy consumption is less than the sum of the benefits of subsidizing nearly zero-energy-consuming buildings and the penalties for consumers who choose ordinary buildings, the government will choose to take incentives. PC + FC + ∆RC − ∆CC < 0, that is, PC + FC + ∆RC < ∆CC; when the sum of the government subsidies received by consumers and the additional benefits obtained by choosing nearly zero-energy-consumption buildings is deducted from the government’s penalties for consumers who choose ordinary buildings, the result is less than the additional cost of consumers choosing nearly zero-energy-consuming buildings, then consumers will choose ordinary buildings. PC − FB + CG < 0, PC + CG <FB; when the sum of the government’s subsidies and the supervision cost to consumers is less than the penalties for developers who choose ordinary buildings, the government will not choose subsidies. ∆RB − ∆CB + K2 < 0, ∆RB + K2 < ∆CB; when the sum of the additional benefits and potential losses of the developer’s choice to develop a nearly zero-energy-consuming building is less than the additional cost of developing a nearly zero-energy-consuming building, the developer will choose to develop ordinary buildings.
Table 2.
Substitute the eight pure-strategy equilibrium points into the equation to obtain the following eigenvalue table.
With the advancement of the nearly zero-energy-consumption building industry over time and the continuous improvement of government policies, nearly zero-energy-consumption buildings have entered a stage of development. Under the active guidance and encouragement of the government, the proportion entities from all parties choosing buildings with nearly zero energy consumption has continued to increase, eventually reaching the optimal and stable balance point (1, 1, 1). As shown in Table 2, the inequalities for reaching equilibrium at this stage are exactly opposite of the first stage.
As the development of the nearly zero-energy-consumption building industry matures and forms a closed industrial chain that actively operates, the government chooses to gradually withdraw from market intervention. This stage corresponds to (0, 1, 1) as shown in Table 2, EPB − PC − CG < 0, E < PB + PC + CG, when the environmental benefits brought by the government when choosing subsidies are less than the sum of subsidies and supervision costs to developers and consumers who choose nearly zero-energy-consuming buildings, the government will choose not to subsidize.
4. Numerical Simulation
In order to more vividly observe the dynamic evolution of the three parties in each stage of the development of the nearly zero-energy-consumption building industry, this study uses Matlab for data simulation. Section 4.1 illustrates the evolution process of the strategic behavior of the tripartite subjects from the initial stage to the mature stage. Section 4.2 simulates the sensitivity of all parties to changes in parameters such as government subsidies, penalties, and supervision costs. Since the nearly zero-energy-consumption building sector is still in its infancy in China, the assistance of local governments is indispensable in the development of the industry. Therefore, Section 4.2 will focus on the analysis of the impact of relevant local government parameters on the selection of game schemes by all parties in the initial stage, so as to promote the development of the industry. The latter two stages provide a theoretical basis for achieving an ideal stable balance.
4.1. Dynamic Evolution
In the nearly zero-energy-consumption housing market, the parameters are assigned to simulate the evolution path of the three main equilibrium strategies in each scenario; the step size of the evolution simulation is set to 0.2, and the evolution time of the three-dimensional diagram is [0, 50]. Figure 2, Figure 3, Figure 4, Figure 5 and Figure 6 reflect the willing equilibrium path and equilibrium result of each agent with the passing of time, and the intersection coordinates of each curve in each figure reflect the final equilibrium strategy set of each agent with the passing of time.
Figure 2.
Evolutionary simulation at the initial stage point (1, 0, 0).
Figure 3.
Evolutionary simulation at the initial stage point (1, 1, 0).
Figure 4.
Evolutionary simulation at the initial stage point (1, 0, 1).
Figure 5.
Evolution simulation development at the initial stage point (1, 1, 1).
Figure 6.
Evolution simulation development at mature stage point (0, 1, 1).
4.1.1. Equilibrium Point (1, 0, 0)
Parameter setting: .
4.1.2. Equilibrium Point (1, 1, 0)
Parameter setting: .
4.1.3. Equilibrium Point (1, 0, 1)
Parameter setting: .
The parameter settings all satisfy the above inequality conditions, namely RB < ∆CB + K1, FC + CC < RC, CG + PB < E + FC, PC + FC + RC < CC, PC + CG < FB, RB + K2 < CB. As shown in Figure 2, Figure 3 and Figure 4, three groups of strategy points are randomly generated by Matlab software, each group has 100 random initial strategy points (xyz), and it is verified that (1, 0, 0), (1, 1, 0), and (1, 0, 1) are all asymptotically stable equilibrium points in the dynamic systems. According to Figure 1, Figure 2 and Figure 3, it can be seen that in the evolution of the three groups of simulation, each group of 100 strategy points randomly generated by Matlab has undergone evolution, iteration, and finally converged to (1, 0, 0), (1, 1, 0) and (1, 0, 1) respectively; that is, the ESS of the government, building developers, and consumers are {government subsidies, developers choose ordinary buildings, consumers choose ordinary buildings}, {government subsidies, developers choose buildings with nearly zero energy consumption, consumers choose ordinary buildings}, {government subsidies, developers choose ordinary buildings, consumers choose buildings with nearly zero energy consumption}. The dynamic simulation diagram of the three stages shows that in the initial stage, the active guidance and encouragement of the government will promote the development of the nearly- zero-energy-consumption building industry. Due to various uncertainties and limited understanding of nearly zero-energy-consumption buildings, developers and consumers will not rush to choose buildings with nearly zero energy consumption, and prefer ordinary buildings. This also effectively demonstrates the previous theoretical analysis.
4.1.4. Equilibrium Point (1, 1, 1)
Parameter setting: .
All parameter settings satisfy the above inequality conditions, namely −(EPB −PC −CG) < 0, −(RB CB + K2) < 0, −(PC + FC + RC − CC) < 0.
Similarly, as shown in Figure 5, we used Matlab to generate 100 random initial policy points, and after evolution and iteration, we finally converged to point (1, 1, 1). That is, the ESS of the three parties is {government subsidies, developers choose buildings with nearly zero energy consumption, consumers choose buildings with nearly zero energy consumption}. In the development stage of the nearly zero-energy-consumption building industry, due to the appropriate government subsidies and high penalties, developers and consumers have gradually shifted from choosing ordinary buildings to choosing nearly zero-energy-consumption buildings. As the number of developers and consumers choosing nearly zero-energy-consuming buildings continues to increase, the strategic behavior of the three parties has gradually evolved into the optimal solution.
4.1.5. Equilibrium Point (0, 1, 1)
Parameter settings: .
The parameter setting conforms to the above inequality, namely E < PB + PC + CG. Similarly, as shown in Figure 6, 100 initial policy points (xyz) are randomly generated by Matlab, and after evolution and iteration, it finally converges to (0, 1, 1). That is, the ESS of the three parties is {the government does not subsidize, developers choose buildings with nearly zero energy consumption, and consumers choose buildings with nearly zero energy consumption}. In the mature stage of the nearly zero-energy-consumption building sector, with the improvement of government policies, laws and regulations and public environmental awareness over time, the entire industrial chain can operate actively even without government intervention, and the government can gradually withdraw from the market.
4.2. Initial Stage Parameter Analysis
Numerical simulation is carried out on the parameters of government punishment and subsidies, and the influence of local government parameters on the choice of behavior strategies in the initial stage is studied.
From Figure 7, Figure 8, Figure 9, Figure 10 and Figure 11, the initial willingness of each agent is 0.5, which reflects the influence of other parameter values unchanged and the change of a certain parameter value on the equilibrium strategy of each agent, and the intersection coordinates at the end of each curve reflect the equilibrium willingness of each agent.
Figure 7.
The influence of supervision cost (CG) on the strategic choice of each party.
Figure 8.
The Influence of punishment FC on strategy choice of each party.
Figure 9.
The influence of punishment FC on the strategy choice of each party.
Figure 10.
The influence of subsidizing PB on the strategic choice of all parties.
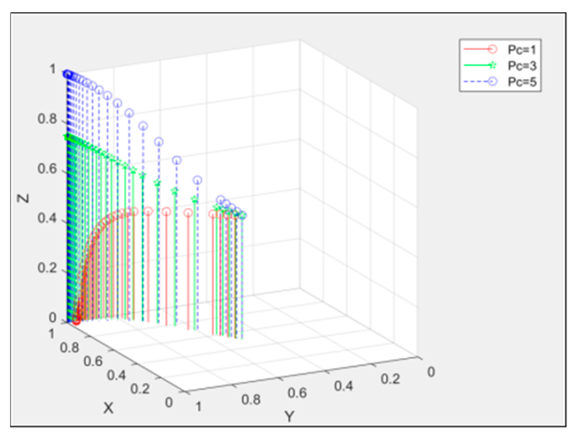
Figure 11.
The influence of subsidizing PC on the strategic choice of all parties.
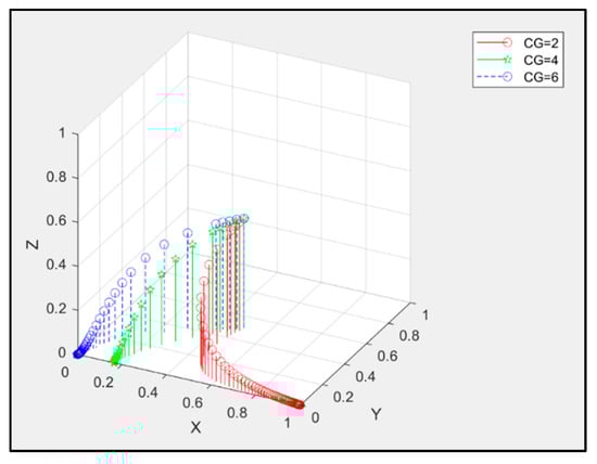
4.2.1. Numerical Simulation of Government Supervision Cost CG
a. Parameter setting: .
As shown in Figure 7, when CG = 2, CG = 4, CG = 6, x and y drop continuously, and x decreases as CG increases. This figure shows that the three-way equilibrium results of increasing CG are (0, 0, 0), (0.2, 0, 0), (1, 0, 0), respectively, indicating that the government’s willingness to subsidize will decrease as the regulatory cost increases. The research results show that with the increase in the supervision cost, the government’s willingness to supervise will be reduced, thus affecting the enthusiasm of other subjects to choose nearly zero-energy-consumption buildings. In the initial stage, the participants’ understanding of nearly zero-energy-consumption buildings is not sufficient, and the government needs to control and guide the market. However, excessive supervision costs will put huge financial pressure on the government, which will make it difficult to implement the subsidy policy, leading the government to choose not to subsidize and developers and consumers to choose ordinary buildings conservatively.
4.2.2. Numerical Simulation of Government Penalties FC and FB on Developers and Consumers
Set the values of penalty FC and FB to 2, 4, and 6, respectively, and simulate the three values of these two parameters separately:
As shown in Figure 8: when Fc = 2, the three-party main body is balanced at (1, 0, 0); at this time, y and z decrease continuously and greatly. When Fc = 4, the three-way main body is also balanced at (1, 0, 0.4), y decreases slowly, z gradually rises, when FC = 6, the three parties are balanced at (0.8, 0, 0.8), y does not change significantly, and z increases greatly. This means that when the government imposes less penalties on consumers, it will reduce the enthusiasm of consumers to buy nearly zero-energy-consumption buildings, which is not conducive to the development of nearly zero-energy-consumption buildings. Appropriate penalties will motivate consumers to buy nearly zero-energy buildings. When the government punishes consumers sufficiently, consumers actively choose nearly zero-energy-consumption buildings, and developers have an audience market, so the choice of developers for nearly zero-energy-consumption buildings will also change, but the government’s penalties for consumers have little impact on developers.
b. Parameter setting: .
Similarly, as shown in Figure 9: when FB = 2, the three-party subject is balanced at (0, 0, 1), y gradually decreases, and z gradually increases. When FB = 4, the three parties are balanced at (1, 0, 1), and z maintains a stable increase, but the growth rate remains unchanged. When FB = 6, the three parties are balanced at (1, 0.2, 1), y gradually increases, z maintains a continuous and stable growth, and the growth rate remains the same. No matter what the value of FB is, the growth rate of z does not change. This shows that when the government imposes less severe penalties on developers, it will reduce the enthusiasm of developers to choose nearly zero-energy-consumption buildings, which is not conducive to the development of these buildings. Reasonable subsidies will stimulate developers’ enthusiasm to choose nearly zero-energy-consumption buildings. However, the government’s penalties for developers have little impact on consumers. Larger penalties will stimulate the enthusiasm of developers to choose nearly zero-energy-consumption buildings and promote the development of nearly zero-energy-consumption buildings.
4.2.3. Simulation of Government Subsidy Parameters PC and PB for Developers and Consumers
The values of PB and PC are set to 2, 4, 6 and 1, 3, and 5 respectively, and then the three values of the two parameters are numerically simulated:
a. Parameter setting: .
As shown in Figure 10: When PB = 2, the tripartite body is balanced at (0, 0, 1), y gradually decreases, and z gradually increases. When PB = 4, the three parties are balanced at (0, 1, 1), and both y and z gradually increase. When PB = 6, the three parties are balanced at (0, 1, 0.8) y grows steadily, and z gradually decreases. No matter the value of FB takes, it has little effect on z. This means that when the government’s subsidy to developers is small, it will reduce the enthusiasm of developers to choose nearly zero-energy-consumption buildings, which is not conducive to the development of such buildings. Appropriate subsidies will stimulate the enthusiasm of building developers to choose nearly zero-energy-consuming buildings, but the degree of government subsidies to developers has little impact on consumers. The growth and decline of consumers are due to the increase in the market share of nearly zero-energy-consuming buildings, which provides consumers with more choices and changes, not because of government subsidies to developers.
b. Parameter setting: .
As shown in Figure 11, when PC = 1, the tripartite subject is balanced at (1, 1, 0) y gradually increases, z gradually decreases, and when PC = 3, the tripartite subject is balanced at (1, 1, 0.8), both y and z gradually increase. When PC = 5, the tripartite subject is balanced at (1, 1, 1), y and z continue to increase. However, no matter what the value of PC is, it has no effect on y. This shows that when the government’s subsidy to consumers is relatively small, it is not conducive to the development of nearly zero-energy-consumption buildings. Appropriate subsidies will help the development of nearly zero-energy-consumption buildings.
5. Discussion and Influence
According to the stability and simulation analysis with the three-party evolutionary game model of the nearly zero-energy-consumption construction market, this section proposes a promotion plan for each main body of the nearly zero-energy-consumption building market to choose different development scenarios.
5.1. Promotion Mechanism of Nearly Zero Energy Consumption Building Industry
In the above article, according to the development characteristics of the industrial life cycle, the conditions for achieving the optimal stable solution at different development stages are analyzed. Based on these analysis results, this study proposes different countermeasures that can be adopted at different stages of development of the nearly zero-energy-consuming building sector.
The first stage is the early stage of the development of the nearly zero-energy-consumption building industry. Both developers and consumers are experiencing negative growth in interests. At this time, it is very important for the government to play a leading role and to ensure the smooth development of the nearly zero-energy-consuming building sector. From the developer’s perspective, due to the limitation of corresponding new technologies and high costs, the incremental cost is most of the time higher than the developer’s benefits from developing nearly zero-energy-consumption buildings [1,2,3,4,5,6]. Therefore, trying to induce ordinary building developers to transition to the nearly zero-energy-consuming building sector has become the government’s top priority. First of all, because the initial economic effect is not ideal, developers who choose to develop nearly zero-energy-consumption buildings will face huge economic pressure, making it difficult to develop nearly zero-energy-consumption buildings stably and continuously [4,5,6]. Therefore, the government needs to take subsidy measures to support developers of nearly zero-energy-consuming buildings, such as land transfers, economic subsidies, loan concessions, tax exemptions, special fund support and other policies. Secondly, when developers develop ordinary buildings, the energy consumption and pollution exceed the standard, and the government should impose heavier penalties (such as high fines) on the developers to promote the development of nearly zero-energy-consumption buildings.
From the perspective of consumers, the cost of purchasing a nearly zero-energy-consumption building is much higher than the cost of purchasing an ordinary building, and the cost is greater than the benefit [7,8,9]. Most consumers do not know about nearly zero-energy-consumption buildings and cannot gain a comprehensive understanding (such as economy, durability, environmental protection, etc.) of nearly zero-energy consumption buildings in a short period of time [4,11]. Therefore, the government needs to carry out effective knowledge dissemination, publicity and education activities to expand the people’s understanding and trust in nearly zero-energy-consumption buildings in order to form the driving force of the nearly zero-energy-consumption building industry chain.
In the second stage, the nearly zero-energy-consumption building industry is in an upward period of development. The negative growth rate of both developers and consumers has declined. Building developers are an important factor in forming a closed loop of the nearly zero-energy-consuming building industry chain [13,14,15,16]. Effectively reducing the incremental cost of developers developing nearly zero-energy-consuming buildings is an important way to promote developers to choose such buildings. To minimize the cost in the development process, breakthroughs and improvements in technology and materials are needed. Developers cannot achieve breakthroughs by themselves, so require the participation of the government to optimize the configuration and actively invest in the research and development and introduction of nearly zero-energy-consuming buildings and overcome technical problems through government support [6,17,18,19]. It also allows pre-sales of nearly zero-energy-consuming buildings in advance to help construction developers return funds for turnover. This method can greatly reduce the incremental cost of developers. When developers develop nearly zero-energy-consumption buildings, in addition to maximizing the energy-saving capabilities of the buildings themselves, increasing the durability of the buildings and the rationality of the layout lead to additional benefits for consumers. Consumers’ intentions to buy nearly-zero energy buildings will also increase due to the increase in additional benefits [21,22,23,24], thereby increasing the supply and demand and promoting the development of nearly zero-energy-consumption buildings. Local governments can also open up economic support policies to consumers, for example, financial subsidies, housing credit and other preferential policies.
In the third stage, the nearly zero-energy-consumption building market has matured. After the first two stages of development, the nearly zero-energy-consumption building industry has formed a closed industrial chain, and both developers and consumers have positive benefits. As the nearly zero-energy-consumption building market is gradually on the right track, the government should formulate corresponding regulatory policies to regulate and contain the nearly zero-energy-consumption building market according to the problems and possible problems discovered in the development process. The government can gradually reduce subsidies for nearly zero-energy-consuming buildings, and only use the Internet, the media, etc. to publicize the policy.
5.2. Impact of the Policy
Nearly zero-energy-consumption buildings play an important role in the development of the building sector. The research results show that the government’s incentive policy, punishment system, as well as government’s supervision cost of the market, and consumers’ acceptance of nearly zero-energy-consumption buildings are the key factors affecting the participation of the three parties in the decision making of the subject’s behavior. Therefore, this paper proposes the following implications:
First, the local government can establish a strict and effective reward and punishment system to enable construction developers to actively develop nearly zero-energy-consumption buildings, because a large number of rewards and punishments can reverse the choices of real estate development companies and greatly increase the probability of developers choosing nearly zero-energy-consumption buildings. On the contrary, if the penalty amount is too low, it cannot have a substantial impact on the developer’s decision-making behavior. In addition, mastering the intensity of subsidies can avoid the excessive dependence of nearly zero-energy-consumption building developers on government subsidy policies, reduce the government’s financial pressure, and avoid high subsidies for developers to take the opportunity to seek private interests. Therefore, this study proposes that the government should dynamically adjust the subsidy policy according to different development stages, so as to promote the evolution of the three parties to the optimal direction. In short, in the early stage of the development of nearly zero-energy buildings, the government should give subsidies to promote the rapid rise of the industry. When the industry enters a mature stage of development, the government could gradually reduce preferential policies and finally withdraw from market intervention. Second, the government’s ability to control costs and expenditures with less supervision is essential. The lower supervision cost increases the government’s supervision probability of the market, shortens the asymmetric information distance between entities, and improves the efficiency of subsidy utilization. Moreover, the government’s active participation in market supervision will bring about better social and environmental benefits and a good government public image. It can also promote the public’s awareness of nearly zero-energy-consumption buildings, and gradually increase the core competitiveness of the nearly zero-energy-consumption building market. In addition, the government should set up special funds to promote and publicize nearly zero-energy-consumption buildings and increase subsidies for consumers who purchase nearly zero-energy-consumption buildings.
5.3. Limitations of the Study
This study discusses the decision-making behavior and stabilization strategies of the three parties in the nearly zero-energy-consumption building industry at different development stages, but only analyzes the influencing factors of the major parties with the greatest influence. There are other factors with relatively weak influence in the actual project that have not been fully considered. In future research, we will combine the various problems revealed in practice and consider them in the game model for further research to improve the promotion mechanism for the development of China’s nearly zero-energy-consuming building sector.
6. Conclusions
This study established a tripartite evolutionary game model among local governments, construction development enterprises and homebuyers, analyzed the tripartite game scheme selection and adjustment mechanism in different stages of nearly zero-energy building development, and reached the following conclusions:
(1) The Tripartite Evolutionary Game can be used to balance local government in nearly zero-energy-consumption buildings, creating strategic choice for building developers and consumers. The method and idea are feasible.
(2) Factors such as government supervision costs, subsidies and penalties for developers and consumers are closely related to the three parties, which can directly affect the behavioral strategies of developers and consumers and increase the probability of nearly zero-energy-consumption buildings being selected until reaching the optimal stable solution (1, 1, 1).
(3) The results show that lower punishment is basically unhelpful for the evolution of the optimal stable state. Therefore, increasing punishment and reducing supervision costs can increase the enthusiasm of the government to supervise the market and the willingness of developers and consumers to choose buildings with nearly zero-energy consumption.
Author Contributions
H.H.: Conceptualization, methodology, software, validation, formal analysis, investigation, resources, data curation, writing—original draft preparation, writing—review and editing, visualization; W.F.M.Y. supervision, project administration, funding acquisition, All authors have read and agreed to the published version of the manuscript.
Funding
The authors are thankful to the Ministry of Higher Education Malaysia (MOHE) through the Fundamental Research Grant Scheme FRGS/1/2019/TK10/UKM/02/4.
Data Availability Statement
Due to the nature of this research, participants of this study did not agree for their data to be shared publicly, so supporting data is not available.
Conflicts of Interest
The authors declare no conflict of interest.
References
- Liu, C.; Xu, W.; Li, A.; Sun, D.; Huo, H. Energy balance evaluation and optimization of photovoltaic systems for zero energy residential buildings in different climate zones of China. J. Clean. Prod. 2019, 235, 1202–1215. [Google Scholar] [CrossRef]
- Zhang, X.; Wang, A.; Tian, Z.; Li, Y.; Zhu, S.; Shi, X.; Jin, X.; Zhou, X.; Wei, S. Methodology for developing economically efficient strategies for net zero energy buildings: A case study of a prototype building in the Yangtze River Delta, China. J. Clean. Prod. 2021, 320, 128849. [Google Scholar] [CrossRef]
- GB/T 51350-2019; The National Standard “Technical Standard” for Near-zero Energy Consumption Buildings. Ministry of Housing and Urban-Rural Development of the People’s Republic of China (MOHURD): Beijing, China, 2019.
- Lin, Y.; Zhong, S.; Yang, W.; Hao, X.; Li, C.Q. Towards zero-energy buildings in China: A systematic literature review. J. Clean. Prod. 2020, 276, 123297. [Google Scholar] [CrossRef]
- Liu, Z.; Zhou, Q.; Tian, Z.; He, B.J.; Jin, G. A comprehensive analysis on definitions, development, and policies of nearly zero energy buildings in China. Renew. Sustain. Energy Rev. 2019, 114, 109314. [Google Scholar] [CrossRef]
- Wu, W.; Skye, H.M. Residential net-zero energy buildings: Review and perspective. Renew. Sustain. Energy Rev. 2021, 142, 110859. [Google Scholar] [CrossRef] [PubMed]
- Wang, J.; Qin, Y.; Zhou, J. Incentive policies for prefabrication implementation of real estate enterprises: An evolutionary game theory-based analysis. Energy Policy 2021, 156, 112434. [Google Scholar] [CrossRef]
- Yuan, M.; Li, Z.; Li, X.; Li, L.; Zhang, S.; Luo, X. How to promote the sustainable development of prefabricated residential buildings in China: A tripartite evolutionary game analysis. J. Clean. Prod. 2022, 349, 131423. [Google Scholar] [CrossRef]
- Zhang, Y.; Lu, Y.; Wang, C.; Huang, Z.; Lv, T. Reward–Penalty Mechanism Based on Daily Energy Consumption for Net-Zero Energy Buildings. Sustainability 2021, 13, 12838. [Google Scholar] [CrossRef]
- IEA. Extended World Energy Balances (Edition 2021); IEA World Energy Statistics and Balances (Database); IEA: Paris, France, 2021. [Google Scholar] [CrossRef]
- Mavromatidis, G.; Orehounig, K.; Richner, P.; Carmeliet, J. A strategy for reducing CO2 emissions from buildings with the Kaya identity—A Swiss energy system analysis and a case study. Energy Policy 2016, 88, 343–354. [Google Scholar] [CrossRef]
- Fratean, A. Dynamic temperature setpoint control as a strategy for reducing costs and energy consumption in nearly zero-energy buildings. In Proceedings of the 21st International Conference on System Theory, Control and Computing (ICSTCC), Sinaia, Romania, 19–21 October 2017. [Google Scholar]
- Yang, X.; Zhang, S.; Xu, W. Impact of zero energy buildings on medium-to-long term building energy consumption in China. Energy Policy 2019, 129, 574–586. [Google Scholar] [CrossRef]
- Han, R.; Yang, M. Profit distribution and stability analysis of joint distribution alliance based on tripartite evolutionary game theory under the background of green and low carbon. Environ. Sci. Pollut. Res. 2022, 29, 59633–59652. [Google Scholar] [CrossRef] [PubMed]
- Zhang, Y.; Wang, H.; Gao, W.; Wang, F.; Zhou, N.; Kammen, D.M.; Ying, X. A Survey of the Status and Challenges of Green Building Development in Various Countries. Sustainability 2019, 11, 5385. [Google Scholar] [CrossRef]
- Koc, K. Contractor prequalification for green buildings—Evidence from Turkey. Engineering 2020, 27, 1377–1400. [Google Scholar]
- Olubunmi, O.A.; Xia, P.B.; Skitmore, M. Green building incentives: A review. Renew. Sustain. Energy Rev. 2016, 59, 1611–1621. [Google Scholar] [CrossRef]
- Golbazi, M.; El Danaf, A.; Aktas, C.B. Willingness to pay for green buildings: A survey on students’ perception in higher education. Energy Build. 2020, 216. prepublish. [Google Scholar] [CrossRef]
- Zhang, D.; Tu, Y. Green building, pro-environmental behavior and well-being: Evidence from Singapore. Cities 2021, 108, 102980. [Google Scholar] [CrossRef]
- Chen, Q.; Romich, E.; Cruse, A.; Gorzitze, A.; Shi, H.; Zhao, L. Surveying the edges: Homeowners’ perspectives on residential energy efficiency and renewable energy improvements in ohio. J. Green Build. 2019, 14, 111–130. [Google Scholar] [CrossRef]
- Kim, J.M.; Son, K.; Son, S. Green benefits on educational buildings according to the leed certification. Int. J. Strateg. Prop. Manag. 2020, 24, 83–89. [Google Scholar] [CrossRef]
- Fratean, A.; Dobra, P. Control strategies for decreasing energy costs and increasing self-consumption in nearly zero-energy buildings. Sustain. Cities Soc. 2018, 39, 459–475. [Google Scholar] [CrossRef]
- Eissa, R.; Eid, M.S.; Elbeltagi, E. Current applications of game theory in construction engineering and management research: A social network analysis approach. J. Constr. Eng. Manag. 2021, 147, 04021066. [Google Scholar] [CrossRef]
- Lv, J.; Lin, M.; Zhou, W.; Xu, M. How PPP renegotiation behaviors evolve with traffic changes: Evolutionary game approach. J. Constr. Eng. Manag. 2021, 147, 04021032. [Google Scholar] [CrossRef]
Disclaimer/Publisher’s Note: The statements, opinions and data contained in all publications are solely those of the individual author(s) and contributor(s) and not of MDPI and/or the editor(s). MDPI and/or the editor(s) disclaim responsibility for any injury to people or property resulting from any ideas, methods, instructions or products referred to in the content. |
© 2023 by the authors. Licensee MDPI, Basel, Switzerland. This article is an open access article distributed under the terms and conditions of the Creative Commons Attribution (CC BY) license (https://creativecommons.org/licenses/by/4.0/).










