Evaluation of the Properties of Adobe Blocks with Clay and Manure
Abstract
1. Introduction
2. Materials and Methods
3. Results
3.1. Characterization of Raw Materials
3.2. Parameters of Adobe Blocks
4. Conclusions
- -
- The raw materials used to produce the blocks are adequate. The clay used has chemical and mineralogical parameters that characterize it as a Red Latosol, with potential for adobe blocks. This was confirmed by the presence of anatase, brookite, kaolinite, and hematite. The manure used has organic material with quartz as an impurity.
- -
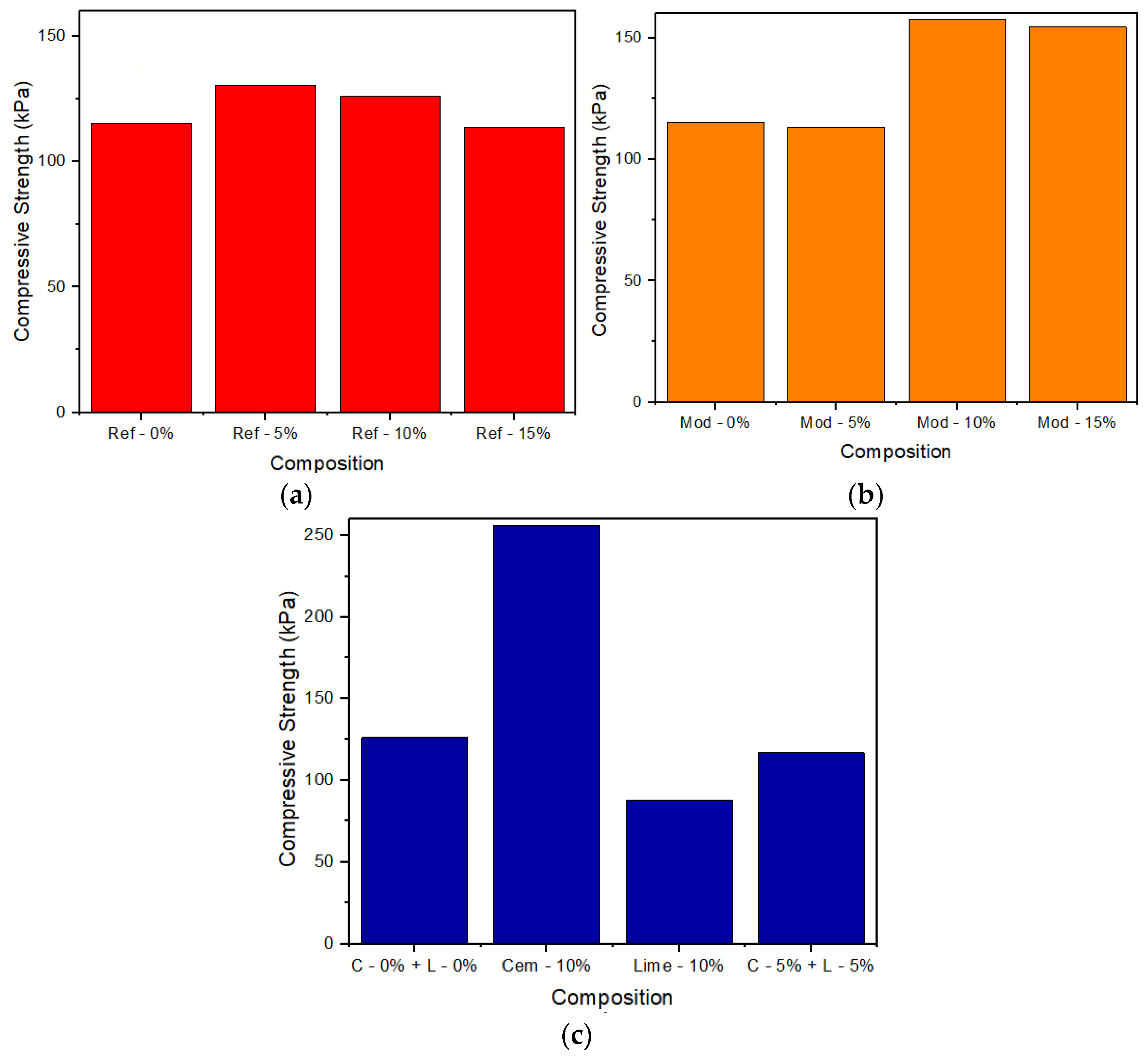
- The compressive strength results demonstrate the need for clay granulometric correction with the use of sand. Including this material, the resistance increased from approximately 115 to 160 kPa. The use of manure contributes to the compressive strength. This happens because the material densifies the adobe blocks, improving their behavior when subjected to loads.
- -
- In addition, the need to stabilize the blocks with the use of Portland cement became clear. This binder contributes to the mechanical resistance of adobe blocks, information known based on another research. The compressive strength values are compatible with the international bibliography.
- -
- The results of water absorption and durability demonstrate that adobe blocks produced with clay and manure, corrected with sand, and stabilized with cement are stable in the presence of water. This result is very promising and reflects a mass loss of approximately 15% in the stabilized blocks.
Supplementary Materials
Author Contributions
Funding
Institutional Review Board Statement
Informed Consent Statement
Data Availability Statement
Acknowledgments
Conflicts of Interest
References
- Girondi, G.D.; Marvila, M.M.; de Azevedo, A.R.G.; de Souza, C.C.; Souza, D.; de Brito, J.; Vieira, C.M.F. Recycling Potential of Powdered Cigarette Waste in the Development of Ceramic Materials. J. Mater. Cycles Waste Manag. 2020, 22, 1672–1681. [Google Scholar] [CrossRef]
- Girondi Delaqua, G.C.; Marvila, M.T.; Souza, D.; Sanchez Rodriguez, R.J.; Colorado, H.A.; Fontes Vieira, C.M. Evaluation of the Application of Macrophyte Biomass Salvinia Auriculata Aublet in Red Ceramics. J. Environ. Manag. 2020, 275, 111253. [Google Scholar] [CrossRef] [PubMed]
- Thi, N.; Trang, M.; Anh, N.; Ho, D.; Babel, S. Chemosphere Reuse of Waste Sludge from Water Treatment Plants and Fly Ash for Manufacturing of Adobe Bricks. Chemosphere 2021, 284, 131367. [Google Scholar] [CrossRef]
- Dormohamadi, M.; Rahimnia, R. Case Studies in Construction Materials Combined Effect of Compaction and Clay Content on the Mechanical Properties of Adobe Brick. Case Stud. Constr. Mater. 2020, 13, e00402. [Google Scholar] [CrossRef]
- Mellaikhafi, A.; Tilioua, A.; Benallel, A. Thermal Performance Assessment of a Wall Built with Earth-Based Adobes and Reinforced with Pinnate Leaves Fibers. Mater. Today Proc. 2022, 58, 1535–1540. [Google Scholar] [CrossRef]
- Calatan, G.; Hegyi, A.; Dico, C.; Mircea, C. Experimental Research on the Recyclability of the Clay Material Used in the Fabrication of Adobe Bricks Type Masonry Units. Procedia Eng. 2017, 181, 363–369. [Google Scholar] [CrossRef]
- Imada, P.K.; de Almeida Paes, L.; Vitiello, P.R. Economic feasibility study of construction with raw earth block (adobe). In Proceedings of the Google for Education, Rio de Janeiro, Brazil, 2021; pp. 1–16. [Google Scholar]
- Dhandhukia, P.; Goswami, D.; Thakor, P.; Thakker, J.N. Soil Property Apotheosis to Corral the Finest Compressive Strength of Unbaked Adobe Bricks. Constr. Build. Mater. 2013, 48, 948–953. [Google Scholar] [CrossRef]
- Olacia, E.; Laura, A.; Chiodo, V.; Maisano, S.; Frazzica, A.; Cabeza, L.F. Sustainable Adobe Bricks with Seagrass Fibres. Mechanical and Thermal Properties Characterization. Constr. Build. Mater. 2020, 239, 117669. [Google Scholar] [CrossRef]
- Silveira, D.; Varum, H.; Costa, A. Influence of the Testing Procedures in the Mechanical Characterization of Adobe Bricks. Constr. Build. Mater. 2013, 40, 719–728. [Google Scholar] [CrossRef]
- Li, W.-J.; Li, H.-Z.; An, X.-L.; Lin, C.-S.; Li, L.-J.; Zhu, Y.-G. Effects of Manure Fertilization on Human Pathogens in Endosphere of Three Vegetable Plants. Environ. Pollut. 2022, 314, 120344. [Google Scholar] [CrossRef]
- Ren, J.; Liu, X.; Yang, W.; Yang, X.; Li, W.; Xia, Q.; Li, J.; Gao, Z.; Yang, Z. Rhizosphere Soil Properties, Microbial Community, and Enzyme Activities: Short-Term Responses to Partial Substitution of Chemical Fertilizer with Organic Manure. J. Environ. Manag. 2021, 299, 113650. [Google Scholar] [CrossRef] [PubMed]
- Fang, C.; Zhou, L.; Liu, Y.; Xiong, J.; Su, Y.; Lan, Z.; Han, L.; Huang, G. Effect of Micro-Aerobic Conditions Based on Semipermeable Membrane-Covered on Greenhouse Gas Emissions and Bacterial Community during Dairy Manure Storage at Industrial Scale. Environ. Pollut. 2022, 299, 118879. [Google Scholar] [CrossRef] [PubMed]
- Dao, K.; Ouedraogo, M.; Millogo, Y.; Aubert, J.-E.; Gomina, M. Thermal, Hydric and Mechanical Behaviours of Adobes Stabilized with Cement. Constr. Build. Mater. 2018, 158, 84–96. [Google Scholar] [CrossRef]
- Tejaswini, G.; Veeresh, R.; Annapurna, B.P.; Jagadish, K.S. Performance of Mechanized Pugged Soil Stabilized Adobe. Mater. Today Proc. 2022, 65, 2095–2101. [Google Scholar] [CrossRef]
- Arduin, D.; Caldas, L.R.; Paiva, R.d.L.M.; Rocha, F. Life Cycle Assessment (LCA) in Earth Construction: A Systematic Literature Review Considering Five Construction Techniques. Sustainability 2022, 14, 13228. [Google Scholar] [CrossRef]
- Muñoz, P.; Letelier, V.; Muñoz, L.; Bustamante, M.A. Adobe Bricks Reinforced with Paper & Pulp Wastes Improving Thermal and Mechanical Properties. Constr. Build. Mater. 2020, 254, 119314. [Google Scholar] [CrossRef]
- Gandia, R.M.; Corrêa, A.A.R.; Gomes, F.C.; Marin, D.B.; Santana, L.S. Physical, mechanical and thermal behavior of adobe stabilized with “synthetic termite saliva”. Eng. Agrícola 2019, 39, 139–149. [Google Scholar] [CrossRef]
- Charai, M.; Salhi, M.; Horma, O.; Mezrhab, A.; Karkri, M.; Amraqui, S. Thermal and Mechanical Characterization of Adobes Bio-Sourced with Pennisetum Setaceum Fibers and an Application for Modern Buildings. Constr. Build. Mater. 2022, 326, 126809. [Google Scholar] [CrossRef]
- ASTM C 373-18; Standard Test Methods for Determination of Water Absorption and Associated Properties by Vacuum Method for Pressed Ceramic Tiles and Glass Tiles and Boil Method for Extruded Ceramic Tiles and Non-Tile Fired Ceramic Whiteware Products. ASTM International: West Conshohocken, PA, USA, 2018.
- Ansari, M.A.; Choudhury, B.U.; Layek, J.; Das, A.; Lal, R.; Mishra, V.K. Green Manuring and Crop Residue Management: Effect on Soil Organic Carbon Stock, Aggregation, and System Productivity in the Foothills of Eastern Himalaya (India). Soil Tillage Res. 2022, 218, 105318. [Google Scholar] [CrossRef]
- Cui, J.; Cui, J.; Li, J.; Wang, W.; Xu, B.; Yang, J.; Li, B.; Chang, Y.; Liu, X.; Yao, D. Improving Earthworm Quality and Complex Metal Removal from Water by Adding Aquatic Plant Residues to Cattle Manure. J. Hazard. Mater. 2022, 443, 130145. [Google Scholar] [CrossRef]
- de Aquino, R.F.B.A.; Cavalcante, A.G.; Clemente, J.M.; Macedo, W.R.; Novais, R.F.; de Aquino, L.A. Split Fertilization of Phosphate in Onion as Strategy to Improve the Phopsphorus Use Efficiency. Sci. Hortic. 2021, 290, 110494. [Google Scholar] [CrossRef]
- Luo, Y.; Wang, J.; Wu, Y.; Li, X.; Chu, P.K.; Qi, T. Substitution of Quartz and Clay with Fly Ash in the Production of Architectural Ceramics: A Mechanistic Study. Ceram. Int. 2021, 47, 12514–12525. [Google Scholar] [CrossRef]
- de Azevedo, M.C.; Teixeira Marvila, M.; Carla Girondi Delaqua, G.; Fonseca Amaral, L.; Colorado, H.; Maurício Fontes Vieira, C. Economy Analysis of the Implementation of Extruded Tiles Fabrication in a Ceramic Industry Containing Ornamental Rock Waste. Int. J. Appl. Ceram. Technol. 2021, 18, 1876–1890. [Google Scholar] [CrossRef]
- Marques, K.P.P.; dos Santos, M.; Peifer, D.; da Silva, C.L.; Vidal-Torrado, P. Transient and Relict Landforms in a Lithologically Heterogeneous Post-Orogenic Landscape in the Intertropical Belt (Alto Paranaíba Region, Brazil). Geomorphology 2021, 391, 107892. [Google Scholar] [CrossRef]
- Nicolite, M.; Delaqua, G.C.G.; Marvila, M.T.; Vernilli, F.; Colorado, H.A.; Vieira, C.M.F. Reuse of Wastes from the Production of Electrofused Alumina in Red Ceramics. Environ. Dev. Sustain. 2022, 25, 669–685. [Google Scholar] [CrossRef]
- Gandia, R.M.; Gomes, F.C.; Corrêa, A.A.R.; Rodrigues, M.C.; Marin, D.B. Physical, mechanical and thermal behaviour of adobe stabilized with the sludge of wastewater treatment plants. Eng. Agrícola 2019, 39, 684–697. [Google Scholar] [CrossRef]
- Miranda, L.; Santos, A.; Anselmo, J.; Figueirêdo, A.; Azerêdo, N. De Soil Characterization for Adobe Mixtures Containing Portland Cement as Stabilizer Caracterização de Solo Para Misturas de Adobe Contendo Cimento Portland Como Estabilizante. Matéria 2020, 25, 1–10. [Google Scholar]
- Sun, J.; Huang, Y. Modeling the Simultaneous Effects of Particle Size and Porosity in Simulating Geo-Materials. Materials 2022, 15, 1576. [Google Scholar] [CrossRef]
- Eslami, A.; Mohammadi, H.; Mirabi Banadaki, H. Palm Fiber as a Natural Reinforcement for Improving the Properties of Traditional Adobe Bricks. Constr. Build. Mater. 2022, 325, 126808. [Google Scholar] [CrossRef]
- Kafodya, I.; Okonta, F.; Kloukinas, P. Role of Fiber Inclusion in Adobe Masonry Construction. J. Build. Eng. 2019, 26, 100904. [Google Scholar] [CrossRef]
- Ramakrishnan, S.; Loganayagan, S.; Kowshika, G.; Ramprakash, C.; Aruneshwaran, M. Adobe Blocks Reinforced with Natural Fibres: A Review. Mater. Today Proc. 2021, 45, 6493–6499. [Google Scholar] [CrossRef]
- Ige, O.; Danso, H. Physico-Mechanical and Thermal Gravimetric Analysis of Adobe Masonry Units Reinforced with Plantain Pseudo-Stem Fibres for Sustainable Construction. Constr. Build. Mater. 2021, 273, 121686. [Google Scholar] [CrossRef]
- Sharma, V.; Vinayak, H.K.; Marwaha, B.M. Enhancing Compressive Strength of Soil Using Natural Fibers. Constr. Build. Mater. 2015, 93, 943–949. [Google Scholar] [CrossRef]
- Hussain, M.; Levacher, D.; Leblanc, N.; Zmamou, H.; Djeran-Maigre, I.; Razakamanantsoa, A.; Saouti, L. Reuse of Harbour and River Dredged Sediments in Adobe Bricks. Clean. Mater. 2022, 3, 100046. [Google Scholar] [CrossRef]
- Salih, M.M.; Osofero, A.I.; Imbabi, M.S. Critical Review of Recent Development in Fiber Reinforced Adobe Bricks for Sustainable Construction. Front. Struct. Civ. Eng. 2020, 14, 839–854. [Google Scholar] [CrossRef]
- Millogo, Y.; Hajjaji, M.; Ouedraogo, R. Microstructure and Physical Properties of Lime-Clayey Adobe Bricks. Constr. Build. Mater. 2008, 22, 2386–2392. [Google Scholar] [CrossRef]
- El-Mahllawy, M.S.; Kandeel, A.M. Engineering and Mineralogical Characteristics of Stabilized Unfired Montmorillonitic Clay Bricks. HBRC J. 2014, 10, 82–91. [Google Scholar] [CrossRef]
- de Castrillo, M.C.; Ioannou, I.; Philokyprou, M. Reproduction of Traditional Adobes Using Varying Percentage Contents of Straw and Sawdust. Constr. Build. Mater. 2021, 294, 123516. [Google Scholar] [CrossRef]











| Composition | Clay | Sand | Manure | Cement | Lime | Water | |||||
|---|---|---|---|---|---|---|---|---|---|---|---|
| Ref-0% | 100% | 1800.0 g | - | - | - | - | - | - | - | - | Between the LL and PL |
| Ref-5% | 95% | 1710.0 g | - | - | 5% | 90.0 g | - | - | - | - | |
| Ref-10% | 90% | 1620.0 g | - | - | 10% | 180.0 g | - | - | - | - | |
| Ref-15% | 85% | 1530.0 g | - | - | 15% | 270.0 g | - | - | - | - | |
| Mod-0% | 65.0% | 1170.0 g | 35.0% | 630.0 g | - | - | - | - | - | - | |
| Mod-5% | 62.7% | 1128.6 g | 32.3% | 581.4 g | 5% | 90.0 g | - | - | - | - | |
| Mod-10% | 58.9% | 1060.2 g | 31.1% | 559.8 g | 10% | 180.0 g | - | - | - | - | |
| Mod-15% | 55.5% | 999.0 g | 29.5% | 531.0 g | 15% | 270.0 g | - | - | - | - | |
| C-0% + L-0% | 58.9% | 1060.2 g | 31.1% | 559.8 g | 10% | 180.0 g | - | - | - | - | |
| Cem-10% | 52.0% | 936.0 g | 28.0% | 504.0 g | 10% | 180.0 g | 10.0% | 180.0 g | - | - | |
| Lime-10% | 52.0% | 936.0 g | 28.0% | 504.0 g | 10% | 180.0 g | - | - | 10.0% | 180.0 g | |
| C-5% + L-5% | 52.0% | 936.0 g | 28.0% | 504.0 g | 10% | 180.0 g | 5.0% | 90.0 g | 5.0% | 90.0 g | |
| Composition (% in Weight) | SiO2 | Fe2O3 | CaO | Al2O3 | TiO2 | SO3 | K2O | Others |
|---|---|---|---|---|---|---|---|---|
| Manure | 37.75 | 29.30 | 3.34 | 17.53 | 5.25 | 2.49 | 2.85 | 1.49 |
| Clay | 12.97 | 21.87 | 0.96 | 50.65 | 10.80 | 1.87 | - | 0.88 |
| Material | Liquidity Limit (%) | Plasticity Limit (%) | Liquidity Ratio (%) |
|---|---|---|---|
| Clay | 41.21 | 29.48 | 11.73 |
Disclaimer/Publisher’s Note: The statements, opinions and data contained in all publications are solely those of the individual author(s) and contributor(s) and not of MDPI and/or the editor(s). MDPI and/or the editor(s) disclaim responsibility for any injury to people or property resulting from any ideas, methods, instructions or products referred to in the content. |
© 2023 by the authors. Licensee MDPI, Basel, Switzerland. This article is an open access article distributed under the terms and conditions of the Creative Commons Attribution (CC BY) license (https://creativecommons.org/licenses/by/4.0/).
Share and Cite
Brito, M.R.; Marvila, M.T.; Linhares, J.A.T., Jr.; Azevedo, A.R.G.d. Evaluation of the Properties of Adobe Blocks with Clay and Manure. Buildings 2023, 13, 657. https://doi.org/10.3390/buildings13030657
Brito MR, Marvila MT, Linhares JAT Jr., Azevedo ARGd. Evaluation of the Properties of Adobe Blocks with Clay and Manure. Buildings. 2023; 13(3):657. https://doi.org/10.3390/buildings13030657
Chicago/Turabian StyleBrito, Marina Rabelo, Markssuel Teixeira Marvila, José Alexandre Tostes Linhares, Jr., and Afonso Rangel Garcez de Azevedo. 2023. "Evaluation of the Properties of Adobe Blocks with Clay and Manure" Buildings 13, no. 3: 657. https://doi.org/10.3390/buildings13030657
APA StyleBrito, M. R., Marvila, M. T., Linhares, J. A. T., Jr., & Azevedo, A. R. G. d. (2023). Evaluation of the Properties of Adobe Blocks with Clay and Manure. Buildings, 13(3), 657. https://doi.org/10.3390/buildings13030657

