Abstract
This research is focused on the influence of carbonate minerals on the properties of ceramic blocks as a replacement for commercial stabilizers, using three types of clays and sawdust as raw materials extracted from Chiapas, Mexico, for their application in thermal insulation on lightweight construction systems of local buildings. The effective thermal conductivity of each sample was tested by the guarded hot plate method in a permanent state, and their physical and chemical properties were determined by water absorption, X-ray powder diffraction, and X-ray fluorescence spectroscopy techniques. The results directed attention toward the knowledge of the role of the parameters in improving the thermal insulation properties, highlighting calcite as a favorable stabilizer in the manufacture of such blocks. Furthermore, the parameter affecting the thermal conductivity of the samples is the mass percentage of magnesium oxide (MgO) in a positive linear trend. Finally, the volumetric proportions of the sawdust as a pore-forming aggregate influence the decrease in the bulk density in the ceramic blocks and, thus, the reduction in the thermal conductivity.
1. Introduction
The energy demand is in a critical condition because the industrial production of construction materials, such as thermal insulators for buildings, generates a high consumption and pollutants expelled into the atmosphere. It is necessary to look for raw materials and techniques that are recyclable, renewable, and environmentally friendly [1,2]. It is important to note that most of these materials’ fibrous or porous attributes significantly improve their performance as an insulator when incorporated into a system.
By focusing on the above, several studies have tried to explain the thermal performance of raw materials extracted from the earth’s crust, such as rocks and sediments, through their macroscopic and microscopic properties for the elaboration of thermal insulators. In the 1940s, thermal analysis of the soils was implemented as a source of heat storage in wet and dry conditions, with significant results in its performance because they consider conductivity and thermal diffusivity as defining parameters, with the dry clay and limestone at their lowest values in both cases [3]. Due to the aforementioned, its use as a raw material in elements that are applied to construction or industry is considered since it has presented thermal and economic advantages.
Authors such as Dondi et al. [4] analyzed the performance of clays by measuring thermal conductivity in fired brick samples and correlating with their physical and chemical characteristics, where they contributed that the mineralogical components, bulk density, and pore size distribution defined the insulation properties, obtaining values between 0.39 and 0.63 W∗m−1∗K−1 with a pore size range between 0.01 and 100 μm. On the other hand, Gualtieri et al. [5] supported this idea by studying physical, chemical, and mineralogical properties in fired clay bricks, in which the results indicated that the pore-forming organic content and grain size distribution significantly influenced the effective thermal conductivity because the latter had a better packing of particles during firing.
Although bricks are fabricated from clays and other rock minerals as raw materials, they go through a firing or sintering process that contributes to pollution due to the amount of harmful matter and energy released [6]. It should be noted that these pieces process at temperatures between 900 and 1150 °C, causing a requirement of 2 kWh of energy consumption and the release of 0.4 kg of CO2 gases per unit [7].
If this is failed, a technique called stabilization is applied, in which the clay is mixed with different types of binders to improve its strength, durability, and volumetric stability [8]. There are a variety of stabilizers [9,10,11], such as sand, gravel, lime, cement, fibers, or geopolymers. These provide benefits to the skeleton of ceramic elements, with water resistance [12], a decrease in plasticity in clays [13], or a reduction in cracking [14] being the most important when they are implemented in a system.
Several stabilizers are manufactured from inorganic materials whose main chemical component is calcium oxide (CaO), in which the particle union between this component as an aggregate and the sources of silica (SiO2) and alumina (Al2O3) acquired from the clay generates a reaction denominated hydration. Therefore, the stabilization of ceramic elements is highly dependent on soil characteristics, binder properties, and mix design (proportions) [6].
An investigation into the implementation of inorganic stabilizers was carried out by Teixeira et al. [15], which used 6% hydraulic lime and 1% hydrated lime by weight as stabilizing aggregates in clay blocks, reaching a thermal conductivity of up to 0.60 W∗m−1∗K−1. Likewise, Bamogo et al. [16] manufactured and evaluated earthen renders based on a medium plastic clayey soil and mixed with dolomitic lime up to 6% by weight, obtaining a value of 0.65 W∗m−1∗K−1 in thermal conductivity that, according to the authors, is appropriate for habitats with dry climates. Nevertheless, Saidi et al. [17] mentioned that an excessive amount of these components considerably increase thermal conductivity, showing that the addition of 0 to 12% cement or lime content by weight increases up to 37.79% and 22.57%, respectively.
Some researchers used carbonate rocks to replace commercial stabilizers, such as the case of Lavie Arsene et al. [14], who studied the performance of compressed earth blocks (CEB), such as drying shrinkage, compressive strength, water absorption, and abrasion resistance from the addition of three different types of aggregates (limestone, sandstone and porphyry) in proportions from 0% to 50% by volume, coinciding that there is an improvement in these properties, and therefore, they positively influence the lifetime of the pieces. Although a thermal analysis was not executed, there are results about the individual performance of these rocks, such as the studies made by Miao and Zhou [18], Momenzadeh et al. [19], and Chen et al. [20], establishing that their thermal conductivity at room temperature depends on porosity due to their particle packing in the crystalline structure, with dolomite having the value highest, followed by sandstone and limestone.
On the other hand, ceramic blocks are reinforced with organic residues that, according to Jesudass et al. [21], improve performance in aspects of thermal insulation and mechanical resistance, such as fibers [22], grass [23], or organic waste [24], in percentages from 1% to 6% by weight. However, the amount of these organic residues can increase, as demonstrated by Ibrahim et al. [25] when using sawdust incorporated into zeolite rock to create light bricks for thermal insulation. He considers that the optimal amount of the first material must be less than 10% by weight, obtaining a value of up to 0.13 W∗m−1∗K−1 at 1250 °C. Likewise, Khoudjaa et al. [26] analyzed the weight by mixing raw earth bricks, lime, and date palm waste aggregates, reaching a thermal conductivity of up to 0.37 W∗m−1∗K−1.
Finally, Hany et al. [27] produced ecological compressed earth bricks with agricultural waste and industrial by-products, showing that fly ash activated with alkali and ground granulated blast furnace slag as a partial or total replacement of cement for stabilization holds promise in sustainable construction.
This research is focused on determining the thermal conductivity of ceramic blocks based on clays, sawdust, and stabilized with carbonates minerals extracted in various geographical areas of Chiapas, Mexico, as well as identifying the physical and chemical characteristics that affect their thermal behavior. This will result in recognition of local resources for use as light construction materials and their implementation in economically disadvantaged areas of this study region to improve the quality of life in certain social sectors, as well as contribute to the reduction in energy consumption. Therefore, a statistical analysis of the data was performed to describe the influence of the mentioned characteristics on the first parameter.
2. Materials and Methods
2.1. Identification of Materials
Sampling was carried out in material deposits located in the state of Chiapas, Mexico, described in Table 1, where three types of clays for bricks and two kinds of carbonates were identified. Moreover, sawdust was collected as waste material from the local pine wood industry.
Table 1.
The geographical location of the raw material.
The preparation of these materials consisted of drying at room temperature, manual crushing, and screening to use the particles that pass through a galvanized steel network, equivalent to the Tyler sieve with mesh no.20 (0.833 mm).
It should be noted that the mineralogical composition and crystalline phase of each sample were analyzed through an X-ray diffractometer (XRD) brand Rigaku model Ultima IV with CuKα radiation (λ = 1.54184 Å) under operating conditions of 40 kV, 44 mA, and 1.76 kW; silicone strip detector D/teX Ultra; and independent Bragg-Brentano θ-θ geometry. The sweep for each sample was applied in an interval of 2θ (5°–70°) with a velocity of 2°/min and step size of 0.02°. The analysis of the samples was realized with the Powder Diffraction database by JCPDS—International Center for Diffraction Data.
2.2. Preparation of Ceramic Blocks
The sieved samples of each selected material were used according to their mineralogical properties analyzed, according to the proposed combinations matrix shown in Figure 1. Before the elaboration of the blocks, each sample was determined its chemical composition by high-power Rigaku Supermini200 model Rigaku sequential X-ray fluorescence spectrometry (WDXRF), equipped with a 50 kV, 4 mA X-ray generator and Pd X-ray tubes—anode, 200 W air-cooled.
Figure 1.
Proposed combination matrix of materials for the manufacture of ceramic blocks.
Subsequently, the combined samples were mixed manually, ensuring their homogeneity with water until achieving a plastic texture, where each of them was worked under a dosage proposed by a mix design of clay–carbonate–sawdust in proportion 1:1:0 (1.5 cm), 1:1:2 (2.5 cm) and 1:1:3 (3 cm), with a thickness of 7 cm, shown in Figure 2. Once obtained, the homogeneous mixture was poured into molds of 20 cm × 20 cm, following the determination of the dimensions given by the Mexican standard NMX–C–038–ONNCCE–2013 [28].
Figure 2.
Distribution of samples by layers in ceramic blocks.
Afterward, the molds were removed when they began to acquire consistency. Finally, the samples were subjected to drying at room temperature and relative humidity of 40% for a maximum time of 14 days since, based on the Mexican standard NMX–C–508–ONNCCE–2015, ensuring that the parts dry naturally to slowly dissipate their moisture and reduce internal cracks by shrinkage [29,30].
2.3. Thermal Characterization of Ceramic Blocks
The thermal conductivity and resistance of the ceramic blocks were determined with the guarded hot plate method in a permanent state by the Mexican standard NMX–C–189–ONNCCE–2010 [31], with double measuring sides and a range to measure values ranging between 0.03 and 2 W∗m−1∗K−1, accompanied by a thermal bath equipment brand Thermo Fisher Scientific, as seen in Figure 3. In order to perform the measurements, ceramic pieces of 20 cm × 20 cm × 7 cm were used in accordance with the size of the plates. The results were obtained using Equations (1) and (2) through LabVIEW software at 10 s intervals.
Figure 3.
Guarded hot plate apparatus with thermal bath equipment.
2.4. Physical and Thermal Characterization of Ceramic Blocks
Samples were characterized using the water absorption technique given by the Mexican standard NMX–C–228–ONNCCE–2010 [32]. However, in this case, 96% v/v (96°) ethyl alcohol ( = 797 kg m−3) was used at room temperature since the low surface tension of this liquid prevents the disintegration of the material by an explosion as it occupies the spaces formed by internal pores [33,34]. Once the values of the volume of voids are obtained, the bulk density of the material and the porosity are calculated by Equations (3)–(5), respectively.
3. Results
3.1. Identification of Samples by XRD
X-ray diffraction analysis identified the mineralogical composition of the dry powders in each sample. The raw materials collected were composed of three types of clays and two limestones, as shown in Figure 4.

Figure 4.
X-ray diffraction patterns for samples: (a) A1, (b) A2, (c) A3, (d) C1 and (e) C2 (see Table 1).
Based on the analysis of each clay, the predominant mineral formations in sample A1 (Figure 4a) are quartz (SiO2) (JCPDS card No.01-070-7344) and halloysite-7A (Al2Si2O5(OH4)) (JCPDS No.00-009-0453) with trigonal and hexagonal crystal structure, respectively. Furthermore, two other minerals were identified: calcium aluminum silicate (Al1.77Ca0.88O8Si2.23) (JCPDS card No.00-052-1344) and aluminum magnesium silicate hydrate (Al2(Si3.3Al0.7)O10(Mg2.32Al0.68)(OH)8) (JCPDS card No.01-072-1384).
In sample A2 (Figure 4b), anorthite (CaAl2Si2O8) (JCPDS card No.00-020-0528), calcite (CaCO2) (JCPDS card No.00-020-0528), and low quartz (SiO2) (JCPDS card No. 01-087-2096) were identified as minerals in their most representative diffraction peaks, with a triclinic, hexagonal, and trigonal crystalline structure, respectively.
In sample A3 (Figure 4c), kaolinite-1A (Al2Si2O5(OH4)) (JCPDS card No.01-072-2300) was found to be the predominant mineral, with a triclinic crystal structure. Furthermore, there is a high presence of an amorphous phase.
As a rule, clay minerals are composed of hydrated aluminosilicates that form through natural weathering processes in the earth’s crust. Consequently, these minerals in different regions have varying chemical compositions and crystallinity structures, so it is complex to analyze how they relate to their properties [35].
On the other hand, two limestones with high content of carbonate minerals were identified. In sample C1 (Figure 4d), dolomite (CaMg(CO3)2) (JCPDS card No.00-036-0426) was recognized as a predominant mineral with trigonal crystalline structure associated in their most intensive diffraction peaks. Furthermore, enstatite (MgSiO3) (JCPDS card No.01-084-0653) was also identified. Finally, calcite (CaCO3) was found in sample C2 (Figure 4e) (JCPDS card No.01-089-1304), which belongs to the trigonal crystal system. It should be noted that these materials are the most important representatives of carbonates in the ceramic industry.
In general, it is described that clays are characterized by having a plastic behavior when in contact with water and even harden into elements when they are dried in the environment, but their volumetric change is abrupt, so it is suggested to combine with other minerals such as carbonates because they are natural stabilizer binders that would provide dimensional stability in the formation of ceramic blocks [36,37]. Moreover, these raw materials increase the final porosity of the ceramic element [38], so they may benefit in terms of thermal insulation. Despite this information, it is intended to provide a concise and precise description of subsequent experimental results.
3.2. Compositional Analysis of XRF
Table 2 shows the X-ray fluorescence analysis that was performed on the six representative samples with the different combinations of materials, according to Figure 1, where it can be seen that the samples have a percentage of calcium oxide (CaO), mainly in those that were combined and/or have calcite as the dominant mineral phase (MB, MC, MD, and MF), which is more than 40% in its elemental composition. In addition, it is highlighted that silicon oxide (SiO2) and aluminum oxide (Al2O3) are found in high proportions in MA, MB, and ME, in a range of 40–45% of its composition, because the A1 sample contains an important presence of aluminosilicates shown in Figure 4a.
Table 2.
Determination of the elemental composition of the combined samples (% Mass).
It is important to highlight that the mix of CaO from the limestones and the SiO2 and Al2O3 from the clays reacting in the presence of water can produce cementitious compounds, which is an important factor for reducing the swelling potential of the clay [39,40,41].
3.3. Physical and Thermal Characterization of Ceramic Blocks
Table 3 reports the effective thermal conductivity (k), thermal resistance (R), bulk density (b), and porosity (P) of each sample and their respective standard errors with a confidence interval of 95%. Regarding thermal conductivity, results of 0.289–0.346 W∗m−1∗K−1 were obtained, with the lowest value being the combination obtained from quartz and halloysite (sample A1) with calcite (sample C2) in comparison with adobe with organic content [42].
Table 3.
Thermal conductivity (k), thermal resistance (R), apparent density (ρb), and porosity (P) of the ceramic blocks.
By performing a comparative analysis between the samples, it was shown that the ceramic blocks containing calcite (CaCO3) generate up to 13.89 ± 1.17% thermal insulation compared to those containing dolomite (CaMg(CO3)2). Concerning bulk density, values between 1000 and 1400 kg/m3 were found. However, those with calcite (CaCO3) content decreased to 8 ± 0.79% relative to dolomite (CaMg(CO3)2) content.
It should be noted that ceramic blocks are made under the same regime with a high volume of sawdust, commonly applied in the production of clay bricks [43,44]. This brings benefits since it creates pores in the structure of the samples and, therefore, generates greater thermal insulation, specifying what was mentioned by Dondi et al. [4] and Gualtieri et al. [5]. However, it is worth mentioning that sawdust tends to have greater resistance than other organic aggregates in similar volumes, such as straw or grass, attributed to the small size of its fibers that promotes better distribution in the matrix of the ceramic element, as was demonstrated by Costi de Castrillo et al. [45].
4. Discussion
As a first impression, it is mentioned that the thermal conductivity of a ceramic material is a function of density. However, Erker [46] notes that in a piece with a similar density, there is a variation in thermal conductivity due to its mineralogical and chemical composition, as well as the pore’s nature, distribution, size, and grain in its structure.
Then, in Figure 5, the relationship is applied between the physical quantities for the first parameter mentioned. In both cases, there is no linear correlation between the variables analyzed. In the case of bulk density, there is a significant trend in samples about thermal conductivity that obeys the theory stipulated in the thermal behavior of ceramic materials. Nonetheless, by taking the ME with a slightly higher thermal conductivity than the MA and MC as an example, the density is approximately 20% lower than the last-mentioned samples. Likewise, some samples with relatively low porosity have a higher thermal insulation value and vice versa, as in sample MB.
Figure 5.
Thermal conductivity as a function of (a) bulk density and (b) porosity percentage.
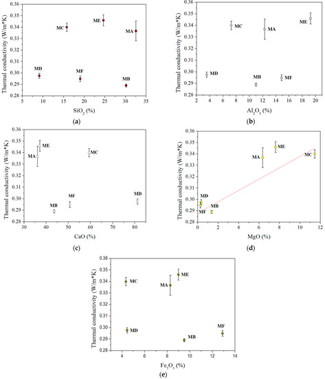
In this term, the interaction between the components of the samples makes it difficult to analyze the thermal influence at the macroscopic level due to the contrasting role played by the mineralogical and chemical composition of each material, as shown in Figure 6 [4]. Although a linear adjustment was applied in the chemical composition established in Table 2, the only one that affects a positive linear trend is the correlation of the amount of magnesium oxide (MgO) concerning thermal conductivity, with an R2 coefficient of 0.75 being an acceptable value, according to Figure 6d.
Figure 6.
Thermal conductivity as function of (a) SiO2, (b) Al2O3, (c) CaO, (d) MgO, and (e) Fe2O3.
It should be noted that the influence of carbonates on the thermal conductivity of ceramic pieces is addressed in research, mainly in those containing calcite, because, in addition to organic matter, these minerals generate a significant number of pores that decreases the density in their structure [47]. According to Lavie Arséne [14] and Chen et al. [20], these materials provide stability and resistance to the material in its internal structure. By taking into consideration the properties, the mix design generated with the proposed proportion of clay, carbonates, and sawdust could give rise to its application as thermal insulation in medium-resistance vertical construction systems, such as medium-height walls.
Although it is not the main focus of the research, as it is a proposal for unfired blocks with carbonate content and organic waste, it is advisable to protect it from meteorological agents such as weather, humidity and/or wind. In this way, certain coatings are used, such as oxalate-based compounds that, according to Burgos-Cara et al. [48], may be promising for the conservation of these ceramic elements since they achieve hydrophobicity through their surface. Nevertheless, more studies are needed regarding its viability as, according to Basu et al. [49], it may deteriorate when other agents are involved, including biological (fungi, bacteria, or lichen), as well as certain atmospheric pollutants.
5. Conclusions
The selected clays and carbonate rocks were characterized by various analysis techniques. First, five representative samples were collected in different material banks in the state of Chiapas, and through the analysis of X-ray diffraction, three clays and two carbonates were identified as predominant mineral phases that, due to their condition of stabilizers, were used as binders to manufacture six ceramic pieces. Each piece was manufactured by dosing to create a combination proposal matrix in order to generate greater thermal insulation with sawdust as the organic material used for this purpose. Thermal conductivity was determined and correlated with its physical and chemical properties.
As a starting point, the favorable role of calcite as a key stabilizer in the thermal insulation applied in lightweight construction systems, which, in combination with clay-rich in quartz and halloysite, a thermal conductivity of 0.289 W∗m−1∗K−1 was obtained. In addition, the volumetric proportions of organic material and the number of carbonates that were applied as pore-forming aggregates influenced the decrease in the density of ceramic pieces and, therefore, the increase in thermal insulation. When relating the physical and chemical variables with thermal conductivity, the only parameter that affects is the percentage by mass of magnesium oxide (MgO), in a positive linear trend. Despite this contribution, the nature of the parameters applied in the study is complex due to the limited number of samples analyzed and the diversity of physical and chemical interactions that influence clays and carbonates in thermal insulation.
However, it is intended with this research that the studies applied to these materials be replicated in different geographical areas to generate a database that provides a better understanding of their physical, chemical, and thermal performance, so it opens a path to delve into future research.
Author Contributions
Conceptualization, J.E.A.-J.; methodology, J.E.A.-J., N.F.-V. and S.L.-C.; software, C.A.M.-A.; validation, N.F.-V., C.A.M.-A. and R.P.R.-T.; formal analysis, J.E.A.-J. and C.A.M.-A.; investigation, J.E.A.-J., N.F.-V. and S.L.-C.; resources, N.F.-V.; writing—original draft preparation, J.E.A.-J.; writing—review and editing, J.E.A.-J. and C.A.M.-A.; supervision, N.F.-V. and S.L.-C.; funding acquisition R.P.R.-T. All authors have read and agreed to the published version of the manuscript.
Funding
This research received no external funding.
Data Availability Statement
Not applicable.
Acknowledgments
This research is a collaboration between the Universidad de Ciencias y Artes de Chiapas, the Faculty of Architecture of the Universidad Autónoma de Chiapas, and Lumex Hábitats Sostenibles S.A. de C.V., as part of the PRONACES–CONACYT project No. 321260 called “Development of a model of replicable social production of housing and habitat”. J.E. Aguilar-Joo is grateful for the scholarship (number 823322) given by the National Council of Science and Technology (CONACYT). Thanks to M. Arq. Selene López-Cameras for the technical advice in the preparation of the samples.
Conflicts of Interest
The authors declare no conflict of interest.
References
- Dikmen, N.; Ozkan, S.T.E. Unconventional Insulation Materials. In Insulation Materials in Context of Sustainability; IntechOpen: London, UK, 2016; pp. 1–22. [Google Scholar] [CrossRef]
- Ávila, F.; Puertas, E.; Gallego, R. Characterization of the mechanical and physical properties of unstabilized rammed earth: A review. Constr. Build. Mater. 2020, 270, 121435. [Google Scholar] [CrossRef]
- Rawlings, R.H.D.; Sykulski, J. Ground source heat pumps: A technology review. Build. Serv. Eng. Res. Technol. 1999, 20, 119–129. [Google Scholar] [CrossRef]
- Mazzanti, F.; Principi, P.; Raimondo, M.; Zanarini, G. Thermal Conductivity of Clay Bricks. J. Mater. Civ. Eng. 2004, 16, 8–14. [Google Scholar] [CrossRef]
- Gualtieri, M.L.; Gualtieri, A.F.; Gagliardi, S.; Ruffini, P.; Ferrari, R.; Hanuskova, M. Thermal conductivity of fired clays: Effects of mineralogical and physical properties of the raw materials. Appl. Clay Sci. 2010, 49, 269–275. [Google Scholar] [CrossRef]
- Shubbar, A.A.; Sadique, M.; Kot, P.; Atherton, W. Future of clay-based construction materials—A review. Constr. Build. Mater. 2019, 210, 172–187. [Google Scholar] [CrossRef]
- Muñoz Velasco, P.; Morales Ortíz, M.P.; Mendívil Giró, M.A.; Muñoz Velasco, L. Fired clay bricks manufactured by adding wastes as sustainable construction material–A review. Constr. Build. Mater. 2014, 63, 97–107. [Google Scholar] [CrossRef]
- Nagaraj, H.; Sravan, M.; Arun, T.; Jagadish, K. Role of lime with cement in long-term strength of Compressed Stabilized Earth Blocks. Int. J. Sustain. Built Environ. 2014, 3, 54–61. [Google Scholar] [CrossRef]
- Ouedraogo, E.; Coulibaly, O.; Ouedraogo, A.; Messan, A. Mechanical and thermophysical properties of cement and/or paper (cellulose) stabilized compressed clay bricks. J. Mater. Eng. Struct. 2015, 2, 68–76. [Google Scholar]
- Sore, S.O.; Messan, A.; Prud’Homme, E.; Escadeillas, G.; Tsobnang, F. Stabilization of compressed earth blocks (CEBs) by geopolymer binder based on local materials from Burkina Faso. Constr. Build. Mater. 2018, 165, 333–345. [Google Scholar] [CrossRef]
- Nshimiyimana, P.; Miraucourt, D.; Messan, A.; Courard, L. Calcium Carbide Residue and Rice Husk Ash for improving the Compressive Strength of Compressed Earth Blocks. MRS Adv. 2018, 3, 2009–2014. [Google Scholar] [CrossRef]
- Reddy, B.V.V.; Kumar, P.P. Cement stabilised rammed earth. Part A: Compaction characteristics and physical properties of compacted cement stabilised soils. Mater. Struct. 2011, 44, 681–693. [Google Scholar] [CrossRef]
- Khattab, S.A.; Al-Mukhtar, M.; Fleureau, J.-M. Long-Term Stability Characteristics of a Lime-Treated Plastic Soil. J. Mater. Civ. Eng. 2007, 19, 358–366. [Google Scholar] [CrossRef]
- Arsène, M.-I.L.; Frédéric, C.; Nathalie, F. Improvement of lifetime of compressed earth blocks by adding limestone, sandstone and porphyry aggregates. J. Build. Eng. 2020, 29, 101155. [Google Scholar] [CrossRef]
- Teixeira, E.; Machado, G.; Junior, A.P.; Guarnier, C.; Fernandes, J.; Silva, S.; Mateus, R. Mechanical and Thermal Performance Characterisation of Compressed Earth Blocks. Energies 2020, 13, 2978. [Google Scholar] [CrossRef]
- Bamogo, H.; Ouedraogo, M.; Sanou, I.; Aubert, J.-E.; Millogo, Y. Physical, Hydric, Thermal and Mechanical Properties of Earth Renders Amended with Dolomitic Lime. Materials 2022, 15, 4014. [Google Scholar] [CrossRef] [PubMed]
- Saidi, M.; Cherif, A.S.; Zeghmati, B.; Sediki, E. Stabilization effects on the thermal conductivity and sorption behavior of earth bricks. Constr. Build. Mater. 2018, 167, 566–577. [Google Scholar] [CrossRef]
- Miao, S.; Zhou, Y. Temperature dependence of thermal diffusivity and conductivity for sandstone and carbonate rocks. J. Therm. Anal. Calorim. 2017, 131, 1647–1652. [Google Scholar] [CrossRef]
- Momenzadeh, L.; Moghtaderi, B.; Liu, X.F.; Sloan, S.W.; Belova, I.V.; Murch, G.E. The Thermal Conductivity of Magnesite, Dolomite and Calcite as Determined by Molecular Dynamics Simulation. Diffus. Found. 2018, 19, 18–34. [Google Scholar] [CrossRef]
- Chen, C.; Zhu, C.; Zhang, B.; Tang, B.; Li, K.; Li, W.; Fu, X. Effect of Temperature on the Thermal Conductivity of Rocks and Its Implication for In Situ Correction. Geofluids 2021, 2021, 6630236. [Google Scholar] [CrossRef]
- Jesudass, A.; Gayathri, V.; Geethan, R.; Gobirajan, M.; Venkatesh, M. Earthen blocks with natural fibres—A review. Mater. Today: Proc. 2021, 45, 6979–6986. [Google Scholar] [CrossRef]
- Laibi, A.B.; Poullain, P.; Leklou, N.; Gomina, M.; Sohounhloué, D.K.C. Influence of the kenaf fiber length on the mechanical and thermal properties of Compressed Earth Blocks (CEB). KSCE J. Civ. Eng. 2017, 22, 785–793. [Google Scholar] [CrossRef]
- Olacia, E.; Pisello, A.L.; Chiodo, V.; Maisano, S.; Frazzica, A.; Cabeza, L.F. Sustainable adobe bricks with seagrass fibres. Mechanical and thermal properties characterization. Constr. Build. Mater. 2020, 239, 117669. [Google Scholar] [CrossRef]
- Babé, C.; Kidmo, D.K.; Tom, A.; Mvondo, R.R.N.; Boum, R.B.E.; Djongyang, N. Thermomechanical characterization and durability of adobes reinforced with millet waste fibers (Sorghum bicolor). Case Stud. Constr. Mater. 2020, 13, e00422. [Google Scholar] [CrossRef]
- Ibrahim, J.E.F.; Tihtih, M.; Gömze, L.A. Environmentally-friendly ceramic bricks made from zeolite-poor rock and sawdust. Constr. Build. Mater. 2021, 297, 123715. [Google Scholar] [CrossRef]
- Khoudja, D.; Taallah, B.; Izemmouren, O.; Aggoun, S.; Herihiri, O.; Guettala, A. Mechanical and thermophysical properties of raw earth bricks incorporating date palm waste. Constr. Build. Mater. 2021, 270, 121824. [Google Scholar] [CrossRef]
- Hany, E.; Fouad, N.; Abdel-Wahab, M.; Sadek, E. Investigating the mechanical and thermal properties of compressed earth bricks made by eco-friendly stabilization materials as partial or full replacement of cement. Mat. Today Proceed. 2021, 45, 6979–6986. [Google Scholar] [CrossRef]
- NMX-C-038-ONNCCE-2013; Organismo Nacional de Normalización y Certificación de la Construcción y Edificación, S.C., Determinación de las Dimensiones de Bloques, Tabiques o Ladrillos y Tabicones. ONNCCE: Ciudad de México, Mexico, 2013.
- Schroeder, H. Moisture transfer and change in strength during the construction of earthen buildings. Inf. Construcción 2011, 63, 107–116. [Google Scholar] [CrossRef]
- NMX-C-508-ONNCCE-2015; Organismo Nacional de Normalización y Certificación de la Construcción y Edificación, S.C., Bloques de Tierra Comprimida Estabilizados Con Cal. ONNCCE: Ciudad de México, Mexico, 2015.
- NMX-C-189-ONNCCE-2010; Organismo Nacional de Normalización y Certificación de la Construcción y Edificación, S.C., Materiales Termoaislantes—Determinación de la Transmisión Térmica Con Aparato de Placa Caliente Aislada. ONNCCE: Ciudad de México, Mexico, 2010.
- NMX-C-228-ONNCCE-2010; Organismo Nacional de Normalización y Certificación de la Construcción y Edificación, S.C., Determinación de la Absorción de Humedad y Absorción de Agua. ONNCCE: Ciudad de México, Mexico, 2010.
- Le Bissonnais, Y. Aggregate stability and assessment of soil crustability and erodibility: I. Theory and methodology. Eur. J. Soil Sci. 1996, 47, 425–437. [Google Scholar] [CrossRef]
- Moret-Fernández, D.; López, M.V. Un método sencillo para la estimación de la porosidad de un agregado de suelo. Estudios en la Zona No Saturada 2015, 7, 3–6. [Google Scholar]
- Wang, S.; Gainey, L.; Mackinnon, I.D.; Allen, C.; Gu, Y.; Xi, Y. Thermal behaviors of clay minerals as key components and additives for fired brick properties: A review. J. Build. Eng. 2023, 66, 105802. [Google Scholar] [CrossRef]
- Linares-González, J.; Huerta-García, F.; Capel-Martínez, J. La arcilla como material cerámico: Características y comportamiento. Cuad. Prehist. Granada 1983, 8, 479–490. [Google Scholar] [CrossRef]
- Rodríguez, L.A.D.; Torrecillas, R. Arcillas cerámicas: Una revisión de sus distintos tipos, significados y aplicaciones. Cerámica Y Vidr. 2002, 41, 459–470. [Google Scholar] [CrossRef]
- de Oliveira, H.A.; dos Santos, C.P. Limestone Clays for Ceramic Industry. In Clay Science and Technology; IntechOpen: London, UK, 2021. [Google Scholar] [CrossRef]
- Sharma, N.K.; Swain, S.K.; Sahoo, U.C. Stabilization of a Clayey Soil with Fly Ash and Lime: A Micro Level Investigation. Geotech. Geol. Eng. 2012, 30, 1197–1205. [Google Scholar] [CrossRef]
- Jain, A.K.; Jha, A.K. Shivanshi Geotechnical behaviour and micro-analyses of expansive soil amended with marble dust. Soils Found. 2020, 60, 737–751. [Google Scholar] [CrossRef]
- Danish, A.; Totiç, E.; Bayram, M.; Sütçü, M.; Gencel, O.; Erdoğmuş, E.; Ozbakkaloglu, T. Assessment of Mineralogical Characteristics of Clays and the Effect of Waste Materials on Their Index Properties for the Production of Bricks. Materials 2022, 15, 8908. [Google Scholar] [CrossRef] [PubMed]
- Malaktou, E.; Ioannou, I.; Philokyprou, M. Investigating the Thermal Properties of Earth-Based Materials: The Case of Adobes. In 10th International Symposium on the Conservation of Monuments in the Mediterranean Basin; Springer: Atenas, Greece, 2018. [Google Scholar] [CrossRef]
- Al Rim, K.; Ledhem, A.; Douzane, O.; Dheilly, R.-M.; Queneudec, M. Influence of the proportion of wood on the thermal and mechanical performances of clay-cement-wood composites. Cem. Concr. Compos. 1999, 21, 269–276. [Google Scholar] [CrossRef]
- Ruppik, M. Use of organic and inorganic pore-forming agents in the brick and tile industry. Ziegelind. Int. 2006, 59, 22–29. [Google Scholar]
- de Castrillo, M.C.; Ioannou, I.; Philokyprou, M. Reproduction of traditional adobes using varying percentage contents of straw and sawdust. Constr. Build. Mater. 2021, 294, 123516. [Google Scholar] [CrossRef]
- Erker, A. The thermal conductivity of the brick ceramic body. Ziegelind. Int. 2002, 55, 34–42. [Google Scholar]
- Bernal, I.; Cabezas, H.; Espitia, C.; Mojica, J.; Quintero, J. Análisis próximo de arcillas para cerámica. Rev. Académica Colomb. 2003, 27, 569–578. [Google Scholar]
- Burgos-Cara, A.; Rodríguez-Navarro, C.; Ortega-Huertas, M.; Ruiz-Agudo, E. Bioinspired Alkoxysilane Conservation Treatments for Building Materials Based on Amorphous Calcium Carbonate and Oxalate Nanoparticles. ACS Appl. Nano Mater. 2019, 2, 4954–4967. [Google Scholar] [CrossRef]
- Basu, S.; Orr, S.; Aktas, Y. A Geological Perspective on Climate Change and Building Stone Deterioration in London: Implications for Urban Stone-Built Heritage Research and Management. Atmosphere 2020, 11, 788. [Google Scholar] [CrossRef]
Disclaimer/Publisher’s Note: The statements, opinions and data contained in all publications are solely those of the individual author(s) and contributor(s) and not of MDPI and/or the editor(s). MDPI and/or the editor(s) disclaim responsibility for any injury to people or property resulting from any ideas, methods, instructions or products referred to in the content. |
© 2023 by the authors. Licensee MDPI, Basel, Switzerland. This article is an open access article distributed under the terms and conditions of the Creative Commons Attribution (CC BY) license (https://creativecommons.org/licenses/by/4.0/).






