Cyclic Behavior of Rectangular Bridge Piers Subjected to the Coupling Effects of Chloride Corrosion and Bidirectional Loading
Abstract
1. Introduction
2. Degradation of Material Properties
2.1. Time of Corrosion Initiation
2.2. Deterioration of Reinforcing Steel
2.3. Deterioration of Concrete
3. Numerical Model of the Corroded Pier and Validation
3.1. Description of Bridge Pier Specimens
3.2. Numerical Modeling Details and Validation
4. Illustrative Example of the Rectangular Bridge Pier
4.1. Description of the Bridge Pier
4.2. Deterioration of Material
4.3. Numerical Model and Biaxial Loading Protocols
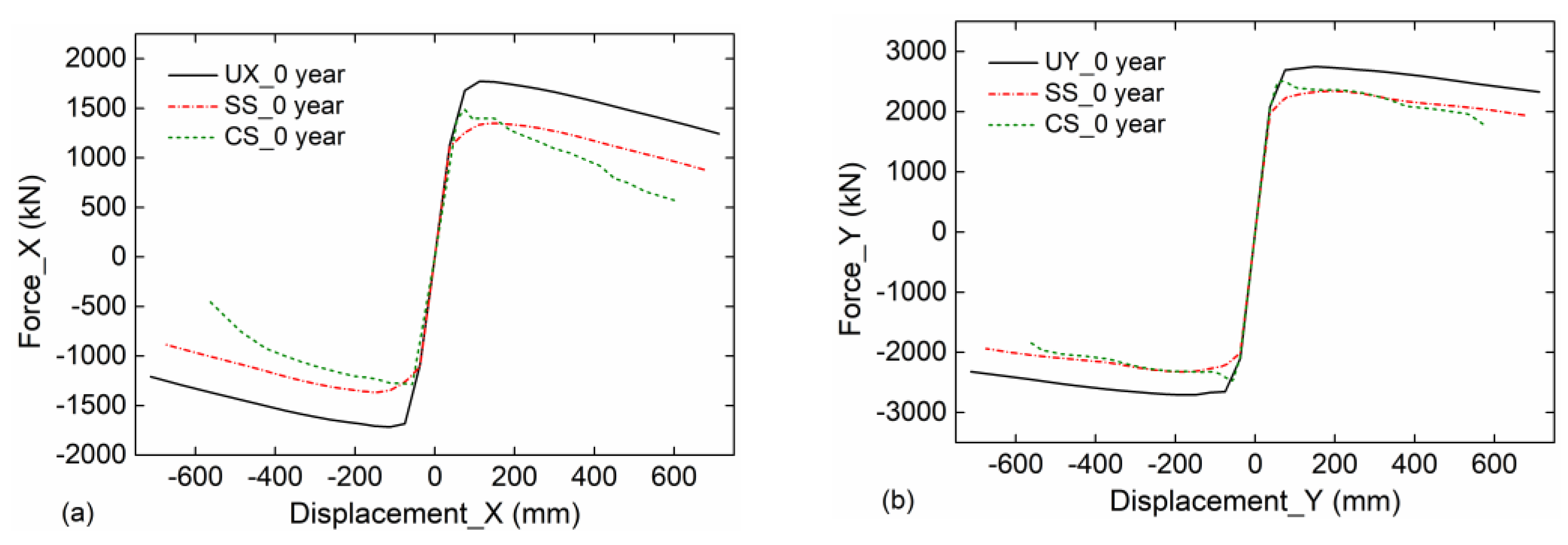
4.4. Hysteretic Curve
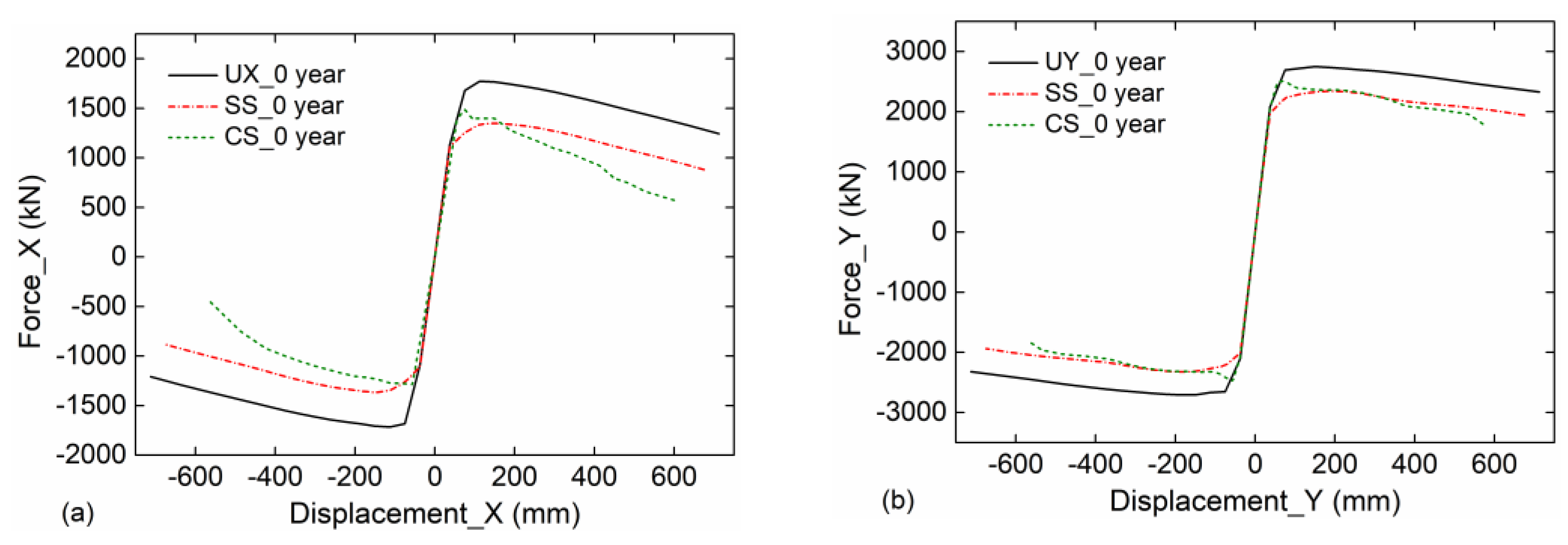
4.5. Loading Path Effect
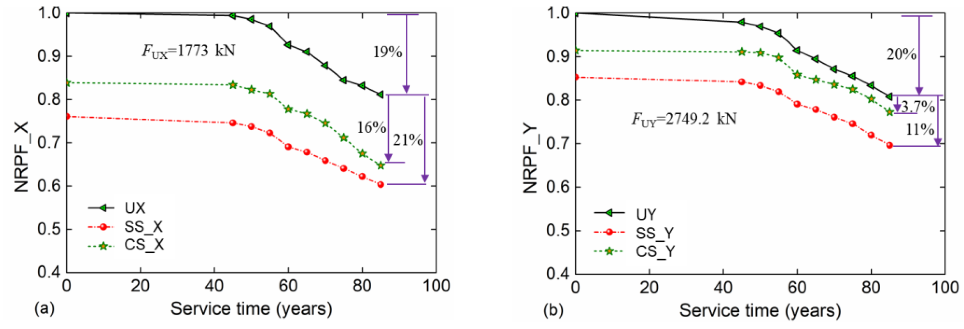
4.6. Strength and Deformation Capacity
4.7. Energy Dissipation Capacity
5. Conclusions
Author Contributions
Funding
Data Availability Statement
Acknowledgments
Conflicts of Interest
References
- Luo, Q.; Xu, G.; Zhao, J.; Wang, Q. Evolution characteristics of secondary tensile mechanical properties of corroded rebars. Structures 2021, 34, 3478–3486. [Google Scholar] [CrossRef]
- Jin, L.; Li, Y.X.; Zhang, R.B.; Du, X.L. Mesoscopic investigation on seismic performance of corroded reinforced concrete columns. Earthq. Eng. Eng. Vib. 2022, 21, 969–985. [Google Scholar] [CrossRef]
- Han, S.J.; Ju, H.; Lee, D. Practical approach for estimating flexural strengths of corroded RC members considering bond strength degradation. Structures 2022, 39, 808–820. [Google Scholar] [CrossRef]
- Anania, L.; Badalà, A.; D’Agata, G. Damage and collapse mode of existing post tensioned precast concrete bridge: The case of Petrulla viaduct. Eng. Struct. 2018, 162, 226–244. [Google Scholar] [CrossRef]
- Biswas, R.K.; Iwanami, M.; Chijiwa, N.; Nakayama, K. Structural assessment of the coupled influence of corrosion damage and seismic force on the cyclic behaviour of RC columns. Constr. Build. Mater. 2021, 304, 124706. [Google Scholar] [CrossRef]
- Yuan, Z.J.; Fang, C.Q.; Parsaeimaram, M.; Yang, S. Cyclic Behavior of Corroded Reinforced Concrete Bridge Piers. J. Bridge Eng. 2017, 22, 04017020. [Google Scholar] [CrossRef]
- Meda, A.; Mostosi, S.; Rinaldi, Z.; Riva, P. Experimental evaluation of the corrosion influence on the cyclic behaviour of RC columns. Eng. Struct. 2014, 76, 112–123. [Google Scholar] [CrossRef]
- Li, D.W.; Wei, R.; Xing, F.; Sui, L.L.; Zhou, Y.W.; Wang, W.Y. Influence of Non-uniform corrosion of steel bars on the seismic behavior of reinforced concrete columns. Constr. Build. Mater. 2018, 167, 20–32. [Google Scholar] [CrossRef]
- Dai, K.-Y.; Liu, C.; Lu, D.-G.; Yu, X.-H. Experimental investigation on seismic behavior of corroded RC columns under artificial climate environment and electrochemical chloride extraction: A comparative study. Constr. Build. Mater. 2020, 242, 118014. [Google Scholar] [CrossRef]
- Guo, A.X.; Li, H.T.; Ba, X.; Guan, X.C.; Li, H. Experimental investigation on the cyclic performance of reinforced concrete piers with chloride-induced corrosion in marine environment. Eng. Struct. 2015, 105, 1–11. [Google Scholar] [CrossRef]
- Yuan, W.; Guo, A.X.; Li, H. Experimental investigation on the cyclic behaviors of corroded coastal bridge piers with transfer of plastic hinge due to non-uniform corrosion. Soil Dyn. Earthq. Eng. 2017, 102, 112–123. [Google Scholar] [CrossRef]
- Zhou, H.J.; Xu, Y.N.; Peng, Y.R.; Liang, X.B.; Li, D.W.; Xing, F. Partially corroded reinforced concrete piers under axial compression and cyclic loading: An experimental study. Eng. Struct. 2020, 203, 109880. [Google Scholar] [CrossRef]
- Zhao, J.F.; Lin, Y.; Li, X.; Meng, Q.Y. Experimental study on the cyclic behavior of reinforced concrete bridge piers with non-uniform corrosion. Structures 2021, 33, 999–1006. [Google Scholar] [CrossRef]
- Ma, Y.; Che, Y.; Gong, J.X. Behavior of corrosion damaged circular reinforced concrete columns under cyclic loading. Constr. Build. Mater. 2012, 29, 548–556. [Google Scholar] [CrossRef]
- Rinaldi, Z.; Di Carlo, F.; Spagnuolo, S.; Meda, A. Influence of localised corrosion on the cyclic response of reinforced concrete columns. Eng. Struct. 2022, 256, 114037. [Google Scholar] [CrossRef]
- Chinnasamy, Y.; Joanna, P.S.; Kothanda, K.; Gurupatham, B.G.A.; Roy, K. Behavior of Pultruded Glass-Fiber-Reinforced Polymer Beam-Columns Infilled with Engineered Cementitious Composites under Cyclic Loading. J. Compos. Sci. 2022, 6, 338. [Google Scholar] [CrossRef]
- Kashani, M.M.; Lowes, L.N.; Crewe, A.J.; Alexander, N.A. Nonlinear fibre element modelling of RC bridge piers considering inelastic buckling of reinforcement. Eng. Struct. 2016, 116, 163–177. [Google Scholar] [CrossRef]
- Cheng, H.; Li, H.N.; Biondini, F.; Wang, D.S.; Zou, Y. Strain penetration effect on cyclic response of corroded RC columns. Eng. Struct. 2021, 243, 112653. [Google Scholar] [CrossRef]
- Xu, J.G.; Hong, W.; Zhang, J.; Hou, S.T.; Wu, G. Seismic performance assessment of corroded RC columns based on data-driven machine-learning approach. Eng. Struct. 2022, 255, 113936. [Google Scholar] [CrossRef]
- El-Joukhadar, N.; Dameh, F.; Pantazopoulou, S. Seismic Modelling of Corroded Reinforced Concrete Columns. Eng. Struct. 2023, 275, 115251. [Google Scholar] [CrossRef]
- Li, H.H.; Li, L.F.; Zhou, G.J.; Xu, L. Effects of various modeling uncertainty parameters on the seismic response and seismic fragility estimates of the aging highway bridges. Bull. Earthq. Eng. 2020, 18, 6337–6373. [Google Scholar] [CrossRef]
- Li, H.H.; Li, L.F.; Zhou, G.J.; Xu, L. Time-dependent Seismic Fragility Assessment for Aging Highway Bridges Subject to Non-uniform Chloride-induced Corrosion. J. Earthq. Eng. 2020, 26, 3523–3553. [Google Scholar] [CrossRef]
- Sengupta, A.; Quadery, L.; Sarkar, S.; Roy, R. Influence of Bidirectional Near-Fault Excitations on RC Bridge Piers. J. Bridge Eng. 2016, 21, 04016034. [Google Scholar] [CrossRef]
- Qiu, F.W.; Li, W.F.; Pan, P.; Qian, J.R. Experimental tests on reinforced concrete columns under biaxial quasi-static loading. Eng. Struct. 2002, 24, 419–428. [Google Scholar] [CrossRef]
- Tsuno, K.; Park, R. Experimental study of reinforced concrete bridge piers subjected to bi-directional quasi-static loading. Doboku Gakkai Ronbunshu 2004, 752, 11–26. [Google Scholar] [CrossRef] [PubMed]
- Jia, J.; Zhang, K.; Wu, S.; Guo, Y.; Du, X.; Wang, X. Seismic performance of self-centering precast segmental bridge columns under different lateral loading directions. Eng. Struct. 2020, 221, 111037. [Google Scholar] [CrossRef]
- Rodrigues, H.; Arêde, A.; Varum, H.; Costa, A.G. Experimental evaluation of rectangular reinforced concrete column behaviour under biaxial cyclic loading. Earthq. Eng. Struct. Dyn. 2013, 42, 239–259. [Google Scholar] [CrossRef]
- Rodrigues, H.; Furtado, A.; Arêde, A. Experimental evaluation of energy dissipation and viscous damping of repaired and strengthened RC columns with CFRP jacketing under biaxial load. Eng. Struct. 2017, 145, 162–175. [Google Scholar] [CrossRef]
- Li, C.; Hao, H.; Bi, K.M. Seismic performance of precast concrete-filled circular tube segmental column under biaxial lateral cyclic loadings. Bull. Earthq. Eng. 2019, 17, 271–296. [Google Scholar] [CrossRef]
- Shirmohammadi, F.; Esmaeily, A. Performance of reinforced concrete columns under bi-axial lateral force/displacement and axial load. Eng. Struct. 2015, 99, 63–77. [Google Scholar] [CrossRef]
- Al-Kaseasbeh, Q.; Mamaghani, I.H.P. Thin-Walled Steel Stiffened Square Box Columns with Uniform and Graded Thickness under Bidirectional Cyclic Loading. Eng. Struct. 2020, 219, 110919. [Google Scholar] [CrossRef]
- Zheng, X.P.; Zhuo, W.D.; Wu, Z.Q.; Zhang, H.; Zhang, W. Quasi-static test of corroded RC bridge column under biaxial loading. J. Fuzhou Univ. Nat. Sci. Ed. 2016, 44, 516–523. (In Chinese) [Google Scholar]
- Yuan, W.T.; Guo, A.X.; Yuan, W.; Li, H. Experimental investigation on cyclic behavior of coastal bridge piers with non-uniform corrosion under biaxial quasi-static loads. Constr. Build. Mater. 2018, 190, 222–234. [Google Scholar] [CrossRef]
- Bhargava, K.; Mori, Y.; Ghosh, A.K. Time-dependent reliability of corrosion-affected RC beams. Part 3: Effect of corrosion initiation time and its variability on time-dependent failure probability. Nucl. Eng. Des. 2010, 241, 1395–1402. [Google Scholar] [CrossRef]
- Vu, K.A.T.; Stewart, M.G. Structural reliability of concrete bridges including improved chloride-induced corrosion models. Struct. Saf. 2000, 22, 313–333. [Google Scholar] [CrossRef]
- Duprat, F. Reliability of RC beams under chloride-ingress. Constr. Build. Mater. 2007, 21, 1605–1616. [Google Scholar] [CrossRef]
- Stewart, M.G.; Wang, X.; Nguyen, M.N. Climate change impact and risks of concrete infrastructure deterioration. Eng. Struct. 2011, 33, 1326–1337. [Google Scholar] [CrossRef]
- Val, D.V. Deterioration of Strength of RC Beams due to Corrosion and Its Influence on Beam Reliability. J. Struct. Eng. 2007, 133, 1297–1306. [Google Scholar] [CrossRef]
- Yuan, W.T.; Fang, Q.H.; Dong, Z.X. Evaluation of Biaxial Strength Deterioration for Coastal Bridge Piers under Non-uniform Corrosion. KSCE J. Civ. Eng. 2021, 26, 1329–1343. [Google Scholar] [CrossRef]
- Du, Y.G.; Clark, L.A.; Chan, A.H.C. Residual capacity of corroded reinforcing bars. Mag. Concr. Res. 2005, 57, 135–147. [Google Scholar] [CrossRef]
- Finozzi, I.; Saetta, A.; Budelmann, H. Structural response of reinforcing bars affected by pitting corrosion: Experimental evaluation. Constr. Build. Mater. 2018, 192, 478–488. [Google Scholar] [CrossRef]
- Shaikh, F.U.A. Effect of Cracking on Corrosion of Steel in Concrete. Int. J. Concr. Struct. Mater. 2018, 12, 3. [Google Scholar] [CrossRef]
- Coronelli, D.; Gambarova, P. Structural Assessment of Corroded Reinforced Concrete Beams: Modeling Guidelines. J. Struct. Eng. 2004, 130, 1214–1224. [Google Scholar] [CrossRef]
- Biondini, F.; Vergani, M. Damage modeling and nonlinear analysis of concrete bridges under corrosion. In Proceedings of the Sixth International Conference of Bridge Maintenance, Safety and Management (IABMAS 2012), Lake Maggiore, Italy, 8–12 July 2012; CRC Press/Balkema, Taylor and Francis Group: Boca Raton, FL, USA, 2012; pp. 949–957. [Google Scholar]
- Branco, R.; Costa, J.D.; Berto, F.; Kotousov, A.; Antunes, F.V. Fatigue crack initiation behaviour of notched 34CrNiMo6 steel bars under proportional bending-torsion loading. Int. J. Fatigue 2020, 130, 105268. [Google Scholar] [CrossRef]
- Luo, P.; Yao, W.; Susmel, L.; Li, P. Prediction of fatigue damage region with the use of the notch critical plane approach for crack initiation and propagation. Int. J. Fatigue 2020, 135, 105533. [Google Scholar] [CrossRef]
- Mander, J.; Priestley, M. Theoretical Stress-Strain model for confined concrete. J. Struct. Eng. 1988, 114, 1804–1826. [Google Scholar] [CrossRef]
- Mazzoni, S.; McKenna, F.; Scott, M.H.; Fenves, G.L. OpenSees Command Language Manual; Pacific Earthquake Engineering Research (PEER) Center: Berkeley, CA, USA, 2006. [Google Scholar]
- Mangalathu, S.; Soleimani, F.; Jeon, J.-S. Bridge classes for regional seismic risk assessment: Improving HAZUS models. Eng. Struct. 2017, 148, 755–766. [Google Scholar] [CrossRef]















Disclaimer/Publisher’s Note: The statements, opinions and data contained in all publications are solely those of the individual author(s) and contributor(s) and not of MDPI and/or the editor(s). MDPI and/or the editor(s) disclaim responsibility for any injury to people or property resulting from any ideas, methods, instructions or products referred to in the content. |
© 2023 by the authors. Licensee MDPI, Basel, Switzerland. This article is an open access article distributed under the terms and conditions of the Creative Commons Attribution (CC BY) license (https://creativecommons.org/licenses/by/4.0/).
Share and Cite
Yuan, W.; Li, X.; Pang, X.; Tian, C.; Li, Z.; Zhou, P.; Wang, Y. Cyclic Behavior of Rectangular Bridge Piers Subjected to the Coupling Effects of Chloride Corrosion and Bidirectional Loading. Buildings 2023, 13, 425. https://doi.org/10.3390/buildings13020425
Yuan W, Li X, Pang X, Tian C, Li Z, Zhou P, Wang Y. Cyclic Behavior of Rectangular Bridge Piers Subjected to the Coupling Effects of Chloride Corrosion and Bidirectional Loading. Buildings. 2023; 13(2):425. https://doi.org/10.3390/buildings13020425
Chicago/Turabian StyleYuan, Wenting, Xinping Li, Xiaohang Pang, Chao Tian, Zelong Li, Peng Zhou, and Yuren Wang. 2023. "Cyclic Behavior of Rectangular Bridge Piers Subjected to the Coupling Effects of Chloride Corrosion and Bidirectional Loading" Buildings 13, no. 2: 425. https://doi.org/10.3390/buildings13020425
APA StyleYuan, W., Li, X., Pang, X., Tian, C., Li, Z., Zhou, P., & Wang, Y. (2023). Cyclic Behavior of Rectangular Bridge Piers Subjected to the Coupling Effects of Chloride Corrosion and Bidirectional Loading. Buildings, 13(2), 425. https://doi.org/10.3390/buildings13020425
