Abstract
The mechanical behavior of steel–concrete–steel (SCS) sandwich composite structures under low- or high-velocity impact loading has garnered increasing attention from researchers in recent decades. However, to date, limited effort has been dedicated to studying the residual resistance of SCS sandwich composite structures following impact damage. In a previous investigation, the authors developed a rubberized lightweight high-ductility cement composite (RLHDC) for implementation in double-layer steel–RLHDC–steel composite panels and examined the dynamic response of these panels under impact. To further explore the residual performance of impact-damaged composite panels, the present study conducts flexural tests on nine such panels. The study quantifies and analyzes the effects of various connector types, connector spacing, number of concrete layers, rubber powder content, and number of impacts on the residual flexural resistance of the impact-damaged composite panels. Detailed analysis is conducted on the failure modes, load–displacement curves, strain curves, and load–slip curves of the impact-damaged specimens. The test results reveal that the impact-damaged composite panels experience flexural failure with bond slip under static load. The residual flexural performance is found to be sensitive to the number of concrete layers and number of impacts. Finite element (FE) simulations are performed using LS-DYNA to investigate the residual flexural behavior of the impact-damaged composite panels. The restart method is employed in the simulations to mimic the post-impact static loading scenario. The agreement between the FE results and the experimental findings validates the model and provides a straightforward and effective approach for studying the residual performance of composite structures. An expanded parameter analysis leveraging the calibrated FE model indicates that the steel plate’s thickness and strength predominantly influence the composite panel’s residual resistance, whereas the influence from concrete strength proves less consequential.
1. Introduction
Steel–concrete–steel (SCS) sandwich composite structures, comprising external steel plates and internal concrete, find extensive application in high-rise buildings, marine structures, nuclear facilities, and protective structures due to their superior load resistance and deformation performance [1,2,3,4]. These engineering structures are inevitably subjected to impact loads throughout their service life, such as dropped objects, ship collisions, and vehicle impacts [3,5,6]. Consequently, significant research has been conducted on the dynamic response and failure mechanisms of SCS composite structures under impact. For instance, Liew et al. [3] proposed SCS sandwich structures with lightweight concrete cores for arctic offshore structures to withstand the impact of floating ice. They conducted impact tests on SCS sandwich beams to investigate the failure mechanism and the effects of various parameters. Theoretical models were subsequently developed to predict the impact forces and displacements of sandwich beams under impact. Similarly, Remennikov et al. [6] suggested axially restrained SCS composite plates as protective structures against vehicle impact loads. Through impact tests, they observed that the tensile membrane action of the steel plates significantly enhanced the load resistance and ductility of the composite plates. Refined numerical simulations were also performed, demonstrating that the axially restrained SCS plates could effectively halt a moving truck and withstand the impact energy.
To improve the impact resistance of SCS structures, researchers have focused on developing effective shear connectors and incorporating high-performance concrete into SCS structures. This has led to the development of numerous innovative composite structures for protective applications. Yan et al. [7] conducted experimental and analytical studies on the impact behavior of steel–concrete–steel sandwich composite (SCSSC) walls using enhanced C-channels (ECs). The research results indicate that the ECs, acting as direct link connections, provided strong interfacial shear and tensile resistances to prevent local failure and improve the impact resistance of the SCSSC walls. Wang et al. [8] developed a novel steel–concrete–steel sandwich panel with interlocked angle connectors (SCSP-IACs). Through experimental impact tests on nine SCSP-IACs using a hemispherical hammer, the effects of steel plate thickness, concrete core thickness, and IAC spacing on the impact performance were analyzed in detail. The experimental results showed that no significant slippage occurred at the steel–concrete interface of all SCSP-IACs under impact loads, indicating that the IACs provided sufficient connection strength under impact loads. Wang et al. [9] have developed a novel DSUHPC (double-steel-plate–ultra-high-performance concrete) sandwich slab by incorporating UHPC into composite structures. This innovative design is suitable for application in Arctic offshore platforms. They conducted comprehensive experimental and theoretical research to investigate the mechanical behavior of the structure under impact loadings. The results of the impact tests demonstrate the outstanding protective performance of the DSUHPC sandwich structure compared to conventional reinforced concrete slabs. Building upon the ideas of previous researchers, the authors of this paper incorporate rubberized lightweight high ductility cement composite (RLHDC) into SCS composite structures and innovatively use a double-layer configuration in place of the traditional single-layer configuration, proposing a novel type of SCS composite panel, as illustrated in Section 2.1. Experimental investigations demonstrate the outstanding impact resistance and deformation performance of this structural configuration [10].
The residual performance of engineering structures after unexpected loads, such as explosions, impacts, and earthquakes, is crucial for evaluating their continued serviceability and maintenance. For the residual performance of reinforced concrete (RC) structures, researchers have conducted numerous studies in this field. Adhikary et al. [11] conducted experimental and numerical studies on the residual performance of RC beams, finding that increased transverse reinforcement and compressive strength enhance their residual resistance. They proposed the residual resistance index and residual stiffness index to quantify damage extent in RC beams after impact. Fan et al. [12] examined the residual axial performance of RC columns through compression after impact (CAI) tests, observing a decrease in residual strength with increased residual deformation. Moreover, the damage mode resulting from impact significantly influences the residual capacity of RC columns. Dok et al. [13] focused on the residual flexural properties of high-strength RC beams subjected to different impact energies. Their findings indicated that impact energy significantly affects the ductility capacity and flexural stiffness of damaged beams. However, residual strengths were not considerably affected. Current investigations predominantly focus on the post-impact behavior of reinforced concrete (RC) components, such as RC columns and beams.
However, there has been relatively limited research conducted on the residual performance of SCS composite structures. Zhao et al. [14] conducted drop hammer impact tests and axial compression tests to investigate the residual axial compressive strength of SC composite panels subjected to impact loading. The findings revealed a notable reduction in the residual compression strength of SC panels attributed to impact-induced damage. Furthermore, a calculation model for assessing residual strength was introduced and validated using experimental results. Guo et al. [15] carried out a numerical simulation to examine the impact performance and residual capacity of square concrete-filled steel tubular (CFST) columns subjected to repeated lateral impacts. The findings elucidate that plastic deformation in CFST serves as the principal mechanism for energy dissipation. An escalated number of impact times leads to a decline in the residual axial capacity of square CFST columns. Finally, a predictive formula, derived through regression analysis, incorporates the influence of impact times and various design parameters to estimate the residual axial compression resistance. Li et al. [16] conducted a numerical simulation study on the residual axial capacity of concrete-filled double-skin steel tube (CFDST) columns under close-in blast loads. The effectiveness of the finite element model was ensured by comprehensive comparisons with experimental results. Parametric studies were carried out to estimate the effects of column diameter, steel reinforcement ratio, column height, and axial load ratio on the residual axial capacity of blast-damaged columns, and an empirical formula was derived for practical design. Currently, most research on the residual performance of composite structures mainly focuses on concrete-filled steel tubular columns. These studies are primarily conducted through numerical simulation methods, while actual experimental reports are relatively scarce.
In a previous study, the authors [10] combined the advantages of both rubberized light-weight high ductility cement composite (RLHDC) [17] and steel plates to develop double-layer steel–RLHDC composite panels for protective structures. This structure improves its impact resistance through two distinct optimization approaches. On the material level, RLHDC is employed to enhance impact energy absorption and structural ductility. Meanwhile, at the structural level, a double-layer design is adopted, replacing the single-layer design, to fully capitalize on the tensile membrane effect of steel plates and enhance material efficiency. Given the frequent exposure of protective structures to impact loading, it is crucial to investigate the residual performance of SCS composite structures to prevent catastrophic failures and maintain their structural integrity. Nevertheless, the literature review reveals a dearth of research addressing the residual capacity of composite structures following impact, thereby constraining their potential applications in the field of protection. Therefore, the present study aims to reveal the degradation mechanism of impact-damaged composite panels through post-impact flexural tests and analyzes the effects of parameters such as different connector types, connector spacing, number of concrete layers, rubber powder content, and number of impacts on the residual mechanical properties of composite panels. Additionally, the finite element (FE) software LS-DYNA was utilized to develop a three-dimensional FE model to simulate the residual behavior of the composite panel. The simulation results were subsequently validated through a comparison with experimental data, affirming the efficacy of the model. Lastly, an extensive parameter analysis was performed using the calibrated finite element model to elucidate the primary factors that influence the residual behavior of the composite panel.
2. Experimental Program
2.1. Specimen Design
The experimental program produced a single-layer composite panel and eight double-layer composite panels. The single-layer composite panel consists of two steel plates sandwiching one concrete core, while the double-layer composite panel consists of three steel plates sandwiching two concrete cores. The total thickness and steel ratio of each specimen are the same, as shown in Figure 1. J-hook connectors prevent tensile separation between steel face plates, but pure J-hook connectors in SCS composite structures can lead to congested reinforcement, hindering concrete casting. Therefore, a compromise solution of introducing hybrid connectors that combine J-hooks and overlapped headed studs has been proposed [18]. This paper utilizes two distinct types of shear connectors, specifically J-hooks and hybrid connectors, to examine the effects of varying shear connector types.
Figure 1.
Illustration of specimens: (a) three-dimensional view, cross-section, and shear connectors of a single-layer composite panel; (b) three-dimensional view, cross-section, and shear connectors of a double-layer composite panel.
The variables of the specimens include the connector type (J-hooks, Hybrid connectors, as shown in Figure 1), connector spacing (100 mm, 150 mm, 200 mm), number of concrete core layers (single and double layers), rubber powder admixture (0%, 5%, 10% by volume), and number of impacts (1, 2, 3). The geometric parameters of the specimens are shown in Table 1. The naming method for specimens consists of three parts, namely, concrete type, shear connector spacing, and steel plate thickness. For example, in specimen identification L-100-6, “L” represents the core material type of lightweight high-ductility cement composite (LHDCC [5]), “100” represents the connector spacing with 100 mm, and “6” represents the thickness of steel plate with 6 mm. The “R5” in specimen identification R5-150-6 represents the addition of 5% volume fraction of rubber powders to LHDCC. The “S” in specimen L(S)-150-9 represents a single-layer composite panel, while the remaining specimens are double-layer composite panels. The “J” in specimen L-150(J)-6 means that the specimen utilizes J-hook connectors only, while the other specimens employ hybrid connectors. Specimens R10-150-6(1), R10-150-6(2), and R10-150-6(3), with the same geometric parameters, are impacted once, twice, and thrice, respectively. The rest of the specimens are impacted three times.
Table 1.
Geometric details of the specimens.
Figure 2 depicts the fabrication process for the composite panel. Initially, shear connectors are welded to steel plates with a welding gun, attaching to one side of both the top and bottom plates and to both sides of the middle plate. The assembly of these welded plates subsequently forms the steel framework for the composite panel. In the final step, concrete is poured on site to complete the specimen.
Figure 2.
Specimen preparation process: (a) welding of connectors; (b) assemble as a frame; (c) pumping concrete.
2.2. Material Tests
The authors developed a light-weight high-ductility cement composite (LHDCC) [5] with superior dynamic properties in a previous study, and to further improve the energy dissipation of LHDCC under impact, rubber powder was added to LHDCC to produce rubberized LHDCC (RLHDC [17]). The composition of LHDCC comprises Portland cement (Type P-II 52.5 R), silica fume, fly ash cenospheres, polyethylene fibers (12 mm in length and 24 μm in diameter), shrinkage-reducing agent, and polycarboxylate superplasticizer. Among these components, fly ash cenospheres serve as fine aggregates with an average particle size of 300 μm. RLHDC, derived from LHDCC, integrates rubber powder with an average particle size of 380 μm as a volumetric replacement for fine aggregates. The rubber powder is produced by grinding waste tires in manufacturing facilities. According to the author’s research [17], a volumetric replacement ratio exceeding 10% results in a significant decrease in concrete strength, rendering it unsuitable for load-bearing components. Therefore, this study applies volumetric replacement ratios of 5% and 10%. Therefore, the study adopted three mix proportions of concrete in composite panels; LHDCC, LHDCC with 5% and 10% volume fraction of rubber powder, i.e., RLHDC (5% and 10%), and the mix proportion of each material is shown in Table 2. Concrete cubes and coupons were prepared for each type of concrete and cured for 28 days under the same conditions as the composite panels. Compressive strength tests were performed on the concrete cubes according to the GB/T50081-2002 [19], and tensile tests were performed on the concrete coupons in accordance with the standard JSCE-2008 [20]. The experimental setup and failure modes of compressive tests conducted on concrete cubes, as well as direct tensile tests performed on concrete coupons, can be observed in Figure 3. The measured tensile and compressive properties of the concrete materials are shown in Table 3.
Table 2.
Mix proportion of the concrete (kg/m3).
Figure 3.
Mechanical properties testing of concrete: (a) compression tests; (b) direct tensile tests.
Table 3.
Mechanical properties of concrete.
The steel plate of the composite panels is made of 6 mm or 9 mm Q235 steel, and three steel coupons for each thickness are taken for tensile test. Headed studs and J-hook were used as shear connectors on the composite panels, where J-hook was made by cold-forming HPB300 steel bars. There tensile coupons of 100 mm length from studs/J-hooks were used for tensile test. The tensile properties of the steel materials were tested with reference to the GB/T228.1-2010 [21], and the tensile test results are shown in Table 4.
Table 4.
Mechanical properties of steel.
2.3. Test Procedure
The authors [22] performed the drop hammer impact tests on composite panels in previous study. The impact tests were conducted using the STLH-50000 drop hammer testing machine. The impact mass and velocity were adjusted by varying the counterweight and falling height of the hammer. The diameter of the hammer head is 100 mm. The experimental setup is depicted in Figure 4a. To prevent upward bouncing of the specimen during impact, a clamping device was employed for stabilization. The U.S. Department of the Army [23] recommends that the maximum allowable support rotation angle for the protective structure should not exceed 8°. In this study, considering the span of the specimen, which is 1000 mm, the maximum mid-span displacement can be calculated using the formula 1000 mm/2 × tan(8°) ≈ 70 mm. Therefore, a critical displacement of 70 mm is chosen for evaluating the impact performance of the composite panel. As a benchmark, Specimen L-100-6 is selected to determine the necessary number of impacts and the corresponding impact energy required to achieve a mid-span displacement of approximately 70 mm, ultimately the test plan is determined to be three impacts. To safeguard the force transducer from potential damage, a lower-energy impact was used for the third test. The mass of the first two impacts was 1012 kg, with an impact height of 5 m. The height of the third impact was reduced to 3 m. The impact energies for the three impacts were 50 kJ, 50 kJ, and 30 kJ, respectively.

Figure 4.
Test setup for drop hammer impact test and flexural test: (a) drop hammer impact test [22]; (b) post-impact flexural test.
In order to investigate the residual properties of the composite panels after impact, flexural tests were carried out in this study on impact-damaged composite panels. Prior to the static test, a panel with dimensions of 1200 × 1200 mm was halved, resulting in a planar size of 1200 × 600 mm. Several reasons justified the use of the cut panel for the flexural test instead of the complete panel in this paper: First, the impact of the hammer head caused a noticeable depression (residual deformation) in the middle section of the panel, making direct bending testing challenging. Second, the cut section provided a clear view of the internal failure mode and damage extent, facilitating the calibration of the finite element model to reproduce the impact test (Section 4.2.1). Finally, specimen preparation involved utilizing high-pressure water jet cutting technology, which minimizes panel disturbance and concentrates any additional damage in the central region, thereby avoiding significant influence on the panel’s sides. The cavity formed by the impact was filled before the flexural test. This was undertaken to ensure consistent contact between the steel roller and the specimen, promoting more uniform force transmission during the flexural test.
The flexural tests were conducted using the Bangwei loading system, as shown in Figure 4b. The loading procedure involved controlling displacement at a rate of 0.5 mm/min until either specimen failure or maximum displacement of the loading system. The data collected during the flexural test encompassed the load capacity, measured by a force transducer; deflection at the bottom of the specimen, measured using LVDTs (Linear Variable Displacement Transducer); strains on the steel plate and concrete, measured by strain gauges; and slip between the concrete and steel plate, measured by LVDTs. The configuration of the strain gauges and LVDTs is illustrated in Figure 5. The concrete strain gauges were positioned at both the front (the profile exposed after the cut) and back (the panel end surface) of the specimen. Additionally, the two LVDTs at the specimen’s end were affixed to the concrete and steel plate, respectively, allowing for the determination of slip magnitude between the concrete and the steel plate by measuring the displacement difference.
Figure 5.
Layout of measuring points: (a) measurement points arrangement; (b) measurement points on concrete; (c) measurement points on steel.
3. Test Results and Discussions
3.1. Impact Test Results
Table 5 presents the impact velocity, impact height, peak impact force, and maximum mid-span displacement of the composite panels subjected to impact. The impact velocity was measured using a laser velocimeter, with an average velocity of 9.832 m/s for the initial two impacts and 7.618 m/s for the third impact. Due to friction in the slide rail, the measured value was slightly lower than the theoretically calculated value for V = . The data from strain gauges revealed a maximum strain rate of 2.5 s−1 for the upper steel plate during the impact process, while the bottom steel plate exhibited a maximum strain rate of 0.8 s−1.
Table 5.
Impact test results.
During the three impacts, a majority of the specimens underwent sequential denting, tearing, and perforation of the upper steel plate. Taking specimen L-100-6 as an example, the failure mode of the steel plate is depicted in Figure 6a. In the single-layer specimen L(S)-150-9, tearing of the upper steel plate was observed during the initial impact. However, in the double-layer specimens, the tearing of the upper steel plate occurred in the second impact. This difference in behavior is attributed to the presence of the middle steel plate, which effectively impedes the complete propagation of concrete cracks. As a result, the formation of shear cones is delayed, and further denting of the upper steel plate is limited.
Figure 6.
Failure mode of impact tests: (a) upper steel plate; (b) internal concrete.
To facilitate the observation of internal concrete cracking within the composite panels, the specimens were halved using a high-pressure water cutting technique after impact. The failure modes of the internal concrete for each specimen are illustrated in Figure 6b. Specimens L(S)-150-9, L-100-6, L-150-6, and L-150(J)-6 exhibited wider main cracks in the concrete below the impact point, resulting in the formation of shear cones. Conversely, other specimens displayed numerous densely distributed small cracks. In specimens R5-150-6, R10-150-6(1), R10-150-6(2), and R10-150-6(3), rubber powder was incorporated into the core material at volume fractions of 5% and 10%. This addition played a role in enhancing energy absorption and crack resistance during impact, thereby transforming large through main cracks into densely distributed small cracks.
3.2. Residual Flexural Test Results
Table 6 presents the results of residual flexural tests, including ultimate displacement δm, residual load capacity Py, and residual flexural stiffness Ky of the impact-damaged specimens. The undamaged load capacity Pn and undamaged flexural stiffness Kn were obtained through finite element simulation calibrated in Section 4. The residual strength ratio (RRI) is the ratio of residual load capacity to undamaged load capacity, and the residual stiffness ratio (RSI) is the ratio of residual flexural stiffness to undamaged flexural stiffness.
Table 6.
Residual flexural test results.
3.2.1. Failure Modes
Based on the flexural test results at post-impact stage, it was observed that all impact-damaged specimens exhibited favorable residual ductility, with maximum mid-span displacements ranging from 30 mm to 60 mm. All specimens exhibited a consistent failure mode characterized by flexural failure accompanied by slippage. These specimens displayed three shared characteristics: prominent cracks at mid-span, separation between the steel plate and concrete in the shear span area, and slippage at the end of the panel, as illustrated in Figure 7. Nonetheless, there were slight disparities in the progression of damage during the loading process.
Figure 7.
Failure mode of residual tests: (a) L-100-6; (b) L-200-6.
For the specimens L(S)-150-9, L-100-6, L-150-6, and L-150(J)-6, prominent main cracks were observed as a result of the impact test prior to the flexural test, as shown in Figure 7a. During the post-impact flexural test, the width of the main crack caused by the impact increased, accompanied by an increase in slip between the concrete and steel plate at the specimen’s end. This phase was characterized by continuous stud breakage, ultimately leading to the loss of load-carrying capacity. Additionally, at the end of the test, the interface between the concrete layer and the steel plate layer was separated, resulting in significant slippage at the panel’s end. For specimens L-200-6, R5-150-6, R10-150-6(1), R10-150-6(2), and R10-150-6(3), which had either a lower composite degree (L-200-6) or the addition of rubber powder (R5 or R10), only dense and small cracks were formed after the impact test, and no obvious main cracks were present before the flexural test. The failure modes after the flexural test are shown in Figure 7b. As the load increased, the width of the fine cracks within the impact-damaged area gradually expanded, eventually developing into the main crack. These composite panels also experienced slippage, stud fracture, steel–concrete interface separation, and ultimately lost their load bearing capacity. Under the same geometric parameters, the specimens with early occurrence of main cracks exhibited more severe concrete damage and lower residual performance, while specimens with late occurrence of main cracks showed less concrete damage and comparatively higher residual performance.
3.2.2. Load-Deflection Curves
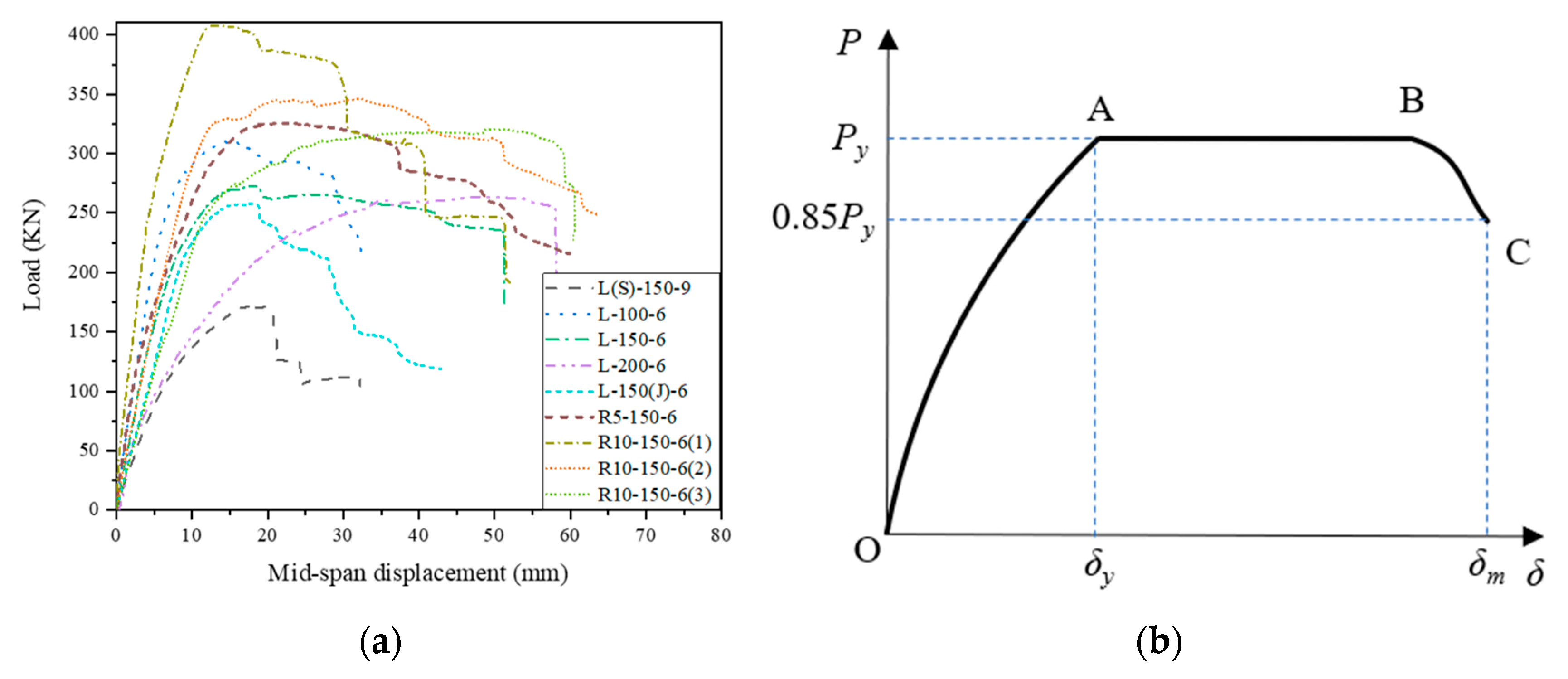
The residual load–displacement curves of the specimens are shown in Figure 8a, and the typical load–displacement curve is summarized in Figure 8b. Figure 9 illustrates the load–displacement curve and experimental observations of specimen R5-150-6 under different load states. Prior to loading (State I), there are small cracks within the concrete. When the load reaches half of the peak load (State II), distinct main cracks become apparent. Upon reaching the peak load (State III), the rate of increase in mid-span displacement and slippage accelerates. Under State IV, the sound of shear connector failure can be clearly heard, accompanied by a slight decrease in the load. Reaching State V, there is a significant increase in slippage at the panel’s end, resulting in noticeable separation between the steel plate and concrete, ultimately leading to progressive failure.
Figure 8.
Residual load–displacement curve: (a) all specimens; (b) typical load–displacement curve.
Figure 9.
The force–displacement curve and the failure process of R5-150-6.
The residual load–displacement curve of the impact-damaged composite panel is divided into three phases.
- (1)
- Crack development stage (O~A): The composite panel experiences internal damage after impact, resulting in a non-linear rise of the load–displacement curve during the initial loading stage of flexural test. The stiffness of the composite panel’s load–displacement curve gradually diminishes. Fine cracks proliferate in the mid-span, and the primary cracks originating from the impact widen progressively. As the mid-span deflection increases, the composite panel reaches its maximum residual resistance, Py.
- (2)
- Slippage stage (A~B): As deflection increases further, the load–displacement curve of the specimen enters the platform stage, characterized by the dominance of steel–concrete interface slippage in the structural behavior. The magnitude of slippage leads to continuous breakage and audible sounds from the studs, while the width of the primary crack gradually expands. The load experiences a slight decrease during this stage and the displacement increases at a faster rate compared to the crack development stage.
- (3)
- Unloading stage (B~C): As the connector fractures and the concrete cracks, the load rapidly decreases. Failure of the specimen is determined when the load reaches 85% of the maximum load, which corresponds to the ultimate displacement δm. At the point of ultimate displacement, a distinct separation occurs between the steel plate and the concrete interface in the shear span area, resulting in the loss of integrity and load-bearing capacity of the composite panel.
3.2.3. Strain Development
Figure 10 illustrates the strain development of the steel plates positioned at the bottom of each specimen. The direction of strain is along the longitudinal direction of the specimen, as shown in Figure 5c. The maximum strains of the specimens L-100-6, L-150-6, R5-150-6, R10-150-6(1), R10-150-6(2), and R10-150-6(3) all reached the yield point. However, the strains in the specimens L(S)-150-9 and L-200-6, did not reach the yield point. This discrepancy can be attributed to several reasons. The L(S)-150-9 specimen is a single-layer panel, which leads to more severe damage sustained by the bottom connectors under the same impact conditions. As a result, the composite action of the composite panels is compromised, impeding the full functioning of the bottom steel plate under subsequent static load. As for L-200-6, the specimen has larger spacing between the connectors and a lower degree of composite action, resulting in smaller strain on the steel plate during flexural loading compared to the other specimens.
Figure 10.
Strain development of steel plate.
In order to observe the strain development in concrete of impact-damaged composite panels, strain gauges were affixed to the front side (the profile exposed after the cut) and back side (end surface) of the specimens, as depicted in Figure 5b. The test results exhibited significant discrepancies in the strain development patterns of concrete between the two surfaces of the specimen. Taking the L-100-6 specimen as an example, the concrete strain development is illustrated in Figure 11. The overall strain on the front surface is minimal. With the exception of the measurement points near the bottom of the panel, the strain at the remaining measurement points is negligible. Conversely, the concrete on the end surface remains intact, thus resulting in a linear variation of strain distribution along the height of the concrete under bending load, consistent with the assumption of the plane section. Two factors contribute to this phenomenon. First, when subjected to impact, the concrete undergoes significant damage, leading to the formation of numerous micro-cracks and even major cracks. These cracks hinder the transfer of forces within the concrete. Second, the impact modifies the stiffness distribution of the plate, causing it to become non-uniform. Consequently, the load distribution is influenced by the stiffness. Regions near the impact zone exhibit lower stiffness, resulting in a reduced load allocation and lower levels of strain. Therefore, it can be concluded that in impact-damaged composite panels, the closer the section is to the impact area, the more it deviates from the plane section assumption.
Figure 11.
Strain development of concrete: (a) front surface; (b) end surface.
3.2.4. Load–Slip Curves
The flexural tests indicated that each specimen underwent flexural failure, accompanied by bond slip, manifesting as a distinct separation at the steel–concrete interface and a prominent slip at the panel’s end. Figure 12a depicts the load–slip curves for the specimens. An observation derived from these curves indicates that slip is minimal during the crack development stage of the loading process (O~A, Figure 8b), but becomes prominent during the platform stage (A~B) of the load–displacement curve until the completion of loading. Following the flexural tests, the terminal slippage was quantified using vernier calipers, with results summarized in Figure 12b. The measurements indicated an increase in slippage for specimens L-100-6, L-150-6, and L-200-6 to 9, 15, and 19 mm, respectively, corresponding with an increase in stud spacing (100, 150, 200 mm). This suggests that larger stud spacing diminishes the interface’s restraining ability, thus resulting in a greater degree of slip. The L-150-6 specimen with a double-layer core exhibited more slip and greater mid-span displacement than the single-layer core specimen L(S)-150-9. The study observed no significant effects of differing connector types and impact times on slippage.
Figure 12.
Slip behavior of the panel end: (a) load–slip curves; (b) slippage magnitude.
3.2.5. Parametric Analysis
This section examines the effects of various core layers, shear connector spacing, shear connector types, rubber powder admixture, and impact times on the residual resistance and deformation characteristics of the composite panels. The impacts of these parameters are discussed below.
- (1)
- Number of core layers: Figure 13a presents the load–displacement curves for specimens L(S)-150-9 and L-150-6. Despite having an equal steel ratio, the specimens utilize one and two layers of concrete cores, respectively. The load–displacement curves reveal that the residual resistance capacity and deformation capacity of the double-layer specimen surpass those of the single-layer specimen. In comparison to specimen L(S)-150-9, the residual resistance capacity and ultimate displacement of L-150-6 exhibit increases of 58% and 142%, respectively. The reason for this is that under the same impact load, the upper steel plate and the concrete in the impact area of the single-layer specimen are severely damaged, leading to a relatively lower residual resistance capacity. Conversely, the double-layer specimen benefits from the presence of a middle steel plate, which not only obstructs concrete crack penetration but also resists the impact load through deformation. Consequently, this configuration offers superior impact resistance and a higher residual load-carrying capacity.
- (2)
- Shear connector spacing: The load–displacement curves of the composite panels L-100-6, L-150-6, and L-200-6, featuring different connector spacing (100 mm, 150 mm, and 200 mm), are presented in Figure 13b. As the connector spacing increased, the residual load capacity of the specimens exhibited a decreasing trend. Specifically, compared to L-100-6, L-150-6 and L-200-6 experienced a reduction in residual load capacity by 13% and 16%, respectively. Moreover, the ultimate displacement of the composite panels showed an increasing pattern with the connector spacing. In comparison to L-100-6, the ultimate displacement of L-150-6 and L-200-6 increased by 80% and 107%, respectively. The increased connector spacing reduces the number of connectors per unit length, which diminishes the shear transfer capacity and weakens the bond between the concrete and steel layers in the composite panels. This leads to a decreased residual load capacity and a greater displacement.
- (3)
- Shear connector type: The SCS panel, utilizing J-hooks as shear connectors, demonstrates excellent load resistance, attributable to the interlocking of the J-hook pairs [18]. Despite these advantages, exclusive reliance on J-hooks might lead to complications during construction and installation. Consequently, the integration of J-hooks and headed studs into a hybrid connector was adopted. Figure 13c contrasts the load–displacement curves for L-150-6 with hybrid shear connectors and L-150(J)-6 with J-hooks. The residual capacities of these two panels, respectively, measure 269 kN and 257 kN. The residual load capacity of specimens utilizing J-hook shear connectors is lower than anticipated, even slightly less than that of specimens utilizing hybrid connectors. The interlocking effect of J-hook shear connectors is commonly believed to enhance the overall integrity of the composite structure and improve its impact resistance. However, experimental results reveal minimal disparity between the two cases. One potential explanation is that during conditions of low-speed impact and moderate structural deformation, J-hook shear connectors primarily provide shear resistance rather than tensile resistance, resulting in minimal discrepancy when compared to hybrid connectors. Therefore, under identical impact loads, both the SCS panel with hybrid connectors and the one with J-hooks demonstrate comparable residual performance. Hence, the SCS panel featuring hybrid shear connectors offers a viable alternative for practical engineering applications.
- (4)
- Rubber powder admixture: Figure 13d presents the load–displacement curves for specimens L-150-6, R5-150-6, and R10-150-6(3), incorporating varying rubber powder admixtures (0%, 5%, 10%) in the concrete cores. Compared to the specimen L-150-6 without rubber addition, the specimens with 5% and 10% rubber admixture exhibited an approximate 20% increase in residual load capacity. These results indicate that the incorporation of rubber powder enhances energy absorption and crack resistance in the structure, effectively mitigating damage under impact loading and resulting in improved residual load capacity. Despite the slight variation in residual load capacity between specimens containing 5% rubber content (R5-150-6) and 10% rubber content (R10-150-6(3)), there is a significant decrease in the residual stiffness of R10-150-6(3). Upon considering the comprehensive indicators of residual resistance and stiffness, it has been determined that a rubber content of 5% is the optimal proportion for engineering applications.
- (5)
- Impact times: Figure 13e illustrates the load–displacement curves of specimens R10-150-6(1), R10-150-6(2), and R10-150-6(3) subjected to different im-pact times (1, 2, 3). Multiple impacts lead to a reduction in both the residual load capacity and stiffness of the composite panels. Compared to the specimen R10-150-6(1), which was subjected to a single impact, the residual load capacity of specimens R10-150-6(2) and R10-150-6(3) experienced a decrease of 15% and 22%, respectively. It is evident that the degree of cumulative damage to the composite panel is directly proportional to the number of impacts, which correlates with a decrease in both stiffness and residual load bearing capacity.
Figure 13.
Effect of different parameters on residual behavior: (a) different layer numbers; (b) different connector spacing; (c) different connector types; (d) different content of rubber powder; (e) different number of impacts.
Figure 13.
Effect of different parameters on residual behavior: (a) different layer numbers; (b) different connector spacing; (c) different connector types; (d) different content of rubber powder; (e) different number of impacts.

4. Numerical Simulation
Dynamic explicit algorithms are well-suited for solving short-term nonlinear problems, including impacts and explosions, due to their computational convergence stability. In this section, the LS-DYNA explicit dynamic analysis software is utilized to simulate the impact behavior and residual performance of SCS panels under drop hammer impact conditions. Initially, to replicate the instances of multiple impacts, a three-dimensional FE model of the SCS panel is constructed using a multi-drop hammer modeling method. The impact FE model is calibrated using the results of the impact tests. Subsequently, on the foundation of the impact FE model, a full restart analysis is performed to simulate the residual flexural test of the SCS panel following impact. Lastly, employing the calibrated FE model, additional parameter analysis is conducted to uncover the crucial parameters that influence the residual load-carrying capacity of the SCS panel.
4.1. Material Constitutive Model
The concrete within the composite panel is characterized utilizing the continuous surface cap model (CSCM). Developed by the Federal Highway Administration, the CSCM incorporates the concrete’s hardening, damage, and strain rate effects. Owing to these factors, it is prevalently utilized in the domain of low-velocity impact simulation for engineering structures [24,25]. The yield surface function offered by the CSCM can be described as follows:
In this context, I1 = σ1 + σ2 + σ3 represents the first invariant of the stress tensor, while J2 and J3 denote the second and third invariants of the deviatoric stress tensor, respectively. R stands for Rubin three-invariant factor, Ff designates the function of the shear failure surface, and Fc refers to the function of the hardening cap surface. Furthermore, the compression meridian of the shear failure surface is characterized by the following function:
The parameters α, λ, β, and θ control the shape of the compression meridian and can be calibrated through triaxial compression tests. The other parameters of the CSCM model are thoroughly described in references [26,27,28].
The CSCM model incorporates the viscoplastic algorithm proposed by Simo et al. [29] to consider the effect of strain rate on concrete. The model employs dynamic increase factors (DIFt and DIFc) for direct tension and unconfined compression, expressed as follows:
where ft,d and fc,d correspond to dynamic tensile and compressive strengths, respectively. ft and fc represent static tensile and compressive strengths, respectively. The represents the strain rate, while , , Nt, and Nc denote the strain rate effect parameters within the CSCM.
The CSCM incorporates a built-in damage model to account for strain softening and modulus reduction in concrete. The primary parameters of the damage model are GFC, GFT, GFS, B, and D. Parameters B and D govern the ductile and brittle softening behavior of concrete. GFC, GFT, and GFS parameters correspond to the fracture energy (integral area) of the stress–displacement curve after the peak stress for uniaxial compression, uniaxial tension, and pure shear stress, respectively. In order to determine the fracture energy during the compression process, a series of compression tests described in Section 2 were conducted. The experimental fracture energy, denoted as GFC_e, was calculated as follows:
where σ(φ) and φ are, respectively, the stress and displacement, and φ0 is the displacement at peak compression strength fc. However, setting a constant fracture energy may lead to mesh size dependency in the simulation results. Therefore, different fracture energies should be set based on different mesh sizes. The following formula is employed to regulate the mesh size dependency [26,28]:
where GFC is the compressive fracture energy, GFC_t is the experimental fracture energy, lt is gauge length in compression tests (100 mm in this paper), and le is the characteristic length of the finite element. The fracture energy in tension (GFT) can be obtained using the same method. Regarding the shear fracture energy, in the absence of sufficient testing data, the developers of the CSCM recommend adopting the same value as that of the tensile fracture energy. Other damage parameters are set to default values.
A total of 37 parameters are required by the CSCM model to determine the yield surface, hardening cap, strain softening, and modulus degradation. Previous studies conducted calibration of the parameters associated with the yield surface and hardening cap by considering the properties of LHDCC/RLHDC materials, including compressive strength, tensile strength, elastic modulus, and density. A comprehensive outline of the calibration process is provided by Guo et al. [30]. Additionally, other parameters related to strain softening and modulus degradation were derived from the study by Yin et al. [24]. The main parameter values of CSCM are summarized in Table 7.
Table 7.
CSCM parameters of concrete.
The steel plates and connectors in the composite panel were simulated using a bilinear elastic–plastic material model (*MAT_PLASTIC_KINEMATIC). The required input parameters encompass the density, elastic modulus, tangent modulus, yield strength, and other properties of these steel components. Moreover, this material model offers alternatives for considering material erosion behavior and strain rate effects. The erosion options for steel materials are determined based on an effective plastic strain criterion. In accordance with the results from material tests conducted in Section 2.2, the erosion parameters for the steel plates, studs, and J-hook are set to 0.4, 0.1, and 0.3, respectively. The primary input parameters for all steel components are presented in Table 8. The effect of the strain rate is accounted for by adjusting the material’s yield stress using Cowper–Symonds model, as illustrated below:
where and represent the dynamic and static yield strengths, respectively, while refers to the strain rate. Coefficients D and p are taken as 40.4 s−1 and 0.5, respectively [25]. It should be noted that the strain rate option is active exclusively during the impact phase and deactivated during the subsequent static phase following the impact.
Table 8.
Constitutive parameters of steel parts.
4.2. FE Simulation Framework
4.2.1. Multiple Impact Simulation
In simulating multiple impacts, the conventional approach involves the restart method [31]. This method necessitates the use of the deformation, stress, and strain fields generated by the preceding impact as the initial conditions for the subsequent impact, and the re-submission of the k file for each impact, rendering the process rather intricate. To streamline the calculation steps, this section introduces a multi-drop-hammer modeling method. This technique defines multiple drop hammers in a single k file, which fall from varying heights simultaneously to impact the composite panel, thereby facilitating the numerical simulation of multiple impacts. The numerical model mandates the specification of gravitational acceleration, as well as each drop hammer’s height and initial velocity. This ensures that the speed of the drop hammer upon contact with the SCS panel matches the desired contact speed. Moreover, the time interval between two successive drop hammer impacts is sufficiently large to allow the preceding drop hammer to complete its impact and rebound before the subsequent drop hammer impacts the SCS panel, thereby fulfilling the requirements of multiple impact scenarios, as shown in Figure 14a. As there is no contact defined between the drop hammers, they do not influence each other.
Figure 14.
FE model of SCS composite panel: (a) impact stage; (b) post-impact static stage; (c) simplified model for shear connectors.
To enhance computational efficiency, an analysis is carried out using a half-modeling approach based on the symmetry of the system. The drop hammer, concrete, and support rollers were modeled using eight-node solid hexahedron elements (ELEMENT_SOLID) with a single integration point and viscous hourglass control, while the steel plates were modeled using thick-shell elements (ELEMENT_TSHELL). The mesh size sensitivity analysis determined the solid mesh size of the composite plate to be 14mm, but it was refined to 7mm for the impact area. To simplify the modeling of J-hooks and headed studs in the FE model, the nonlinear spring element *SPRING-NONLINEAR-ELASTIC is used to define the interaction of the shear connectors. This method avoids the time-consuming and convergence issues associated with detailed modeling of the shear connector geometry. As shown in Figure 14c, J-hooks and overlapped headed studs are represented by two steel bars connected by the nonlinear spring element. The load–displacement curve of the spring element is obtained through the pull-out test of the actual SCS unit.
The interaction between different components is defined by automatic surface-to-surface contact (*CONTACT_AUTOMATIC_SURFACE TO SURFACE), which requires the specification of the static friction coefficient (FS) and dynamic friction coefficient (FD). Based on previous research [10], for the interaction between the steel plate and concrete, FS and FD are set as 0.7 and 0.5, respectively. For the interaction between the shear connector and concrete, the corresponding FS and FD are set as 0.5 and 0.2, respectively.
4.2.2. Post-Impact Static Simulation
After completing the impact simulation and achieving a stable dynamic response, the impact-damaged SCS composite panel is analyzed in the post-impact static stage using the full restart analysis feature of the LS-DYNA software. The core of full restart analysis is to transfer internal stress and strain data between different stages by utilizing the *STRESS-INITIALIZATION keyword, retaining the influence exerted by previous loading conditions (impact stage) on the material’s behavior, thereby guaranteeing the continuity and accuracy of the subsequent analysis (static stage after impact). The selection of an appropriate restart point in the restart method can present challenges. Choosing a restart point in close proximity to the impact event may fail to allow sufficient time for the stabilization of the impact response. On the other hand, opting for a restart point that is too distant from the impact simulation process may lead to excessive computational workload and time consumption. After multiple attempts, the restart point is chosen to start from 90 ms after the first impact.
Prior to simulating the residual carrying capacity, it is necessary to calibrate the impact finite element (FE) model, which includes the impact failure characteristics (failure modes of steel plate and concrete) and impact response (impact force, mid-span displacement). To calibrate the concrete failure mode, the composite panel is bisected to determine the actual internal state of concrete damage in the impact test, as described in Section 2.3. The comparison between the results of the impact simulation and the experimental findings shows a high degree of consistency (Section 4.3). Based on the calibrated impact FE model, preprocessing of the model is required, which involves removing components, loads, and constraints associated with the impact conditions, followed by a transition to static displacement loading. The detailed modification settings and procedures are provided below:
- (1)
- Removal of redundant parts, constraints, and contacts, including the drop hammer, support rollers, and their related definitions;
- (2)
- Definition of a new static loading condition, where a downward displacement is applied to the midspan node on the upper surface using the *BOUNDARY_PRESCRIBED_MOTION_SET keyword;
- (3)
- Specification of new boundary conditions by constraining two rows of nodes at both ends of the specimen with the *BOUNDARY_SPC_SET keyword;
- (4)
- Addition of a new output variable to record the magnitude of the applied load using the *DATABASE_NODAL_FORCE_GROUP keyword;
- (5)
- Inheritance of the field output results from the impact simulation through the *STRESS_INITIALIZATION keyword;
- (6)
- Exclusion of the material strain rate effect by setting IRATE = 0 in the concrete constitutive model and SRC = CRP = 0 in the steel constitutive model. The modified model is illustrated in Figure 14b, and the revised K file and restart file (d3dump file) need to be resubmitted for calculation.
4.3. Numerical Result Discussion
Through numerical simulation results, the damage of the SCS panel is represented by visualizing the contours of effective plastic strain, which offer insights into the strain localization where failure occurs. Figure 15 presents a comparison between the numerically calculated distribution of plastic damage and the experimental results for the impact test conducted on the SCS panel. The comparison demonstrates the satisfactory ability of the numerical simulation to capture both the tearing of the steel plate and the occurrence of internal concrete cracks observed during the impact experiment. Further detailed comparisons of impact response, encompassing impact force, support reaction force, and midspan displacement, are available in the authors’ previous study [22]. This clearly underscores the capacity of explicit dynamic analysis to investigate the dynamic behavior of SCS plates under multiple impact loading.
Figure 15.
Comparison of impact damage characteristics of composite panels: (a) steel plate tearing; (b) cracks in concrete.
For the simulation of post-impact static behavior, Figure 16 compares the damage patterns obtained from the FE results with the failure modes revealed in the experimental results. It is evident that the finite element model accurately captures the slip behavior at the panel ends and the concrete damage in the mid-span region. Figure 17 presents a comparison of the load–displacement curves derived from the FE results and the experimental results. The comparison demonstrates that, although the curves in the finite element results exhibit slightly higher flexural stiffness and load-carrying capacity, they align with the overall trend observed in the experimental results. Table 9 provides a comprehensive comparison of the FE results and the experimental results for each specimen. The mean and standard deviation of the T/F ratio for the maximum resistance are 0.94 and 0.07, respectively, while for the maximum displacement, the corresponding mean and standard deviation of the T/F ratio are 1.12 and 0.14. The FE results for the maximum residual resistance are approximately 10% higher than the experimental results due to the pre-existing specimen cuts made before the flexural test, exacerbating further damage and reducing the residual load bearing capacity. Consequently, the restart analysis employed in this study effectively simulates the post-impact residual performance of composite panels.

Figure 16.
Damage characteristics of composite panels at residual static loading stage: (a) L-150-6; (b) R5-150-6.
Figure 17.
Comparison of load–displacement curves for residual tests: (a) L-100-6; (b) L-150-6; (c) L-200-6.
Table 9.
Comparison of residual flexural tests and FE simulations.
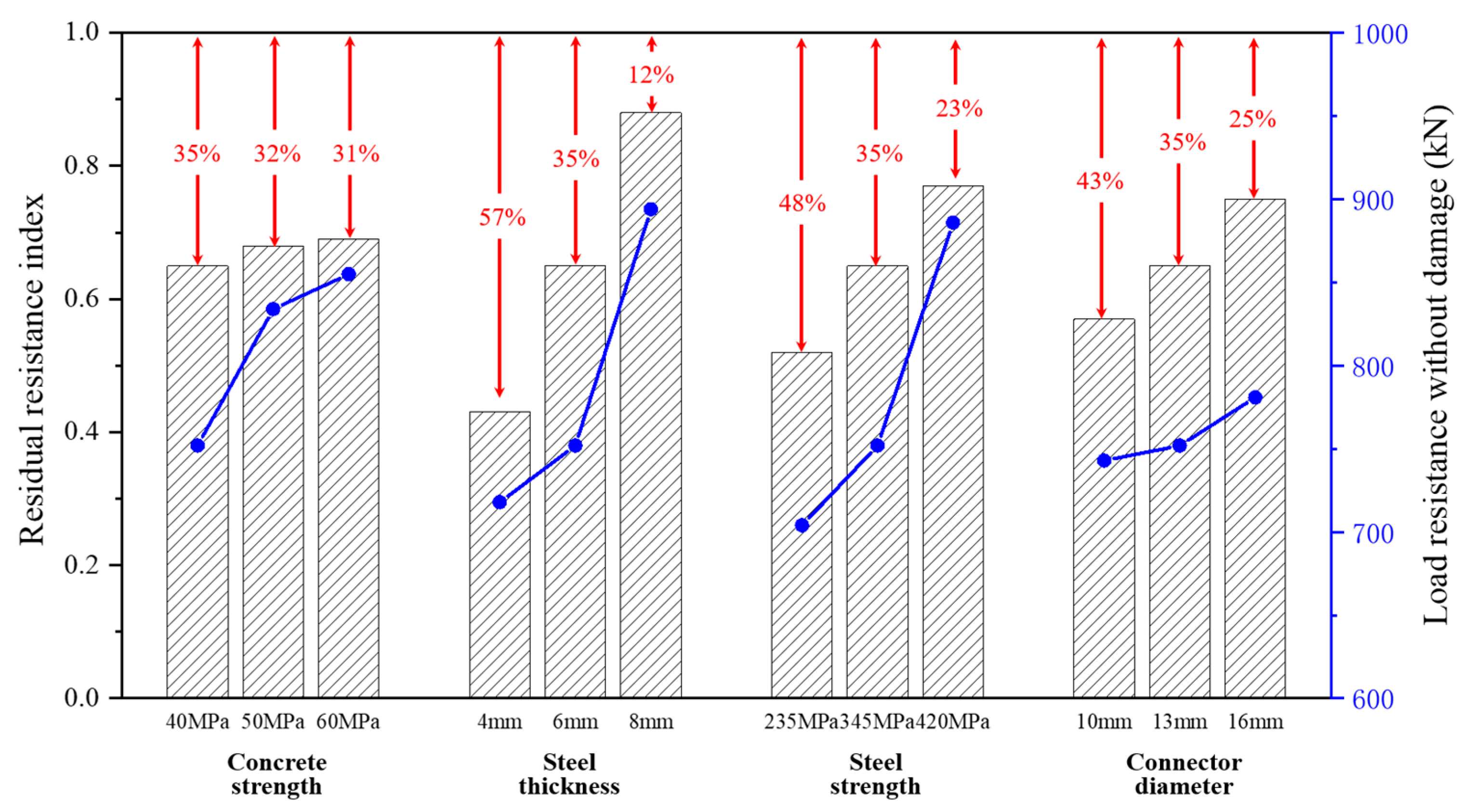
After verifying the results against experimental data, a parameter study was conducted to explore the significant factors affecting the residual strength of SCS panels following impact damage. Table 10 presents the variation of parameters across different case studies. The parameter ranges were determined based on commonly employed design specifications in composite structure design according to Chinese standards [32]. This investigation encompassed several key parameters, including concrete strength (40 MPa, 50 MPa, 60 MPa), steel plate strength (235 MPa, 345 MPa, 420 MPa), steel plate thickness (4 mm, 6 mm, 8 mm), and connector diameter (10 mm, 13 mm, 16 mm), in order to examine their influence on the residual performance of SCS panels under identical impact energy. The numerical case studies employed panels with identical geometric characteristics to experimental specimen L-150-6.
Table 10.
Expanded parametric analysis results.
The case study results, including the residual resistance at post-impact stage, the undamaged resistance, and the residual resistance index (the proportion of the post-damage resistance to the undamaged resistance) of each specimen, are summarized in Table 7. It is worth noting that the resistance analysis of the undamaged specimens involved submitting the revised K-file as an individual computational task, without inheriting the stress and strain states of the material after impact. Figure 18 clearly shows that the steel plate’s thickness and strength considerably influence the composite panel’s residual resistance index, followed by the stud’s diameter. Conversely, the concrete strength has the least impact. Concrete constitutes the largest part of the composite panels; however, it is not the primary influencing factor of residual load capacity, which seems contradictory to intuition. The reason is that the action of concrete is restricted by the overall integrity of the composite panel. After undergoing impact, shear connectors may be damaged or even fracture, resulting in a weakened collaborative ability between the steel plate and concrete, hindering them from exerting their original effectiveness.
Figure 18.
Residual performance of impact damaged panel with various parameters.
With the steel plate’s thickness increase from 4mm to 6mm and 8mm, the loss in resistance decreases from 57% to 35% and 12%, respectively. Interestingly, while the concrete strength can augment the undamaged composite panel’s resistance, the panel’s residual strength index remains virtually unchanged after impact. As the steel plate’s strength escalates, there are significant improvements in both the undamaged and residual resistances of the composite panel. In comparison to a 235 MPa specimen, the residual resistance coefficients for 345 MPa and 420 MPa specimens have enhanced from 0.43 to 0.65 and 0.77, respectively. It is noteworthy that while increasing the stud diameter marginally affects the undamaged resistance, it considerably amplifies the composite panel’s residual resistance.
From the experimental results and extended parametric analysis results presented in this paper, several recommendations can be drawn to optimize the design and construction of steel–concrete–steel composite panels for enhanced resilience against impact damage: (1) the addition of rubber powder can improve the residual performance of the composite panel, and the optimal mix ratio is 5%; (2) under the same steel ratio, it is preferable to use a double-layer configuration instead of a single-layer configuration; (3) priority should be given to using shear connectors with a larger diameter and shorter spacing, as the type of shear connectors has minimal impact; (4) the most effective method to enhance the residual performance is to increase the thickness or strength of the steel plate. The priority of steel plate thickness is higher than that of steel plate strength, and ensuring an adequate steel plate thickness should be the primary consideration while controlling costs.
5. Conclusions
In this study, the residual performance of double-layer steel–RLHDC composite panels after impact was investigated using a combination of experimental and numerical methods. The findings of the research are summarized as follows:
- (1)
- The impacted composite panels exhibited flexural failure accompanied by bond- slip as the primary failure mode. The load–displacement curve of the composite panel can be divided into three stages: crack development, slip, and unloading stages. The strain development of the concrete and bottom steel plate was influenced after the composite panel suffered impact damage. The strain development of the concrete deviates increasingly from the plane section assumption as the section approaches the impact-damaged area.
- (2)
- Double-layer specimens demonstrate significantly superior residual performance compared to single-layer specimens under identical steel ratio. The incorporation of rubber powder in the concrete enhances the residual performance of the composite panel, with an optimal volume mixing ratio of 5%. The impact of connector type on residual performance is negligible. Increasing the connector spacing can enhance the residual resistance but decrease the ductility of the composite panel.
- (3)
- The extended parameter analysis of the well-calibrated FE model revealed that the thickness and strength of the steel plate exert a substantial influence on the residual performance of the composite panel, whereas the strength of the concrete has a negligible effect. Furthermore, the diameter of the shear connector insignificantly affects the static resistance of the composite panel, but it significantly enhances the residual resistance following impact.
- (4)
- The current study mainly focused on the variations in the material and geometric parameters of composite panels. In fact, impact parameters, such as impact energy, impact velocity, and impact location, also play a crucial role in residual performance. Additionally, it is essential to propose theoretical models that can be used for damage assessment. Therefore, future research in this area is urgently needed.
Author Contributions
Conceptualization, Z.H.; methodology, Z.H. and Y.G.; software, Z.H. and X.Z.; validation, Z.H., X.Z. and Y.G.; formal analysis, Z.H., X.Z. and X.L.; investigation, Z.H., X.Z., Y.G. and X.L.; resources, Z.H., Y.G. and X.L.; data curation, Z.H., X.Z. and X.L.; writing—original draft preparation, Z.H., X.Z. and Y.G.; writing—review and editing, Z.H., X.Z. and Y.G.; visualization, Z.H., Y.G. and X.L.; supervision, Z.H. and Y.G.; project administration, Z.H., Y.G. and X.L.; funding acquisition, Z.H., Y.G. and X.L. All authors have read and agreed to the published version of the manuscript.
Funding
This research was funded by the National Natural Science Foundation of China (Grant No. 51978407, No. 52308179), the Guangdong Outstanding Youth Fund (Grant No. 2022B1515020037), the Shenzhen International Science and Technology Cooperation Project (Grant No. GJHZ20200731095802008), the Guangdong Provincial Key Laboratory of Durability for Marine Civil Engineering (SZU) (Grant No. 2020B1212060074), and the Shenzhen Key Laboratory for Low-carbon Construction Material and Technology (No. ZDSYS20220606100406016).
Data Availability Statement
All data, models, and code generated or used during the study appear in the submitted article.
Conflicts of Interest
Author Xiangqian Liu was employed by the company Anhui Road & Bridge Engineering Co., Ltd. The remaining authors declare that the research was conducted in the absence of any commercial or financial relationships that could be construed as a potential conflict of interest.
References
- Nie, J.G.; Ma, X.W.; Tao, M.X.; Fan, J.S.; Bu, F.M. Effective stiffness of composite shear wall with double plates and filled concrete. J. Constr. Steel Res. 2014, 99, 140–148. [Google Scholar] [CrossRef]
- Varma, A.H.; Malushte, S.R.; Sener, K.C.; Lai, Z.C. Steel-plate composite (SC) walls for safety related nuclear facilities: Design for in-plane forces and out-of-plane moments. Nucl. Eng. Des. 2014, 269, 240–249. [Google Scholar] [CrossRef]
- Liew, J.Y.R.; Sohel, K.M.A.; Koh, C.G. Impact tests on steel–concrete–steel sandwich beams with lightweight concrete core. Eng. Struct. 2009, 31, 2045–2059. [Google Scholar] [CrossRef]
- Xu, K.Y.; Xu, D.; Wang, X.T.; Wang, T.; Yan, J.C.; Yan, J.B. Seismic behaviors of steel truss-embedded steel-concrete composite shear walls. J. Build. Eng. 2022, 49, 104112. [Google Scholar] [CrossRef]
- Wang, Y.; Sah, T.P.; Liu, S.; Zhai, X. Experimental and numerical studies on novel stiffener-enhanced steel-concrete-steel sandwich panels subjected to impact loading. J. Struct. Eng. 2022, 45, 103479. [Google Scholar] [CrossRef]
- Remennikov, A.M.; Kong, S.Y.; Uy, B. The response of axially restrained non-composite steel–concrete–steel sandwich panels due to large impact loading. Eng. Struct. 2013, 49, 806–818. [Google Scholar] [CrossRef]
- Yan, J.B.; Liu, Q.F. Behavior of novel steel-concrete-steel sandwich walls under low-velocity impact loading. Thin Wall Struct. 2023, 193, 111219. [Google Scholar] [CrossRef]
- Wang, Y.; Zhou, Z.; Zhai, X.; Zhou, H.; Zhao, P. Impact responses of steel–concrete–steel sandwich panels with interlocked angle connectors: Experimental and numerical studies. Thin Wall Struct. 2023, 188, 110832. [Google Scholar] [CrossRef]
- Wang, Z.F.; Yan, J.C.; Lin, Y.Z.; Fan, F.; Sun, M.H. Experimental and analytical study on the double steel plates-UHPC sandwich slabs under low-velocity impact. Thin Wall Struct. 2023, 184, 110548. [Google Scholar] [CrossRef]
- Zhang, W.; Huang, Z.Y.; Li, R.; Zhao, X.; Ye, J. Impact response of double-layer Steel-RULCC-Steel sandwich panels: Experimental, numerical and analytical approaches. J. Struct. Eng. 2022, 148, 04022165. [Google Scholar] [CrossRef]
- Adhikary, S.D.; Li, B.; Fujikake, K. Residual resistance of impact-damaged reinforced concrete beams. Mag. Concr. Res. 2015, 67, 364–378. [Google Scholar] [CrossRef]
- Fan, W.; Liu, B.; Consolazio, G.R. Residual capacity of axially loaded circular RC columns after lateral low-velocity impact. J. Struct. Eng. 2019, 145, 04019039. [Google Scholar] [CrossRef]
- Dok, G.; Caglar, N.; Ilki, A.; Yilmaz, C. Effect of impact loading on residual flexural capacity of high-strength reinforced concrete beams. Structures 2020, 27, 2466–2480. [Google Scholar] [CrossRef]
- Zhao, W.Y.; Guo, Q.Q. Experimental study on impact and post-impact behavior of steel-concrete composite panels. Thin Wall Struct. 2018, 130, 405–413. [Google Scholar] [CrossRef]
- Gao, S.; Xu, Y.C.; Zhang, S.M.; Derlatka, A. Performance of square concrete-filled steel tubular columns under repeated lateral impact. Eng. Struct. 2023, 280, 115719. [Google Scholar] [CrossRef]
- Li, M.H.; Xia, M.T.; Zong, Z.H.; Wu, G.; Zhang, X.H. Residual axial capacity of concrete-filled double-skin steel tube columns under close-in blast loading. J. Constr. Steel Res. 2023, 201, 107697. [Google Scholar] [CrossRef]
- Huang, Z.Y.; Sui, L.; Wang, F.; Du, S.L.; Zhou, Y.W.; Ye, J.Q. Dynamic compressive behavior of a novel ultra-lightweight cement composite incorporated with rubber powder. Compos. Struct. 2020, 244, 112300. [Google Scholar] [CrossRef]
- Huang, Z.Y.; Zhao, X.L.; Zhang, W.; Fu, Z.X.; Zhou, Y.W.; Sui, L.L. Load transfer mechanism of novel double-layer steel-LHDCC-steel sandwich panels under punching loads. Eng. Struct. 2021, 226, 111427. [Google Scholar] [CrossRef]
- GB/T 50081; Standard for Test Methods of Concrete Physical and Mechanical Properties. China Architecture & Building Press: Beijing, China, 2019.
- Japan Society of Civil Engineers. Recommendations for Design and Construction of High-Performance Fiber Reinforced Cement Composites with Multiple Fine Cracks; Japan Society of Civil Engineers: Tokyo, Japan, 2008. [Google Scholar]
- GB/T 228.1-2010; Metallic Materials-Tensile Testing-Part 1: Method of Test at Room Temperature. China Standard Press: Beijing, China, 2010.
- Huang, Z.Y.; Zhang, W.; Li, R. Impact resistance of double-layer Steel-RULHDCC sandwich panels subjected to repeated impact loads. J. Build. Eng. 2023, 8, 80–92. (In Chinese) [Google Scholar]
- US Deptartmant of the Army. Technical Manual 5-1300: Structures to Resist the Effects of Accidental Explosions; US Deptartmant of the Army: Washington, DC, USA, 1990. [Google Scholar]
- Yin, X.; Li, Q.; Xu, X.; Chen, B.; Guo, K.; Xu, S. Investigation of continuous surface cap model (CSCM) for numerical simulation of strain-hardening fibre-reinforced cementitious composites against low-velocity impacts. Compos. Struct. 2023, 304, 116424. [Google Scholar] [CrossRef]
- Zhao, W.Y.; Guo, Q.Q.; Dou, X.; Zhou, Y.; Ye, Y. Impact response of steel concrete composite panels: Experiments and FE analyses. Steel Compos Struct. 2018, 26, 255–263. [Google Scholar]
- Murray, Y.D.; Abu-Odeh, A.; Bligh, R. Evaluation of LS-DYNA Concrete Material Model 159; Federal Highway Administration: McLean, VA, USA, 2007.
- Jiang, H.; Zhao, J. Calibration of the continuous surface cap model for concrete. Finite Elem. Anal. Des. 2015, 97, 1–19. [Google Scholar] [CrossRef]
- Xu, S.C.; Wu, P.T.; Liu, Z.X.; Wu, C.Q. Calibration of CSCM model for numerical modeling of UHPCFTWST columns against monotonic lateral loading. Eng. Struct. 2021, 240, 112396. [Google Scholar] [CrossRef]
- Simo, J.C.; Kennedy, J.G.; Govindjee, S. Non-smooth multisurface plasticity and viscoplasticity. Loading/unloading conditions and numerical algorithms. Int. J. Numer. Methods Eng. 1988, 26, 2161–2185. [Google Scholar] [CrossRef]
- Guo, W.; Fan, W.; Shao, X.; Shen, D.; Chen, B. Constitutive model of ultra-high-performance fiber-reinforced concrete for low-velocity impact simulations. Compos. Struct. 2018, 185, 307–326. [Google Scholar] [CrossRef]
- Othman, H.; Marzouk, H. Finite-element analysis of reinforced concrete plates subjected to repeated impact loads. J. Struct. Eng. 2017, 143, 04017120. [Google Scholar] [CrossRef]
- GB 55004; General Code for Composite Structures. China Architecture & Building Press: Beijing, China, 2021.
Disclaimer/Publisher’s Note: The statements, opinions and data contained in all publications are solely those of the individual author(s) and contributor(s) and not of MDPI and/or the editor(s). MDPI and/or the editor(s) disclaim responsibility for any injury to people or property resulting from any ideas, methods, instructions or products referred to in the content. |
© 2023 by the authors. Licensee MDPI, Basel, Switzerland. This article is an open access article distributed under the terms and conditions of the Creative Commons Attribution (CC BY) license (https://creativecommons.org/licenses/by/4.0/).


















