A Digital Integrated Methodology for Semi-Automated Analysis of Water Efficiency in Buildings †
Abstract
:1. Introduction
2. Literature Review
2.1. BIM as a Performance Analysis Tool
2.2. The Potential of BIM for Water Efficiency Analysis in Buildings at Various Stages
2.2.1. Design Stage
2.2.2. Construction and Operation Stages
3. Materials and Methods
3.1. Description of the Case Study
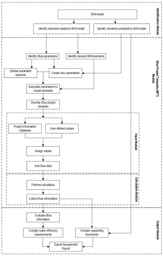
3.2. Methodology
3.2.1. ISO-46001.2019—Water Efficiency Management Systems: Requirements and Guidance for Use
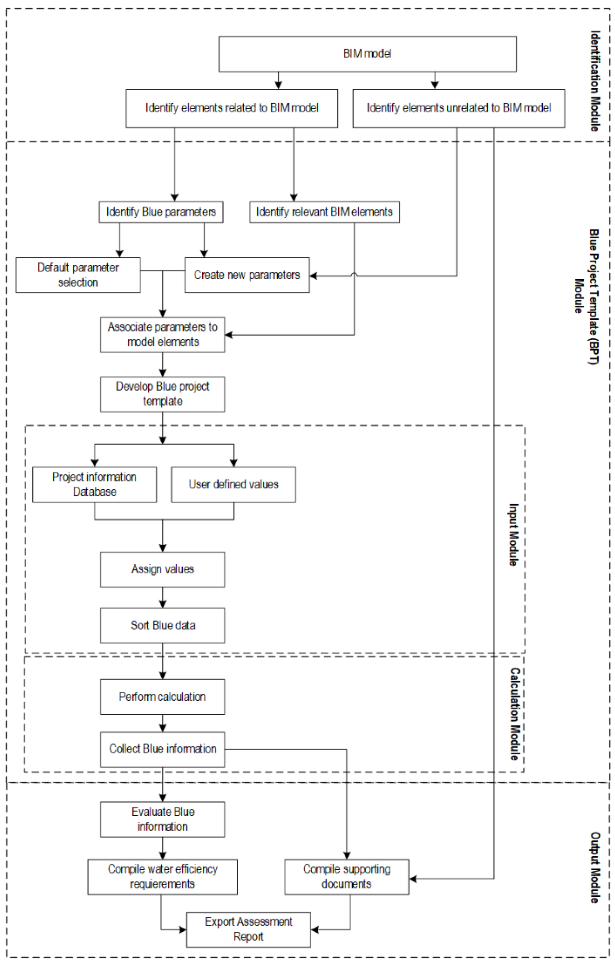
3.2.2. Identification Module
3.2.3. Blue Project Template (BPT)
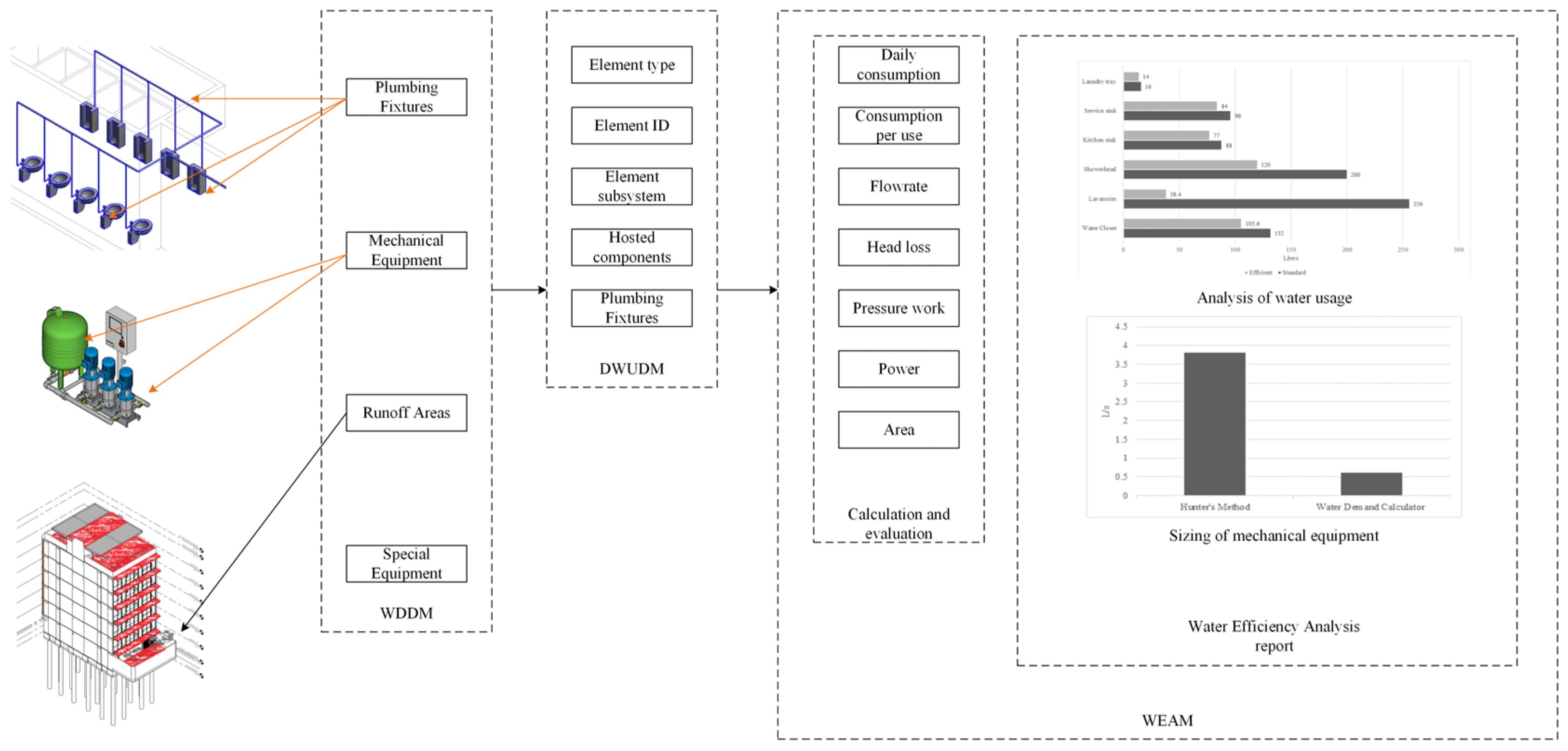
Analysis of Water Usage According to Plumbing Fixtures and Inhabitant Demand
Sizing Analysis of Hydraulic-Plumbing Systems Using the Flowrate Calculation
Analysis of Alternative Systems Using Harvest Rainwater and Treated Water
3.2.4. Output Module
3.3. Framework to Integrate the Methodolgy Using Digital Technologies
4. Results and Discussions
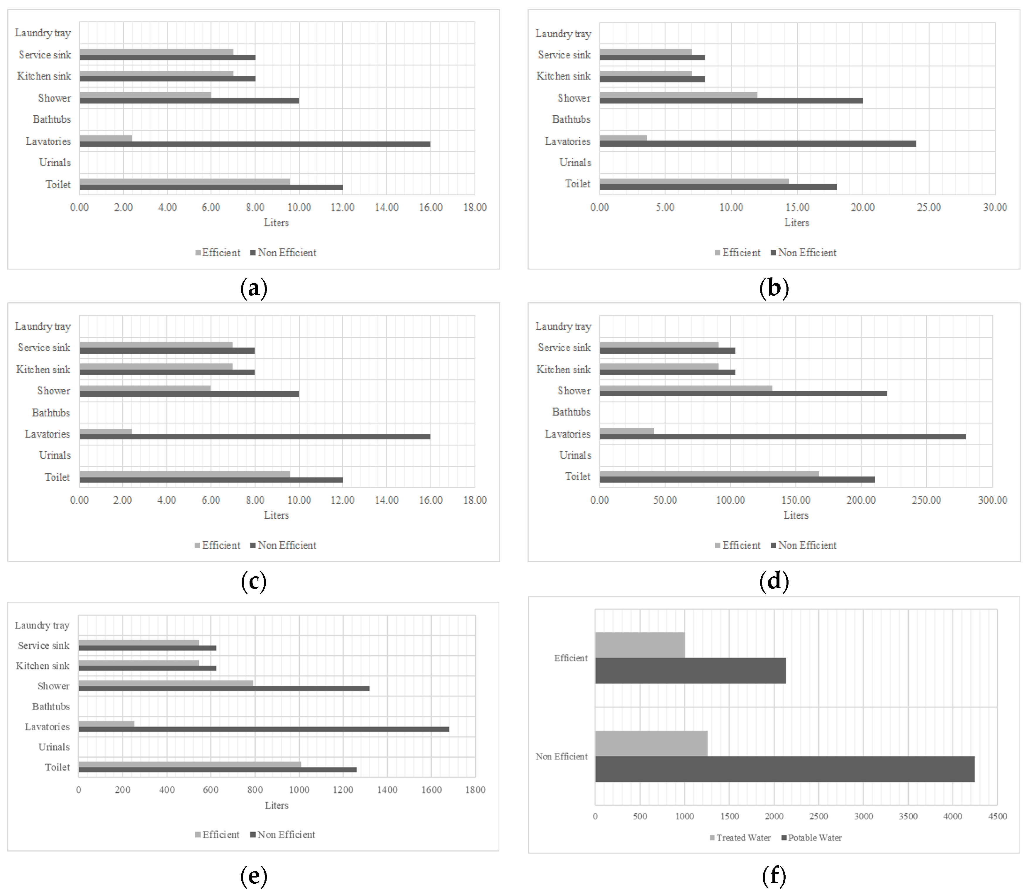
4.1. Analysis of Water Usage According to Plumbing Fixtures and Inhabitant Demand per Day
4.2. Sizing Analysis of Hydraulic-Plumbing System Using the Flowrate Calculation Method
4.3. Analysis of Alternative Systems Using Harvested Rainwater and Treated Water
5. Conclusions
Author Contributions
Funding
Data Availability Statement
Acknowledgments
Conflicts of Interest
Appendix A
| Author | Building Life Stage | Case study | Evaluation Domain | |||||||||||||
|---|---|---|---|---|---|---|---|---|---|---|---|---|---|---|---|---|
| Design | Construction | Operation | Rainwater | Treated water | Code checking | Water Consumption | Clash Detection | Water Supply | Leak Detection | Telemetry | 3D Visualization | |||||
| Harvesting | Reuse | Reuse | Plumbing Fixtures | Mechanical Equipment | Grid optimization | |||||||||||
| (Krygiel and Nies, 2008) [15] | ✓ | ✓ | ✓ | ✓ | ✓ | |||||||||||
| (Martins & Monteiro, 2013) [17] | ✓ | ✓ | ✓ | ✓ | ||||||||||||
| (Bonenberg and Wei, 2015) [18] | ✓ | ✓ | ✓ | ✓ | ✓ | |||||||||||
| (Wong and Zhou, 2015) [19] | ✓ | ✓ | ✓ | ✓ | ✓ | |||||||||||
| (Lu et al., 2017) [10] | ✓ | ✓ | ||||||||||||||
| (Wei et al., 2017) [20] | ✓ | ✓ | ✓ | |||||||||||||
| (Howell et al., 2017) [21] | ✓ | ✓ | ✓ | ✓ | ✓ | ✓ | ✓ | ✓ | ✓ | ✓ | ✓ | |||||
| (Z. Liu et al., 2019b) [22] | ✓ | ✓ | ✓ | ✓ | ✓ | ✓ | ✓ | ✓ | ✓ | |||||||
| (Zhao et al., 2019) [23] | ✓ | ✓ | ✓ | ✓ | ✓ | ✓ | ||||||||||
| (S. Luo et al., 2022) [24] | ✓ | ✓ | ✓ | ✓ | ✓ | |||||||||||
| (Y. Wang et al., 2022) [25] | ✓ | ✓ | ✓ | ✓ | ✓ | |||||||||||
| Proposed Methodology | ✓ | ✓ | ✓ | ✓ | ✓ | ✓ | ✓ | ✓ | ✓ | ✓ | ✓ | |||||
References
- Al-Qawasmi, J.; Asif, M.; El Fattah, A.A.; Babsail, M.O. Water effciency and management in sustainable building rating systems: Examining variation in criteria usage. Sustainability 2019, 11, 2416. [Google Scholar] [CrossRef]
- Luo, K.; Scofield, J.H.; Qiu, Y. Water savings of LEED-certified buildings. Resour. Conserv. Recycl. 2021, 175, 105856. [Google Scholar] [CrossRef]
- Zhan, Z.; Xu, W.; Xu, L.; Qi, X.; Song, W.; Wang, C.; Huang, Z. BIM-Based Green Hospital Building Performance Pre-Evaluation: A Case Study. Sustainability 2022, 14, 2066. [Google Scholar] [CrossRef]
- Turner, C.; Frankel, M.; Energy Performance of LEED for New Construction Buildings. New Buildings Institute. Available online: https://newbuildings.org/wp-content/uploads/2015/11/Energy_Performance_of_LEED-NC_Buildings-Final_3-4-08b1.pdf (accessed on 24 February 2022).
- Zhang, Y.; Wang, J.; Hu, F.; Wang, Y. Comparison of evaluation standards for green building in China, Britain, United States. Renew. Sustain. Energy Rev. 2017, 68, 262–271. [Google Scholar] [CrossRef]
- Sanchez, B.; Rausch, C.; Haas, C.; Hartmann, T. A framework for BIM-based disassembly models to support reuse of building components. Resour. Conserv. Recycl. 2021, 175, 105825. [Google Scholar] [CrossRef]
- Arenas, N.F.; Shafique, M. Recent progress on BIM-based sustainable buildings: State of the art review. Dev. Built Environ. 2023, 15, 00176. [Google Scholar] [CrossRef]
- Chang, Y.T.; Hsieh, S.H. A review of building information modeling research for green building design through building performance analysis. J. Inf. Technol. Constr. 2020, 25, 1–40. [Google Scholar] [CrossRef]
- Cortez-Lara, P.; Ballinas-Gonzalez, R.; Sanchez, B. A Framework for Integrating Digital Technologies to Improve Water Supply Systems Efficiency in Buildings. In Proceedings of the 2023 Portland International Conference on Management of Engineering and Technology (PICMET), Monterrey, Mexico, 23–27 July 2023; pp. 1–6. [Google Scholar] [CrossRef]
- Lu, Y.; Wu, Z.; Chang, R.; Li, Y. Building Information Modeling (BIM) for green buildings: A critical review and future directions. Autom. Constr. 2017, 83, 134–148. [Google Scholar] [CrossRef]
- Gao, H.; Koch, C.; Wu, Y. Building information modelling based building energy modelling: A review. Appl. Energy 2019, 238, 320–343. [Google Scholar] [CrossRef]
- Muller, M.F.; Esmanioto, F.; Huber, N.; Loures, E.R.; Canciglieri, O. A systematic literature review of interoperability in the green Building Information Modeling lifecycle. J. Clean Prod. 2019, 223, 397–412. [Google Scholar] [CrossRef]
- Manzoor, B.; Othman, I.; Gardezi, S.S.S.; Harirchian, E. Strategies for adopting building information modeling (Bim) in sustainable building projects—A case of Malaysia. Buildings 2021, 11, 249. [Google Scholar] [CrossRef]
- Wang, G.; Song, J. The relation of perceived benefits and organizational supports to user satisfaction with building information model (BIM). Comput. Human Behav. 2017, 68, 493–500. [Google Scholar] [CrossRef]
- Krygiel, E.; Nies, B. Green BIM: Successful Sustainable Design with Building Information Modeling; John Wiley & Sons: Hoboken, NJ, USA, 2008. [Google Scholar]
- Reeves, T.; Olbina, S.; Issa, R.R.A. Guidelines for using building information modeling for energy analysis of buildings. Buildings 2015, 5, 1361–1388. [Google Scholar] [CrossRef]
- Martins, J.P.; Monteiro, A. LicA: A BIM based automated code-checking application for water distribution systems. Autom. Constr. 2013, 29, 12–23. [Google Scholar] [CrossRef]
- Bonenberg, W.; Wei, X. Green BIM in Sustainable Infrastructure. Procedia Manuf. 2015, 3, 1654–1659. [Google Scholar] [CrossRef]
- Wong, J.K.W.; Zhou, J. Enhancing environmental sustainability over building life cycles through green BIM: A review. Autom. Constr. 2015, 57, 156–165. [Google Scholar] [CrossRef]
- Wei, T.; Chen, G.; Wang, J. Application of BIM Technology in Building Water Supply and Drainage Design. In IOP Conference Series: Earth and Environmental Science; Institute of Physics Publishing: Bristol, UK, 2017. [Google Scholar] [CrossRef]
- Howell, S.; Rezgui, Y.; Beach, T. Integrating building and urban semantics to empower smart water solutions. Autom. Constr. 2017, 81, 434–448. [Google Scholar] [CrossRef]
- Liu, Z.; Zhang, C.; Guo, Y.; Osmani, M.; Demian, P. A building information modelling (BIM) basedwater efficiency (BWe) framework for sustainable building design and construction management. Electronics 2019, 8, 599. [Google Scholar] [CrossRef]
- Zhao, L.; Liu, Z.; Mbachu, J. An Integrated BIM–GIS Method for Planning of Water Distribution System. ISPRS Int. J. Geoinf. 2019, 8, 331. [Google Scholar] [CrossRef]
- Luo, S.; Yao, J.; Wang, S.; Wang, Y.; Lu, G. A sustainable BIM-based multidisciplinary framework for underground pipeline clash detection and analysis. J. Clean Prod. 2022, 374, 133900. [Google Scholar] [CrossRef]
- Wang, Y.; Zhang, L.; Yu, H.; Tiong, R.L.K. Detecting logical relationships in mechanical, electrical, and plumbing (MEP) systems with BIM using graph matching. Adv. Eng. Inform. 2022, 54, 101770. [Google Scholar] [CrossRef]
- Bynum, P.; Issa, R.R.A.; Olbina, S. Building Information Modeling in Support of Sustainable Design and Construction. J. Constr. Eng. Manag. 2013, 139, 24–34. [Google Scholar] [CrossRef]
- Zhang, L.; Chu, Z.; He, Q.; Zhai, P. Investigating the constraints to buidling information modeling (BIM) applications for sustainable building projects: A case of China. Sustainability 2019, 11, 1896. [Google Scholar] [CrossRef]
- Chastas, P.; Theodosiou, T.; Bikas, D. Embodied energy in residential buildings-towards the nearly zero energy building: A literature review. Build. Environ. 2016, 105, 267–282. [Google Scholar] [CrossRef]
- INEGI Presentación de Resultados Nuevo León 2020. Available online: https://www.inegi.org.mx/contenidos/programas/ccpv/2020/doc/cpv2020_pres_res_nl.pdf (accessed on 1 August 2023).
- Wong, J.K.W.; Kuan, K.L. Implementing ‘BEAM Plus’ for BIM-based sustainability analysis. Autom. Constr. 2014, 44, 163–175. [Google Scholar] [CrossRef]
- British Standard Institution. Standards Publication Water Efficiency Management Systems-Requirements with Guidance for Use. 2019. Available online: https://www.iso.org/standard/68286.html (accessed on 10 April 2023).
- Kofinas, D.T.; Spyropoulou, A.; Laspidou, C.S. A methodology for synthetic household water consumption data generation. Environ. Model. Softw. 2018, 100, 48–66. [Google Scholar] [CrossRef]
- Rasoulkhani, K.; Logasa, B.; Reyes, M.P.; Mostafavi, A. Understanding fundamental phenomena affecting the water conservation technology adoption of residential consumers using agent-based modeling. Water 2018, 10, 993. [Google Scholar] [CrossRef]
- Dean, A.J.; Kneebone, S.; Tull, F.; Lauren, N.; Smith, L.D.G. ‘Stickiness’ of water-saving behaviours: What factors influence whether behaviours are maintained or given up? Resour. Conserv. Recycl. 2021, 169, 105531. [Google Scholar] [CrossRef]
- Hasan, H.H.; Razali, S.F.M.; Razali, N.H.M. Does the household save water? Evidence from behavioral analysis. Sustainability 2021, 13, 641. [Google Scholar] [CrossRef]
- Jordán-Cuebas, F.; Krogmann, U.; Andrews, C.J.; Senick, J.A.; Hewitt, E.L.; Wener, R.E.; Allacci, M.S.; Plotnik, D. Understanding Apartment End-Use Water Consumption in Two Green Residential Multistory Buildings. J. Water Resour. Plan Manag. 2018, 144, 4018009. [Google Scholar] [CrossRef]
- Koop, S.H.A.; van Leeuwen, C.J. The challenges of water, waste and climate change in cities. In Environment, Development and Sustainability; Springer: Berlin/Heidelberg, Germany, 2017; pp. 385–418. [Google Scholar] [CrossRef]
- Adeyeye, K.; Meireles, I.; Booth, C. Technical and non-technical strategies for water efficiency in buildings. In Sustainable Water Engineering; Elsevier: Amsterdam, The Netherlands, 2020. [Google Scholar]
- Carlson, K.M.; Boczek, L.A.; Chae, S.; Ryu, H. Legionellosis and recent advances in technologies for Legionella control in premise plumbing systems: A review. Water 2020, 12, 676. [Google Scholar] [CrossRef] [PubMed]
- Hunter, R. Building Materials and Structures. In Methods of Estimating Loads in Plumbing Systms; US Government Printing Office: Washington, DC, USA, 1940. [Google Scholar]
- Hobbs, I.; Anda, M.; Bahri, P.A. Estimating peak water demand: Literature review of current standing and research challenges. In Results in Engineering; Elsevier B.V.: Amsterdam, The Netherlands, 2019. [Google Scholar] [CrossRef]
- Englart, S.; Jedlikowski, A. The influence of different water efficiency ratings of taps and mixers on energy and water consumption in buildings. SN Appl. Sci. 2019, 1, 525. [Google Scholar] [CrossRef]
- Brooks, D.B. An Operational Definition of Water Demand Management. Int. J. Water Resour. Dev. 2006, 22, 521–528. [Google Scholar] [CrossRef]
- Dziegielewski, B. Strategies for Managing Water Demand. Water Resour. Update 2003, 126, 29–39. [Google Scholar]
- Rasekh, H.; McCarthy, T.J. Delivering sustainable building projects—Challenges, reality and success. J. Green Build. 2016, 11, 143–161. [Google Scholar] [CrossRef]
- Comisión Nacional del Agua. Sanitary Fixtures and Fittings; Secretaría de Medio Ambiente y Recursos Naturales: Distrito Federal, Mexico, 2015; pp. 42–43. [Google Scholar]
- Comisión Nacional del Agua. Faucet, Valves and Fittings for Potable Water System; Secretaría de Medio Ambiente y Recursos Naturales: Distrito Federal, Mexico, 2015; pp. 12–13. [Google Scholar]
- Comisión Nacional del Agua. Showerhead Used in Personal Hygiene—Specifications and Test Methods; Secretaría de Medio Ambiente y Recursos Naturales: Distrito Federal, Mexico, 1998; pp. 7–8. [Google Scholar]
- Gobierno de la Ciudad de México. Normas Técnicas Complementarias para el Diseño y Ejecución de Obras e Instalaciones Hidráulicas; Gobierno de la CIudad de México: Ciudad de Mexico, Mexico, 2004; pp. 60–70. [Google Scholar]
- International Association of Plumbing and Mechanical Officials. Water Demand Calculator Study; IAPMO: Ontario, CA, USA, 2020. [Google Scholar]












| Author | Water Domain | Building Project Stage | ||
|---|---|---|---|---|
| Design | Construction | Operation | ||
| (Krygiel and Nies, 2008) [15] | Rainwater harvesting | ✓ | ||
| (Martins and Monteiro, 2013) [17] | Water distribution systems | ✓ | ||
| (Bonenberg and Wei, 2015) [18] | Rainwater harvesting | ✓ | ||
| (Wong and Zhou, 2015) [19] | Rainwater harvesting | ✓ | ||
| (Lu et al., 2017) [10] | Water consumption | ✓ | ||
| (Wei et al., 2017) [20] | Water supply, sewage, and rainwater pipes | ✓ | ||
| (Howell et al., 2017) [21] | Intelligent sensing and cybernetics | ✓ | ✓ | ✓ |
| (Liu et al., 2019) [22] | Water efficiency | ✓ | ||
| (Zhao et al., 2019) [23] | Water distribution systems | ✓ | ✓ | |
| (Luo et al., 2022) [24] | Underground pipeline clash detection | ✓ | ||
| (Wang et al., 2022) [25] | MEP clash detection | ✓ | ||
| Plumbing Fixtures | Mechanical Equipment | Runoff Areas | Special Equipment |
|---|---|---|---|
| Toilet | Potable water pump | Garden | Other |
| Dual-flush toilet | Hot water circulation pump | Terrace | |
| Flushometer valve toilet | Treater water pump | Rooftop | |
| Urinals | Irrigation pump | ||
| Lavatories | Water heater | ||
| Kitchen sink | Boiler | ||
| Service sink | |||
| Laundry tray | |||
| Faucet | |||
| Drinking fountains | |||
| Showers | |||
| Bathtubs | |||
| Bidet |
| Water Supply System | ||||||||
|---|---|---|---|---|---|---|---|---|
| Plumbing Fixture | Mechanical Equipment | Runoff Area | ||||||
| Toilet | 210 | units | Potable water pump | 3 | Units | Terrace | 1170 | m2 |
| Lavatories | 210 | units | Hot water circulation pump | 1 | Units | |||
| Shower | 132 | units | ||||||
| Kitchen sink | 78 | units | ||||||
| Service sink | 78 | units | ||||||
| Level | Total Apartments | Apartment Type I | Apartment Type II | Inhabitants per Bedroom | Daily Water Consume | |||
|---|---|---|---|---|---|---|---|---|
| Count | Bedrooms | Count | Bedrooms | Liters/Inhabitant/Day | Liters/Day | |||
| 1st Floor | 13 | 4 | 1 | 9 | 2 | 2 | 200 | 8800 |
| 2nd Floor | 13 | 4 | 1 | 9 | 2 | 2 | 200 | 8800 |
| 3rd Floor | 13 | 4 | 1 | 9 | 2 | 2 | 200 | 8800 |
| 4th Floor | 13 | 4 | 1 | 9 | 2 | 2 | 200 | 8800 |
| 5th Floor | 13 | 4 | 1 | 9 | 2 | 2 | 200 | 8800 |
| 6th Floor | 13 | 4 | 1 | 9 | 2 | 2 | 200 | 8800 |
| TOTAL | 78 | 24 | 6 | 54 | 12 | N/A | N/A | 52,800 |
| Level | Full Potable Water | Mixed-Water System | |
|---|---|---|---|
| Potable Water | Treated Water | ||
| 1st Floor | 8800 | 5280 | 3520 |
| 2nd Floor | 8800 | 5280 | 3520 |
| 3rd Floor | 8800 | 5280 | 3520 |
| 4th Floor | 8800 | 5280 | 3520 |
| 5th Floor | 8800 | 5280 | 3520 |
| 6th Floor | 8800 | 5280 | 3520 |
| TOTAL | 52,800 | 31,680 | 21,120 |
Disclaimer/Publisher’s Note: The statements, opinions and data contained in all publications are solely those of the individual author(s) and contributor(s) and not of MDPI and/or the editor(s). MDPI and/or the editor(s) disclaim responsibility for any injury to people or property resulting from any ideas, methods, instructions or products referred to in the content. |
© 2023 by the authors. Licensee MDPI, Basel, Switzerland. This article is an open access article distributed under the terms and conditions of the Creative Commons Attribution (CC BY) license (https://creativecommons.org/licenses/by/4.0/).
Share and Cite
Cortez-Lara, P.; Sanchez, B. A Digital Integrated Methodology for Semi-Automated Analysis of Water Efficiency in Buildings. Buildings 2023, 13, 2911. https://doi.org/10.3390/buildings13122911
Cortez-Lara P, Sanchez B. A Digital Integrated Methodology for Semi-Automated Analysis of Water Efficiency in Buildings. Buildings. 2023; 13(12):2911. https://doi.org/10.3390/buildings13122911
Chicago/Turabian StyleCortez-Lara, Pedro, and Benjamin Sanchez. 2023. "A Digital Integrated Methodology for Semi-Automated Analysis of Water Efficiency in Buildings" Buildings 13, no. 12: 2911. https://doi.org/10.3390/buildings13122911
APA StyleCortez-Lara, P., & Sanchez, B. (2023). A Digital Integrated Methodology for Semi-Automated Analysis of Water Efficiency in Buildings. Buildings, 13(12), 2911. https://doi.org/10.3390/buildings13122911
