Child-Centred Room Acoustic Parameters of Public Preschools in Sweden
Abstract
1. Introduction
- -
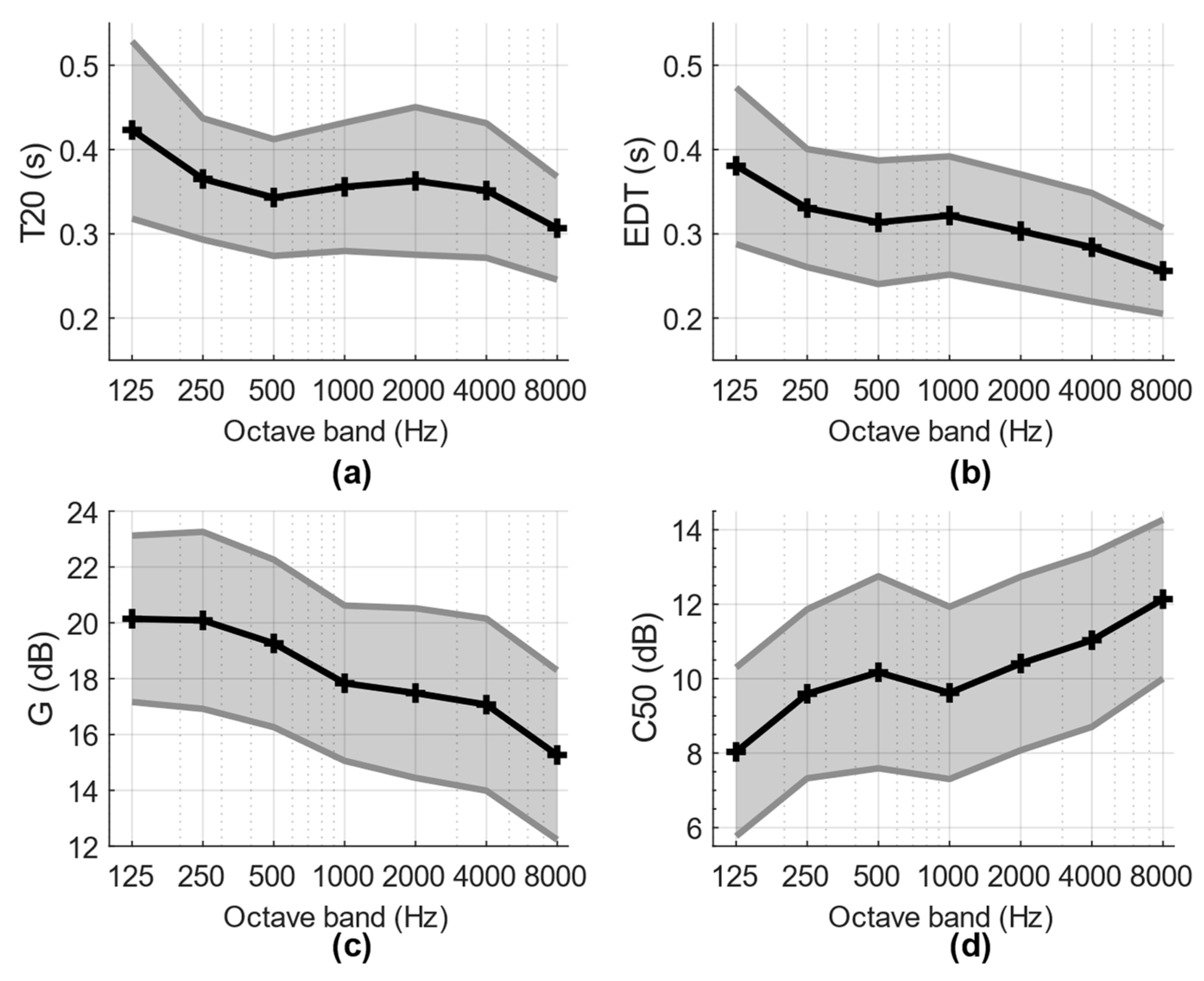
- Reverberation time is the most used room acoustic parameter. The T20 version is robust with respect to repeatability and background noise, and is the only room acoustic parameter with a target value in the Swedish standard [18]. Reverberation time measurements may be difficult to interpret in a non-diffuse field, such as a room where all available sound absorption is concentrated at the ceiling. Another critique is that T20 is insufficient in itself, as it does not include the early reflections that are vital for intelligibility [19]. Early decay time (EDT) is considered to be better adapted to the perception of reverberance [20], but it is a less “global” measure. It may vary with source–receiver distance depending on the main reflections in the room, and repeatability problems have been reported for measurement positions close to the sound source [21]. The just-noticeable difference (JND) for reverberation time metrics in the literature ranges from 5 to 24 per cent [20,22,23,24].
- -
- Sound strength (G) accounts for the complete energy decay curve and correlates with the loudness of sounds in a certain room and is thus an important parameter for room acoustic characterisation. It is a measure of the sound energy emitted from a source in a room compared with what it would be in a free field at 10 m distance [20]. Sound strength has been suggested to be used to measure the acoustic quality of classrooms [25,26], and may also be appropriate for describing the acoustic quality of preschool rooms. The JND for the mid frequency sound strength is expected to be of the order of 1 dB, as reported for performance spaces [20].
- -
- Speech clarity (C50) includes the effects of early reflections and has been found to correlate with the perceived clarity of speech. Puglisi et al. found a correlation between children’s reading speed and the C50 of their classroom, but not the reverberation time [27]. In a recent study by Astolfi et al., speech clarity was found to be the most suitable parameter to classify the room acoustic condition of a school classroom [28]. The JND for speech clarity parameters is expected to be of the order of 1 dB in rooms for speech [29].
- -
- Unoccupied sound pressure levels in preschool rooms are regulated nationally in Sweden [30]. It is not explicitly known how low frequency noise affects children, but effects may include masking of speech and reduced performance [31,32]. Shield et al. found a small but significant correlation between unoccupied noise level in the classrooms of English secondary schools, and the overall lesson noise level and the time lost to disruptive activities (e.g., students talking or shouting during the lesson) [33].
- The influence of measurement height (reflecting a child sitting or standing);
- High frequency content in the room acoustic parameters (better reflecting the resonance frequency of a young child’s HRTF);
- The integration time when calculating speech clarity (since children may have a shorter “integration time of speech” than adults [42]);
- To measure the acoustic conditions in Swedish preschool rooms;
- To examine whether and how the results vary with building year and socioeconomic status of the neighbourhood;
- To measure and analyse common room acoustic parameters in a way that may be more suitable for assessing children’s exposure;
2. Materials and Methods
2.1. Study Sample
2.2. Data Collection
2.3. Acoustic Measurements
2.4. Acoustic Analysis
2.5. Statistical Treatment
3. Results
3.1. The Acoustic State of Preschool Rooms, Averaged Results
3.2. Room Acoustic Parameters of Importance from a Child Perspective
3.2.1. Frequency Content
3.2.2. Microphone Height Dependency
3.2.3. A Shorter Integration Time of Speech Clarity
3.3. Influence of Building Year
3.3.1. Physical Room Properties
3.3.2. Room Acoustic Parameters
3.4. Room Acoustics and Socioeconomics
4. Discussion
4.1. Averaged Results
4.2. Supportive Room Acoustics for Children
4.3. Building Year
4.4. Room Acoustics and Socioeconomic Index
4.5. Limitations
5. Conclusions
Author Contributions
Funding
Data Availability Statement
Acknowledgments
Conflicts of Interest
Appendix A
| Year and ID | Volume m3 | Floor Area m2 | Height m | Furnishing | Floor Construction | Wall Construction | Ceiling abs. |
|---|---|---|---|---|---|---|---|
| 1980–1994 | |||||||
| 1.1.1.1 | 81 | 35 | 2.3 | Normal | Heavy | Light | Other |
| 1.1.1.2 | 55 | 22 | 2.5 | Normal | Heavy | Light | Other |
| 1.1.2.1 | 70 | 28 | 2.5 | Sparse | Heavy | Light | Other |
| 1.1.2.2 | 63 | 25 | 2.5 | Dense | Heavy | Light | Other |
| 1.2.1.1 | 95 | 38 | 2.5 | Normal | Light | Light | Other |
| 1.2.1.2 | 45 | 18 | 2.5 | Normal | Light | Light | Other |
| 1.3.1.1 | 118 | 41 | 2.5 | Normal | Light | Light | Other |
| 1.3.1.2 | 80 | 32 | 2.5 | Dense | Light | Light | Other |
| 1.3.2.1 | 110 | 44 | 2.5 | Sparse | Light | Light | Porous |
| 1.3.2.2 | 53 | 21 | 2.5 | Sparse | Light | Light | Other |
| 1.4.1.1 | 58 | 21 | 2.5–3 | Normal | Light | Light | Other |
| 1.4.1.2 | 74 | 27 | 2.5–3 | Sparse | Light | Light | Other |
| 1.5.1.1 | 80 | 24 | 2.5 | Normal | Light | Light | Other |
| 1.5.1.2 | 58 | 23 | 2.5 | Normal | Light | Light | Other |
| 1.5.2.1 | 73 | 29 | 2.5 | Normal | Light | Light | Other |
| 1.5.2.2 | 53 | 21 | 2.5 | Normal | Light | Light | Other |
| 1.6.1.1 | 73 | 28 | 2.4–3.8 | Normal | Light | Light | Other |
| 1.6.2.1 | 127 | 54 | 2.4 | Sparse | Light | Light | Other |
| 1.7.1.1 | 81 | 33 | 2.5 | Sparse | Light | Heavy/Light | Porous |
| 1.7.1.2 | 91 | 37 | 2.5 | Sparse | Light | Heavy/Light | Porous |
| 1.8.1.1 | 79 | 34 | 2.4 | Normal | Light | Heavy/Light | Other |
| 1.8.1.2 | 48 | 20 | 2.4 | Normal | Light | Light | Other |
| 1995–2006 | |||||||
| 2.1.1.1 | 58 | 24 | 2.4 | Normal | Light | Heavy/Light | Porous |
| 2.1.1.2 | 93 | 40 | 2.2–2.4 | Normal | Light | Heavy | Porous |
| 2.2.1.1 | 122 | 45 | 2.7 | Dense | Light | Light | Porous |
| 2.2.1.2 | 30 | 11 | 2.7 | Sparse | Light | Light | Porous |
| 2.2.2.1 | 120 | 46 | 2.6 | Dense | Heavy | Light | Porous |
| 2.2.2.2 | 20 | 8 | 2.6 | Sparse | Heavy | Light | Porous |
| 2.3.1.1 | 77 | 32 | 2.4 | Dense | Light | Light | Other |
| 2.3.1.2 | 65 | 27 | 2.4 | Dense | Light | Light | Other |
| 2.4.1.1 | 81 | 31 | 2.2–3 | Dense | Light | Light | Porous |
| 2.4.1.2 | 32 | 13 | 2.2–2.7 | Sparse | Light | Light | Porous |
| 2.4.2.1 | 1056 | 192 | 4.5–6.5 | Dense | Light | Light | Porous |
| 2007–2018 | |||||||
| 3.1.1.1 | 123 | 45 | 2.7 | Normal | Heavy | Light | Porous |
| 3.1.1.2 | 65 | 19 | 2.7–5 | Normal | Heavy | Light | Porous |
| 3.2.1.1 | 73 | 24 | 3.1 | Normal | Heavy | Light | Porous |
| 3.2.1.2 | 150 | 49 | 3.1 | Normal | Heavy | Light | Porous |
| 3.3.1.1 | 124 | 40 | 2.5–3.7 | Normal | Heavy | Light | Porous |
| 3.3.2.1 | 124 | 40 | 2.5–3.7 | Sparse | Heavy | Light | Porous |
| 3.3.3.1 | 811 | 129 | 3–8.2 | Normal | Heavy | Light | Porous |
| 3.4.1.1 | 525 | 84 | 2.7–6.3 | Normal | Heavy | Light | Porous |
| 3.4.2.1 | 110 | 41 | 2.7 | Sparse | Heavy | Light | Porous |
| 3.4.2.2 | 95 | 35 | 2.7 | Normal | Heavy | Light | Porous |
| 3.4.3.1 | 95 | 35 | 2.7 | Normal | Heavy | Light | Porous |
| 3.5.1.1 | 67 | 25 | 2.7 | Sparse | Heavy | Light | Porous |
| 3.5.1.2 | 113 | 42 | 2.7 | Normal | Heavy | Light | Porous |
| 3.5.1.3 | 107 | 40 | 2.7 | Sparse | Heavy | Light | Porous |
| 3.6.1.1 | 60 | 23 | 2.6 | Dense | Heavy | Light | Porous |
| 3.6.1.2 | 116 | 43 | 2.7 | Dense | Heavy | Light | Porous |
| 3.6.1.3 | 44 | 17 | 2.6 | Sparse | Heavy | Light | Porous |
| 3.6.2.1 | 24 | 9 | 2.7 | Dense | Heavy | Light | Porous |
| 3.7.1.1 | 32 | 12 | 2.7 | Normal | Heavy | Light | Porous |
| 3.7.1.2 | 168 | 43 | 3–5.6 | Normal | Heavy | Light | Porous |
| 3.7.1.3 | 51 | 19 | 2.7 | Sparse | Heavy | Light | Porous |
| 3.7.2.1 | 167 | 43 | 3–5.6 | Normal | Heavy | Light | Porous |
| 3.7.2.2 | 167 | 42 | 3–5.6 | Normal | Heavy | Light | Porous |
| 3.7.2.3 | 54 | 20 | 2.7 | Sparse | Heavy | Light | Porous |












References
- Skolverket (The National Agency for Education). Barn och Personal i Förskolan—Hösten 2021; The National Agency for Education: Stockholm, Sweden, 2022. [Google Scholar]
- Skolverket (The National Agency for Education). Föräldrars Val och Inställning till Förskola och Fritidshem; The National Agency for Education: Stockholm, Sweden, 2012. [Google Scholar]
- Sjödin, F.; Kjellberg, A.; Knutsson, A.; Landström, U.; Lindberg, L. Noise Exposure and Auditory Effects on Preschool Personnel. Noise Health 2012, 14, 72–82. [Google Scholar] [CrossRef]
- Landström, U.; Nordström, B.; Stenudd, A.; Åström, L. Effekter av Barngruppernas Storlek på Buller och Upplevelser Bland Personal Inom Förskolan; Arbetslivsinstitutet Norr—Arbetet och den Fysiska Miljön: Solna, Sweden, 2003. [Google Scholar]
- Bertilsson, A.; Hagaeus, A.-C.; Sandqvist, Y.; Skagelin, K.; Björkman, M.; Barregård, L. Rapport Från Ljudnivåmätningar På Förskolor Och Skolor Lidköping Och Skara 2002–2003; Lidköpings Kommun, Skara Kommun och Västra Götalandsregionens Miljömedicinska Centrum: Lidköping, Sweden, 2004. [Google Scholar]
- Persson Waye, K.; Agge, A.; Lindström, F.; Hult, M. God Ljudmiljö i Förskola—Samband Mellan Ljudmiljö, Hälsa och Välbefinnande Före och efter Åtgärdsprogram. Rapport Nr 2; Arbets- och miljömedicin; Göteborgs Universitet: Gothenburg, Sweden, 2011. [Google Scholar]
- Brännström, K.J.; Rudner, M.; Carlie, J.; Sahlen, B.; Gulz, A.; Andersson, K.; Johansson, R. Listening Effort and Fatigue in Native and Non-Native Primary School Children. J. Exp. Child Psychol. 2021, 210, 105203. [Google Scholar] [CrossRef]
- Leibold, L.J. Speech Perception in Complex Acoustic Environments: Developmental Effects. J. Speech Lang Hear. Res. 2017, 60, 3001–3008. [Google Scholar] [CrossRef]
- McCreery, R.W.; Miller, M.K.; Buss, E.; Leibold, L.J. Cognitive and Linguistic Contributions to Masked Speech Recognition in Children. J. Speech Lang. Hear. Res. 2020, 63, 3525–3538. [Google Scholar] [CrossRef]
- McCreery, R.W.; Stelmachowicz, P.G. Audibility-Based Predictions of Speech Recognition for Children and Adults with Normal Hearing. J. Acoust. Soc. Am. 2011, 130, 4070–4081. [Google Scholar] [CrossRef]
- Persson Waye, K.; Karlberg, J. Sound Quality Characteristics of Importance for Preschool Children’s Perception and Wellbeing After an Acoustic Intervention. Front. Built Environ. 2021, 7, 688836. [Google Scholar] [CrossRef]
- Persson Waye, K.; Fredriksson, S.; Hussain-Alkhateeb, L.; Gustafsson, J.; van Kamp, I. Preschool Teachers’ Perspective on How High Noise Levels at Preschool Affect Children’s Behavior. PLoS ONE 2019, 14, e0214464. [Google Scholar] [CrossRef]
- Serpanos, Y.C.; Gravel, J.S. Assessing Growth of Loudness in Children by Cross-Modality Matching. J. Am. Acad. Audiol. 2000, 11, 190–202. [Google Scholar] [CrossRef]
- Fels, J. From Children to Adults: How Binaural Cues and Ear Canal Impedances Grow. Ph.D. Thesis, RWTH, Aachen, Germany, 2008. [Google Scholar]
- Dellve, L.; Samuelsson, L.; Persson Waye, K. Preschool Children’s Experience and Understanding of Their Soundscape. Qual. Res. Psychol. 2013, 10, 1–13. [Google Scholar] [CrossRef]
- Williams, R.M.; Frank, M.C. Preschool Children Reason about Third-Party Goals When Evaluating Acoustic Environments. Proc. Annu. Meet. Cogn. Sci. Soc. 2023, 45. Available online: https://escholarship.org/uc/item/2jh5j1nc#author (accessed on 29 October 2023).
- Leibold, L.J.; Buss, E. Masked Speech Recognition in School-Age Children. Front. Psychol. 2019, 10, 1981. [Google Scholar] [CrossRef] [PubMed]
- SS 25268:2007+T1:2017; Acoustics—Sound Classification of Spaces in Buildings—Institutional Premises, Rooms for Education, Preschools and Leisure-Time Centres, Rooms for Office Work and Hotels. SIS Swedish Standards Institute: Stockholm, Sweden, 2017.
- Yang, W.; Bradley, J.S. Effects of Room Acoustics on the Intelligibility of Speech in Classrooms for Young Children. J. Acoust. Soc. Am. 2009, 125, 922–933. [Google Scholar] [CrossRef] [PubMed]
- SS-EN ISO 3382-1:2009; Acoustics—Measurement of Room Acoustic Parameters—Part 1: Performance Spaces. SIS Swedish Standards Institute: Stockholm, Sweden, 2009.
- Bradley, J.S. Review of Objective Room Acoustics Measures and Future Needs. Appl. Acoust. 2011, 72, 713–720. [Google Scholar] [CrossRef]
- Blevins, M.G.; Buck, A.T.; Peng, Z.; Wang, L.M. Quantifying the Just Noticeable Difference of Reverberation Time with Band-Limited Noise Centered around 1000 Hz Using a Transformed Updown Adaptive Method. In Proceedings of the International Symposium on Room Acoustics, Toronto, ON, Canada, 9–11 June 2013; Volume 63. [Google Scholar]
- del Solar Dorrego, F.M.; Vigeant, M.C. The Just Noticeable Difference of Early Decay Time (EDT). J. Acoust. Soc. Am. 2020, 148, 2772. [Google Scholar] [CrossRef]
- Niaounakis, T.; Davies, W. Perception of Reverberation Time in Small Listening Rooms. J. Audio Eng. Soc. 2002, 50, 343–350. [Google Scholar]
- Harvie-Clark, J.; Dobinson, N. The Practical Application of G and C50 in Classrooms. In Proceedings of the 42nd International Congress and Exposition on Noise Control Engineering (INTER-NOISE 2013), Innsbruck, Austria, 15–18 September 2013. [Google Scholar]
- Sato, H.; Bradley, J.S. Evaluation of Acoustical Conditions for Speech Communication in Working Elementary School Classrooms. J. Acoust. Soc. Am. 2008, 123, 2064–2077. [Google Scholar] [CrossRef]
- Puglisi, G.E.; Prato, A.; Sacco, T.; Astolfi, A. Influence of Classroom Acoustics on the Reading Speed: A Case Study on Italian Second-Graders. J. Acoust. Soc. Am. 2018, 144, EL144. [Google Scholar] [CrossRef] [PubMed]
- Astolfi, A.; Minelli, G.; Puglisi, G.E. A Basic Protocol for the Acoustic Characterization of Small and Medium-Sized Classrooms. J. Acoust. Soc. Am. 2022, 152, 1646. [Google Scholar] [CrossRef]
- Bradley, J.S.; Reich, R.; Norcross, S.G. A Just Noticeable Difference in C50 for Speech. Appl. Acoust. 1999, 58, 99–108. [Google Scholar] [CrossRef]
- Folkhälsomyndigheten (Public Health Agency of Sweden). FoHMFS 2014:13 Folkhälsomyndighetens Allmänna Råd om Buller Inomhus; Public Health Agency of Sweden: Stockholm, Sweden, 2014. [Google Scholar]
- Bengtsson, J.; Persson Waye, K.; Kjellberg, A. Evaluations of Effects Due to Low-Frequency Noise in a Low Demanding Work Situation. J. Sound Vib. 2004, 278, 83–99. [Google Scholar] [CrossRef]
- Persson Waye, K.; Bengtsson, J.; Kjellberg, A.; Benton, S. Low Frequency Noise “Pollution” Interferes with Performance. Noise Health 2001, 4, 33–49. [Google Scholar]
- Shield, B.; Conetta, R.; Dockrell, J.; Connolly, D.; Cox, T.; Mydlarz, C. A Survey of Acoustic Conditions and Noise Levels in Secondary School Classrooms in England. J. Acoust. Soc. Am. 2015, 137, 177–188. [Google Scholar] [CrossRef]
- IEC 60268-16; Sound System Equipment—Part 16: Objective Rating of Speech Intelligibility by Speech Transmission Index. International Electrotechnical Commission (IEC): Geneva, Switzerland, 2011.
- Choi, Y.-J. Comparison of Two Types of Combined Measures, STI and U50, for Predicting Speech Intelligibility in Classrooms. Arch. Acoust. 2017, 42, 527–532. [Google Scholar] [CrossRef][Green Version]
- Peng, J.; Yan, N.; Wang, D. Chinese Speech Intelligibility and Its Relationship with the Speech Transmission Index for Children in Elementary School Classrooms. J. Acoust. Soc. Am. 2015, 137, 85–93. [Google Scholar] [CrossRef]
- Sjödin, F.; Kjellberg, A.; Knutsson, A.; Landström, U.; Lindberg, L. Measures against Preschool Noise and Its Adverse Effects on the Personnel: An Intervention Study. Int. Arch. Occup. Env. Health 2014, 87, 95–110. [Google Scholar] [CrossRef] [PubMed]
- Astolfi, A. Trajectories in Classroom Acoustics: The Vocal Behaviour of Teachers. J. Acoust. Soc. Am. 2018, 144, 1977. [Google Scholar] [CrossRef]
- Åström, F.; Björck-Åkesson, E.; Sjöman, M.; Granlund, M. Everyday Environments and Activities of Children and Teachers in Swedish Preschools. Early Child Dev. Care 2022, 192, 187–202. [Google Scholar] [CrossRef]
- Astolfi, A.; Puglisi, G.E.; Murgia, S.; Minelli, G.; Pellerey, F.; Prato, A.; Sacco, T. Influence of Classroom Acoustics on Noise Disturbance and Well-Being for First Graders. Front. Psychol. 2019, 10, 2736. [Google Scholar] [CrossRef]
- Mealings, K.T. Classroom Acoustic Conditions: Understanding What Is Suitable through a Review of National and International Standards, Recommendations, and Live Classroom Measurements. Proceedings of ACOUSTICS 2016, Brisbane, Australia, 9–11 November 2016. [Google Scholar]
- Whitlock, J.A.T.; Dodd, G. Speech Intelligibility in Classrooms: Specific Acoustical Needs for Primary School Children. Build. Acoust. 2008, 15, 35–47. [Google Scholar] [CrossRef]
- Webb, S.; Janus, M.; Duku, E.; Raos, R.; Brownell, M.; Forer, B.; Guhn, M.; Muhajarine, N. Neighbourhood Socioeconomic Status Indices and Early Childhood Development. SSM Popul. Health 2017, 3, 48–56. [Google Scholar] [CrossRef]
- Wei, W.S.; McCoy, D.C.; Busby, A.K.; Hanno, E.C.; Sabol, T.J. Beyond Neighborhood Socioeconomic Status: Exploring the Role of Neighborhood Resources for Preschool Classroom Quality and Early Childhood Development. Am. J. Community Psychol. 2021, 67, 470–485. [Google Scholar] [CrossRef]
- Wheaton, B.; Clarke, P. Space Meets Time: Integrating Temporal and Contextual Influences on Mental Health in Early Adulthood. Am. Sociol. Rev. 2003, 68, 680–706. [Google Scholar] [CrossRef]
- Skolinspektionen (Swedish Schools Inspectorate). Förskolans Kvalitet och Måluppfyllelse—Ett Treårigt Regeringsuppdrag att Granska Förskolan (Preschool Quality and Achievement—A Three-Year Government Assignment to Examine Preschools); Report reference number 2015:3 364; Swedish Schools Inspectorate: Stockholm, Sweden, 2018. [Google Scholar]
- Jorsäter, M. Resursfördelningsmodell Göteborg 2019; Statistiska centralbyrån SCB (Statistics Sweden): Stockholm, Sweden, 2019. [Google Scholar]
- SS-EN ISO 16032:2004; Acoustics—Measurement of Sound Pressure Level from Service Equipment in Buildings—Engineering Method. SIS Swedish Standards Institute: Stockholm, Sweden, 2004.
- SS-EN ISO 3382-2:2008; Acoustics—Measurement of Room Acoustic Parameters—Part 2: Reverberation Time in Ordinary Rooms. SIS Swedish Standards Institute: Stockholm, Sweden, 2008.
- Berzborn, M.; Bomhardt, R.; Klein, J.; Richter, J.-G.; Vorländer, M. The ITA-Toolbox: An Open Source MATLAB Toolbox for Acoustic Measurements and Signal Processing. In Proceedings of the 43th Annual German Congress on Acoustics, Kiel, Germany, 6 March 2017. [Google Scholar]
- SS-EN ISO 3741:2010; Determination of Sound Power Levels and Sound Energy Levels of Noise Sources Using Sound Pressure. Precision Methods for Reverberation Test Rooms. SIS Swedish Standards Institute: Stockholm, Sweden, 2010.
- Fels, J.; Vorlander, M. Anthropometric Parameters Influencing Head-Related Transfer Functions. Acta Acust. United Acust. 2009, 95, 331–342. [Google Scholar] [CrossRef]
- Arvidsson, E. Acoustic Design with Regard to Human Perception. Ph.D. Thesis, Lund University, Lund, Sweden, 2022. [Google Scholar]
- Mealings, K. A Scoping Review of the Effects of Classroom Acoustic Conditions on Primary School Children’s Physical Health. Acoust. Aust. 2022, 50, 373–381. [Google Scholar] [CrossRef]
- Mealings, K.T.; Buchholz, J.M.; Demuth, K.; Dillon, H. Investigating the Acoustics of a Sample of Open Plan and Enclosed Kindergarten Classrooms in Australia. Appl. Acoust. 2015, 100, 95–105. [Google Scholar] [CrossRef]
- Mealings, K.T.; Demuth, K.; Buchholz, J.M.; Dillon, H. The Effect of Different Open Plan and Enclosed Classroom Acoustic Conditions on Speech Perception in Kindergarten Children. J. Acoust. Soc. Am. 2015, 138, 2458–2469. [Google Scholar] [CrossRef]
- Thörn, C.; Thörn, H. Swedish Cities Now Belong to the Most Segregated in Europe. Sociol. Forsk. 2002, 54, 293–296. [Google Scholar] [CrossRef]












| Parameter | Octave Band Frequency Range | Arithmetic Mean | Standard Deviation |
|---|---|---|---|
| T20 (s) | 125 Hz | 0.42 s | 0.10 s |
| 250–4000 Hz | 0.35 s | 0.07 s | |
| 500–1000 Hz | 0.35 s | 0.07 s | |
| EDT (s) | 125 Hz | 0.38 s | 0.09 s |
| 250–4000 Hz | 0.31 s | 0.06 s | |
| 500–1000 Hz | 0.32 s | 0.07 s | |
| G (dB) | 125 Hz | 20.2 dB | 2.9 dB |
| 250–4000 Hz | 18.4 dB | 2.7 dB | |
| 500–1000 Hz | 18.7 dB | 2.7 dB | |
| C50 (dB) | 125 Hz | 8.0 dB | 2.2 dB |
| 250–4000 Hz | 10.2 dB | 2.1 dB | |
| 500–1000 Hz | 10.0 dB | 2.3 dB | |
| Unoccupied A-weighted equivalent sound pressure level LAeq (dB) | 63–8000 Hz | 29 dB | 5 dB |
| Unoccupied C-weighted equivalent sound pressure level LCeq (dB) | 31.5–8000 Hz | 50 dB | 6 dB |
| Parameter | Arithmetic Average in Measurement Set | |
|---|---|---|
| T20 | 125 Hz 1 | 0.41 |
| 250–4000 Hz 1 | 0.36 | |
| 500–1000 Hz 2 | 0.36 | |
| 4000–8000 Hz 4 | 0.32 | |
| EDT | 500–1000 Hz 3 | 0.32 |
| 4000–8000 Hz 4 | 0.27 | |
| G | 500–1000 Hz 3 | 18.5 dB |
| 4000–8000 Hz 4 | 16.3 dB | |
| C50 | 500–1000 Hz 3 | 9.8 dB |
| 4000–8000 Hz 4 | 11.7 dB | |
| Linear Correlation between Socioeconomic Index (SE Index) and Room Acoustic Parameters | ||
|---|---|---|
| Spearman’s rho | p-Value | |
| T20 (125 Hz) | 0.11 | n.s. (0.41) |
| T20 (250–4000 Hz) | 0.07 | n.s. (0.63) |
| T20 (500–1000 Hz) | −0.001 | n.s. (0.99) |
| G (500–1000 Hz) | −0.07 | n.s. (0.60) |
| C50 (500–1000 Hz) | 0.02 | n.s. (0.90) |
| Unoccupied A-weighted level (dBA) | 0.10 | n.s. (0.46) |
| Unoccupied C-weighted level (dBC) | 0.02 | n.s. (0.87) |
Disclaimer/Publisher’s Note: The statements, opinions and data contained in all publications are solely those of the individual author(s) and contributor(s) and not of MDPI and/or the editor(s). MDPI and/or the editor(s) disclaim responsibility for any injury to people or property resulting from any ideas, methods, instructions or products referred to in the content. |
© 2023 by the authors. Licensee MDPI, Basel, Switzerland. This article is an open access article distributed under the terms and conditions of the Creative Commons Attribution (CC BY) license (https://creativecommons.org/licenses/by/4.0/).
Share and Cite
Winroth, J.; Ögren, M.; Glebe, D.; Persson Waye, K. Child-Centred Room Acoustic Parameters of Public Preschools in Sweden. Buildings 2023, 13, 2777. https://doi.org/10.3390/buildings13112777
Winroth J, Ögren M, Glebe D, Persson Waye K. Child-Centred Room Acoustic Parameters of Public Preschools in Sweden. Buildings. 2023; 13(11):2777. https://doi.org/10.3390/buildings13112777
Chicago/Turabian StyleWinroth, Julia, Mikael Ögren, Dag Glebe, and Kerstin Persson Waye. 2023. "Child-Centred Room Acoustic Parameters of Public Preschools in Sweden" Buildings 13, no. 11: 2777. https://doi.org/10.3390/buildings13112777
APA StyleWinroth, J., Ögren, M., Glebe, D., & Persson Waye, K. (2023). Child-Centred Room Acoustic Parameters of Public Preschools in Sweden. Buildings, 13(11), 2777. https://doi.org/10.3390/buildings13112777

