Study on the Frost Resistance of Composite Limestone Powder Concrete against Coupling Effects of Sulfate Freeze–Thaw
Abstract
:1. Introduction
2. Materials and Methods
2.1. Materials
- (1)
- Cementitious material: P.O 42.5 ordinary Portland cement, with specific surface area of 341 m2/kg; limestone powder, with specific surface area of 450 m2/kg; F I grade coal fly ash, with specific surface area of 364 m2/kg; S95 slag, with specific surface area of 435 m2/kg.
- (2)
- Aggregate: coarse aggregate is continuous graded crushed stone with particle size of 5~31.5 mm; the natural river sand is selected as the fine aggregate, with the fineness modulus of 2.69 and the apparent density of 2690 kg/m3.
- (3)
- Mixing water: commonly used tap water.
- (4)
- Water reducer: PCA-I polycarboxylate high-performance water reducer with a value of 28% of water reduction rate [5].
2.2. Methods
3. Results and Discussion
3.1. Apparent Morphology
3.2. Mass Loss
3.3. Relative Dynamic Modulus of Elasticity
- (1)
- The relative dynamic elastic modulus of concrete specimens is related to the density of its internal structure [15,37]. Limestone powder has a certain filling effect at the physical level, which can optimize the particle gradation of the cementitious material system. However, its activity effect at the chemical level is low, which will reduce the relative content of hydration products in unit volume concrete, resulting in a decrease in the compactness of concrete and a decrease in the relative dynamic elastic modulus [41,42]. The chemical response of limestone powder with 10~20% content in concrete is higher than its physical response, and the frost resistance of concrete decreases with the increase in the limestone powder content.
- (2)
- The pozzolanic effects of fly ash and slag increase the secondary hydration products, optimize the pore structure, and improve the compactness of concrete [43,44,45]. However, in the case of the fixed total content of 50%, fly ash is used to replace slag in equal proportion. At the physical level, the specific surface area of fly ash (364 m2/kg) is less than that of slag (435 m2/kg), and its particle filling effect in the cementitious system is lower than that of slag, which will make the internal structure of CLP concrete loose and reduce the compactness. At the chemical level, the activity of fly ash is lower than that of slag, thereby reducing the hydration products in CLP concrete and increasing the porosity.
- (3)
- Sulfate has a certain stimulating effect on the hydration activity of slag in Portland cement [46,47]. As a result, the incorporation of slag in concrete can effectively improve the relative dynamic elastic modulus of the specimens under freeze–thaw cycles, and the improvement effect under the salt freezing cycles is better than that under the water freezing cycles.
3.4. Compressive Strength
4. Micro-Degradation Mechanism Analysis
4.1. Analysis of SEM
4.2. Analysis of XRD
4.3. Analysis of MIP
4.4. Analysis of Mechanism
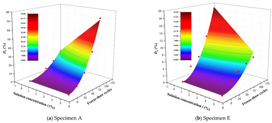
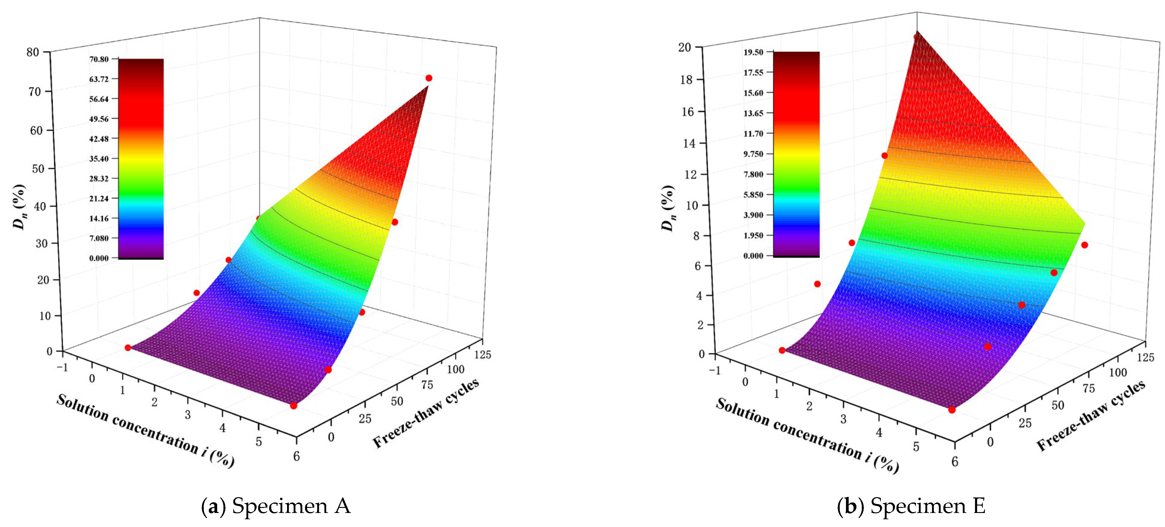
5. Model of Freeze–Thaw Damage
6. Conclusions
- (1)
- Limestone powder has a filling effect, but the activity is low. When the content is between 10~20%, the chemical response is higher than the physical response. The pozzolanic effects of fly ash and slag increase the secondary hydration products, optimize the pore structure, and improve the compactness. The “superposition effect” of limestone powder, fly ash, and slag can optimize the frost resistance of CLP concrete.
- (2)
- In the case of the fixed total content, fly ash replaces slag in equal proportion. At the physical level, the fineness of fly ash is less than that of slag, which will make the internal structure of CLP concrete loose and reduce the compactness. At the chemical level, the activity of fly ash is lower than that of slag, thereby reducing the hydration products in CLP concrete and increasing the porosity. Therefore, the frost resistances of the CLP concrete follow the indicated order: L20F0S30 > L20F15S15 > L20F30S0.
- (3)
- The coupling effect of freeze–thaw damage and sulfate attack makes the damage of salt freezing cycles to the frost resistance of CLP concrete greater than that under water freezing cycles. However, the activation of sulfate can enhance the activity effect of slag, so that the effect of slag on improving the frost resistance of concrete under salt freezing cycles is better than that of water freezing cycles.
- (4)
- Based on the theory of damage mechanics, the freeze–thaw damage model of CLP concrete was established. Considering different freeze–thaw conditions, the damage variable values of L0F0S0, L20F0S30, and L20F15S15 specimens under freeze–thaw cycles are fitted, and the fitting effect is better. However, mineral admixtures have a great influence on the frost resistance of concrete. With the increase in mineral admixtures, the applicability of this presented model might need more research effort.
Author Contributions
Funding
Data Availability Statement
Conflicts of Interest
References
- Golaszewski, J.; Golaszewska, M.; Cygan, G. Performance of ordinary and self-compacting concrete with limestone after freeze-thaw cycles. Buildings 2022, 12, 2003. [Google Scholar] [CrossRef]
- Junfang, H.U.O.; Zhang, S.; Jian, W.E.I.; Qi, C.U.I.; Hua, P.A.N. Experimental study on impermeability of concrete mixed with limestone powder. In Proceedings of the International Conference on Architectural Engineering and Civil Engineering (AECE) 2016, Singapore, 25–26 April 2016; pp. 236–239. [Google Scholar]
- Wang, S.; Llamazos, E.; Baxter, L.; Fonseca, F. Durability of biomass fly ash concrete: Freezing and thawing and rapid chloride permeability tests. Fuel 2008, 87, 359–364. [Google Scholar] [CrossRef]
- Chen, T. Study on full-slag concrete feasibility. In Proceedings of the 2nd International Conference on Advanced Engineering Materials and Technology (AEMT), Zhuhai, China, 6–8 July 2012; pp. 1682–1685. [Google Scholar]
- Wu, Y.; Tang, P.; Lv, H.; Wei, W.; Zhou, S.; Liu, K. Degradation of the bond performance between composite limestone powder concrete and steel bars under a sulfate freeze-thaw environment. Constr. Build. Mater. 2023, 369, 130515. [Google Scholar] [CrossRef]
- Dvorkin, L. Design estimation of concrete frost resistance. Constr. Build. Mater. 2019, 211, 779–784. [Google Scholar] [CrossRef]
- Piekarczyk, A.; Lazniewska-Piekarczyk, B. Impact of self-compacting concrete admixtures on frost resistance and compressive strength-commensurability of frost resistance criteria. Materials 2021, 14, 2922. [Google Scholar] [CrossRef]
- Yao, Y.; Liu, C.; Liu, H.; Zhang, W.; Hu, T. Deterioration mechanism understanding of recycled powder concrete under coupled sulfate attack and freeze-thaw cycles. Constr. Build. Mater. 2023, 388, 131718. [Google Scholar] [CrossRef]
- Zeng, H.; Li, Y.; Zhang, J.; Chong, P.; Zhang, K. Effect of limestone powder and fly ash on the pH evolution coefficient of concrete in a sulfate- freeze-thaw environment. J. Mater. Res. Technol. 2022, 16, 1889–1903. [Google Scholar] [CrossRef]
- Wang, D.; Shi, C.; Farzadnia, N.; Shi, Z.; Jia, H.; Ou, Z. A review on use of limestone powder in cement-based materials: Mechanism, hydration and microstructures. Constr. Build. Mater. 2018, 181, 659–672. [Google Scholar] [CrossRef]
- Matschei, T.; Lothenbach, B.; Glasser, F.P.P. The role of calcium carbonate in cement hydration. Cem. Concr. Res. 2007, 37, 551–558. [Google Scholar] [CrossRef]
- Mikhlif, A.-G.H.; Al-Jumaily, I.A.; Al-Numan, B.S. Mechanical properties of sustainable concrete using local limestone powder as partial replacement of cement. In Proceedings of the 12th International Conference on the Developments in eSystems Engineering (DeSE), Kazan, Russia, 7–10 October 2019; pp. 105–108. [Google Scholar]
- Adu-Amankwah, S.; Zajac, M.; Stabler, C.; Lothenbach, B.; Black, L. Influence of limestone on the hydration of ternary slag cements. Cem. Concr. Res. 2017, 100, 96–109. [Google Scholar] [CrossRef]
- Martin, L.H.; Winnefeld, F.; Müller, C.J.; Lothenbach, B. Contribution of limestone to the hydration of calcium sulfoaluminate cement. Cem. Concr. Compos. 2015, 62, 204–211. [Google Scholar] [CrossRef]
- Zhang, S.; Chen, B.; Tian, B.; Lu, X.; Xiong, B. Effect of fly ash content on the microstructure and strength of concrete under freeze-thaw condition. Buildings 2022, 12, 2113. [Google Scholar] [CrossRef]
- Panesar, D.K.; Zhang, R. Performance comparison of cement replacing materials in concrete: Limestone fillers and supplementary cementing materials—A review. Constr. Build. Mater. 2020, 251, 118866. [Google Scholar] [CrossRef]
- Huang, Z.; Sookree, E.W.; Mohamoud, A.H.; Wang, Z. Influence of limestone powder and fly ash on the freezing and thawing resistance of roller-compacted concrete. KSCE J. Civ. Eng. 2021, 25, 2501–2507. [Google Scholar] [CrossRef]
- Rathod, R.S.B.; Sahoo, P.; Gupta, S. Effect of microcrystalline cellulose on rheology, hydration kinetics and early-age properties of Portland cement-based and alkali-activated slag-fly ash blend. J. Build. Eng. 2023, 76, 107218. [Google Scholar] [CrossRef]
- Irassar, E.F. Sulfate attack on cementitious materials containing limestone filler—A review. Cem. Concr. Res. 2009, 39, 241–254. [Google Scholar] [CrossRef]
- Sun, J.; Chen, Z. Influences of limestone powder on the resistance of concretes to the chloride ion penetration and sulfate attack. Powder Technol. 2018, 338, 725–733. [Google Scholar] [CrossRef]
- Li, X.-Y.; Chen, W.-Y.; Chen, W.-M. Multi-powder dam concrete with high performance and low adiabatic temperature rise. Trans. Nonferrous Met. Soc. China 2009, 19, S727–S733. [Google Scholar] [CrossRef]
- Tremiño, R.M.; Real-Herraiz, T.; Letelier, V.; Ortega, J.M. Microstructure and mechanical properties of ternary mortars with brick powder, glass powder, slag, fly ash, and limestone. Int. J. Appl. Ceram. Technol. 2022, 19, 2135–2147. [Google Scholar] [CrossRef]
- Donza, H.; Cabrera, O.; Irassar, E.F. High-strength concrete with different fine aggregate. Cem. Concr. Res. 2002, 32, 1755–1761. [Google Scholar] [CrossRef]
- Wang, R.; Zhang, Q.; Li, Y. Deterioration of concrete under the coupling effects of freeze-thaw cycles and other actions: A review. Constr. Build. Mater. 2022, 319, 126045. [Google Scholar] [CrossRef]
- Xiao, Q.H.; Li, Q.; Cao, Z.Y.; Tian, W.Y. The deterioration law of recycled concrete under the combined effects of freeze-thaw and sulfate attack. Constr. Build. Mater. 2019, 200, 344–355. [Google Scholar] [CrossRef]
- Tsivilis, S.; Batis, G.; Chaniotakis, E.; Grigoriadis, G.; Theodossis, D. Properties and behavior of limestone cement concrete and mortar. Cem. Concr. Res. 2000, 30, 1679–1683. [Google Scholar] [CrossRef]
- Adu-Amankwah, S.; Zajac, M.; Skoček, J.; Němeček, J.; Haha, M.B.; Black, L. Combined influence of carbonation and leaching on freeze-thaw resistance of limestone ternary cement concrete. Constr. Build. Mater. 2021, 307, 125087. [Google Scholar] [CrossRef]
- Tikkanen, J.; Cwirzen, A.; Penttala, V. Freeze-thaw resistance of normal strength powder concretes. Mag. Concr. Res. 2015, 67, 71–81. [Google Scholar] [CrossRef]
- JGJ 55-2011; Design of Ordinary Concrete Proportions. China State Construction, Engineering and Construction Industry Press: Beijing, China, 2011.
- Wang, X.-Y.; Luan, Y. Modeling of hydration, strength development, and optimum combinations of cement-slag-limestone ternary concrete. Int. J. Concr. Struct. Mater. 2018, 12, 1–13. [Google Scholar] [CrossRef]
- Zhou, J.; Qian, S.; Sierra Beltran, M.G.; Ye, G.; van Breugel, K.; Li, V.C. Development of engineered cementitious composites with limestone powder and blast furnace slag. Mater. Struct. 2010, 43, 803–814. [Google Scholar] [CrossRef]
- GB/T 50082-2009; Standard for Long-Term Performance and Durability Test Methods for Ordinary Concrete. China State Construction, Engineering and Construction Industry Press: Beijing, China, 2009.
- Li, W.; Liu, H.; Zhu, B.; Lyu, X.; Gao, X.; Liang, C. Mechanical properties and freeze-thaw durability of basalt fiber reactive powder concrete. Appl. Sci. 2020, 10, 5682. [Google Scholar] [CrossRef]
- Cheng, H.; Liu, T.; Zou, D.; Zhou, A. Compressive strength assessment of sulfate-attacked concrete by using sulfate ions distributions. Constr. Build. Mater. 2021, 293, 123550. [Google Scholar] [CrossRef]
- GB/T 50081-2019; Standard for Test Methods of Physical and Mechanical Properties of Concrete. China Stat Construction, Engineering and Construction Industry Press: Beijing, China, 2019.
- Chen, X.; Chen, C.; Liu, Z.; Lu, J.; Fan, X. Compressive behavior of concrete under high strain rates after freeze-thaw cycles. Comput. Concr. 2018, 21, 209–217. [Google Scholar]
- Zhang, W.; Pi, Y.; Kong, W.; Zhang, Y.; Wu, P.; Zeng, W.; Yang, F. Influence of damage degree on the degradation of concrete under freezing-thawing cycles. Constr. Build. Mater. 2020, 260, 119903. [Google Scholar] [CrossRef]
- Wang, Y.; Liu, Z.; Fu, K.; Li, Q.; Wang, Y. Experimental studies on the chloride ion permeability of concrete considering the effect of freeze-thaw damage. Constr. Build. Mater. 2020, 236, 11755. [Google Scholar] [CrossRef]
- Yao, X.; Zhang, M.; Guan, J.; Li, L.; Bai, W.; Liu, Z. Research on the corrosion damage mechanism of concrete in two freeze-thaw environments. Adv. Civ. Eng. 2020, 2020, 1–11. [Google Scholar] [CrossRef]
- Liu, H.; Huang, Q.; Zhao, L. Deterioration of concrete containing limestone powder exposed to sulfate attack at ambient temperature. Mater. Express 2021, 11, 724–731. [Google Scholar] [CrossRef]
- Wang, Q.; Yang, J.; Chen, H. Long-term properties of concrete containing limestone powder. Mater. Struct. 2017, 50, 1–13. [Google Scholar] [CrossRef]
- Wang, D.; Shi, C.; Farzadnia, N.; Shi, Z.; Jia, H. A review on effects of limestone powder on the properties of concrete. Constr. Build. Mater. 2018, 192, 153–166. [Google Scholar] [CrossRef]
- Sun, C.; Li, W.; Hou, B. Study on frost-salt resistance of fly ash concrete. Adv. Mater. Res. 2012, 598, 432–437. [Google Scholar] [CrossRef]
- Shpak, A.; Gong, F.; Jacobsen, S. Frost durability of high-volume fly ash concrete: Relation liquid transport-damage. Cem. Concr. Res. 2023, 163, 107017. [Google Scholar] [CrossRef]
- Xu, O.; Han, S.; Liu, Y.; Li, C. Experimental investigation surface abrasion resistance and surface frost resistance of concrete pavement incorporating fly ash and slag. Int. J. Pavement Eng. 2021, 22, 1858–1866. [Google Scholar] [CrossRef]
- Alyousef, R.; Abbass, W.; Aslam, F.; Gillani, S.A.A. Characterization of high-performance concrete using limestone powder and supplementary fillers in binary and ternary blends under different curing regimes. Case Stud. Constr. Mater. 2023, 18, e02058. [Google Scholar] [CrossRef]
- Wang, C.; Jin, Z.; Liu, G.; Dong, W.; Pang, B.; Ding, X. Mechanisms of chloride transport in low carbon marine concrete: An alkali-activated slag system with high limestone powder. J. Build. Eng. 2023, 72, 106539. [Google Scholar] [CrossRef]
- Liu, S.H.; Wang, L. Influence of limestone powder on hydration properties of complex binders. Mater. Res. Innov. 2014, 18, 186–190. [Google Scholar] [CrossRef]
- Shen, H.; Jiang, Y.; Xia, J. The relationship between the air void system and frost-salt resistance of concrete. In Proceedings of the 5th International Conference on Advanced Design and Manufacturing Engineering (ICADME), Shenzhen, China, 19–20 September 2015; pp. 1060–1064. [Google Scholar]
- Voyiadjis, G.Z.; Kattan, P.I. Damage Mechanics; CRC Press: Boca Raton, FL, USA, 2005. [Google Scholar]
- Yu, H.; Ma, H.; Yan, K. An equation for determining freeze-thaw fatigue damage in concrete and a model for predicting the service life. Constr. Build. Mater. 2017, 137, 104–116. [Google Scholar] [CrossRef]















| Number | Water–Binder Ratio | Material Consumption Per Unit Volume (kg/m3) | fcu (MPa) | |||||||
|---|---|---|---|---|---|---|---|---|---|---|
| Cement | Ground Limestone | Fly Ash | Slag | Sand | Stone | Water | Additives | |||
| L0F0S0 | 0.49 | 345 | 0 | 0 | 0 | 765 | 1110 | 170 | 4.49 | 46.3 |
| L10F0S0 | 0.49 | 310 | 35 | 0 | 0 | 765 | 1110 | 170 | 4.49 | 41.8 |
| L20F0S0 | 0.49 | 276 | 69 | 0 | 0 | 765 | 1110 | 170 | 4.49 | 35.3 |
| L20F30S0 | 0.49 | 173 | 69 | 103.6 | 0 | 765 | 1110 | 170 | 4.49 | 23.7 |
| L20F0S30 | 0.49 | 173 | 69 | 0 | 103.6 | 765 | 1110 | 170 | 4.49 | 35.6 |
| L20F15S15 | 0.49 | 173 | 69 | 51.8 | 51.8 | 765 | 1110 | 170 | 4.49 | 32.3 |
| Research Content | Number | Limestone Powder Mixing Amount (%) | Fly Ash Mixing Amount (%) | Slag Mixing Amount (%) | Number of Freeze–Thaw Cycles (Times) | Testing Numbers (Groups) |
|---|---|---|---|---|---|---|
| Relative dynamic elastic modulus and mass loss | A-DZ-HX | 0 | 0 | 0 | 25, 50, 75, 100 | 1 |
| B-DZ-HX | 10 | 0 | 0 | 1 | ||
| C-DZ-HX | 20 | 0 | 0 | 1 | ||
| D-DZ-HX | 20 | 30 | 0 | 1 | ||
| E-DZ-HX | 20 | 0 | 30 | 1 | ||
| F-DZ-HX | 20 | 15 | 15 | 1 | ||
| A-DZ-YX | 0 | 0 | 0 | 1 | ||
| B-DZ-YX | 10 | 0 | 0 | 1 | ||
| C-DZ-YX | 20 | 0 | 0 | 1 | ||
| D-DZ-YX | 20 | 30 | 0 | 1 | ||
| E-DZ-YX | 20 | 0 | 30 | 1 | ||
| F-DZ-YX | 20 | 15 | 15 | 1 | ||
| Compressive strength | A-KY-HX | 0 | 0 | 0 | 25, 50, 75, 100 | 5 |
| B-KY-HX | 10 | 0 | 0 | 5 | ||
| C-KY-HX | 20 | 0 | 0 | 5 | ||
| D-KY-HX | 20 | 30 | 0 | 5 | ||
| E-KY-HX | 20 | 0 | 30 | 5 | ||
| F-KY-HX | 20 | 15 | 15 | 5 | ||
| A-KY-YX | 0 | 0 | 0 | 4 | ||
| B-KY-YX | 10 | 0 | 0 | 4 | ||
| C-KY-YX | 20 | 0 | 0 | 4 | ||
| D-KY-YX | 20 | 30 | 0 | 4 | ||
| E-KY-YX | 20 | 0 | 30 | 4 | ||
| F-KY-YX | 20 | 15 | 15 | 4 |
| Number | Porosity (%) | Total Pore Volume (mL/g) | Total Pore Area (m2/g) | Most Probable Pore Size (nm) | Critical Pore Size (nm) | Average Pore Size (nm) | Medium Pore Diameter (nm) |
|---|---|---|---|---|---|---|---|
| L0F0S0 | 16.53 | 0.0682 | 5.947 | 121.83 | 182.03 | 55.7 | 112.4 |
| L10F0S0 | 20.47 | 0.0981 | 9.897 | 100.23 | 170.32 | 40.3 | 72.1 |
| L20F0S0 | 22.13 | 0.1351 | 7.526 | 115.43 | 179.67 | 49.4 | 90.2 |
| L20F30S0 | 21.53 | 0.1022 | 8.753 | 107.21 | 177.93 | 44.5 | 84.3 |
| L20F0S30 | 18.69 | 0.0940 | 11.936 | 78.34 | 120.79 | 31.6 | 57.1 |
| L20F15S15 | 19.33 | 0.0965 | 10.082 | 95.53 | 150.97 | 36.9 | 64.3 |
| Number | Limestone Powder Mixing Amount (%) | Fly Ash Mixing Amount (%) | Slag Mixing Amount (%) | Freeze–Thaw Conditions | Dn (%) at Different Numbers of Freeze–Thaw Cycles | ||||
|---|---|---|---|---|---|---|---|---|---|
| 0 Times | 25 Times | 50 Times | 75 Times | 100 Times | |||||
| A-DZ-HX | 0 | 0 | 0 | Water freezing cycle | 0 | −2.46 | 8.24 | 14.57 | 23.89 |
| B-DZ-HX | 10 | 0 | 0 | 0 | 5.21 | 13.12 | 18.30 | 27.12 | |
| C-DZ-HX | 20 | 0 | 0 | 0 | 5.88 | 24.8 | 34.51 | 55.41 | |
| D-DZ-HX | 20 | 30 | 0 | 0 | 9.13 | 13.87 | 23.62 | 34.27 | |
| E-DZ-HX | 20 | 0 | 30 | 0 | 3.68 | 5.73 | 11.17 | 18.91 | |
| F-DZ-HX | 20 | 15 | 15 | 0 | 3.64 | 5.83 | 13.71 | 21.89 | |
| A-DZ-YX | 0 | 0 | 0 | Salt freezing cycle | 0 | 5.00 | 16.37 | 37.05 | 72.43 |
| B-DZ-YX | 10 | 0 | 0 | 0 | 1.29 | 18.49 | 33.60 | / | |
| C-DZ-YX | 20 | 0 | 0 | 0 | 2.46 | 64.94 | / | / | |
| D-DZ-YX | 20 | 30 | 0 | 0 | 3.53 | 62.56 | / | / | |
| E-DZ-YX | 20 | 0 | 30 | 0 | 2.95 | 4.67 | 5.90 | 6.92 | |
| F-DZ-YX | 20 | 15 | 15 | 0 | 5.93 | 7.04 | 7.72 | 7.04 | |
| Specimen | Freeze–Thaw Damage Models | Correlation Coefficient R2 |
|---|---|---|
| A | 0.9919 | |
| E | 0.9076 | |
| F | 0.8194 |
Disclaimer/Publisher’s Note: The statements, opinions and data contained in all publications are solely those of the individual author(s) and contributor(s) and not of MDPI and/or the editor(s). MDPI and/or the editor(s) disclaim responsibility for any injury to people or property resulting from any ideas, methods, instructions or products referred to in the content. |
© 2023 by the authors. Licensee MDPI, Basel, Switzerland. This article is an open access article distributed under the terms and conditions of the Creative Commons Attribution (CC BY) license (https://creativecommons.org/licenses/by/4.0/).
Share and Cite
Zhang, M.; Lv, H.; Zhou, S.; Wu, Y.; Zheng, X.; Yan, Q. Study on the Frost Resistance of Composite Limestone Powder Concrete against Coupling Effects of Sulfate Freeze–Thaw. Buildings 2023, 13, 2776. https://doi.org/10.3390/buildings13112776
Zhang M, Lv H, Zhou S, Wu Y, Zheng X, Yan Q. Study on the Frost Resistance of Composite Limestone Powder Concrete against Coupling Effects of Sulfate Freeze–Thaw. Buildings. 2023; 13(11):2776. https://doi.org/10.3390/buildings13112776
Chicago/Turabian StyleZhang, Mingming, Henglin Lv, Shuchun Zhou, Yuanzhou Wu, Xiaowei Zheng, and Qiyao Yan. 2023. "Study on the Frost Resistance of Composite Limestone Powder Concrete against Coupling Effects of Sulfate Freeze–Thaw" Buildings 13, no. 11: 2776. https://doi.org/10.3390/buildings13112776
APA StyleZhang, M., Lv, H., Zhou, S., Wu, Y., Zheng, X., & Yan, Q. (2023). Study on the Frost Resistance of Composite Limestone Powder Concrete against Coupling Effects of Sulfate Freeze–Thaw. Buildings, 13(11), 2776. https://doi.org/10.3390/buildings13112776

