Abstract
To study the life-cycle seismic reliability analysis (SRA) of cable-stayed bridges (CSBs) taking into account chloride-induced corrosion and degradation of components, an actual railway CSB with uncertainties in structural geometry and material corrosion coefficients was employed in this investigation, and time-dependent models of CSB components at different service times were studied. Based on the OpenSees batch program, we adapted a mass numerical computation to obtain time-dependent non-linear seismic response and probability density function (PDF) of response via the multiplier dimensional-reduction method (MDRM) and the maximum entropy method with fractional moments (FM-MEM). Next, the time-dependent failure possibility of every component and the association coefficient between the failure modes of different parts were acquired. In the end, the product of the conditional marginal (PCM) approach was employed to obtain the life-cycle failure possibility of the CSB system. The results showed that the system failure possibility of the CSB in a corrosive environment increases significantly with increasing servicing time.
1. Introduction
Cable-stayed bridges (CSBs) show excellent merits in terms of their beautiful appearance, great spanning capacity, and fast construction. Hence, CSBs are extensively applied in many states as elements of railway and highway transportation networks [1] Recently, seismic activity has become more frequent, and many CSBs have been damaged by earthquakes. The seismic behavior of CSBs under earthquake loading and extreme earthquake events has been a significant issue and has been widely studied by researchers from different perspectives [2]. The increasing deterioration of transoceanic CSBs due to aging and chloride-induced corrosion has led to a decrease in their seismic performance with increasing service life [3].
Because of uncertainties associated with structures, ground motions, and the corrosion of materials, the seismic performance of corrosive bridges should be investigated using probabilistic analysis methods [4,5]. In the probabilistic analysis approach, the seismic reliability analysis (SRA) of structures is the major methodology to evaluate the probability that the structural seismic need does not surpass the related structural ability [6]. The SRA of long-span CSBs with multiple components and multiple failure models has always been a great challenge to scholars and engineers. The life-cycle SRA of bridge systems considering the time-dependent characteristics of materials degradation is a crucial and challenging research topic.
At present, most researchers focus on the life-cycle seismic reliability of bridge systems on small-span bridges, for instance, continuous girder bridges and rigid frame bridges. Initially, a system reliability analysis method was developed by Estes and Frangopol, including both ultimate and serviceability limit situations, in order to decrease the life-cycle cost of a deteriorating structure, providing great merits, including a proper evaluation of the assumed risk of failure. Then, Biondini et al. [7] examined the time evolution of the uncertainty roles related to various coefficients defining the probabilistic structural performance of two CSBs in Italy. This research put forward a universal methodology for the time-varying reliability exploration of concrete structures that suffer diffusive attacks. Ghosh et al. [8] developed time-dependent seismic fragility curves of multi-span continuous steel girder bridges, accounting for variation in ground motion and corrosion parameters. They illustrated the impact of aging on not only components but also on system reliability.
Li et al. [9] researched different ground motions in space, and the time dependence and seismic fragility of reinforced concrete bridges corroded by chloride. In probabilistic finite element modeling of different life-cycle time nodes, the time-varying characteristics of chloride corrosion and the non-determinacy associated with the structural, material, and corrosion coefficients of reinforced concrete bridges are considered. After the presentation of a copula technique at the bridge system level by Song et al. [10], time-variant seismic fragility curves for corroded bridges at the system level were developed, which took realistic time-ranging dependence among component seismic needs into consideration. On the basis of mechanisms of material metamorphism and incremental dynamic changes, the time-evolving seismic needs of parts were acquired in the form of boundary possibility distributions. The classical time-invariant structural design criteria and methodologies need to be revised to account for the proper modeling of a structural system over its entire life-cycle by taking into account the effects of deterioration processes, time-variant loadings, and maintenance and repair interventions, among others [3]. Ang et al. [11] proposed that due to uncertainties in material and geometrical properties in the physical models of the deterioration processes; in the mechanical and environmental stressors; and in modeling loads, resistances and load effects, a measure of the time-variant structural performance is realistically possible only in probabilistic terms. In addition, the illustration of concepts and approaches is made on both single bridges and bridge networks. To evaluate the life-cycle performance of a malignant bridge built with FRC piers, Pang et al. [12] proposed a probabilistic methodology. The role of the corrosive environment in the seismic performance of RC bridges was assessed under uncertainty through the seismic resilience framework.
Following up, Biondini et al. [13] put forward that for progressive deterioration, the time-variant properties of structures are mostly modeled explicitly and continuously in the time horizon of interest. Given the many uncertainties involved in the prediction, time-variant reliability analysis is often used to consider detrimental effects due to progressive deterioration. Xin et al. [14] put forward an integrated optimization scheme based on reliability, taking into account the life-cycle cost. Complex and non-linear problems can be conducted using the powerful capacity of Artificial Neural Networks (ANNs), which are carried out to forecast the performance of asphalt pavement on the basis of the training information chosen from the long-term pavement performance plan. Another time-dependent seismic fragility assessment framework was proposed by Li et al. [15], which takes into account the variable association of random structural coefficients for aging highway bridges subject to non-uniform corrosion attacks induced by chloride.
As discussed above, the life-cycle SRA of bridges is an exciting and critical topic for the safety evaluation of structures. It is still an open challenge affected by multiple uncertainties, especially for complex non-linear systems, such as long-span CSBs. In addition, in the past, there have been few and limited life-cycle SRAs of CSBs, taking into account the double uncertainties of structural and ground motions. On the other hand, during the long servicing period, CSBs affected by the corrosion environment and inevitably suffer dynamic loading action, such as earthquake events. Furthermore, due to the influence of chloride ion-induced corrosion, the stiffness and strength of structural components will be degraded at different service times, and the corresponding seismic resistance performance of structural components will also be weakened. At the same time, as a high-order statically indeterminate structure, the failure of a particular component of the CSB does not mean the collapse of the overall structure, so the life-cycle SRA of the structure system takes into account structural materials degradation has always been a hot and challenging research issue. Therefore, this study aims at promoting practical applications of the SRA theory by developing an efficient life-cycle framework for seismic reliability analysis of complicated bridges taking into account material corrosion and double uncertainties of bridge and ground motions. Based on the OpenSees software, the SRA of a railway CSB was researched. The current research provides a direct framework for the discussion of the probabilistic seismic performance of CSB to consult the seismic probability design.
The manuscript is organized below. Section 2 sums up the fundamental theory and methodology of seismic reliability analysis, such as the multiplier dimensional reduction methods (MDRM), the maximum entropy approach based on the fractional moments (FM-MEM), and the product of the conditional marginal (PCM) approach. Section 3 introduces the basic theory of the principal component time-varying model. The finite element model is based on OpenSees, the time-dependent models of principal components. Section 4 summarizes the failure modes of vulnerable components. The probability density function (PDF) of structural seismic response and failure possibility of components and systems at a different servicing time can be found in Section 5. Some critical conclusions are summarized in the final section.
2. The Seismic Reliability Theory of Structural System
2.1. Assessment of the Statistical Response Moments
As stated by the references [16,17,18,19], the M-DRM approach can logarithmically convert the response function. For simple calculation, Gauss quadrature formulas can be numerically integrated rather than one-dimensional integration. For instance, a kth moment of an ith cut function can be near a weighted sum:
where L means Gauss finds the number of points of intersection and stands for the weights and coordinates of the Gauss quadrature points () and () are the structural response when the cutting function is located at Gauss quadrature point.
2.2. Response Function Probability Distribution via Maximum Entropy Method
The maximum entropy coefficient of the optimum proposal proposed by Zhang and Pandey [16] as:
In this investigation, the Erdogmus calculation approach of Li et al. [20], which increases computation efficiency while guaranteeing calculation accuracy, has been used as the foundation for the single-cycle strategy to solve FM-MEM. The initial FM-MEM double-loop optimization problem can be transformed into a single-loop optimization problem as follows:
2.3. The Product of the Conditional Marginal Approach
For parallel systems, the approximate calculation of every conditional probability is calculated as follows [21,22]:
Which, is a reliable indicator of structural system failure modes, denotes the correlation coefficient matrix between failure modes, denotes the accumulative distribution function of the dimensional normal distribution. The failure probability of the series system is calculated by the formula:
where is calculated as shown in Equation (18), and the subsequent coefficient calculations all refer to the parallel system.
The M-DRM can be considered a viable approach for the probabilistic finite element analysis of large-scale structures since it is the efficient, easily applicable, and computationally economical approach. The derivation is based on the maximum entropy principle in which constraints are specified in terms of the fractional moments (FM-MEM). The fractional moments are much more effective in modeling the distribution tail than the integer moments. M-DRM together with FM-MEM provides the probability distribution of the structural response. The probability of failure can be calculated based on this distribution, which is hard to estimate in FEA since the limit state function is usually defined in an implicit form.
3. The Corrosion-Induced Deterioration Modeling of Concrete Bridge
3.1. The Diffusion and Corrosion Mechanism of Chloride Ions
Assuming that concrete is a semi-infinite solid, on the basis of Fick’s second law of diffusion, the diffusion equation of chloride ions into concrete components can be expressed as [23]:
where means the diffusion parameter, means the chloride ion concentration, and is the thickness of the concrete protective cover.
According to the reference [24], the time-dependent chloride diffusion coefficient can be represented as:
where means the diffusion parameter at the reference time , denotes the age of the concrete exposed to the chloride environment, denotes the time factor, denotes the temperature effect parameter, which can be expressed as [25]:
where refers to the fitting coefficient, and stands for the ambient temperature. Under natural conditions, when the chloride ion concentration is relatively low in the region, the chloride ion diffusion coefficients can generally be assumed to be a constant.
The chloride ion concentration at any time can be indicated as:
where means the initial chloride ion concentration in concrete, is the chloride ion concentration on the concrete surface, is the Gaussian error function, and its expression is .
In addition, the initial time of steel corrosion can be calculated as [8,26]:
where denotes the start time of erosion, indicates the balanced surface chloride ion concentration of the concrete, refers to the critical chloride ion concentration that causes the cover layer to dissolve and initiate corrosion, and represents the Gaussian error function.
3.2. Time-Dependent Model of Reinforced Bar Corrosion
According to the previous investigation, the loss of the cross-sectional region of the reinforcement in the component with time can be represented as [27]:
indicates the initial section area of the reinforcement, represents the service time of the reinforcement, and represents the corrosion rate. denotes the cross-sectional area of the reinforcement at time , which can be displayed as follows:
In which:
where is the water-cement proportion of concrete components, whose value is 0.5 as well as with the value of 2.618 in this Equation (33).
On the other hand, the yield strength of corroded rebar is calculated as follows [28]:
Which, means the yield strength of the reinforce at the time considering corrosion, represents the initial yield strength of the steel bar, and is the empirical coefficient. In the study of Du [29], the value is usually 0.005.
3.3. Time-Dependent Model of Concrete Corrosion
The concrete compression strength also reduces with time because of the corrosion of steel bars [30]. The compressive strength of covered concrete subjected to chloride ion corrosion can be computed as follows [31]:
where means the strain of concrete at the peak compressive stress. . represents the parameter of the bar roughness and diameter. means the amount of reinforcement in the compressed area. stands for the proportion of volume expansion of the oxides to the raw material. means the original section width in mm. refers to the depth of corrosion, which can be calculated with Equation (33). Based on the cover concrete, the Kent-Scott-Park model [32] can be adapted to calculate the core concrete strength, in which the deterioration of the stirrups is considered.
Except for the decrease in compressive strength of concrete, the crack width of the corroded concrete members can be calculated as follows [33] (Vidal et al., 2004):
where denotes the empirical coefficient, denotes the loss of the reinforcement cross-section in mm2, and represents the critical loss of the bar for crack initiation.
Corrosion degradation in steel reinforcement is primarily caused by factors such as cracking of the concrete protective layer. In particular, for bridges located in complex environments, such as coastal areas, chloride ions can penetrate the concrete cover and cause varying degrees of corrosion in the steel reinforcement, leading to degradation in mechanical performance. To prevent steel corrosion, measures can be taken, such as increasing the thickness of the concrete protective layer for piers and columns in coastal bridges, as well as incorporating corrosion-resistant additives into the concrete of the protective layer to enhance the overall corrosion resistance of the components.
3.4. Time-Dependent Model of Rubber Bearing
According to the references [34,35,36], the stiffness of rubber bearings increases with the increase of the hardness of rubber material. Referring to He’s research results [34], the time-varying dependent stiffness of rubber bearings can be expressed as:
Equation (17) represents the horizontal shear stiffness ratio of the bearing and is the servicing time of the rubber bearing in a corrosive environment. Equation (17) can be used to obtain the horizontal shear stiffness ratio at each service time.
3.5. Time-Dependent Model of Cable
Corrosion reduces the cable section and also has a remarkable effect on fatigue resistance and ductility of cable. The decreasing rate of the corroded cable section can be defined as:
where denotes the decreasing rate of the cable section corrosion, denotes the service time, denotes the cable section area at , and stands for the initial cable section area.
3.5.1. High-Density Polyethylene (HDPE) Sheath Destruction Stage
The main damage modes of High-density Polyethylene (HDPE) sheathing include brittle failure and ductile failure. Lu and Brown [37] indicated that the following formula could characterize the life of HDPE sheathing:
In the Equation (19), denotes the initial defect formation time. represents the extended life of the damaged sheath in the service environment. Based on the previous study [37], the single-layer HDPE sheath damage time is generally 6–8 through random sampling. Thus, the damage time of double-layer HDPE is set to 16 years in this investigation.
3.5.2. Corrosion Stage of Galvanized Steel Wire
When the HDPE is not corroded, the galvanized steel wire will be directly exposed to air. As a preliminary consideration, the following equation can be adapted to express the corrosion rate under different conditions [38]:
where is the temperature adjustment coefficient. denotes the corrosion rate under the test temperature. Combined with the climate zone division of the bridge site, calculate the corrosion rate of different environments in a year, the corresponding environmental sample days of corrosion volume connected to the annual corrosion rate:
where refers to the annual corrosion rate, stands for the corrosion rate of the galvanized layer under the first environmental sample, and is the number of days in a year for the environmental example. denotes the thickness of the galvanized layer.
3.5.3. Corrosion Stage of Steel Wire
The steel wire corrodes when the local galvanized steel layer is completely corroded. Consider the effective cross-sectional area of corroded reinforcement can be expressed as [38]:
where stands for the average corrosion depth at time t. means the cross-sectional region of the original steel wire. Then the cable cross-sectional change rate of the corroded is:
The following Formula can express the corrosion rate of the steel wire:
where denotes the actual relative humidity, corrosive ion level and corrosion rate under stress at the test temperature, represents the temperature adjustment coefficient, denotes the mechanical fatigue influence coefficient.
3.5.4. Radial Non-Equivalent Corrosion
In the actual project, the corrosion rate of the steel wire inside the parallel steel wire cable is different. The degree of corrosion decreases from outside to inside along the radial direction. Regarding the difference in the corrosion rate of each layer of steel wire in the cable, it can be considered the radial corrosion degree ratio is [38]:
where is the corrosion cross-sectional area of the radial reinforcement; is the corrosion cross-sectional area of the surface steel wire of the radial direction. can be regarded as the adjustment coefficient of the corrosion of each cable. Assuming that the number of steel wires on the first layer is , the corrosion loss of the overall section of the cable can be obtained from the corrosion amount of the outermost steel bar [38]:
where represents the corrosion loss of the overall section of the cable. Correspondingly, the relationship between the decreasing rate of the outermost reinforcement corrosion section and the change rate of the corroded cable segment:
where denotes the rate of change of the corroded cable truncation surface; denotes the change rate of the cross-section of the surface steel bar, and represents the radial conversion coefficient of radial non-equivalent corrosion.
3.5.5. The Effect of Temperature Change
For the diagonal cable, the equation of motion after dimensionlessization under considering the effect of temperature change can be expressed as:
The point and the skew in the equation denote the integration over time t and the coordinate x, , , denotes cable force, denotes drape, respectively.
For the static configuration of the diagonal cable, it can be expressed by the following equation:
According to the small drape assumption and considering the static boundary conditions of the cable, when the drape of the diagonal cable is small, the part above the second order can be neglected, and the static configuration of the diagonal cable can be expressed by the following cubic equation:
Using Galerkin’s method for modal discretization of the system, considering the vibration of the ties themselves and the motion of the endpoints, it is assumed that the displacements and can be expressed as:
where: is the vector of modal vibration functions of the diagonal cable, which is a matrix; and are the generalized time coordinates of the in-plane and out-of-plane motions of the diagonal cable, which are both matrices; and are expressions for the in-plane lower end excitation.
For the simplicity of the study, only the vertical displacement within the lower end face of the diagonal cable is considered, at which time the other five displacements at the two endpoints are made equal to zero, i.e.,
The vertical displacement of the lower end point of the diagonal cable can be expressed as:
Thus each of the above vectors can be expressed as:
For the tension cables in actual engineering structures such as cable-stayed bridges and suspension bridges, the initial tensile force is large, and the modal vibrations of each order in the study can be used to analyze the other hand, when the initial tensile force of the cable is large, the vibration function is not significantly affected by temperature changes, so it is assumed that when the ambient temperature around the cable changes, the same modal vibrations as before are still used. Therefore, bringing Equations (34)–(43) into Equations (30) and (31), the discrete set of equations can be obtained as:
In which:
3.5.6. Impacting of Stress Losses
The long-term relaxation value of steel wires and strands is calculated as follows:
Introducing the relaxation coefficient of the reinforcing bars, the above equation can be modified as follows:
indicates the over-tensioning factor, which is 1.0 for primary tensioning only and 0.9 for over-tensioning; denotes the reinforcement relaxation factor, which is taken as 0.3 for low relaxation prestressing tendons; indicates the effective prestress value at the time of force transmission anchorage; indicates the standard value of tensile strength of prestressing tendon material.
Assuming that the tensile stress value of the prestressing tendon at time is , the total strain including instantaneous strain and creep strain at time can be expressed as:
is the modulus of elasticity of the prestressing tendon material; is the equivalent creep coefficient of the prestressing tendon, whose magnitude is related to the initial prestressing ratio , and represents the standard value of the tensile strength of the prestressing tendon material. With the change of effective stress with time, the total strain of prestressing tendon based on the superposition principle and the assumption of linear creep premise can be expressed as:
where, is the stress increment from t to ; introducing into the prestressing tendon creep coefficient , the above equation can be expressed as:
Similarly, at time , the total strain can be expressed as:
By subtracting the above two equations, the strain increment can be expressed as:
The above equation is expressed in terms of the incremental stress in the time interval, the average modulus of elasticity and the incremental creep strain as follows:
For the inherent relaxation of prestressing tendons with constant strain, there is no change in strain with time, i.e., .
Let the time of initial stress be , be the tiny time interval for subsequent loading, such that applying Equation (56) to and noting that , it follows that
Repeating the same steps, the creep coefficient at the time can be obtained from the creep coefficient at the previous time. The value is expressed as follows:
Therefore, appropriate approaches for seismic reliability of structures considering material corrosion and degradation, the effect of temperature change, and the stress losses are shown, such as the multiplicative dimensionality reduction method (MDRM), the maximum entropy method with fractional moments (FM-MEM), and the conditional marginal product method (PCM), combined with the basic theory of principal component time-varying models, with the flow chart shown in Figure 1.
Figure 1.
The flow chart of life-cycle system seismic reliability discussion of CSB.
4. Actual Railway CSB Modeling under Chloride-Induced Corrosion
4.1. Description of CSB
There is a significant railway cable-stayed bridge in Wenzhou, China, which has a span of (51 + 91 + 300 + 91 + 51) meters. The ratio of side span to center span is 0.473, and the bridge is 584 m long overall.
The main girders are single-box, two-chamber prestressed concrete box girders. The towers above the deck are inverted Y-type, and the pillars below the deck are diamond-shaped. The tower is 118 m high, and the bridge above the deck is 75 m high. The longitudinal width of the tower extends from 6.5 m at the top of the tower to 8 m at the bottom. The cables are standard galvanized parallel wires with a tensile strength of 1860 MPa. Figure 2 shows the floor plan of the main bridge, and Table 1 shows more model information on the elements and materials of the piers, towers, bearings, girders, and cables adopted in the simulation [39].
Figure 2.
The layout and finite element model of CSB (unit/m).
Table 1.
Characteristic parameters of 30 longitudinal artificial waves at Site 1.
4.2. Description of Uncertainty
4.2.1. Structural Uncertainty
Table 1 and Table 2 list the means and standard deviations of random variables associated with CSB structure in our previous research [19]. There were 10 variables for the structural geometry and 11 variables for the structural material.
Table 2.
Characteristic parameters of 30 longitudinal artificial waves at Site 2.
4.2.2. Ground Motions Uncertainty
The detailed coefficients of every soil layer at the bridge site are given in reference (Zhang et al., 2020). Taking the randomness of phase angle into consideration, the synthesis of 30 artificial ground motions is made in longitudinal, horizontal, and Figure 2, Figure 3 and Figure 4 display vertical directions in our previous study [19], respectively.
Figure 3.
The time-varying character of steel bar section.
Figure 4.
The time-varying character of the steel bar strength.
To facilitate the analysis of seismic demands on the components of a cable-stayed bridge under various earthquake actions, as well as the failure probabilities of each component, Table 1 and Table 2 provide the time-domain and frequency-domain characteristic parameters of 30 longitudinal artificial waves at Site 1 and Site 2, respectively. Due to space limitations, the transverse and vertical artificial waves, which are mainly obtained by amplitude modulation of longitudinal waves during the artificial wave synthesis process, are not separately listed here.
In the table, PGA is peak acceleration, PGV is peak velocity, and PGD is peak displacement; SMA indicates sustained maximum acceleration, SMV indicates sustained maximum velocity, and EDA indicates effective design acceleration; Samax indicates peak acceleration response spectrum, Svmax indicates peak acceleration response spectrum, and Sdmax indicates peak displacement response spectrum; Tp is period of excellence, and Tm is average period.
From Table 1 and Table 2, it can be observed that the PGAs of the 30 seismic waves exhibit some degree of variability, with significant differences in acceleration values. Similarly, PGV and PGD also show variability among the waves. However, the predominant periods of the seismic waves are relatively consistent, with values mostly fixed around 0.20 s and 0.18 s. The average periods for the 30 seismic waves at Site 1 fluctuate around 3.50 s, while at Site 2, they fluctuate around 3.10 s. Taking a closer look at Table 1, for Site 1, the mean PGA among the 30 seismic waves is 5.911 m/s2, with a maximum of 6.754 m/s2 and a minimum of 4.879 m/s2. The mean PGV is 0.130 m, with a maximum of 0.178 m and a minimum of 0.099 m. The extreme values and means of other parameters are not separately listed.
Examining Table 2 for Site 2, the mean PGA among the 30 seismic waves is 7.503 m/s2, with a maximum of 8.999 m/s2 and a minimum of 6.025 m/s2. The mean PGV is 0.120 m, with a maximum of 0.176 m and a minimum of 0.084 m. The extreme values and means of other parameters are not separately listed.
Comparing the PGAs and PGVs of the 30 seismic waves at Sites 1 and 2, it can be seen that the PGV values at Site 2 are generally greater than the PGA values at Site 1. However, the difference between the PGVs at the two sites is not significant.
In the present study, the synthesized ground motions are used for seismic analysis to match the local site conditions.
4.3. Chloride-Induced Corrosion Model of CSB Components
4.3.1. Chloride-Induced Corrosion Model of Pier and Tower Steel Bar
Integrated with the actual environmental conditions of the bridge structure, according to the works of literature (Ghosh & Padgett, 2010; Ghosh & Sood, 2016), Table 3 lists the coefficients of the initial occurrence time of erosion.
Table 3.
Parameters of the initial erosion occurrence time.
The average value of these parameters was substituted into Equation (30) to obtain an average value of 11.1 years for the initial corrosion time of the reinforcement of the concrete elements. According to the above theory, the time-varying law curves for the strength of the piers and towers of CSB are presented in Figure 3 and Figure 4.
According to Figure 3 and Figure 4, as the servicing time increases, the reduction rate of the pier reinforcement bars section is greatly greater than that of the tower. Owing to the cover layer thickness of the tower and the original diameter of the reinforcement are larger than the corresponding value of the pier.
4.3.2. Time-Varying Characteristics of Rubber Bearing Stiffness
According to Section 3.4 above, the stiffness of the rubber bearing is increased based on He’s research results [34], the time-dependent stiffness of the rubber bearing can be calculated via Equation (37), the result of the time-dependent stiffness of the rubber bearing is shown in Figure 5 and listed in Table 4.
Figure 5.
Time-varying curve of the stiffness of the rubber bearing.
Table 4.
Time-varying value of rubber bearing stiffness under corrosive environment.
It is shown that the horizontal shear strength of the rubber bearing increases by 18.43% after 50 years of service. Assuming that the rubber bearing is not replaced during the life-cycle of the bridge, it is calculated by the fitting equation that the horizontal stiffness of the rubber bearing can be increased by up to 37.93% after 100 years of service.
4.3.3. Life-Cycle Servicing Curve of Cable under Corrosive Conditions
The cable-stayed bridge is made of high-strength parallel steel wire cables with a double-layer HDPE. It is composed of 169 φ7 mm galvanized high-strength steel wires; the internal wire arrangement is divided into 8 circles. The number of wires in each year and the corresponding value of the radial corrosion ratio are shown in Table 5. The radial non-uniform corrosion conversion coefficient can be calculated from this detailed data. In which the tensile strength of the wire is 1670 MPa the elastic modulus of the cable is 1.97 × 105 MPa, and the coefficient of thermal expansion is 1.20 × 10−5/°C. The thickness of the galvanized layer is 42.02 μm, and the stress value of the cable under static load in the initial state is 570 MPa. In detail, the ratio of the radial corrosion degree of each layer of the cable-stayed cable is shown in Table 6, and the average annual temperature of the area where the cable-stayed bridge is located is shown in Table 7.
Table 5.
Key parameters of cable corrosion at different temperatures.
Table 6.
Radial corrosion ratio degree of each layer of cable.
Table 7.
Annual average temperature of the place.
The key corrosion parameters of cables at different temperatures are presented in Table 5, which, is the temperature adjustment coefficient, and represents the corrosion rates of the galvanized layer and the steel wire for a specific temperature-corrosive environment.
Considering the stress concentration problem of the cross-section due to corrosion pits and the influence of corrosion against the tensile strength, the specific decline rate of the cross-section is listed in Table 8, the limit reduction rate of the cross-section is: . Corresponding to this calculation example, in the 14th cycle, the overall cross-sectional change rate of the cable is 57.39%, which is slightly larger than the limit value of 57.39%. After this cycle, the cable is considered to have failed.
Table 8.
Cross-section change of cable wire.
In the actual servicing process of the CSBs, the cable is an easy replacement component. Once an inevitable cable failure has occurred, it needs to be replaced before it can work again. Considering the cable replacement, the rate of change in cross-sectional corrosion of the cable over a 100-year service period is shown in Figure 6. It is shown that the overall section corrosion rate of the cable reaches 57.39% at 22.52 years; this value is greater than the ultimate reduction rate of 57.3% for the cable section, which means the cable has failed out of service and the failed cable will be replaced. At 45.05 years, the overall cross-sectional corrosion rate of the replaced cable also reached 57.39%, which is also beyond the limit reduction rate of 57.3%. In this case, the cable failed again and will be replaced and the new cable participated in the servicing. The rest may be deduced by analogy, it can be obtained that during the 100 years the cable-stayed bridge was in use, the failure time of the cable is 22.52, 45.05, 67.62, and 90.22 years, respectively. Combining the failure time points of the cables during the full service-life of the CSB and taking into account the influence of the time-varying characteristics of the structural elements, this investigation identified 20, 45, 70, 90, and 100 years as critical service times.
Figure 6.
Corrosion rate of cable section at a different servicing time.
4.4. Failure Modes of CSB
It is very significant to determine the damage limit states of the different parts of CSB in SRA. In general, the criteria used in previous studies to determine structural damage and disruption are strength damage criteria, deformation damage criteria, energy damage criteria, dual deformation and energy damage criteria, and performance-based damage criteria.
4.4.1. Failure of Bearing
In this paper, a basin rubber bearing is adopted, and the displacement of the rubber bearing is determined based on Nielson [40]. In the case of complete damage, the longitudinal and final lateral displacement of the bearing is 250 mm on the basis of reference [41].
4.4.2. Failure Mode of the Pier and Tower
According to Pan [42,43], the curvature of the pier section was selected as the failure index. As the ratio of curvature to decrement of the pier tower is taken as the demand coefficient, the final failure index is changed to the ratio of curvature to decrement with the following equation:
where and stand for the initial yield moment and curvature of the longitudinal reinforcement bar. Supposing that the length of the plastic hinge has constant curvature, the calculation of the angle of rotation can be made, where is calculated by [44]:
Which means the length from the point of contra-flexure to the maximum moment section, and represents the diameter of a longitudinal reinforcement bar.
In detail, the curvature failure indicator for the bottom section of 1#, 2# piers, and towers at different service times are presented in Table 9, Table 10 and Table 11.
Table 9.
Curvature failure indicator of 1# pier bottom section.
Table 10.
Curvature failure indicator of 2# pier bottom section.
Table 11.
Curvature failure indexes of tower bottom section.
By comparing the longitudinal and transverse failure curvature indexes of the piers and towers at different service times, it can be seen that the service time has little effect on the failure curvature index of the components and the curvature threshold hardly changes with time. Therefore, the curvature failure threshold for the initial time can be used to replace the curvature failure thresholds for other service times in future studies.
4.4.3. Failure Mode of Cables and Girder
If the cable stress surpasses the limit stress threshold, it will automatically quit the operation, resulting in an increased in beam displacement and torsion. Namely, by regulating the beam displacement and rotation angle of the girder, the impact of the cable failure is considered indirectly. According to the simulation of Zong et al. [45], under the action of a strong earthquake, combined with the actual use of the bridge, the irreversible displacement of the CSB main beam released during the whole collapse process of CSB is larger than 3/200 of the beam field, which is:
In Equation (61), , and stand for the elastic modulus of the girder, the section moment of inertia, and its external load random variables.
5. Life-Cycle Seismic Reliability Analysis of Cable-Stayed Bridge
5.1. Failure Possibility of CSB Components
As was already noted, this analysis takes into account 21 random structural variables of the CSB. In the MDRM and FM-MEM calculation schemes, the calculation of 105 structural samples beneath each ground shaking is required. because each random variable involves 5 Gaussian interpolation points. On the other hand, 30 synthetic ground motions can stand for the randomness of seismic load in each service time. Therefore, based on the OpenSees platform, the nonlinear seismic responses of main components under 30 ground motions are obtained by the nonlinear time process analyses of 15,250 structural seismic samples. For various parts of the same type, the failure of this kind of component with the part that is most likely to fail can be replaced theoretically After getting the maximum entropy coefficients concerning the seismic response of principal components, the probability density function (PDF) curve of the major component’s seismic response under 1# ground motion is acquired according to Figure 7, Figure 8 and Figure 9.
Figure 7.
Time-dependent PDF of bearing displacement response under 1# ground motion.
Figure 8.
Time-dependent PDF of 1# pier curvature response under 1# ground motion.
Figure 9.
Time-dependent PDF of left tower curvature response under 1# ground motion.
It is evident from Figure 7, Figure 8 and Figure 9, the PDF curves of the longitudinal and transverse seismic response of the three components at different servicing times under 1# ground motion show other time-varying patterns. Specifically, the mean value of the longitudinal seismic responses of the three components shows an overall growing trend as servicing time increases. While in the transverse direction, the time-varying law is opposite, the mean value of the transverse seismic response decreases with the servicing time. Moreover, the probability density value corresponding to the mean value of seismic response in the transverse direction is greater than that of the initial time. However, the time-varying law in the longitudinal direction is not clear.
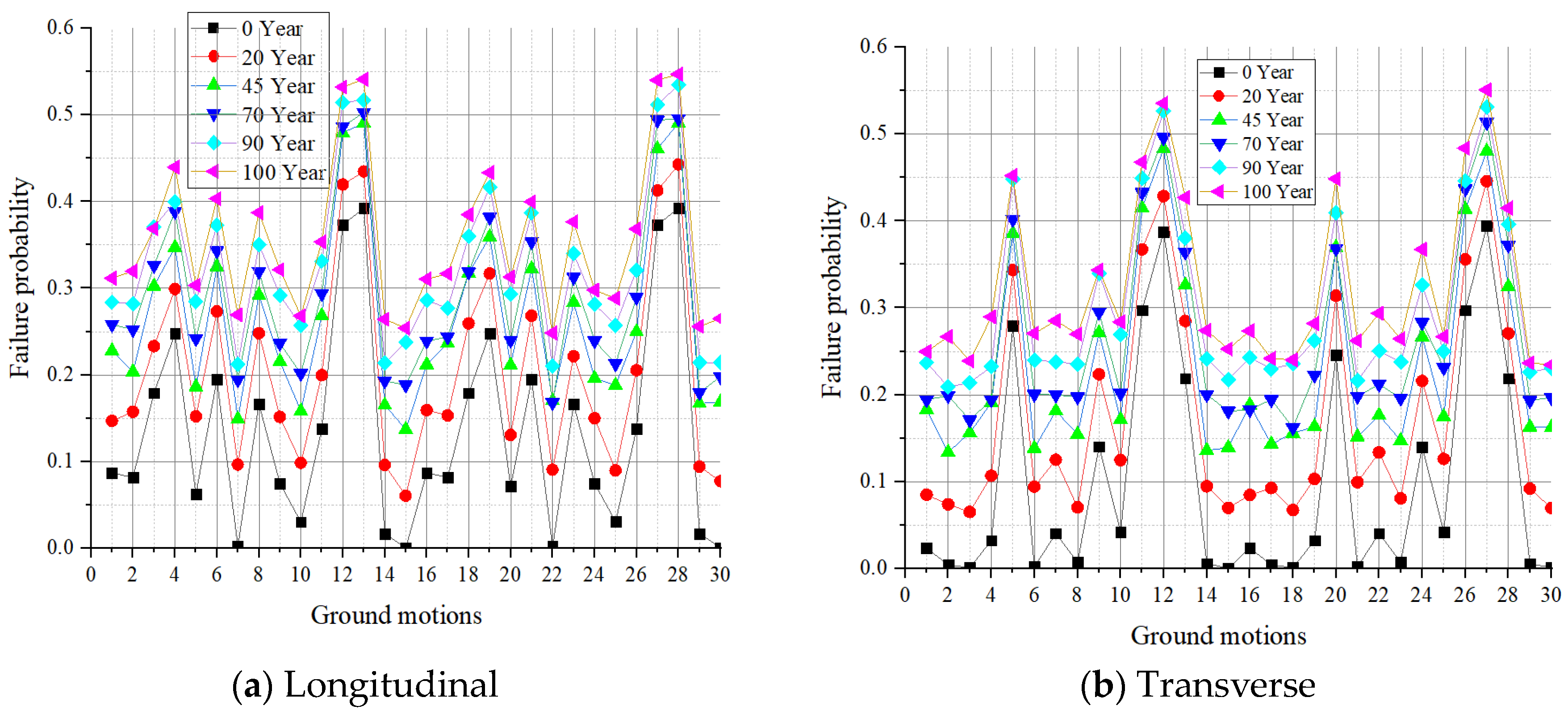
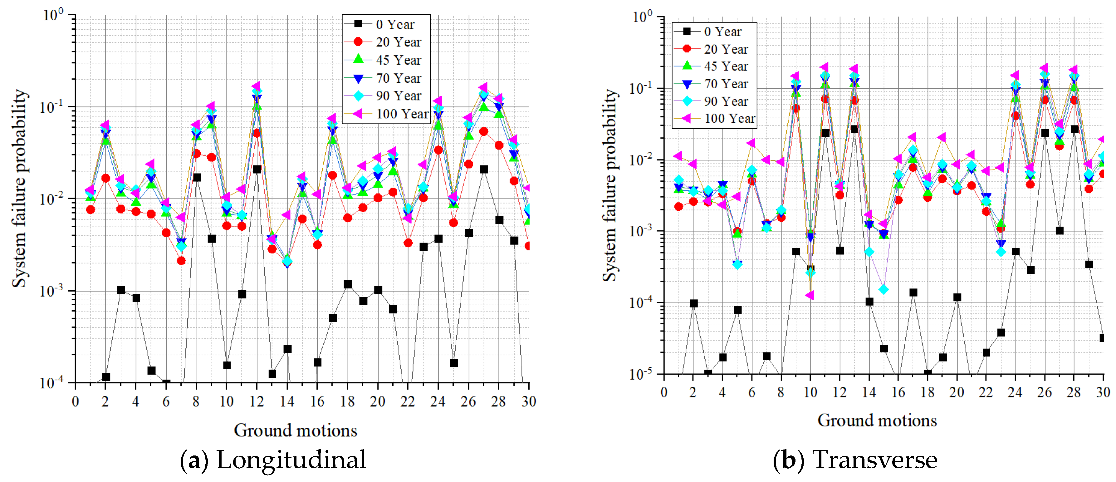
The detailed time-dependent failure probabilities of the bearings, piers, and towers under 30 motions in the longitudinal and transverse directions are respectively presented in Figure 10, Figure 11 and Figure 12. Generally, the longitudinal and transverse failure probabilities of three components under different ground motions have prominent discrete characteristics, which means the randomness of the ground motions significantly impacts the structural failure probability. Comparing and analyzing the failure probabilities of the three components at each servicing time in the longitudinal and transverse direction, it is shown that the failure probability of the bearing did not change much with the service time, regardless of the longitudinal or transverse direction, which owing to the service time mainly affected the initial stiffness of the rubber bearing. Still, the initial stiffness of the bearing hardly affects its displacement failure threshold. Comparing the failure probability of piers and pylons at each service time, it is shown that the failure probability of piers and pylons under 30 ground motions increases with the increase of servicing time. To further reveal the time-varying characteristics of the failure probability of the three components, the mean value time-varying laws of the failure of the component probability under 30 ground motions at the different servicing times are shown in Figure 13.
Figure 10.
Failure possibility of bearing under 30 ground motions.
Figure 11.
Failure possibility of the pier under 30 ground motions.
Figure 12.
Failure possibility of the tower under 30 ground motions.
Figure 13.
Time-varying law of average components failure probability at different servicing times.
In detail, the average values of the longitudinal and transverse failure probabilities of the three components at each service time are presented in Table 10 and Table 11. For the bearing, the longitudinal and transverse failure probability follow the servicing time. The probability of longitudinal and transverse failure increases significantly while increasing the maintenance time for the bridge piers and pylons. Specifically, the mean values of the longitudinal failure probability of piers at 20 years, 45 years, 70 years, 90 years, and 100 years increased by 51.94%, 95.76%, 111.78%, 138.48%, and 156.25%, respectively, compared with the initial time of service. At 100 years of service, the transverse failure probability of bridge piers has increased by 230.85% compared to the initial time of service. For the failure probability of the tower, the influence of the corrosive environment is also very significant. The longitudinal and transverse failure possibility has increased from the initial 0.0109, 0.0083 to 0.2098, and 0.2383 after 100 years of servicing, respectively. It can be found that the corrosive environment has a significantly increasing effect on the longitudinal and transverse failure possibility of piers and towers.
5.2. Time-Varying Correlation Coefficient of CSB Components
In this study, the correlation of the failure mode of the component is replaced with the correlation coefficients between the seismic response of every component. The correlation coefficients were calculated as follows [46]:
The Formula stands for the covariance of the variable and respectively means the root mean square value of the variance of the variable .
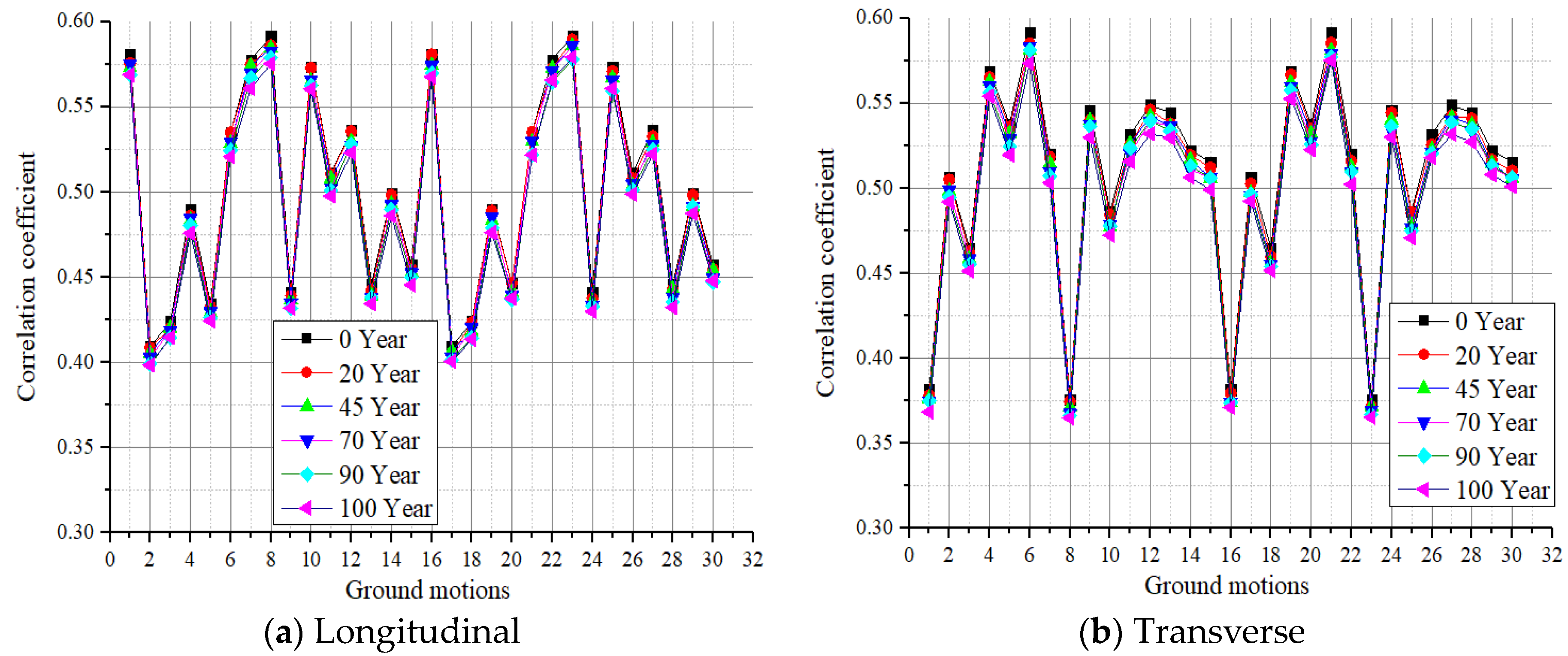
For visualization, Figure 14, Figure 15 and Figure 16 show the association coefficients of the major vulnerable parts in the longitudinal and transverse directions under the 30 ground motions. It is displayed under 30 ground-shaking excitations. The correlation coefficient divergence of the components at different service times is slight, the correlation coefficient curves almost overlap, and the average value also fluctuates around 0.50 at other service times. Furthermore, to accurately quantify and study the time-varying characteristics of the correlation coefficients, the time-varying curves of the correlation coefficient are shown in Figure 17. Whether in a longitudinal or transverse direction, the correlation coefficients of the component gradually decrease with increasing service time.
Figure 14.
Association coefficient of bearing-pier under 30 ground motions.
Figure 15.
Association coefficient of tower-pier under 30 ground motions.
Figure 16.
Association coefficient of bearing-tower under 30 ground motions.
Figure 17.
Time-varying law of average components failure probability at different servicing times.
Regarding specific values, the correlation coefficient means the value of the bearing-pier in the longitudinal direction reduces to 0.4596 at 20 years of service, compared to 0.4617 at the initial service time. After 100 years of service, the average value of the correlation coefficient from 0.4617 at the initial time reduced to 0.4501, and the reduction rate was 2.52%. The average value of the association coefficient of the pier and pylon in the longitudinal direction decreased from 0.5230 at the initial time to 0.5176 at 20 years of servicing. At 100 years of servicing, the mean value of the correlation coefficient dropped to 0.5048, with a reduced rate of 3.47%. In the transverse direction, the average value of the bearing-pier correlation coefficient decreases from 0.4930 at the initial time to 0.4902 at 20 years of service. After 100 years of servicing, the mean value of the correlation coefficient decreases to 0.4781, with a reduced rate of 3.02%. The mean value of the pier-tower correlation coefficient dropped from 0.5364 at the initial time to 0.5320 at 20 years of service. After 100 years of servicing, the average value of the correlation coefficient decreases to 0.5203, with a reduced rate of 3.01%. The correlation coefficient mean value of the bearing-tower decreases from 0.5094 at the initial time to 0.5061 at 20 years of servicing. When it reaches 100 years, the average value of the correlation coefficient decreases to 0.4940, with a reduced rate of 3.03%. It is shown that the average values of the component correlation coefficients are not sensitive to changes with servicing time, whether it is longitudinal or transverse direction.
5.3. Failure Probability of System
5.3.1. First-Order Bound Approach
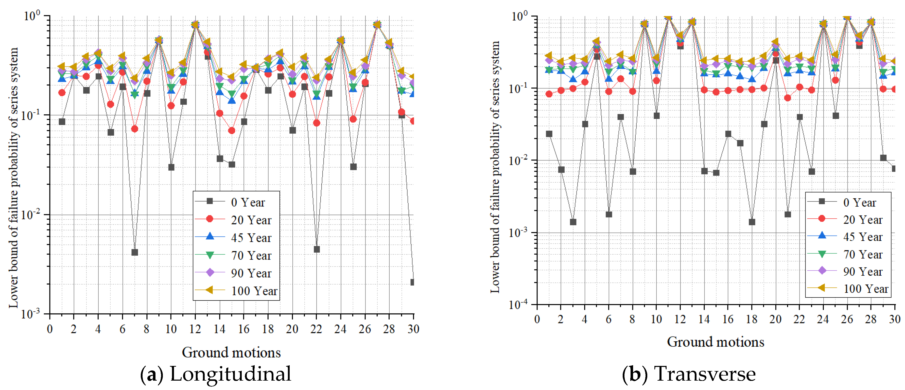
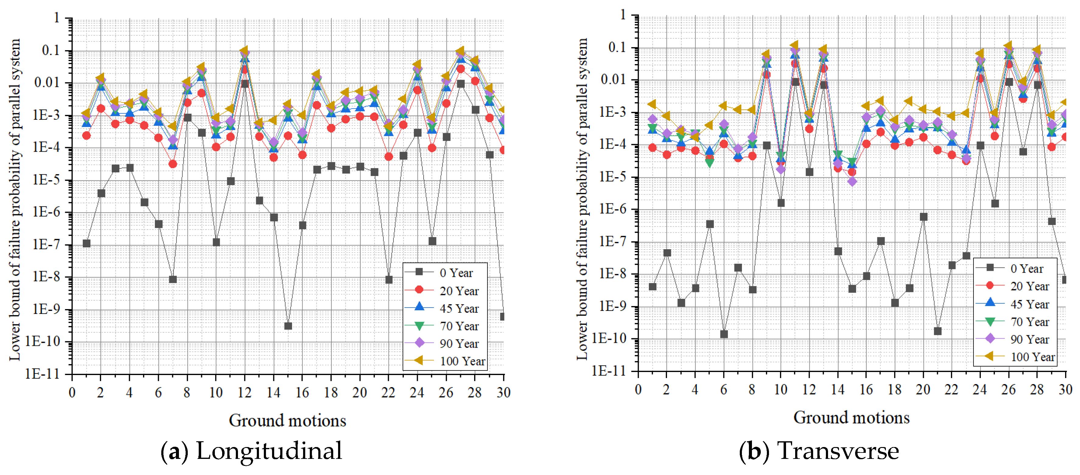
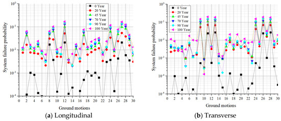
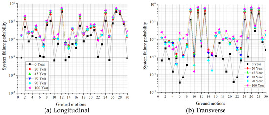
For comparing and verifying the effectiveness and precision of the PCM approach adopted in this research, the reference Figure 18, Figure 19, Figure 20 and Figure 21 display the calculation outcome of the first-order bound approach. Further, Table 12 and Table 13 display the lower and upper bound mean value of the system failure possibility in series and parallel systems, in which SS lacks a series system, and PS lacks a parallel system.
Figure 18.
A lower bound of failure possibility of a series system under 30 ground motions.
Figure 19.
An upper bound of failure possibility of a series system under 30 ground motions.
Figure 20.
A lower bound of failure possibility of a parallel system under 30 ground motions.
Figure 21.
An upper bound of failure possibility of a parallel system under 30 ground motions.
Table 12.
Failure possibility of parts in the longitudinal direction.
Table 13.
Failure possibility of components in the transverse direction.
It is shown that the average longitudinal failure probability of the series system at the lower bound of the initial time is 0.2224; when the servicing time is 20 years, the minimum probability of the failure of the series system increases to 0.2718. With the servicing time reaching 100 years, the lower limit of the failure probability increases to 0.3872. The upper limit of the failure probability of the series system, from the initial time with a value equal to 0.2624 gradually increases to 0.5625 at 100 years of servicing, with an increasing rate of 114.3%. For the parallel system, the upper and lower bounds of the system failure probability increase from 0.0074 and 0.0007 at the initial time to 0.0850 and 0.0147 at servicing 100 years, respectively. In the transverse direction, the upper and lower bounds of the failure probability of the series system are from 0.2399 and 0.2294 at the initial time and gradually increase to 0.5682 and 0.4149 at servicing 100 years. For parallel systems in the transverse direction, the upper and lower bounds of failure possibility increase progressively from 0.0057 and 0.0011 to 0.0638 and 0.0194.
5.3.2. PCM Method
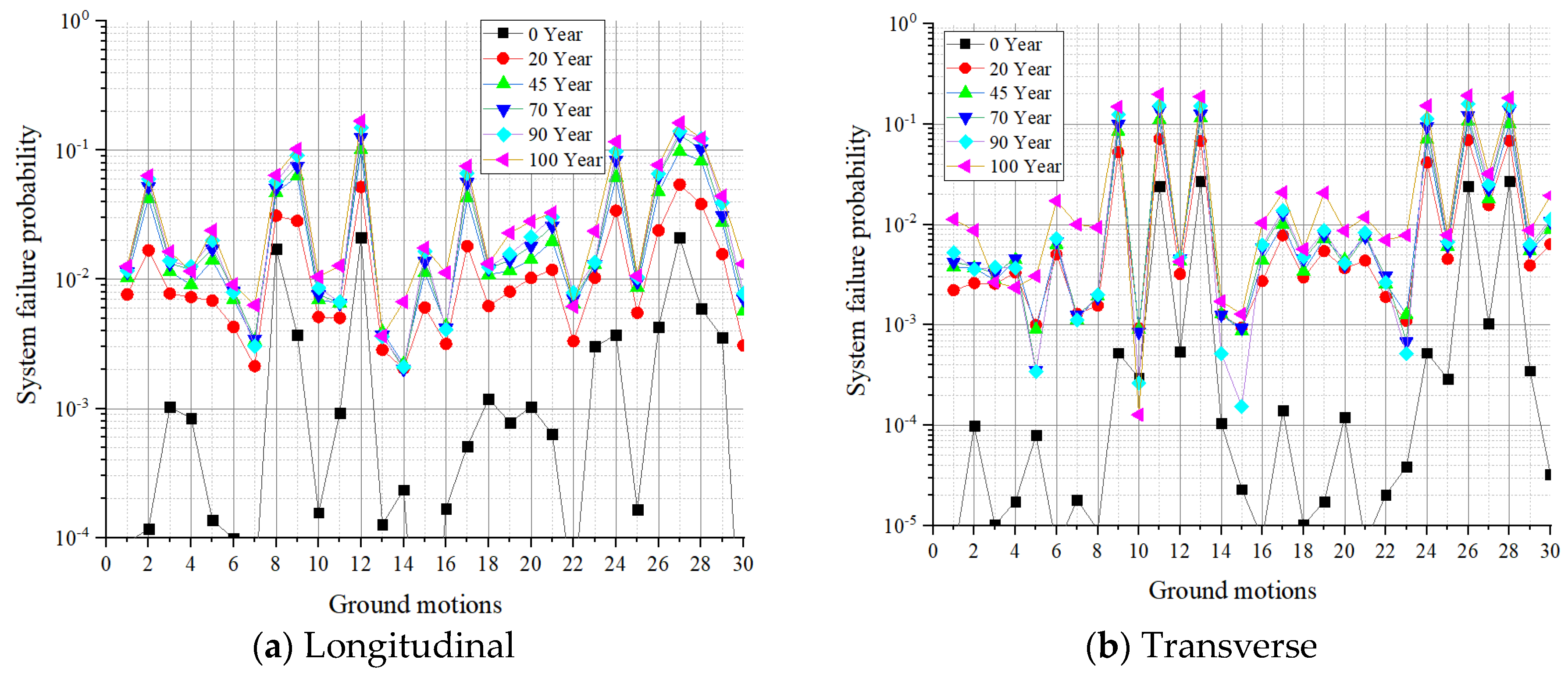
The calculation and analysis of the specific failure possibility of the CSB system are made on the basis of the PCM approach in this section. In this investigation, the system association styles are divided into series, parallel, and hybrid systems. The hybrid system means the series association of piers and towers, and the parallel connection of bearing part with piers and towers are made.
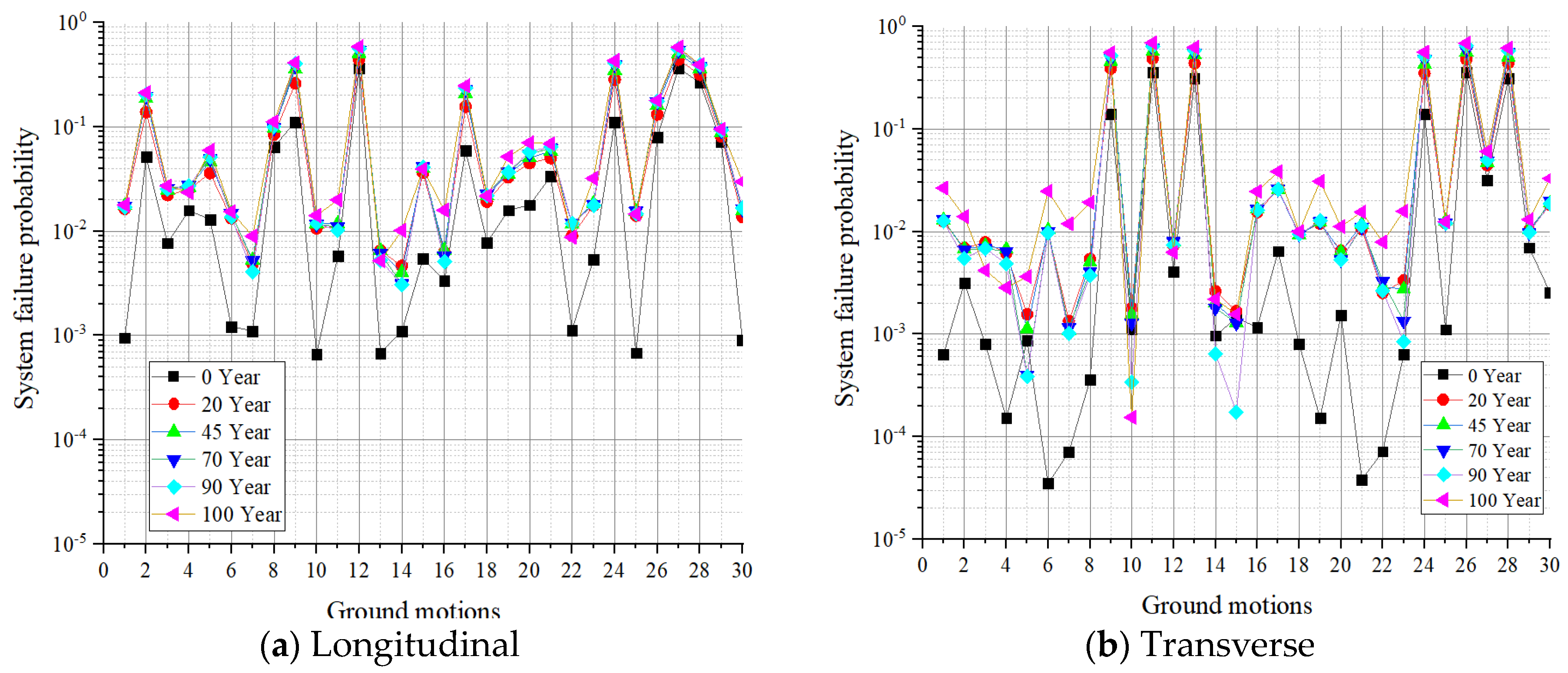
Figure 22, Figure 23 and Figure 24 show that under 30 ground motion excitations in the longitudinal and transverse directions respectively, the failure possibility of the series, parallel, and hybrid CSB system. According to the figures, the failure of the series system is the biggest, next to the hybrid system, and the parallel system has the most negligible failure probability. Specifically, Table 14 and Table 15 show the average values of failure probability of longitudinal and transverse cable-stayed bridges under three coupling systems.
Figure 22.
Failure possibility of a series system under 30 ground motions.
Figure 23.
Failure possibility of a parallel system under 30 ground motions.
Figure 24.
Failure possibility of a hybrid system under 30 ground motions.
Table 14.
System failure possibility in the longitudinal direction.
Table 15.
System failure possibility in the transverse direction.
Comparing and analyzing the probabilities of failure of the series, parallel, and hybrid systems at each servicing time in the longitudinal and transverse direction, the longitudinal failure probability of the series system as shown in Figure 25 gradually increases from the initial probability value of 0.5635 to 0.7654, 0.8497, 0.8975, 0.9040 and 0.9119 corresponding to 20, 45, 70, 90 and 100 years, respectively. The transverse failure probability gradually increases from 0.5533 at the initial servicing time to 0.9441 at servicing 100 years for the series system. It can be seen that for the series system, in a corrosive environment, as the maintenance time increases, the system failure rate of the CSB increases significantly. For parallel and hybrid systems, the longitudinal system failure probability values increase from 0.0031 and 0.0562 at the initial servicing time to 0.0431 and 0.1239 at servicing 100 years, respectively.
Figure 25.
Time-varying law of average failure probability at different servicing times.
The failure probability values increase from 0.0035 and 0.0560 at the initial servicing time to 0.0433 and 0.1380 respectively at 100 years to the parallel and hybrid system. The system failure probability of the CSB in a corrosive environment significantly increased for the three system models. In addition, the system failure probability values of series, parallel, and hybrid systems obtained based on the PCM approach are all between the upper and lower bounds of the failure probability given by the first-order bound approach, which also verifies the effectiveness and precision of the PCM approach in solving the structural system failure probability. For the CSB structure, the failure of the structure is not due to the failure of the bearings, but due to the failure of the pier and tower, which leads to the collapse of the whole structure. Comparing and analyzing the adaptability and reasonability of the three connection models of the CSB system, it can be concluded that the hybrid system model is most appropriate for studying the SRA of the CSB system.
6. Conclusions
In this study, considering material corrosion and degradation, the sample of non-linear time history analysis of the CSB was determined at the different servicing times with uncertainties of the structure and ground motions, and then based on the OpenSees batch program to carry out a large number of numerical calculations to obtain the time-dependent non-linear seismic response and PDF of seismic response via the MDRM and FM-MEM. Next, the time-varying failure probabilities of each component and the association coefficients between different failure modes of each component were acquired. In the end, the life-cycle failure possibility of the system is acquired with the PCM approach. The following conclusions were drawn from this investigation.
(1) In general, the failure probabilities of the three components in the longitudinal and transverse directions under different ground motions have prominent discrete characteristics, which indicates that the randomness of the ground motions has a significant influence on the failure probabilities of structural. Comparing and analyzing the failure probability of the three components at each servicing time in two directions, the failure probability of the bearings does not significantly change much with the servicing time. In contrast, the failure probability of piers and towers at the different service times increased with the servicing time. In detail, the mean values of failure probability of pier at 20 years, 45 years, 70 years, 90 years, and 100 years increased by 51.94%, 95.76%, 111.78%, 138.48%, and 156.25% in the longitudinal direction compared to the initial time, respectively. In the transverse direction, the failure probability of piers has increased by 230.85% at servicing 100 years compared to the initial time. Due to the failure possibility of the tower, the influence of the corrosive environment is also very significant.
(2) Under 30 ground motion excitations, the correlation coefficient divergence of the components at different servicing time is small, the correlation coefficient curves almost overlap, and the average value also fluctuates around 0.50. Whether in the longitudinal or transverse direction, the correlation coefficients of the components gradually decrease with increasing service time. concerning specific values, the mean value of the association coefficient of the bearing-pier in a longitudinal direction from 0.4617 at the initial time reduces to 0.4501 at servicing 100 years, with a reduction rate of 2.52%. The average value of the component correlation coefficients is not sensitive to changes in servicing time, whether it is longitudinal or transverse direction.
(3) Comparing and analyzing the failure possibility of the series, parallel, and hybrid systems at each servicing time in the longitudinal and transverse direction, the failure probability of the series system gradually increases from the initial probability value of 0.5635 to 0.7654, 0.8497, 0.8975, 0.9040 and 0.9119 corresponding to 20, 45, 70, 90 and 100 years in the longitudinal direction, respectively. For the series system, the failure probability in the transverse direction increases gradually from 0.5533 at the initial time to 0.9441 at 100 years of service. For the parallel and hybrid systems, the system failure probability in the longitudinal direction increases from 0.0031 and 0.0562 at the initial time to 0.0431 and 0.1239 at 100 years of service, respectively. For the parallel and hybrid systems, the failure probability values increase from 0.0035 and 0.0560 at the initial time to 0.0433 and 0.1380, respectively, at 100 years. According to the three system models, the system failure possibility of the CSB in a corrosive environment increases significantly both in the longitudinal and transverse directions.
The fatigue characteristics of reinforced concrete structures are not considered in this study, and in-depth research on this aspect will be conducted in future work.
Author Contributions
Conceptualization, J.Z. and Y.H.; methodology, J.Z. and Y.H.; software, J.Z. and M.P.; validation, Y.H., M.P. and X.L.; formal analysis, M.P. and X.L.; data curation, M.P. and X.L.; writing—original draft preparation, J.Z. and M.P.; writing—review and editing, J.Z.; funding acquisition Y.H. All authors have read and agreed to the published version of the manuscript.
Funding
Natural Science Foundation of China (52008047), Postdoctoral study project of China Railway Eryuan Engineering Group Co., Ltd. (KSNQ201062), and Postdoctoral Science Foundation of China (2020M673294).
Data Availability Statement
The data used to support the findings of this study are available from the corresponding author upon request.
Conflicts of Interest
The authors declare no conflict of interest.
References
- Li, C.; Li, H.-N.; Hao, H.; Bi, K.; Chen, B. Seismic fragility analyses of sea-crossing cable-stayed bridges subjected to multi-support ground motions on offshore sites. Eng. Struct. 2018, 165, 441–456. [Google Scholar] [CrossRef]
- Li, X.; Fu, P.; Xu, L.; Xin, L. Assessing time-dependent damage to a cable-stayed bridge through multi-directional ground motions based on material strain measures. Eng. Struct. 2021, 227, 111417. [Google Scholar] [CrossRef]
- Frangopol, D.; Soliman, M.S. Life-cycle of structural systems: Recent achievements and future directions. Struct. Infrastruct. Eng. 2016, 12, 1–20. [Google Scholar] [CrossRef]
- Guo, A.; Yuan, W.; Lan, C.; Guan, X.; Li, H. Time-dependent seismic demand and fragility of deteriorating bridges for their residual service life. Bull. Earthq. Eng. 2015, 13, 2389–2409. [Google Scholar] [CrossRef]
- Zhang, M.; Song, H.; Lim, S.; Akiyama, M.; Frangopol, D.M. Reliability estimation of corroded RC structures based on spatial variability using experimental evidence, probabilistic analysis and finite element method. Eng. Struct. 2019, 192, 30–52. [Google Scholar] [CrossRef]
- Chen, Z.-Q.; Zheng, S.-X.; Zhang, J.; Dang, C.; Wei, K.; Li, X. Efficient seismic reliability analysis of non-linear structures under non-stationary ground motions. Soil Dyn. Earthq. Eng. 2020, 139, 106385. [Google Scholar] [CrossRef]
- Biondini, F.; Frangopol, D.M.; Malerba, P.G. Uncertainty effects on lifetime structural performance of cable-stayed bridges. Probabilistic Eng. Mech. 2008, 23, 509–522. [Google Scholar] [CrossRef]
- Ghosh, J.; Padgett, J.E. Aging Considerations in the Development of Time-Dependent Seismic Fragility Curves. J. Struct. Eng. 2010, 136, 1497–1511. [Google Scholar] [CrossRef]
- Li, C.; Hao, H.; Li, H.; Bi, K. Seismic fragility analysis of reinforced concrete bridges with chloride induced cor-rosion subjected to spatially varying ground motions. Int. J. Struct. Stab. Dyn. 2016, 16, 1550010. [Google Scholar] [CrossRef]
- Song, S.; Qian, Y.; Liu, J.; Xie, X.; Wu, G. Time-variant fragility analysis of the bridge system considering time-varying dependence among typical component seismic demands. Earthq. Eng. Eng. Vib. 2019, 18, 363–377. [Google Scholar] [CrossRef]
- Ang, A.H.-S.; Tang, W.H. Probability Concepts in Engineering, 2nd ed.; John Wiley & Sons: Hoboken, NJ, USA, 2007. [Google Scholar]
- Pang, Y.; Wei, K.; Yuan, W. Life-cycle seismic resilience assessment of highway bridges with fiber-reinforced concrete piers in the corrosive environment. Eng. Struct. 2020, 222, 111120. [Google Scholar] [CrossRef]
- Biondini, F.; Frangopol, D.M. Life-cycle performance of deteriorating structural systems under uncertainty. J. Struct. Eng. 2016, 142, F4016001. [Google Scholar] [CrossRef]
- Xin, J.; Akiyama, M.; Frangopol, D.M.; Zhang, M.; Pei, J.; Zhang, J. Reliability-based life-cycle cost design of as-phalt pavement using artificial neural networks. Struct. Infrastruct. Eng. 2021, 17, 872–886. [Google Scholar] [CrossRef]
- Li, H.; Li, L.; Zhou, G.; Xu, L. Time-dependent Seismic Fragility Assessment for Aging Highway Bridges Subject to Non-uniform Chloride-induced Corrosion. J. Earthq. Eng. 2020, 26, 3523–3553. [Google Scholar] [CrossRef]
- Zhang, X.; Pandey, M.D. Structural reliability analysis based on the concepts of entropy, fractional moment and dimensional reduction method. Struct. Saf. 2013, 43, 28–40. [Google Scholar] [CrossRef]
- Balomenos, G.P.; Pandey, M.D. Finite element reliability and sensitivity analysis of structures using the multi-plicative dimensional reduction method. Struct. Infrastruct. Eng. 2016, 12, 1553–1565. [Google Scholar] [CrossRef]
- Zhang, J.; Bi, K.; Zheng, S.; Jia, H.; Zhang, D.-Y. Seismic system reliability analysis of bridges using the multi-plicative dimensional reduction method. Struct. Infrastruct. Eng. 2018, 14, 1455–1469. [Google Scholar] [CrossRef]
- Zhang, J.; Chen, K.-J.; Zeng, Y.-P.; Yang, Z.-Y.; Zheng, S.-X.; Jia, H.-Y. Seismic Reliability Analysis of Cable-Stayed Bridges Subjected to Spatially Varying Ground Motions. Int. J. Struct. Stab. Dyn. 2021, 21, 2150094. [Google Scholar] [CrossRef]
- Li, G.; He, W.; Zeng, Y. An improved maximum entropy method via fractional moments with Laplace transform for reliability analysis. Struct. Multidiscip. Optim. 2019, 59, 1301–1320. [Google Scholar] [CrossRef]
- Pandey, M.D. An effective approximation to evaluate multinormal integrals. Struct. Saf. 1998, 20, 51–67. [Google Scholar] [CrossRef]
- Yuan, X.X.; Pandey, M.D. Analysis of approximations for multinormal integration in system reliability compu-tation. Struct. Saf. 2006, 28, 361–377. [Google Scholar] [CrossRef]
- Sergi, G.; Yu, S.W.; Page, C.L. Diffusion of chloride and hydroxyl ions in cementitious materials exposed to a saline en-vironment. Mag. Concr. Res. 1992, 44, 63–69. [Google Scholar] [CrossRef]
- Tang, L.; Gulikers, J. On the mathematics of time-dependent apparent chloride diffusion coefficient in concrete. Cem. Concr. Res. 2007, 37, 589–595. [Google Scholar]
- Polder, R.B.; Rooij, M. Durability of marine concrete structures-field investigations and modelling. Heron-Engl. Ed. 2005, 50, 133. [Google Scholar]
- Ghosh, J.; Sood, P. Consideration of time-evolving capacity distributions and improved degradation models for seismic fragility assessment of aging highway bridges. Reliab. Eng. Syst. Saf. 2016, 154, 197–218. [Google Scholar] [CrossRef]
- Estes, A.C.; Frangopol, D.M. Bridge Lifetime System Reliability under Multiple Limit States. J. Bridg. Eng. 2001, 6, 523–528. [Google Scholar] [CrossRef]
- Stewart, M.G. Mechanical behaviour of pitting corrosion of flexural and shear reinforcement and its effect on structural reliability of corroding RC beams. Struct. Saf. 2009, 31, 19–30. [Google Scholar] [CrossRef]
- Du, Y.G.; Clark, L.A.; Chan, A.H.C. Residual capacity of corroded reinforcing bars. Mag. Concr. Res. 2005, 57, 135–147. [Google Scholar] [CrossRef]
- Shayanfar, M.A.; Barkhordari, M.A.; Ghanooni-Bagha, M. Effect of longitudinal rebar corrosion on the com-pressive strength reduction of concrete in reinforced concrete structure. Adv. Struct. Eng. 2016, 19, 89–907. [Google Scholar] [CrossRef]
- Coronelli, D.; Gambarova, P. Structural Assessment of Corroded Reinforced Concrete Beams: Modeling Guidelines. J. Struct. Eng. 2004, 130, 1214–1224. [Google Scholar] [CrossRef]
- Mander, J.B.; Priestley, M.J.N.; Park, R. Observed Stress-Strain Behavior of Confined Concrete. J. Struct. Eng. 1988, 114, 1827–1849. [Google Scholar] [CrossRef]
- Vidal, T.; Castel, A.; François, R. Analyzing crack width to predict corrosion in reinforced concrete. Cem. Concr. Res. 2004, 34, 165–174. [Google Scholar] [CrossRef]
- He, S. Fragility Analysis of Offshore Isolated Bridge in the Whole Life Circle Based on the Material’s Degradation. Master’s Thesis, University of Guangzhou Technology, Guangzhou, China, 2015; pp. 30–37. (In Chinese). [Google Scholar]
- Ma, Y.; Li, Y.; Zhao, G.; Zhou, F. Experimental research on the time-varying law of performance for natural rubber laminated bearings subjected to seawater dry-wet cycles. Eng. Struct. 2019, 195, 159–171. [Google Scholar] [CrossRef]
- Li, Y.M.; Ma, Y.H.; Zhao, G.F.; Zhou, F.L. Experimental study on the effect of alternating ageing and sea cor-rosion on laminated natural rubber bearing’s tension-shear property. J. Rubber Res. 2020, 23, 151–161. [Google Scholar] [CrossRef]
- Lu, X.; Brown, N. The ductile-brittle transition in a polyethylene copolymer. J. Mater. Sci. 1990, 25, 29–34. [Google Scholar] [CrossRef]
- Bao, H.P. Cable Seismic Vulnerability in Cable-Stayed Bridges under Corrosive Service Environment. Master’s Thesis, Dalian University of Technology, Dalian, China, 2014; pp. 27–32. (In Chinese). [Google Scholar]
- Zhang, J.; Chen, K.-J.; Ju, N.-P.; Zheng, S.; Jia, H.-Y.; Yuan, D.-P. Simulation of the In Situ Spatially Varying Ground Motions and Nonlinear Seismic Response Analysis of the Cable-Stayed Bridge. Shock. Vib. 2020, 2020, 1–19. [Google Scholar] [CrossRef]
- Nielson, B.G. Analytical Fragility Curves for Highway Bridges in Moderate Seismic Zones. Ph.D. Thesis, Georgia Institute of Technology, Atlanta, GA, USA, 2005. [Google Scholar]
- Ministry of Railways of China (MRC). Pot Bearings for Railway Bridges (TB/T 2331-2013); Chinese Railway Press: Beijing, China, 2013. (In Chinese) [Google Scholar]
- Pan, Y.; Agrawal, A.K.; Ghosn, M. Seismic Fragility of Continuous Steel Highway Bridges in New York State. J. Bridg. Eng. 2007, 12, 689–699. [Google Scholar] [CrossRef]
- Agrawal, A.K.; Ghosn, M.; Alampalli, S.; Pan, Y. Seismic Fragility of Retrofitted Multispan Continuous Steel Bridges in New York. J. Bridg. Eng. 2012, 17, 562–575. [Google Scholar] [CrossRef]
- Zhi-guo, S.U.N.; Dong-sheng, W.A.N.G.; Xun, G.; Xiao-li, L.I. Research on equivalent plastic hinge length of reinforced concrete bridge column. China J. Highw. Transp. 2011, 24, 56–64. [Google Scholar]
- Zong, Z.-H.; Zhou, R.; Huang, X.-Y.; Xia, Z.-H. Seismic response study on a multi-span cable-stayed bridge scale model under multi-support excitations. Part I: Shaking table tests. J. Zhejiang Univ. A 2014, 15, 351–363. [Google Scholar] [CrossRef]
- Wu, W.; Li, L.; Shao, X. Seismic Assessment of Medium-Span Concrete Cable-Stayed Bridges Using the Component and System Fragility Functions. J. Bridg. Eng. 2016, 21, 04016027. [Google Scholar] [CrossRef]
Disclaimer/Publisher’s Note: The statements, opinions and data contained in all publications are solely those of the individual author(s) and contributor(s) and not of MDPI and/or the editor(s). MDPI and/or the editor(s) disclaim responsibility for any injury to people or property resulting from any ideas, methods, instructions or products referred to in the content. |
© 2023 by the authors. Licensee MDPI, Basel, Switzerland. This article is an open access article distributed under the terms and conditions of the Creative Commons Attribution (CC BY) license (https://creativecommons.org/licenses/by/4.0/).
























