Abstract
A novel composite floor consisting of an upper chord of a grouted square steel tube truss and a lower chord of a reinforced concrete slab is proposed to address existing problems with precast composite floors, such as a complex construction process, high cost, significant resource consumption, and severe environmental pollution. Sixteen-point loading tests were carried out on five simply supported one-way slabs to simulate the stress state of the floor under a uniform load and to investigate the stiffness, cracking moment, load-carrying capacity, and failure mode of the composite floor system. The results showed that the composite floor system exhibited ductile failure, with cracks uniformly distributed at the bottom of the slab; additionally, the grouted steel tube did not experience uplift or out-of-plane buckling, and the truss welds did not fracture, indicating that the composite floor system still had further deformation capacity and load-carrying capacity with satisfactory stress conditions. After unloading, the residual deformation of the composite floor accounted for 28% to 36% of the maximum deflection, demonstrating good deformation recovery ability. The bottom slab thickness and truss height are key parameters that influence the new composite floor, and increasing the two parameters enhances the cracking load, deformation resistance, and flexural capacity of the composite floor, with a significant improvement achieved by increasing the truss height. The floor slab should have a minimum thickness of 60 mm, as required by China’s Code for Design of Concrete Structures, and the truss height-to-span ratio should be 1:30, which meets the deformation and load-carrying requirements of the floor and conforms to the design concept of green buildings.
1. Introduction
Precast components, with the advantages of fast construction, high quality, low environmental pollution, and low carbon emissions [1,2,3], are widely used in various residential and industrial buildings, for which the steel bar truss–concrete composite floor system has become the most widely used form of precast components [4,5]. This structural form is characterized by high construction efficiency, less formwork, and less wet construction. However, issues arise in the construction process, such as creating a thick floor slab and installing multiple supports [4], mainly due to the insufficient stiffness of the precast bottom slab during construction. Several studies have been carried out to address these issues.
The conventional composite slab is characterized by two stress stages. The first stress stage occurs during construction, where the precast bottom slab bears the self-weight, the wet weight of the cast-in-place concrete, and the construction load. The second stage occurs during normal service when the hardened cast-in-place concrete works together with the precast slab as a whole to bear the service load. The precast bottom slab primarily withstands the load during construction. When the span is large, its deformation fails to meet construction requirements without temporary support provided in the lower part. Therefore, research on composite floors mainly focuses on improving the structural form and using high-performance concrete materials to meet the stiffness and load-carrying capacity requirements for the bottom slab in concrete casting during construction.
According to an experimental study of the stress states of rebar truss–concrete composite floors during the construction stage, the limit state is controlled by the short-term stiffness of the precast bottom slab. Since the rebar upper chord in the precast bottom slab allows partial compression, increasing the diameter of the rebar and the height of the rebar truss of the upper chord significantly enhances the short-term stiffness of the precast bottom slab [6]. For further verification, Liu et al. [7] proposed a prestressed concrete composite floor with a section steel truss upper chord and experimentally investigated precast bottom slabs and composite floors with different truss units (steel plate trusses, steel tube trusses, rebar trusses, and no trusses), and they found that the section steel truss significantly improves the flexural behavior of the precast concrete bottom slab, with the grouting of the steel tube upper chord showing the most significant improvement. Considering the span factor, Qi et al. [8] fabricated a rebar truss–concrete composite slab using an 8 mm steel bar as the upper chord and a grouted steel tube truss composite slab using steel tubes with a diameter of 25 mm and a wall thickness of 1 mm; they found that the grouted steel tube truss composite floor has a higher initial stiffness and deformation resistance, and the larger the floor span is, the more significant the effect.
The use of grouted steel tubes to replace the rebars in the truss upper chord improves the stiffness of the precast bottom slab. However, due to the high stiffness and large cross-section of the grouted steel tubes, it is necessary to further increase the thickness of the superposed concrete layer to meet the bond strength requirement between the steel tubes and concrete, which is contrary to the principles of resource conservation and environmental protection.
Moreover, research has been conducted on meeting the stiffness requirements of precast bottom slabs by improving the mechanical properties of bottom slab concrete. For example, the use of fiber-reinforced concrete [9], autoclaved aerated concrete [10], ultralightweight engineered cementitious composites [11], and other precast bottom slab materials with high compressive strength and strong crack resistance can reduce the self-weight of the bottom slab and improve the stiffness and crack resistance of the precast bottom slab. However, these materials are often costly and cannot be widely used.
The design of floor slabs in buildings is typically controlled by deformation. When the deformation meets the design requirements, the load-carrying capacity generally satisfies the demands and has a large margin of safety. In addition, the floor slab design should facilitate the layout of water and electricity pipelines and provide sound insulation for the building. In accordance with the national strategic needs of energy conservation, environmental protection, and sustainable development, this study improves the original form of the rebar truss composite floor (Figure 1) and proposes a new floor system. The design concept is described as follows:
Figure 1.
Schematic diagram of the new composite floor slab.
- The rebar truss–concrete precast bottom slab is improved by replacing the upper compression steel bars with grouted steel tubes. This improvement fully utilizes the high strength and stiffness of the grouted steel tubes, which prevent local buckling of the upper chord members [12] and increase the cross-sectional area of the compression chord members, the moment of inertia of the cross-section, and therefore the overall stiffness and load-carrying capacity of the truss floor slab system. As a result, this design enables the elimination of supports during construction and ensures the stiffness and load-carrying capacity requirements under service conditions.
- The composite layer is no longer cast in place, and lightweight decorative flooring [13], such as plywood, oriented strand board, precast concrete panels, or green material certified boards, is laid on the upper part of the steel tubes to avoid problems, such as slow construction, multiple formwork supports, and severe environmental pollution associated with cast-in-place operations.
- The open space between the decorative floor and the precast bottom slab can accommodate the installation of electric wires, pipes, thermal insulation and sound insulation materials, and other functional materials [14], simplifying construction and secondary decoration operations, and the filled functional materials can improve building comfort and protect the environment.
- Demountable dry connectors are used [15,16] to facilitate the replacement and reuse of floor slabs, reducing construction waste, protecting the living environment, and meeting the development requirements of construction sustainability and a circular economy.
The grouted steel tube truss upper chord–concrete composite floor is a space truss system with grouted steel tubes and concrete bottom slab as the upper and lower chords, respectively, and horseshoe-shaped steel bars as the connecting web members. It is a section steel–concrete composite structure, for which its stiffness and load-carrying capacity calculations cannot accurately describe its mechanical properties according to the traditional ultimate strength theory of reinforced concrete. Only a few numerical studies have found that the thickness of the precast bottom slab and the height and span of the truss are important factors affecting its flexural capacity [8,17,18]. Therefore, this study attempts to investigate the mechanism by which design parameters, such as truss height and bottom slab thickness, influence its stiffness, cracking moment, load-carrying capacity, and failure mode through a uniform loading test.
2. Experiment Overview
2.1. Specimen Design and Fabrication
To investigate the influence mechanism of the grouted square steel tube upper chord on the flexural behavior of the steel tube truss–concrete composite floor, five one-way slab specimens were designed and fabricated. The main dimensional parameters are shown in Table 1. The specimens were made of C30 concrete, the rebars in the bottom slab and trusses were HRB400 steel (C10), the steel tubes were square steel tubes with a strength grade of Q235 and a cross-section of 40 mm × 40 mm × 2 mm, and the grouting material in the steel tubes was C80 high-strength grout (CGMJM-VIII). All specimens had the same number of rebars and steel tube trusses, with five longitudinal rebars of C10, transverse rebars of C8@200, and two sets of steel tube trusses. Figure 2 illustrates the arrangement of the rebars and steel tube trusses in detail using specimen STT-1 as an example.
Table 1.
Basic design parameters of the specimens.
Figure 2.
Dimensions and details of specimens: (a) plan view; (b) side view; (c) profile map.
All composite floors were formed in one casting. The specific fabrication process is described as follows: (1) preparation of wood formwork, rebars, and steel tubes; (2) welding and positioning of steel tube trusses; and (3) casting of the composite floor specimens with commercial concrete and curing under standard conditions.
2.2. Mechanical Properties of the Materials
The concrete used for the tests was from the same batch of commercial concrete, and cubic blocks with a side length of 150 mm were prepared to measure the compressive strength of the concrete. The water–cement ratio of the grout mix was controlled to 0.11, and prism blocks of 40 mm × 40 mm × 160 mm were reserved when fabricating the grouted steel tubes and used to determine the compressive strength of the grout. The blocks for concrete material property tests were cured under the same conditions as the specimens. Before the tests, the average compressive strength of the concrete blocks was measured as 33.08 MPa, and the average compressive strength of the grout blocks was measured as 108.66 MPa.
Material samples of the rebar and steel tube components were taken from the same batch of test steel, and three samples were reserved for each material. Tensile tests are carried out in accordance with the standard [19]. The average test results of the material properties of the rebars and steel tubes are shown in Table 2.
Table 2.
Mechanical properties of reinforcing steel.
2.3. Measuring Point Layout
The test measurements mainly included the strains of the concrete, rebars, and steel tubes, the deflection of the specimen in the span direction, and the development of cracks in the bottom and side of the slab. The concrete strain measuring points were located at the mid-span of the specimen to measure the strain on the upper and lower surfaces as well as the side of the concrete floor slab. The steel tube and tensile rebar strain measuring points were located at the mid-span of the specimen, and the truss steel rebar measuring points were located at the mid-span and 1/3 span to measure the strain development in the rebars and steel tubes. The actual locations of some of the measuring points are shown in Figure 3. Three and five resistance strain gauges were uniformly installed on the sides of the steel tube and concrete, respectively, along the height, and four resistance strain gauges were uniformly installed in the direction of the web reinforcement along the measuring point. The deflection measuring points were set at the 1/3, 1/2, and 2/3 spans at the slab bottom of the specimen, and a measuring point was set at the end of each of the two supports to measure the support settlement. Measurements at the five measuring points were carried out using LVDT displacement sensors. The crack development of the specimen was measured by the concrete crack width gauge BJQF-1 after each level of loading, and the deformation of the specimen was stabilized and recorded in real time.
Figure 3.
Distribution of strain–deflection measuring points. Note: SS1 to SS3 are steel tube strain measuring points at the mid-span, C1 to C5 are concrete slab side strain measuring points at the mid-span, and ST1 to ST12 are truss rebar strain gauges.
2.4. The 16-Point Loading Test Device and Method
Currently, the loading methods for simply supported flexural members mainly include heavy weight loading, three-point loading, and four-point loading. To simulate the stress state of the composite floor more effectively under a uniform load, the study adopted the 16-point loading method mentioned in Section 5.2.16 of the Standard for Test Method for Concrete Structures [20], and the mid-span deflection under uniform loading, three-point loading, four-point loading, and sixteen-point loading was calculated theoretically by graph multiplication. The calculation results show that the mid-span deflection under three-point loading, and four-point loading differs by 2.22% and 10.02%, respectively, from that under uniform loading, while the mid-span deflection under sixteen-point loading differs by only 0.62% from that under uniform loading, thereby greatly improving the test accuracy.
In the sixteen-point loading, synchronous loading was achieved through an electric oil pump, an eight-way synchronous split-flow valve, and hydraulic jacks. The eight loading jacks were fixed by a reaction beam. The loading device is shown in Figure 4. The distance between the jacks at both ends and the edge of the support was l0/16, and the distance between the remaining jacks was l0/8. A loading width of 100 mm was reserved at the end of the specimen. In addition, to facilitate real-time observation of the force changes in the jacks, pressure sensors were placed at the jacks and the reaction beam, and the jacks and the beam were fixed by bolts. The loading rod and specimen were connected by welding a semicircular groove (Figure 4b). To prevent excessive stress concentration at the rebar welding points near the loading points, triangular steel spacers were surface-welded with rebars below the loading points (Figure 4c).
Figure 4.
Schematic diagram of the loading and connecting devices.
Before the formal loading of the test, a preloading test was performed to observe whether the test instruments were functioning properly and whether the acquisition instruments were in good contact positions. The formal loading process of the test adopted a step-by-step loading method. Prior to specimen cracking, the load increment for each level was controlled to 25% of the calculated cracking load. After the specimen cracked, the load increment for each level was set to 10% of the calculated ultimate load. Once the mid-span jack reached its maximum capacity for the first time, the deformation state of the specimen was recorded, and the mid-span jack was retracted. Spacers were inserted between the jack and the loading rod, and the loading continued. Using a displacement-control mode, the specimen was loaded to the deformation state corresponding to the maximum capacity of the jack. The subsequent loading process was continued by controlling the deflection–span ratio. The loading protocol is shown in Figure 5, where Mcr is the calculated cracking load and Mu is the calculated ultimate load. After each level of loading was completed, the load was held for 10 to 15 min, and the development and changes in the cracks of the specimen were observed. The specimen was considered to have reached the ultimate load-carrying capacity when the mid-span deflection reached 1/50 of the span or when the crack width at the main tension rebars reached 1.5 mm. The loading of the test was stopped when the specimen failed or when the loading device reached its full capacity.
Figure 5.
Loading program.
3. Test Results and Analysis
3.1. Test Phenomena
The overall test phenomena during the whole loading process of different specimens were similar, with clear flexural failure. Prior to concrete cracking, the deflection of the specimen increased slowly with the increase in the externally applied load; after the concrete cracked, the stiffness of the specimen decreased, and the deflection of the specimen increased significantly with the increase in load. Except for SST-C-60, which exhibited concrete crushing in the compression zone due to the fracture of the welds (Figure 6), all other members were stopped from further loading due to their excessive deformation, with jacks reaching their maximum capacity, In Figure 6a–c, the experimental phenomena are identified by circles and arrows. Therefore, the new composite floor can be designed by controlling the deformation, and it has a considerable margin of safety in terms of load-carrying capacity.
Figure 6.
Failure characteristics of specimen SST-C-60: (a) welding spot cracking; (b) post-crack movement of solder joint; (c) cracking of slab top concrete; (d) concrete crushing.
In terms of crack development, vertical cracks first appeared at the mid-span of each specimen, and as the load increased, the horizontal cracks at the bottom of the slab first penetrated (Figure 7), and then the cracks slowly extended upward. Vertical throughgoing cracks were observed in only specimen STT-S-85.
Figure 7.
Deformation pattern and crack distribution: (a) STT-C-60; (b) STT-S-115.
In the final failure mode, there was no concrete crushing at the top of the slab, indicating that the steel tube upper chord withstood most of the compression. As observed from the failure of SST-C-60, when the welds of the truss rebars fractured and the force transfer between the concrete slab and the grouted steel tube upper chord was obstructed, the compression borne by the steel tube upper chord was transferred to the upper concrete of the floor, which turned the original truss system into a one-way slab system where the concrete floor did not experience brittle failure due to weld cracking.
Before the end of the test of each specimen, the steel tubes did not experience out-of-plane buckling, demonstrating good load-carrying performance compared with the floor system consisting of a rebar truss upper chord and concrete slab, which are prone to buckling failure [4].
3.2. Load–Deflection Curves
The load–deflection curves of the specimens with different design parameters under the 16-point loading are shown in Figure 8, where the vertical coordinate q is the equivalent uniform load (q = ΔF × 8/l0, where ΔF is the average of the jack loads) and Δ is the mid-span vertical displacement of the specimen, the black circle in the figure is the cracking load of each specimen. “STT-C-60” was the standard specimen. To facilitate the analysis of the influence of different variables on the flexural behavior of the specimen, specimen “STT-S-100” was the same standard specimen. Figure 8 shows that all steel tube truss composite floors had the same load–deflection variation characteristics, with obvious elastic and elastic–plastic stages. The load–deflection curve of the specimen before cracking is linear, indicating an elastic stage. In this stage, the rebars and the concrete are jointly stressed, and the deflection of the specimen changes little, with the maximum deflection being only 1/445 to 1/360 of the effective span. After the deflection of the specimen reaches 50 mm (l0/75), the rate of deflection of the specimen increases suddenly; at this point, the rebars begin to enter the yield stage, the load–deflection curve exhibits a clear inflection point with a decreasing slope, and the overall stiffness of the specimen decreases.
Figure 8.
Load–deflection curves: (a) different truss heights; (b) different thicknesses of the concrete slab.
Due to the constraints of the jack loading stroke, the load–deflection curve of each composite floor specimen did not show a clear descending section, so the nominal ultimate load Pu was defined as the load at a deflection–span ratio of 1/25 (corresponding to a mid-span deflection of 148 mm). In addition, Figure 8a shows that the design parameter of the truss height had little influence on the residual deformation of the specimens but had a significant impact on their flexural capacity and stiffness. The truss height in the test was directly proportional to the flexural capacity of the specimens, with curves approximately evenly spaced. The truss height was positively correlated with the stiffness of the specimens but not in a proportional manner. Specifically, the stiffness increased significantly as the truss height increased from 85 mm to 100 mm and increased slightly as the truss height increased from 100 mm to 115 mm. In Figure 8b, the concrete thickness had little influence on the ultimate flexural capacity and stiffness of the specimens. The stiffness and load-carrying capacity of the composite floor increased slightly with the increase in the thickness of the bottom slab. The residual deformation of the specimens after unloading accounted for 28–36% of the maximum deformation under loading, indicating that the new steel tube truss composite floor has good deformation recovery ability.
The above analysis indicates that increasing the truss height is equivalent to increasing the distance between the tension and compression zones, that is, increasing the bending moment resistance of the floor, thereby significantly enhancing the stiffness and load-carrying capacity of the floor. Increasing the thickness of the precast bottom slab only takes up the overhead space but does not increase the overall height of the floor, so the increase in the bending moment resistance is limited. Therefore, increasing the truss height not only improves the stiffness and load-carrying capacity of the composite floor but also increases the overhead space, making it easier to arrange water and electric pipelines and sound insulation facilities, which is more in line with the design requirements of green buildings.
3.3. Flexural Capacity
The load-carrying capacity results of the composite floor specimens are shown in Table 3. The following analysis is based on specimen STT-C-60. As shown in Table 3, the main factor affecting the cracking load (including the loading device) of the specimen was the height of the steel tube truss. Increasing the height of the steel tube truss increased the cracking load of the specimen by up to 4.62% while increasing the concrete thickness only increased the cracking load by 1.54%. Increasing the truss height is equivalent to increasing the moment arm, thereby significantly improving the flexural stiffness of the cross-section and increasing the crack resistance of the composite floor.
Table 3.
Bearing capacity test results.
According to the Code for Design of Concrete Structures [21], the flexural members under the serviceability limit state shall meet the maximum deflection limit of l0/200 or the maximum crack width limit of 0.3 mm. The load combinations for the new grouted steel tube–concrete composite floor are calculated according to the load quasi-permanent combination (Equation (1)) and the standard combination (Equation (2)).
where is the design value of the combined effect of actions; is the load effect calculated using the standard value of the jth permanent load; is the coefficient of quasi-permanent value for the ith variable load; and is the load effect calculated using the quasi-permanent value of the ith variable load.
where is the coefficient of the standard value of the ith variable load.
The permanent loads included the self-weight of the floor (1.50 kN/m2), the self-weight of the lightweight bottom slab and the filling material (0.2 kN/m2), and the variable live load of the floor (2.0 kN/m2). The calculated loads for the quasi-permanent combination and the standard combination were 1.60 kN/m and 2.32 kN/m, respectively. Table 3 records the measured load values when the deformation of the specimen reached l0/200. The results indicate that the load-carrying capacity of the composite floor meets the serviceability limit state and has a sufficient safety margin, and the change in truss height has a greater impact on the safety margin of its load-carrying capacity. When the composite floor reached the maximum crack width limit of 0.3 mm, the flexural capacity of the specimen was approximately 2.2 times the requirement corresponding to the deflection limit, indicating that the new composite floor has good load-carrying and deformation capacity even without casting the composite layer and that it is mainly controlled by the deflection limit in the serviceability stage.
In the ultimate load-carrying stage, the ultimate loads of specimens with truss heights of 85 mm and 115 mm were −23.33% and 9.8% higher than that of the specimen with a truss height of 100 mm, respectively, and the flexural capacities of specimens with concrete thicknesses of 50 mm and 70 mm were −4.46% and 0.66% higher than that of the specimen with a concrete thickness of 60 mm, respectively.
The above analysis shows that increasing the height of the steel tube truss and the thickness of the concrete can enhance the flexural capacity and deformation resistance of the specimen. Therefore, the new composite floor can meet the design requirements of load-carrying and deformation capacities by appropriately increasing the concrete thickness and truss height. Increasing the truss height has a more significant impact on the improvement in the mechanical properties of the floor than increasing the thickness of the bottom slab.
3.4. Concrete Strain
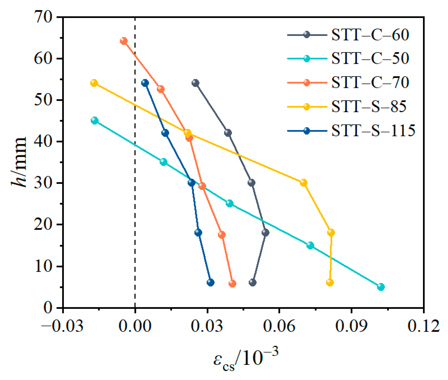
Figure 9 shows the variation curve of the longitudinal strain of the concrete on the side of the specimen with the applied load. The vertical coordinate h is the height of the concrete on the side of the slab (with 0 indicating the bottom of the slab), and the horizontal coordinate εcs is the concrete strain. The figure only presents the development curve of the concrete strain before cracking. As the load level increased, the concrete strain gauges were directly pulled apart, resulting in a sharp increase in the strain data that far exceeded the effective tensile strain of concrete. Therefore, these data do not have much reference value and are not listed here. The figure shows that the strain lines of various points along the height of the concrete slab conform to the bending strain distribution pattern, and each point rotated around its respective bending center, with STT-C-50 and STT-S-85 having large rotational angles; the strain at the bottom of the slab was ranked in descending order as STT-C-50, STT-S-85, STT-C-60, STT-C-70, and STT-S-115, with the strain of STT-C-50 approaching the concrete cracking strain. It is evident that the truss height and the slab thickness have a significant influence on the initial stiffness and crack resistance of the composite floor, and increasing the truss height provides a more favorable improvement effect.
Figure 9.
Load–concrete strain curves for the side of the slab with the applied load.
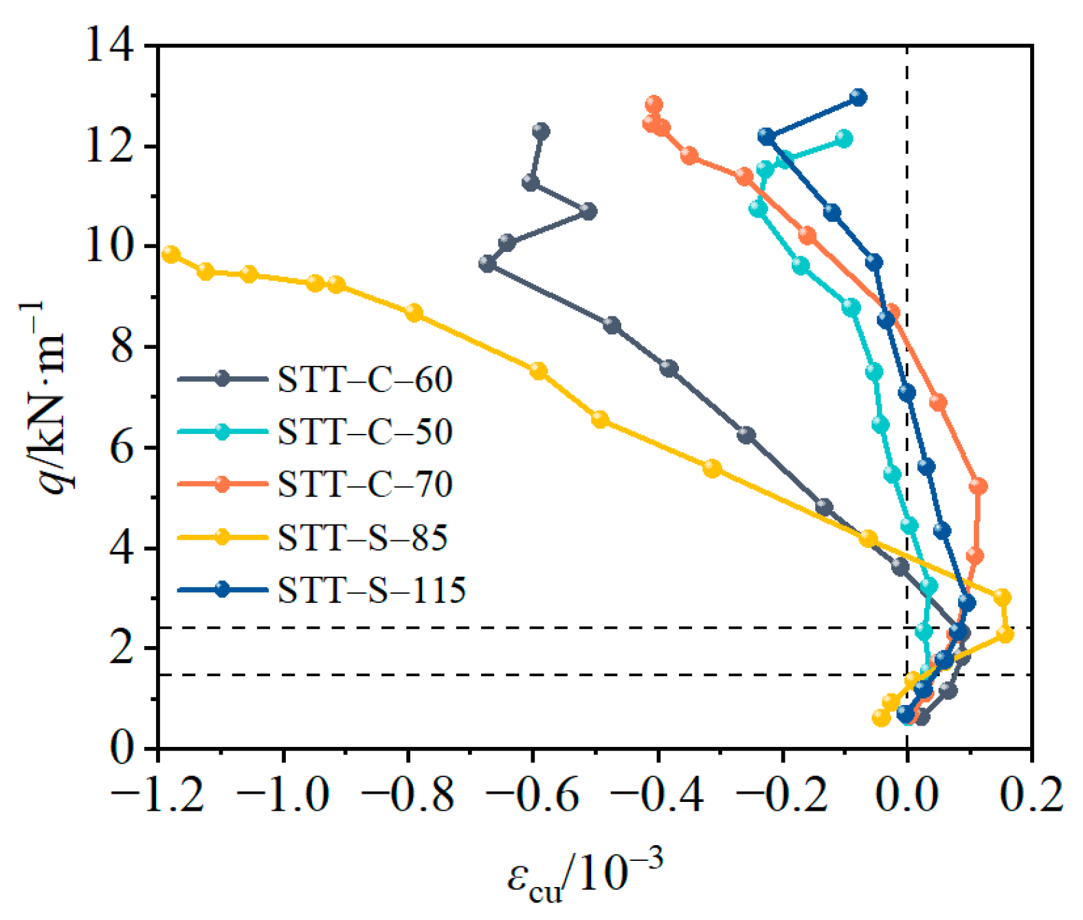
The variation curve of the mid-span concrete strain εcu at the top of the specimen slab is shown in Figure 10. At the initial stage of loading, the concrete on the top of the slab was in tension and reached its peak value during the concrete cracking of the bottom slab, with a maximum tensile strain of (0.036~0.158) × 10−3. Except for that of specimen STT-S-85, the tensile strains of the other specimens were all less than 0.1 × 10−3, which did not reach the cracking strain. Subsequently, the tensile effect on the concrete bottom slab gradually weakened, and finally, it developed into a compressive effect. The concrete compressive strain and the external load were roughly positively correlated. During the test, the concrete failure phenomenon was dominated by crack development, and there was no overall fracture or concrete crushing. The concrete of the top slab did not reach the peak compressive strain, indicating that the grouted steel tube upper chord shared most of the compressive stress and hence significantly improved the ultimate load-carrying capacity of the floor. Since specimen STT-C-60 failed due to weld cracking, there was no basis for comparison. The development trend of the top slab stress of the remaining groups of specimens showed that the truss height is a key factor affecting the mechanical properties of the composite floor, significantly affecting the stiffness and load-carrying capacity of the composite floor.
Figure 10.
Concrete strain development curves for the upper part of the concrete bottom slab.
The above analysis shows that the new grouted steel tube concrete composite floor exhibits two stages of different stress characteristics, roughly divided by the concrete cracking of the bottom slab. The first stage is characterized by the stress state of the truss, in which the concrete bottom slab acts as the lower chord of the truss and is subjected to tensile stress, and its tensile strain increases with increasing load. In the second stage, the concrete of the bottom slab progressively shows the stress characteristics of a one-way slab and gradually changes from the tensile state in the first stage to the compressive state. As shown in Figure 10, the corresponding load when the strain in the upper part of the concrete bottom slab changed from tensile strain to compressive strain varied across specimens, accounting for 28%, 39%, 65%, 41%, and 53% of the nominal ultimate load, and the minimum load value was 3.41 kN/m. Increasing both the concrete thickness and the truss height increased the proportion of the lower chord under tension, and the proportion of the concrete bottom slab under tension was positively correlated with the load-carrying capacity; the higher the load-carrying capacity of the specimen was, the greater the proportion of the concrete floor under tension. From the perspective of stress conditions, the truss structure was the main load-carrying component of the new composite floor in the early stage, which was conducive to providing a higher load-carrying capacity and initial stiffness and could better meet the requirement for the load-carrying capacity (1.2 kN/m) of the floor in the early stage of construction.
3.5. Rebar Strain
Figure 11 shows the variation curve of the rebar strain of the specimen with the load. As shown in Figure 11a, before specimen cracking, the strain of the tensile rebar increased linearly with increasing load. After specimen cracking, the concrete withdrew from load-carrying, and stress redistribution occurred in the specimen as a whole, with the tensile rebar at the bottom resisting most of the tension, the slope of the rebar strain curve began to decrease, and the strain growth rate increased. The dashed line in the figure represents the yield point of the rebar. After the load–rebar strain curve passed the yield point of the rebar, the rate of increase in the rebar strain was significantly larger than that of the load. The figure shows that the tensile rebars of all specimens reached the yield state before the end of the test. The strain development curve of the web rebar of the steel tube truss in Figure 11b indicates that the web rebar, which was used as the connection and load transfer member between the grouted steel tube and the concrete bottom slab, exhibited a complex stress state. However, the web rebar in the test had low tensile stress and did not yield under tension. Therefore, the use of rebar with a diameter of 10 mm as truss reinforcement met the requirement for serviceability.
Figure 11.
Load–strain development curve of the steel bars: (a) strain curves of tensile steel bars; (b) strain curves of supporting steel bars.
3.6. Characteristics of the Stress Change in the Grouted Steel Tube
Figure 12 shows the development curve of the strain at selected measuring points on the grouted steel tube as the load varied. The grouted steel tube was mainly subjected to compression throughout the entire loading process. However, the strain data from measuring point SS-3 indicated a transition from compression to tension in the region below the lower one-third of the steel tube during the loading process. The main reason for this phenomenon was the withdrawal of concrete and yielding of the rebars in tension, resulting in a reduction in the effective height of the specimen’s cross-section. As a result, the neutral axis shifted upward, weakening the compressive effect at the bottom of the steel tube. With the continuous increase in external load, the lower one-third region of the steel tube eventually transitioned from compression to tension. There were three strain measuring points attached to the side of the steel tube. Since measuring point SS-1 was located in the compression zone, the strain data clearly indicated compressive strain. Additionally, the strain data from measuring point SS-2 met the analysis requirements, so there is no need to further describe the strain data from SS-1.
Figure 12.
Strain curves of the SS-2 and STT-3 measuring points of the steel pipe.
As shown in the figure, the strain curve of the steel tube at measuring point SS-2 shows a linear increase and only specimen STT-S-85 exhibited significant strain growth in the later stage of loading. This result is due to the tensile strain of the rebars at the bottom of the specimen reaching 2831 µε, far exceeding the yield strain of the rebars. Consequently, the rebars withdrew from load-carrying, and the load on the specimen was redistributed among the various components. Since specimen STT-S-85 had the smallest height of the steel tube truss and hence the lowest flexural stiffness, the redistributed load was mainly borne by the steel tube upper chord, resulting in a decrease in the effective compression zone of the composite floor and consequently a sudden increase in the strain of the steel tube in the elastic stage.
Figure 12 shows that the strain at the bottom of the steel tube of all specimens exhibited the same trend of tension and compression variation. After the bottom of the steel tube transitioned from the compression zone to the tension zone, the steel tube did not yield under tension, indicating that the grouted steel tube could continue to provide flexural capacity. However, considering the excessive deformation of the specimen and the significant increase in strain in the tension zone of the steel tube, no further external load was applied. In practical engineering applications, while satisfying the flexural capacity, it is possible to appropriately reduce the cross-sectional dimensions of the steel tube and decrease the stiffness of the grouted square steel tube to improve the cost-effectiveness of such composite floor systems.
4. Conclusions
In this study, a grouted square steel tube truss–concrete composite floor was proposed, and 16-point loading tests were carried out on five composite floor specimens. The conclusions are described as follows:
- The grouted square steel tube truss–concrete composite floor exhibited a significant plastic deformation stage before reaching its ultimate bearing capacity. In this stage, the crack width increased, and the cracks were uniformly distributed, demonstrating obvious ductile failure characteristics. The loading on each composite floor specimen was eventually stopped due to excessive deformation, so no specimen underwent concrete crushing failure. The specimens exhibited a large safety margin in terms of carrying capacity, and therefore, the design of a new composite floor should focus on deformation control.
- The combined grouted square steel tube truss and the concrete bottom slab performed satisfactorily. After the maximum crack width of the concrete slab reached 0.3 mm, the cracks tended to continue developing, and the specimen had a further load-carrying capacity. After unloading, significant recovery of deflection occurred in all composite floor specimens, with residual deformation accounting for 28% to 36% of the maximum deflection deformation.
- Increasing the concrete floor thickness and truss height can improve the initial stiffness and crack resistance of the concrete. According to the load-carrying capacity analysis, the cracking load of the composite floor increased by 2.59% when the concrete slab thickness increased from 50 mm to 70 mm and increased by 33.3% when the truss height increased from 85 mm to 115 mm. The analysis of the initial strain of the concrete slab showed that the slab strain of the specimens with a truss height of 115 mm and a slab thickness of 70 mm was greatly reduced, indicating an increase in the stiffness of the composite floor and hence a restraint on crack development.
- The steel truss did not experience buckling failure and showed a significant improvement effect on the stiffness and load-carrying capacity of the composite floor, which was positively correlated with the truss height.
- The precast bottom slab in a traditional composite floor should have a minimum thickness of 60 mm to ensure its stiffness during construction. The thickness of the composite floor should not be less than 60 mm to facilitate the installation of water and electricity pipelines within. In addition, to facilitate construction and ensure a minimum concrete cover, the actual thickness of the composite floor should be approximately 150 mm. According to the analysis in this study, by setting the truss height-to-span ratio to 1:30 and the bottom slab thickness to 60 mm, the new composite floor meets the design requirements for load-carrying capacity and deformation and provides sufficient overhead space for the installation of water and electric pipelines, demonstrating its practical feasibility.
5. Prospect
The grouted square steel tube truss–concrete composite floor proposed in this paper considerably contributes to reducing the self-weight of the structure and achieving green sustainable development. However, due to the limitations of the experimental conditions, the variables researched in this study for such a design cannot fully describe the mechanical properties of the new grouted square steel tube truss–concrete composite floor. Follow-up research needs to be conducted on the applicable span of the floor, the connection mode between the beam and the column, the seismic performance, etc., to provide a more comprehensive theoretical basis for the design and application of the new grouted square steel tube truss–concrete composite floor.
Author Contributions
J.Q., conceptualization, investigation, formal analysis, funding acquisition. F.Y., investigation, formal analysis, validation, and writing—original draft preparation. L.W., writing—review. L.X., investigation. All authors have read and agreed to the published version of the manuscript.
Funding
This study was supported by the National Natural Science Foundation of China (Grant No. U1906231) and the Construction Science and Technology Project of Xiamen (Grant No. XJK2022-1-13).
Data Availability Statement
Not applicable.
Acknowledgments
The authors also gratefully acknowledge the comments and suggestions of the anonymous reviewers.
Conflicts of Interest
The authors declare no conflict of interest.
References
- Li, X.; Xie, W.; Yang, T.; Lin, C.; Jim, C.Y. Carbon emission evaluation of prefabricated concrete composite plates during the building materialization stage. Build. Environ. 2023, 232, 110045. [Google Scholar] [CrossRef]
- Skrzypczak, I. Statistical Quality Inspection Methodology in Production of Precast Concrete Elements. Materials 2023, 16, 431. [Google Scholar] [CrossRef]
- Xu, J.; Cao, X.; Shi, J.; Wang, Z. A comparative study of the novel externally-attached precast SRC braced-frames for seismic retrofitting under near-field spectrum-compatible non-stationary stochastic earthquake. Structures 2023, 50, 200–214. [Google Scholar] [CrossRef]
- Nie, J.; Jiang, Y.; Nie, X.; Zhuang, L. Effect of truss reinforcement on mechanical properties of prefabricated slabs. J. Build. Struct. 2021, 42, 151–158. (In Chinese) [Google Scholar]
- Ma, X.; Huang, W.; Luo, B.; Zhang, J.; Xie, H. Reviews of concrete composite slabs—Mechanical properties and design methods. Concrete 2020, 2, 129–133. (In Chinese) [Google Scholar]
- Ma, L.; Chen, X.; Jiang, L.; Yu, Z.; Zhang, Z. Experimental research and finite element analysis of concrete composite floor slabs with steel bar trusses. Build. Struct. 2013, 43, 54–57. (In Chinese) [Google Scholar]
- Liu, W.; Cui, S.; Liu, C.; Shi, L. Experimental and theoretical study on bending behavior of prestressed concrete composite slabs with steel trusses. J. Build. Struct. 2021, 42, 95–106. (In Chinese) [Google Scholar]
- Qi, J.; Yang, H.-C. Improvement of Truss Reinforced Half Concrete Slab Floor System for Construction Sustainability. Sustainability 2021, 13, 3731. [Google Scholar] [CrossRef]
- Mansour, F.R.; Bakar, S.A.; Ibrahim, I.S. Flexural performance of a precast concrete slab with steel fiber concrete topping. Constr. Build. Mater. 2015, 75, 112–120. [Google Scholar] [CrossRef]
- Yardim, Y.; Waleed, A.M.T.; Jaafar, M.S.; Laseima, S. AAC-concrete light weight precast composite floor slab. Constr. Build. Mater. 2013, 40, 405–410. [Google Scholar] [CrossRef]
- Deng, B.; Tan, D.; Li, L.; Cai, Z.; Yu, K. Flexural behavior of precast ultra-lightweight ECC-concrete composite slab with lattice girders. Eng. Struct. 2023, 279, 115553. [Google Scholar] [CrossRef]
- O’Shea, M.D.; Bridge, R.Q. Design of circular thin walled concrete filled steel tubes. J. Struct. Eng. 2000, 136, 1295–1301. [Google Scholar] [CrossRef]
- Asselstine, J.; Lam, F.; Zhang, C. New edge connection technology for cross laminated timber (CLT) floor slabs promoting two-way action. Eng. Struct. 2021, 233, 111777. [Google Scholar] [CrossRef]
- Wang, J.; Du, B. Experiment on the optimization of sound insulation performance of residential floor structure. Appl. Acoust. 2021, 174, 107734. [Google Scholar] [CrossRef]
- Cai, G.; Xiong, F.; Xu, Y.; Larbi, A.S.; Lu, Y.; Yoshizawa, M. A Demountable Connection for Low-Rise Precast Concrete Structures with DfD for Construction Sustainability—A Preliminary Test under Cyclic Loads. Sustainability 2019, 11, 3696. [Google Scholar] [CrossRef]
- Du, H.; Hu, X.; Meng, Y.; Han, G.; Guo, K. Study on composite beams with prefabricated steel bar truss concrete slabs and demountable shear connectors. Eng. Struct. 2020, 210, 110419. [Google Scholar] [CrossRef]
- Tian, J.; Wang, M.; Liu, J.; Guo, H.; Wang, Z. Experimental and numerical study of continuous span concrete composite slabs. Structures 2021, 34, 827–839. [Google Scholar] [CrossRef]
- Feng, D.; Wang, Z.; Cao, X.; Wu, G. Damage mechanics-based modeling approaches for cyclic analysis of precast concrete structures: A comparative study. Structures 2020, 29, 965–987. [Google Scholar] [CrossRef]
- GB/T228.1-2021; Metallic Materials-Tensile Testing-Part 1: Method of Test at Room Temperature. State Administration for Market Regulation: Beijing, China; Standards Press of China: Beijing, China, 2021. (In Chinese)
- GB/T50152-2012; Standard for Test Method of Concrete Structures. Ministry of Housing and Urban-Rural Development, PRC: Beijing, China; China Architecture and Building Press: Beijing, China, 2012. (In Chinese)
- GB/T50010-2010; Code for Design of Concrete Structures. Ministry of Housing and Urban-Rural Development, PRC: Beijing, China; China Architecture and Building Press: Beijing, China, 2010. (In Chinese)
Disclaimer/Publisher’s Note: The statements, opinions and data contained in all publications are solely those of the individual author(s) and contributor(s) and not of MDPI and/or the editor(s). MDPI and/or the editor(s) disclaim responsibility for any injury to people or property resulting from any ideas, methods, instructions or products referred to in the content. |
© 2023 by the authors. Licensee MDPI, Basel, Switzerland. This article is an open access article distributed under the terms and conditions of the Creative Commons Attribution (CC BY) license (https://creativecommons.org/licenses/by/4.0/).











