Experimental Study of the Dimensional and Hygrothermal Properties of Hemp Concrete under Accelerated Aging
Abstract
:1. Introduction
2. Materials and Methods
2.1. Materials
2.1.1. Mix Proportions
2.1.2. Samples Description
2.1.3. Initial Curing Conditions
2.1.4. Reaction Mechanisms
2.2. Tests and Protocols
2.2.1. Study Description
Univariate Variability Study
Spatial Variability Study
Aging Study
2.2.2. Reference Conditions and Aging Protocols
Reference Conditions
Exposure to Natural Outdoor Conditions
Immersion–Drying Cycles
Freeze-Thaw Cycles
2.2.3. Testing Protocols
Conditioning Pre-Characterization
Mass, Dimension and Density
Carbonation Rate
- : carbonation rate (no units).
- : total studied surface area (m2).
- : carbonated surface area (m2).
Thermal Conductivity and Heat Capacity
Moisture Buffering Value (MBV)
- : moisture buffer value of the sample (kg/m2.%RH).
- : variation in sample mass over a complete cycle step (kg).
- : sample surface area exposed to the atmosphere (m2).
- : variation in the air’s relative humidity between two cycle phases (%RH−1).
Water Vapor Permeability
- : water vapor permeability (kg/(m.s.Pa)).
- : mass differential between two mass measurements (kg).
- : time between two consecutive measurements (s).
- : surface area of the sample (m2).
- : sample thickness (m).
- : water vapor pressure differential between the interior and exterior atmospheres, which is related to the ∆RH and ∆T between them (Pa).
- : equivalent air thickness (no unit).
- : water vapor permeability of air, equal to 1.95 × 10−10 (kg/(m.s.Pa)) at 23 °C.
- : water vapor permeability of the material (kg/(m.s.Pa)).
3. Results and Discussion
3.1. Spatial Variation Characterization
3.1.1. Dimensional Properties
3.1.2. Thermal Conductivity Spatial Variability
3.2. Random Univariate Characterization
3.2.1. Dimensional Properties Random Uni-Variation
3.2.2. Thermal Conductivity Random Uni-Variation
3.2.3. Heat Capacity Random Uni-Variation
3.2.4. Moisture Buffering Value (MBV)
3.2.5. Water Vapor Permeability
3.3. Mass and Carbonation Rate Evolution
3.3.1. Evolution under Curing Conditions
3.3.2. Evolution under Natural Outdoor Exposure
3.3.3. Evolution after Immersion–Drying Cycles
3.3.4. Evolution after Freeze–Thaw Cycles
3.4. Volume Evolution
3.4.1. Evolution under Curing Conditions
3.4.2. Evolution under Natural Outdoor Exposure
3.4.3. Evolution after Immersion–Drying Cycles
3.4.4. Evolution after Freeze–Thaw Cycles
3.5. Density Evolution
3.5.1. Evolution under Curing Conditions
3.5.2. Evolution after Freeze–Thaw Cycles
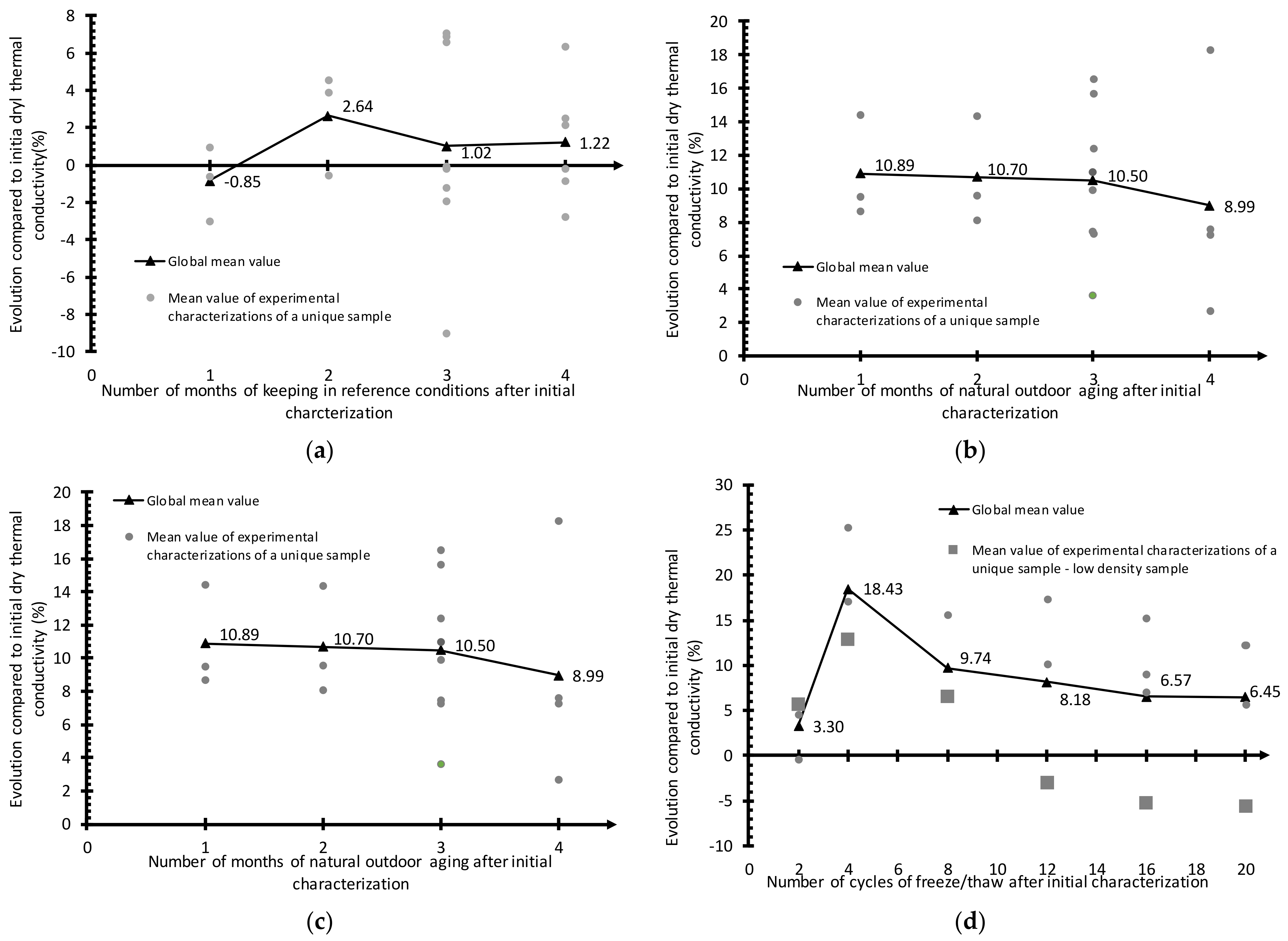
3.6. Thermal Conductivity Evolution
3.6.1. Evolution under Curing Conditions
3.6.2. Evolution under Natural Outdoor Exposure
3.6.3. Evolution after Immersion–Drying Cycles
3.6.4. Evolution after Freeze–Thaw Cycles
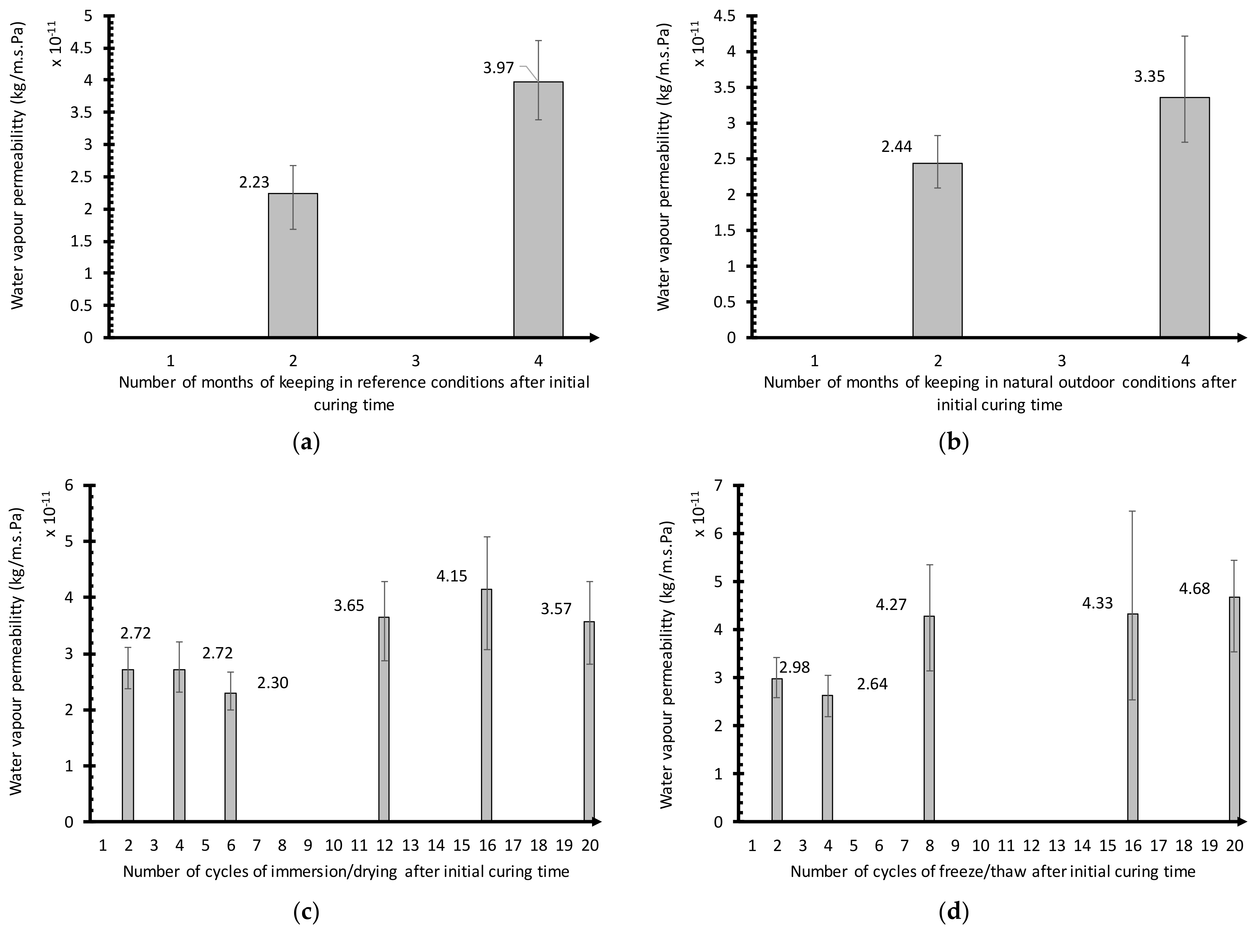
3.7. Water Vapor Permeability Evolution
3.7.1. Evolution under Curing Conditions
3.7.2. Evolution under Natural Outdoor Exposure
3.7.3. Evolution after Immersion–Drying Cycles
3.7.4. Evolution after Freeze–Thaw Cycles
3.8. MBV Evolution
3.8.1. Evolution under Curing Conditions
3.8.2. Evolution under Natural Outdoor Exposure
3.8.3. Evolution after Immersion–Drying Cycles
3.8.4. Evolution after Freeze–Thaw Cycles
4. Conclusions
- -
- In the first part, the spatial variability in thermal conductivity over a hemp beam was assessed. It was found that variability can be observed in the hemp beam’s length and height. One component of variability evolves randomly in space, while the other is likely to be directly tied to the manufacturing method. Indeed, this latter variability type is based on a layer-by-layer characterization; for the lower layer, a standard deviation differential of at least 0.005 W/m.K was found with the other layers.
- -
- In the second part, a univariate variability characterization campaign was performed. A linear relationship between density and thermal conductivity was obtained, as corroborated by the literature. Moreover, the inaccuracy of the Hot Disk method for thermal capacity characterization was highlighted, and a wide range of water vapor diffusion values could be observed, directly owing to the material microstructure.
- -
- The last and most important part of this paper was devoted to characterizing the samples during aging campaigns. Reference samples were held in a climate chamber, and three aging protocols were proposed: natural outdoor aging, immersion–drying, and freeze–thaw. The natural outdoor aging lasted 4 months, while cycle-based aging lasted 20 cycles. One key finding is that the reference sample properties were found to be rather constant during the entire conservation period. In contrast, major differences were uncovered depending on the properties and aging type that were considered. Hence, an increasing mass evolution was observed across all aging protocols; this was mainly due to the resumption of binder hydration. Only freeze–thaw loading actually changed the volume and density properties of the studied samples. As for thermal conductivity, a similar curve shape as that of mass (vs. time) could be observed for both aging protocols, which is quite logical given the theoretical link existing between these properties for this type of material. Lastly, the tested hygric properties revealed different behaviors. For all aging protocols, the water vapor permeability value increased, whereas a mostly constant MBV was found. Consequently, aged hemp concretes are able to remain in the top range of “good” or even “excellent” hygric regulators according to the NORDTEST protocol.
Author Contributions
Funding
Acknowledgments
Conflicts of Interest
References
- The United Nations Environment Programme. 2022 Global Alliance for Buildings and Construction. Global Status Report for Buildings and Construction: Towards a Zero-Emissions, Efficient and Resilient Buildings and Construction Sector—Executive Summary; The United Nations Environment Programme: Nairobi, Kenya, 2022. [Google Scholar]
- Climate Change 2022 Impacts, Adaptation and Vulnerability, Summary for Policymakers; International Panel on Climate Change (IPCC): Geneva, Switzerland, 2022.
- Louis, B.; Roche, C.; Talon, S.; Froment, S.; Saby, L. Réduire L’impact Carbone des Bâtiments, Cerema. 2021. Available online: https://publications.cerema.fr/webdcdc/pti-essentiel/impact-carbone-batiment/datas/pdf/Reduire_impact_batiment.pdf (accessed on 17 April 2023).
- Beccali, M.; Cellura, M.; Fontana, M.; Longo, S.; Mistretta, M. Energy Retrofit of a Single-Family House: Life Cycle Net Energy Saving and Environmental Benefits. Renew. Sustain. Energy Rev. 2013, 27, 283–293. [Google Scholar] [CrossRef]
- Rossi, B.; Marique, A.-F.; Glaumann, M.; Reiter, S. Life-Cycle Assessment of Residential Buildings in Three Different European Locations, Basic Tool. Build. Environ. 2012, 51, 395–401. [Google Scholar] [CrossRef]
- Sartori, I.; Hestnes, A.G. Energy Use in the Life Cycle of Conventional and Low-Energy Buildings: A Review Article. Energy Build. 2007, 39, 249–257. [Google Scholar] [CrossRef]
- Van Ooteghem, K.; Xu, L. The Life-Cycle Assessment of a Single-Storey Retail Building in Canada. Build. Environ. 2012, 49, 212–226. [Google Scholar] [CrossRef]
- Karimpour, M.; Belusko, M.; Xing, K.; Bruno, F. Minimising the Life Cycle Energy of Buildings: Review and Analysis. Build. Environ. 2014, 73, 106–114. [Google Scholar] [CrossRef]
- Ip, K.; Miller, A. Life Cycle Greenhouse Gas Emissions of Hemp–Lime Wall Constructions in the UK. Resour. Conserv. Recycl. 2012, 69, 1–9. [Google Scholar] [CrossRef]
- Lecompte, T.; Levasseur, A.; Maxime, D. Lime and Hemp Concrete LCA: A Dynamic Approach of GHG Emissions and Capture. Acad. J. Civ. Eng. 2017, 35, 513–521. [Google Scholar] [CrossRef]
- Pretot, S.; Collet, F.; Garnier, C. Life Cycle Assessment of a Hemp Concrete Wall: Impact of Thickness and Coating. Build. Environ. 2014, 72, 223–231. [Google Scholar] [CrossRef]
- Evrard, A. Transient Hygrothermal Behavior of Lime-Hemp Materials. Ph.D. Thesis, Ecole Polytechnique de Louvain, Louvain, Belgium, 2008. [Google Scholar]
- Tran Le, A.D.; Maalouf, C.; Mai, T.H.; Wurtz, E.; Collet, F. Transient Hygrothermal Behaviour of a Hemp Concrete Building Envelope. Energy Build. 2010, 42, 1797–1806. [Google Scholar] [CrossRef]
- Nguyen, T.T.; Picandet, V.; Carre, P.; Lecompte, T.; Amziane, S.; Baley, C. Effect of compaction on mechanical and thermal properties of hemp concrete. Eur. J. Environ. Civ. Eng. 2010, 14, 545–560. [Google Scholar] [CrossRef]
- Niyigena, C.; Amziane, S.; Chateauneuf, A. Assessing Variability of Hemp Concrete Properties during Experimental Tests: A Focus to Specimens’ Number. Acad. J. Civ. Eng. 2019, 37, 270–278. [Google Scholar] [CrossRef]
- Benmahiddine, F.; Bennai, F.; Cherif, R.; Belarbi, R.; Tahakourt, A.; Abahri, K. Experimental Investigation on the Influence of Immersion/Drying Cycles on the Hygrothermal and Mechanical Properties of Hemp Concrete. J. Build. Eng. 2020, 32, 101758. [Google Scholar] [CrossRef]
- Castel, Y.; Amaziane, S.; Sonebi, M. Durabilité du Béton de Chanvre: Résistance aux Cycles D’immersionhydrique et Séchage; IéreèConférenceEuroMaghrébine des BioComposites, BioComposites: Toulouse, France, 2016. [Google Scholar]
- Sonebi, M.; Wana, S.; Amziane, S.; Khatib, J. Investigation of the Mechanical Performance and Weathering of Hemp Concrete. Acad. J. Civ. Eng. 2015, 33, 416–421. [Google Scholar] [CrossRef]
- Maaroufi, M.; Bennai, F.; Belarbi, R.; Abahri, K. Experimental and Numerical Highlighting of Water Vapor Sorption Hysteresis in the Coupled Heat and Moisture Transfers. J. Build. Eng. 2021, 40, 102321. [Google Scholar] [CrossRef]
- Benmahiddine, F.; Belarbi, R.; Berger, J.; Bennai, F.; Tahakourt, A. Accelerated Aging Effects on the Hygrothermal Behaviour of Hemp Concrete: Experimental and Numerical Investigations. Energies 2021, 14, 7005. [Google Scholar] [CrossRef]
- Benmahiddine, F.; Belarbi, R. Effect of Immersion/Freezing/Drying Cycles on the Hygrothermal and Mechanical Behaviour of Hemp Concrete. Constr. Technol. Archit. 2022, 1, 555–562. [Google Scholar] [CrossRef]
- Ismail, B. Contribution au Développement et Optimisation d’un Système Composite Biosourcé-Enduit de Protection pour L’isolation Thermique de Bâtiment. Ph.D. Thesis, Université d’Orléans, Orléans, France, 2020. [Google Scholar]
- Walker, R.; Pavia, S.; Mitchell, R. Mechanical Properties and Durability of Hemp-Lime Concretes. Constr. Build. Mater. 2014, 61, 340–348. [Google Scholar] [CrossRef]
- Chabannes, M.; Garcia-Diaz, E.; Clerc, L.; Bénézet, J.C. Studying the Hardening and Mechanical Performances of Rice Husk and Hemp-Based Building Materials Cured under Natural and Accelerated Carbonation. Constr. Build. Mater. 2015, 94, 105–115. [Google Scholar] [CrossRef]
- Delannoy, G. Durabilité D’isolants à Base de Granulats Végétaux. Ph.D. Thesis, Université Paris-Est, Paris, France, 2018. [Google Scholar]
- Marceau, S.; Glé, P.; Guéguen-Minerbe, M.; Gourlay, E.; Moscardelli, S.; Nour, I.; Amziane, S. Influence of Accelerated Aging on the Properties of Hemp Concretes. Constr. Build. Mater. 2017, 139, 524–530. [Google Scholar] [CrossRef]
- Chamoin, J. Optimisation des Propriétés (Physiques, Mécaniques et Hydriques) de Bétons de Chanvre par la Maîtrise de la Formulation. Ph.D. Thesis, INSA Rennes, Rennes, France, 2013. [Google Scholar]
- Merve Tuncer, H.; Canan Girgin, Z. Hemp Fiber Reinforced Lightweight Concrete (HRLWC) with Coarse Pumice Aggregate and Mitigation of Degradation. Mater. Struct. 2023, 56, 59. [Google Scholar] [CrossRef]
- Ziane, S.; Khelifa, M.-R.; Mezhoud, S. A Study of the Durability of Concrete Reinforced with Hemp Fibers Exposed to External Sulfatic Attack. Civ. Environ. Eng. Rep. 2020, 30, 158–184. [Google Scholar] [CrossRef]
- Viel, M.; Collet, F.; Lecieux, Y.; Marc, F.; Colson, V.; Lanos, C.; Hussain, A.; Lawrence, M. Évaluation de La Durabilité de Matériaux de Construction Biosourcés. Acad. J. Civ. Eng. 2019, 36, 60–63. [Google Scholar] [CrossRef]
- Lawrence, M.; Jiang, Y. Porosity, Pore Size Distribution, Micro-structure. In Bio-Aggregates Based Building Materials: State-of-the-Art Report of the RILEM Technical Committee 236-BBM; Sofiane, A., Collet, F., Eds.; Springer: Dordrecht, The Netherlands, 2017. [Google Scholar] [CrossRef]
- Technical Sheet of the Tradical PF 70. Available online: https://www.weber-tradical.com/wp-content/uploads/2018/03/fiche-technique-Tradical-PF-70.pdf (accessed on 9 April 2023).
- Youssef, A.; Picandet, V.; Lecompte, T.; Challamel, N. Comportement du Béton de Chanvre en Compression Simple et Cisaillement; Rencontres Universitaires de Génie Civil: Bayonne, France, 2015. [Google Scholar]
- Lo, Y.; Lee, H.M. Curing Effects on Carbonation of Concrete Using a Phenolphthalein Indicator and Fourier-Transform Infrared Spectroscopy. Build. Environ. 2002, 37, 507–514. [Google Scholar] [CrossRef]
- Gustavsson, M.; Karawacki, E.; Gustafsson, S.E. Thermal conductivity, thermal diffusivity, and specific heat of thin samples from transient measurements with hot disk sensors. Rev. Sci. Instrum. 1994, 65, 3856–3859. [Google Scholar] [CrossRef]
- Rode, C.; Peuhkuri, R.H.; Mortensen, L.H.; Hansen, K.K.; Time, B.; Gustavsen, A.; Ojanen, T.; Ahonen, J.; Svennberg, K.; Arfvidsson, J.; et al. (Eds.) Moisture Buffering of Building Materials; Technical University of Denmark, Department of Civil Engineering: Kongens Lyngby, Denmark, 2005. [Google Scholar]
- Collet-Foucault, F. Caractérisation Hydrique et Thermique de Matériaux de Génie Civil à Faibles Impacts Environnementaux. Ph.D. Thesis, Insa Rennes, Rennes, France, 2004. [Google Scholar]
- Glouannec, P.; Collet, F.; Lanos, C.; Mounanga, P.; Pierre, T.; Poullain, P.; Pretot, S.; Chamoin, J.; Zaknoune, A. Propriétés physiques de bétons de chanvre. Matériaux Tech. 2011, 99, 657–665. [Google Scholar] [CrossRef]
- NF EN ISO 12572; Hygrothermal Performance of Building Materials and Products—Determination of Water Vapour Transmission Properties—Cup Method. AFNOR: Saint-Denis, France, 2016.
- Viel, M.; Collet, F.; Lanos, C. Chemical and Multi-Physical Characterization of Agro-Resources’ by-Product as a Possible Raw Building Material. Ind. Crops Prod. 2018, 120, 214–237. [Google Scholar] [CrossRef]
- Gourlay, E.; Glé, P.; Marceau, S.; Foy, C.; Moscardelli, S. Effect of Water Content on the Acoustical and Thermal Properties of Hemp Concretes. Constr. Build. Mater. 2017, 139, 513–523. [Google Scholar] [CrossRef]
- Collet, F.; Chamoin, J.; Pretot, S.; Lanos, C. Comparison of the Hygric Behaviour of Three Hemp Concretes. Energy Build. 2013, 62, 294–303. [Google Scholar] [CrossRef]
- Fourmentin, M. Impact de la Répartition et des Transferts d’eau sur les Propriétés des Matériaux de Construction à Base de Chaux Formulées. Ph.D. Thesis, Université de Paris Est, Paris, France, 2015. [Google Scholar]



















| Hemp Shiv | Binder | |
|---|---|---|
| Skeleton density | 1380 kg/m3 | 75% hydrated lime containing 98% Ca(OH)2 |
| Particle density | 256 kg/m3 | 15% hydraulic binder |
| Particle length | 2 to 25 mm | 10% pozzolanic binder |
| Particle width | 0.5 to 8 mm | |
| Water (%) | Binder (%) | Hemp Shiv (%) |
|---|---|---|
| 51.5 | 32.3 | 16.2 |
| Sample Shape | Number | Dimensions | Type of Characterization |
|---|---|---|---|
| Rectangular parallelepiped | 88 | Base: 4 × 4 cm2 Length: 16 cm | Random univariation and aging of dimensional and thermal properties: mass, volume, density, carbonation rate, thermal conductivity, thermal capacity |
| Cylinder | 33 | Diameter: 11 cm Height: 22 cm | Random univariation and aging of hygric properties: Moisture Buffer Value (MBV) and water vapor permeability |
| Rectangular parallelepiped beam | 1 | Length: 125 cm Height: 20 cm Width: 9 cm | Spatial variability in the thermal conductivity of the material: thermal conductivity and heat capacity |
| Sample Shape | Number | Type of Characterization |
|---|---|---|
| Rectangular parallelepiped | 88 | Mass, volume, density, carbonation rate, thermal conductivity, thermal capacity |
| Cylinder | 5 | Moisture Buffer Value (MBV), water vapor permeability |
| Aging Protocol | Reference | Natural Outdoor |
|---|---|---|
| Temperature (°C) and relative humidity (%) | T = 20° ± 2 °C, RH = 50 ± 10% | Outdoor conditions; see figure in [2] |
| Samples characterized after aging: | 1, 2, 3 and 4 months | 1, 2, 3 and 4 months |
| Aging Protocol | Immersion–Drying | Freeze–Thaw |
|---|---|---|
| Description of cycles | Phase 1: Immersion, 48 h Phase 2: Drying, 48 h Total duration: 96 h | Pre-cycle: Immersion, 48 h (once every 4 cycles) Phase 1: Freeze, 48 h Phase 2: Thaw, 48 h Total duration: 144 or 96 h |
| Cycle conditions | Phase 1: Underwater, T = 20° ± 2 °C Phase 2: T = 25° ± 2 °C and RH = 40 ± 15% | Pre-cycle: Underwater, T = 20° ± 2 °C Phase 1: T = −18° ± 0.5 °C Phase 2: T = 20° ± 2 °C, RH = 50 ± 10% |
| Samples characterized afterwards: | 2, 4, 8, 12, 16 and 20 cycles | 2, 4, 8, 12, 16 and 20 cycles |
| Sample Shape | Conditioning Pre-Characterization |
|---|---|
| Rectangular parallelepiped | Dried in an oven at 40 °C until the 24 h mass variation in the sample was less than 0.1% of the sample mass |
| Cylinder | Held at T = 20° ± 2 °C and RH = 50 ± 10% until the 24 h mass variation in the sample was less than 1% of the sample mass |
| Rectangular parallelepiped beam | After 2 months of curing at T = 20° ± 2 °C and RH = 50 ± 10% |
| Layer | Mean | Median | Min | Max | Standard Deviation |
|---|---|---|---|---|---|
| All | 0.186 | 0.183 | 0.161 | 0.214 | 0.015 |
| Upper | 0.190 | 0.187 | 0.165 | 0.214 | 0.017 |
| Middle | 0.188 | 0.193 | 0.163 | 0.211 | 0.016 |
| Lower | 0.181 | 0.178 | 0.161 | 0.202 | 0.010 |
Disclaimer/Publisher’s Note: The statements, opinions and data contained in all publications are solely those of the individual author(s) and contributor(s) and not of MDPI and/or the editor(s). MDPI and/or the editor(s) disclaim responsibility for any injury to people or property resulting from any ideas, methods, instructions or products referred to in the content. |
© 2023 by the authors. Licensee MDPI, Basel, Switzerland. This article is an open access article distributed under the terms and conditions of the Creative Commons Attribution (CC BY) license (https://creativecommons.org/licenses/by/4.0/).
Share and Cite
Poupard, T.; Tchiotsop, J.; Issaadi, N.; Amiri, O. Experimental Study of the Dimensional and Hygrothermal Properties of Hemp Concrete under Accelerated Aging. Buildings 2023, 13, 2414. https://doi.org/10.3390/buildings13102414
Poupard T, Tchiotsop J, Issaadi N, Amiri O. Experimental Study of the Dimensional and Hygrothermal Properties of Hemp Concrete under Accelerated Aging. Buildings. 2023; 13(10):2414. https://doi.org/10.3390/buildings13102414
Chicago/Turabian StylePoupard, Théo, Junior Tchiotsop, Nabil Issaadi, and Ouali Amiri. 2023. "Experimental Study of the Dimensional and Hygrothermal Properties of Hemp Concrete under Accelerated Aging" Buildings 13, no. 10: 2414. https://doi.org/10.3390/buildings13102414
APA StylePoupard, T., Tchiotsop, J., Issaadi, N., & Amiri, O. (2023). Experimental Study of the Dimensional and Hygrothermal Properties of Hemp Concrete under Accelerated Aging. Buildings, 13(10), 2414. https://doi.org/10.3390/buildings13102414

