Sustainable Building Optimization Model for Early-Stage Design
Abstract
1. Introduction
2. Background
2.1. Sustainable Building Optimization Design
- The design space is typically large.
- The interactions among parameters are complicated and there is more than one performance criterion to be considered.
- The evaluation process of the performance criteria of the design alternative is usually conducted using different commercial simulation programs.
- It is difficult coupling the simulation programs with an optimization model.
2.2. Previous Research on Design Optimization Techniques
3. Research Motivation
4. Methodology
4.1. Parametric Model and Energy Simulation
Parametric Model with an Energy Simulation
- (a)
- The choice of construction materials. This includes materials for the building envelope, including the walls, roof, slab on grade, windows, and glazing;
- (b)
- Building geometry modeling. This includes modeling the building’s length, width, height, and orientation using Grasshopper;
- (c)
- Energy simulations. Various combinations of parameters were tested in order to generate different scenarios and determine their corresponding range for energy consumption. These simulations were performed in EnergyPlus;
- (d)
- The generation of the database. Twelve scenarios were used with 1000 simulations for each one, for a total of 12,000 generated simulations. These simulations were stored, including the inputs and outputs of each one.
4.2. Artificial Neural Network Model for Energy Prediction
4.3. GA’s Optimization Model
4.3.1. Gene Representation
4.3.2. Population Size
4.3.3. Fitness Function
4.3.4. Genetic Operators
- Reproduction
- Crossover
- Optimization Model Implementation
5. Case Study
6. Discussion
7. Recommendations for Future Work
8. Conclusions
Author Contributions
Funding
Data Availability Statement
Conflicts of Interest
References
- Toutou, A.M.Y.; Fikry, M.; Mohamed, W. The parametric based optimization framework daylighting and energy performance in residential buildings in hot arid zone. Alex. Eng. J. 2018, 57, 3595–3608. [Google Scholar] [CrossRef]
- Guidehouse Germany. Cooling Sector Status Report Egypt. 2022. Available online: https://www.coolupprogramme.org/wp-content/uploads/2022/07/Cool-Up_Cooling-Sector-Status-Report_Egypt_2022.pdf (accessed on 1 December 2022).
- Ministry of Electricity & Energy, Egyptian Electricity Holding Company Annual Report 2014/2015, Cairo. 2015. Available online: http://www.moee.gov.eg/english_new/EEHC_Rep/2014-2015en.pdf (accessed on 2 October 2022).
- Evins, R. A review of computational optimisation methods applied to sustainable building design. Renew. Sustain. Energy Rev. 2013, 22, 230–245. [Google Scholar] [CrossRef]
- Longo, S.; Montana, F.; Sanseverino, E.R. A review on optimization and cost-optimal methodologies in low-energy buildings design and environmental considerations. Sustain. Cities Soc. 2019, 45, 87–104. [Google Scholar] [CrossRef]
- Ihm, P.; Krarti, M. Design optimization of energy efficient residential buildings in Tunisia. Build. Environ. 2012, 58, 81–90. [Google Scholar] [CrossRef]
- Kheiri, F. A review on optimization methods applied in energy-efficient building geometry and envelope design. Renew. Sustain. Energy Rev. 2018, 92, 897–920. [Google Scholar] [CrossRef]
- Hu, J.; Zheng, W.; Zhang, S.; Li, H.; Liu, Z.; Zhang, G.; Yang, X. Thermal load prediction and operation optimization of office building with a zone-level artificial neural network and rule-based control. Appl. Energy 2021, 300, 117429. [Google Scholar] [CrossRef]
- Afroz, Z.; Shafiullah, G.; Urmee, T.; Shoeb, M.; Higgins, G. Predictive modelling and optimization of HVAC systems using neural network and particle swarm optimization algorithm. Build. Environ. 2022, 209, 108681. [Google Scholar] [CrossRef]
- Etemad, A.; Shafaat, A.; Bahman, A.M. Data-driven performance analysis of a residential building applying artificial neural network (ANN) and multi-objective genetic algorithm (GA). Build. Environ. 2022, 225, 109633. [Google Scholar]
- Tian, Z.; Zhang, X.; Jin, X.; Zhou, X.; Si, B.; Shi, X. Towards adoption of building energy simulation and optimization for passive building design: A survey and a review. Energy Build. 2018, 158, 1306–1316. [Google Scholar] [CrossRef]
- Zhang, A.; Bokel, R.; Dobbelsteen, A.V.D.; Sun, Y.; Huang, Q.; Zhang, Q. Optimization of thermal and daylight performance of school buildings based on a multi-objective genetic algorithm in the cold climate of China. Energy Build. 2017, 139, 371–384. [Google Scholar] [CrossRef]
- Sun, C.; Liu, Q.; Han, Y. Many-Objective Optimization Design of a Public Building for Energy, Daylighting and Cost Performance Improvement. Appl. Sci. 2020, 10, 2435. [Google Scholar] [CrossRef]
- Toutou, A.M.Y. Parametric approach for multi-objective optimization for daylighting and energy consumption in early stage design of office tower in new administrative capital city of Egypt. In The Academic Research Community Publication; IEREK: London, UK, 2019; Volume 3, pp. 1–13. [Google Scholar]
- Zhang, J.; Liu, N.; Wang, S. A parametric approach for performance optimization of residential building design in Beijing. Build. Simul. 2019, 13, 223–235. [Google Scholar] [CrossRef]
- Østergård, T.; Jensen, R.L.; Maagaard, S.E. Building simulations supporting decision making in early design—A review. Renew. Sustain. Energy Rev. 2016, 61, 187–201. [Google Scholar] [CrossRef]
- Manni, M.; Nicolini, A. Multi-objective optimization models to design a responsive built environment: A synthetic review. Energies 2022, 15, 486. [Google Scholar] [CrossRef]
- Augenbroe, G. Trends in building simulation. In Advanced Building Simulation; Routledge: London, UK, 2004; pp. 18–38. [Google Scholar]
- Negendahl, K.; Nielsen, T.R. Building energy optimization in the early design stages: A simplified method. Energy Build. 2015, 105, 88–99. [Google Scholar] [CrossRef]
- Ekici, B.; Turkcan, O.F.; Turrin, M.; Sariyildiz, I.S.; Tasgetiren, M.F. Optimising High-Rise Buildings for Self-Sufficiency in Energy Consumption and Food Production Using Artificial Intelligence: Case of Europoint Complex in Rotterdam. Energies 2022, 15, 660. [Google Scholar] [CrossRef]
- Wu, H.; Deng, F.; Tan, H. Research on parametric design method of solar photovoltaic utilization potential of nearly zero-energy high-rise residential building based on genetic algorithm. J. Clean. Prod. 2022, 368, 133169. [Google Scholar] [CrossRef]
- Guo, J.; Li, M.; Jiang, Z.; Wang, Z.; Zhou, Y. Optimized Design of Floor Plan and Components of Prefabricated Building with Energy-Cost Effect. Appl. Sci. 2022, 12, 3740. [Google Scholar] [CrossRef]
- Jayaweera, N.; Rajapaksha, U.; Manthilake, I. A parametric approach to optimize solar access for energy efficiency in high-rise residential buildings in dense urban tropics. Sol. Energy 2021, 220, 187–203. [Google Scholar] [CrossRef]
- Wang, S.; Yi, Y.K.; Liu, N. Multi-objective optimization (MOO) for high-rise residential buildings’ layout centered on daylight, visual, and outdoor thermal metrics in China. Build. Environ. 2021, 205, 108263. [Google Scholar] [CrossRef]
- Gan, V.J.; Wong, H.; Tse, K.; Cheng, J.C.; Lo, I.M.; Chan, C. Simulation-based evolutionary optimization for energy-efficient layout plan design of high-rise residential buildings. J. Clean. Prod. 2019, 231, 1375–1388. [Google Scholar] [CrossRef]
- Panagiotou, D.K.; Dounis, A.I. Comparison of Hospital Building’s Energy Consumption Prediction Using Artificial Neural Networks, ANFIS, and LSTM Network. Energies 2022, 15, 6453. [Google Scholar] [CrossRef]
- Besbas, S.; Nocera, F.; Zemmouri, N.; Khadraoui, M.A.; Besbas, A. Parametric-Based Multi-Objective Optimization Workflow: Daylight and Energy Performance Study of Hospital Building in Algeria. Sustainability 2022, 14, 12652. [Google Scholar] [CrossRef]
- Marzouk, M.; ElSharkawy, M.; Mahmoud, A. Optimizing daylight utilization of flat skylights in heritage buildings. J. Adv. Res. 2022, 37, 133–145. [Google Scholar] [CrossRef]
- Piraei, F.; Matusiak, B.; Lo Verso, V.R. Evaluation and Optimization of Daylighting in Heritage Buildings: A Case-Study at High Latitudes. Buildings 2022, 12, 2045. [Google Scholar] [CrossRef]
- Ngo, N.-T.; Truong, T.T.; Truong, N.-S.; Pham, A.-D.; Huynh, N.-T.; Pham, T.M.; Pham, V.H. Proposing a hybrid metaheuristic optimization algorithm and machine learning model for energy use forecast in non-residential buildings. Sci. Rep. 2022, 12, 1–18. [Google Scholar] [CrossRef]
- Wang, W. A Simulation-Based Optimization System for Green Building Design. Doctoral Dissertation, Concordia University, Montreal, QC, Canada, 2005. [Google Scholar]
- Shi, X.; Tian, Z.; Chen, W.; Si, B.; Jin, X. A review on building energy efficient design optimization rom the perspective of architects. Renew. Sustain. Energy Rev. 2016, 65, 872–884. [Google Scholar] [CrossRef]
- Attia, S.; Hamdy, M.; O’Brien, W.; Carlucci, S. Assessing gaps and needs for integrating building performance optimization tools in net zero energy buildings design. Energy Build. 2013, 60, 110–124. [Google Scholar] [CrossRef]
- Touloupaki, E.; Theodosiou, T. Energy performance optimization as a generative design tool for nearly Zero Energy Buildings. Procedia Eng. 2016, 180, 1178–1185. [Google Scholar] [CrossRef]
- Ciardiello, A.; Rosso, F.; Dell’Olmo, J.; Ciancio, V.; Ferrero, M.; Salata, F. Multi-objective approach to the optimization of shape and envelope in building energy design. Appl. Energy 2020, 280, 115984. [Google Scholar] [CrossRef]
- Yu, W.; Li, B.; Jia, H.; Zhang, M.; Wang, D. Application of multi-objective genetic algorithm to optimize energy efficiency and thermal comfort in building design. Energy Build. 2015, 88, 135–143. [Google Scholar] [CrossRef]
- Ascione, F.; Bianco, N.; Mauro, G.M.; Vanoli, G.P. A new comprehensive framework for the multi-objective optimization of building energy design: Harlequin. Appl. Energy 2019, 241, 331–361. [Google Scholar] [CrossRef]
- Delgarm, N.; Sajadi, B.; Kowsary, F.; Delgarm, S. Multi-objective optimization of the building energy performance: A simulation-based approach by means of particle swarm optimization (PSO). Appl. Energy 2016, 170, 293–303. [Google Scholar] [CrossRef]
- Li, Q.; Zhang, L.; Zhang, L.; Wu, X. Optimizing energy efficiency and thermal comfort in building green retrofit. Energy 2021, 237, 121509. [Google Scholar] [CrossRef]
- Rabani, M.; Habtamu, B.M.; Natasa, N. Achieving zero-energy building performance with thermal and visual comfort enhancement through optimization of fenestration, envelope, shading device, and energy supply system. Sustain. Energy Technol. Assess. 2021, 44, 101020. [Google Scholar] [CrossRef]
- Magnier, L.; Haghighat, F. Multiobjective optimization of building design using TRNSYS simulations, genetic algorithm, and Artificial Neural Network. Build. Environ. 2010, 45, 739–746. [Google Scholar] [CrossRef]
- Bagheri-Esfeh, H.; Dehghan, M.R. Multi-objective optimization of setpoint temperature of thermostats in residential buildings. Energy Build. 2022, 261, 111955. [Google Scholar] [CrossRef]
- Yigit, S.; Caglayan, S.; Ozorhon, B. Evaluation of optimum building envelope materials in different climate regions of Turkey. In IOP Conference Series: Materials Science and Engineering; IOP Publishing: Bristol, UK, 2019; Volume 471, p. 062009. [Google Scholar]
- Vukadinović, A.; Radosavljević, J.; Đorđević, A.; Protić, M.; Petrović, N. Multi-objective optimization of energy performance for a detached residential building with a sunspace using the NSGA-II genetic algorithm. Sol. Energy 2021, 224, 1426–1444. [Google Scholar] [CrossRef]
- Caldas, L.G.; Norford, L.K. Genetic algorithms for optimization of building envelopes and the design and control of HVAC systems. J. Sol. Energy Eng. 2003, 125, 343–351. [Google Scholar] [CrossRef]
- Olu-Ajayi, R.; Alaka, H.; Sulaimon, I.; Sunmola, F.; Ajayi, S. Building energy consumption prediction for residential buildings using deep learning and other machine learning techniques. J. Build. Eng. 2022, 45, 103406. [Google Scholar] [CrossRef]
- Shapi, M.K.M.; Ramli, N.A.; Awalin, L.J. Energy consumption prediction by using machine learning for smart building: Case study in Malaysia. Dev. Built Environ. 2021, 5, 100037. [Google Scholar] [CrossRef]
- Mirjalili, S.; Mirjalili, S.M.; Lewis, A. Grey Wolf Optimizer. Adv. Eng. Softw. 2014, 69, 46–61. [Google Scholar] [CrossRef]
- Saremi, S.; Mirjalili, S.; Lewis, A. Grasshopper optimisation algorithm: Theory and application. Adv. Eng. Softw. 2017, 105, 30–47. [Google Scholar] [CrossRef]
- Si, B.; Tian, Z.; Jin, X.; Zhou, X.; Tang, P.; Shi, X. Performance indices and evaluation of algorithms in building energy efficient design optimization. Energy 2016, 114, 100–112. [Google Scholar] [CrossRef]
- Tuhus-Dubrow, D.; Krarti, M. Genetic-algorithm based approach to optimize building envelope design for residential buildings. Build. Environ. 2010, 45, 1574–1581. [Google Scholar] [CrossRef]
- Coley, D.A.; Schukat, S. Low-energy design: Combining computer-based optimisation and human judgement. Build. Environ. 2002, 37, 1241–1247. [Google Scholar] [CrossRef]
- Znouda, E.; Ghrab-Morcos, N.; Hadj-Alouane, A. Optimization of Mediterranean building design using genetic algorithms. Energy Build. 2007, 39, 148–153. [Google Scholar] [CrossRef]
- Yi, Y.K.; Malkawi, A.M. Optimizing building form for energy performance based on hierarchical geometry relation. Autom. Constr. 2009, 18, 825–833. [Google Scholar] [CrossRef]
- Brownlee, A.E.; Wright, J.A.; Mourshed, M.M. A multi-objective window optimisation problem. In Proceedings of the 13th Annual Conference Companion on Genetic and Evolutionary Computation, GECCO ’11, New York, NY, USA, 12–16 July 2011; pp. 89–90. [Google Scholar]
- Bichiou, Y.; Krarti, M. Optimization of envelope and HVAC systems selection for residential buildings. Energy Build. 2011, 43, 3373–3382. [Google Scholar] [CrossRef]
- Horikoshi, K.; Ooka, R.; Lim, J. Building Shape Optimization for Sustainable Building Design-part (1) investigation into the relationship among building shape, zoning plans, and building energy consumption. Proc. ASIM Conf. 2012. [Google Scholar]
- Machairas, V.; Tsangrassoulis, A.; Axarli, K. Algorithms for optimization of building design: A review. Renew. Sustain. Energy Rev. 2014, 31, 101–112. [Google Scholar] [CrossRef]
- Elbeltagi, E.; Wefki, H. Predicting energy consumption for residential buildings using ANN through parametric modeling. Energy Rep. 2021, 7, 2534–2545. [Google Scholar] [CrossRef]
- Elbeltagi, E.; Wefki, H.; Abdrabou, S.; Dawood, M.; Ramzy, A. Visualized strategy for predicting buildings energy consumption during early design stage using parametric analysis. J. Build. Eng. 2017, 13, 127–136. [Google Scholar] [CrossRef]
- Olofsson, T.; Andersson, S. Overall heat loss coefficient and domestic energy gain factor for single-family buildings. Build. Environ. 2002, 37, 1019–1026. [Google Scholar] [CrossRef]
- Hegazy, T.; Fazio, P.; Moselhi, O. Developing Practical Neural Network Applications Using Back-Propagation. Comput. Aided Civ. Infrastruct. Eng. 1994, 9, 145–159. [Google Scholar] [CrossRef]
- Wefki, H. Conceptual Design for Sustainable Buildings Considering Energy Consumption Using Simulation and ANN, Mansoura. Doctoral Dissertation, Mansoura University, Mansoura, Egypt, 2017. [Google Scholar]
- Alajmi, A. Efficient Optimisation of Building Design Using a Genetic Algorithm. Doctoral Dissertation, Loughborough University, Loughborough, UK, 2006. [Google Scholar]
- Elbetagi, E.; Hegazy, T.; Grierson, D. A new evolutionary strategy for Pareto multi-objective optimization. In Proceedings of the 7th International Conference on Engineering Computational Technology, Civil-Comp Press, Stirlingshire, Scotland, 14–17 September 2010. [Google Scholar]
- Elbeltagi, E.; Hegazy, T.; Grierson, D. Comparison among five evolutionary-based optimization algorithms. Adv. Eng. Inform. 2005, 19, 43–53. [Google Scholar] [CrossRef]
- Zhao, H.; Zhang, C. An online-learning-based evolutionary many-objective algorithm. Inf.Sci. 2020, 509, 1–21. [Google Scholar] [CrossRef]
- Dulebenets, M.A. An Adaptive Polyploid Memetic Algorithm for scheduling trucks at a cross-docking terminal. Inf. Sci. 2021, 565, 390–421. [Google Scholar] [CrossRef]
- Kavoosi, M.; Dulebenets, M.A.; Abioye, O.F.; Pasha, J.; Wang, H.; Chi, H. An augmented self-adaptive parameter control in evolutionary computation: A case study for the berth scheduling problem. Adv. Eng. Inform. 2019, 42, 100972. [Google Scholar] [CrossRef]
- Dulebenets, M.A. A novel memetic algorithm with a deterministic parameter control for efficient berth scheduling at marine container terminals. Marit. Bus. Rev. 2017, 2, 302–330. [Google Scholar] [CrossRef]
- Pasha, J.; Nwodu, A.; Fathollahi-Fard, A.M.; Tian, G.; Li, Z.; Wang, H.; Dulebenets, M.A. Exact and metaheuristic algorithms for the vehicle routing problem with a factory-in-a-box in multi-objective settings. Adv. Eng. Inform. 2022, 52, 101623. [Google Scholar] [CrossRef]
- Khelifa, B.; Laouar, M.R. A holonic intelligent decision support system for urban project planning by ant colony optimization algorithm. Appl. Soft Comput. 2020, 96, 106621. [Google Scholar] [CrossRef]
- Rabbani, M.; Oladzad-Abbasabady, N.; Akbarian-Saravi, N. Ambulance routing in disaster response considering variable patient condition: NSGA-II and MOPSO algorithms. J. Ind. Manag. Optim. 2022, 18, 1035–1062. [Google Scholar] [CrossRef]
- Gong, G.; Chiong, R.; Deng, Q.; Luo, Q. A memetic algorithm for multi-objective distributed production A memetic algorithm for multi-objective distributed production. J. Intell. Manuf. 2020, 31, 1443–1466. [Google Scholar] [CrossRef]







| Control Parameter | Values |
|---|---|
| Population size | [100,150,200] |
| Crossover probability | [0.8,0.9] |
| Mutation probability | [0.1,0.2] |
| No. of Generations/Cycle | [25,50,100] |
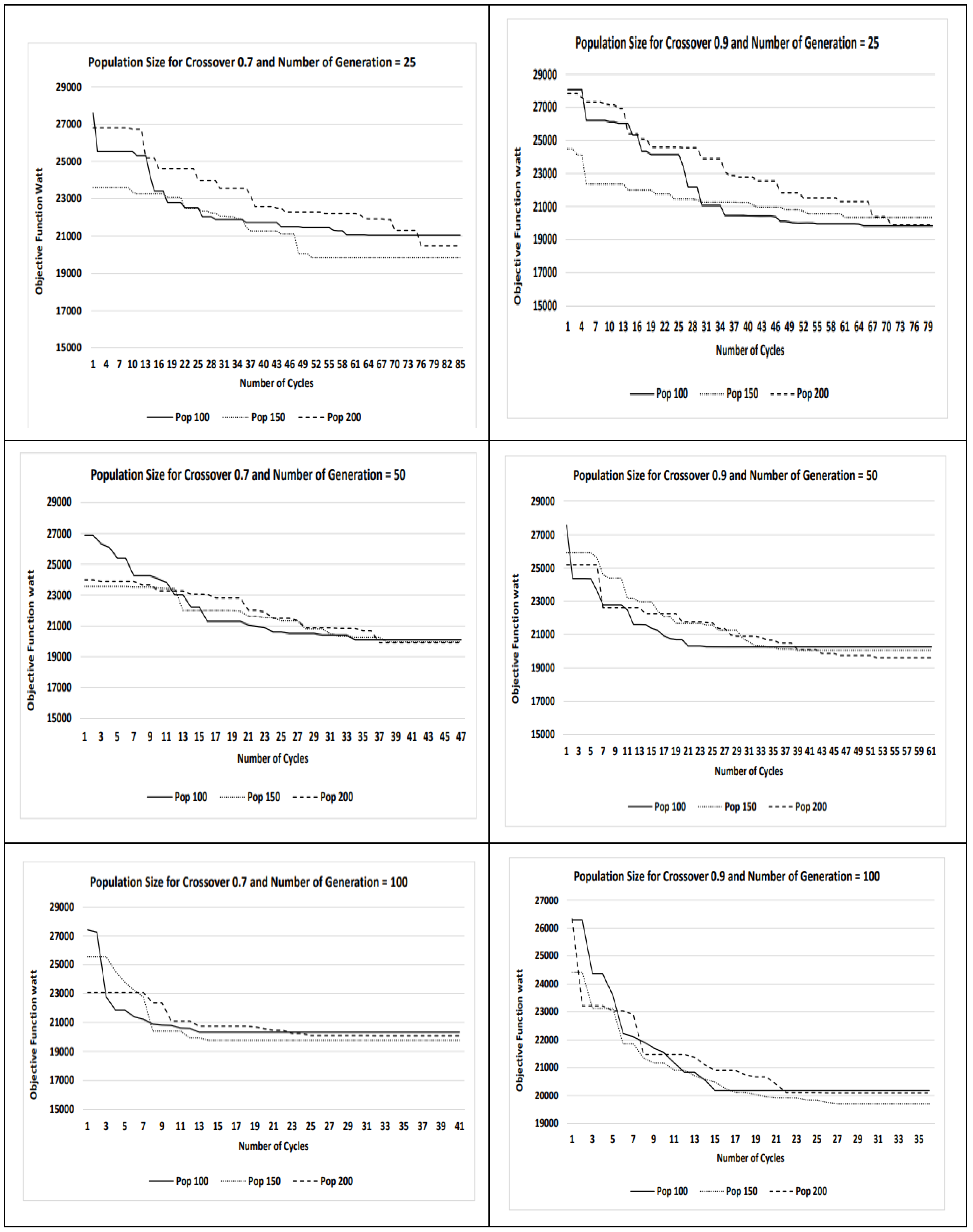
| Population Size | Crossover Rate | Generation Number |
|---|---|---|
| 0.7 | 25 | |
| 100 | 0.7 | 50 |
| 0.7 | 100 | |
| 0.9 | 25 | |
| 0.9 | 50 | |
| 0.9 | 100 | |
| 0.7 | 25 | |
| 150 | 0.7 | 50 |
| 0.7 | 100 | |
| 0.9 | 25 | |
| 0.9 | 50 | |
| 0.9 | 100 | |
| 0.7 | 25 | |
| 200 | 0.7 | 50 |
| 0.7 | 100 | |
| 0.9 | 25 | |
| 0.9 | 50 | |
| 0.9 | 100 |
| Index | Parameter Sets | Best Solution (Watts) |
|---|---|---|
| 1 | [100,0.7,25] | 21,044.80 |
| 2 | [100,0.7,50] | 20,105.18 |
| 3 | [100,0.7,100] | 20,325.30 |
| 4 | [100,0.9,25] | 19,827.70 |
| 5 | [100,0.9,50] | 20,249.90 |
| 6 | [100,0.9,100] | 20,192.84 |
| 7 | [150,0.7,25] | 19,832.80 |
| 8 | [150,0.7,50] | 19,962.80 |
| 9 | [150,0.7,100] | 19,767.65 |
| 10 | [150,0.9,25] | 20,334.80 |
| 11 | [150,0.9,50] | 20,047.10 |
| 12 | [150,0.9,100] | 19,708.00 |
| 13 | [200,0.7,25] | 20,489.46 |
| 14 | [200,0.7,50] | 19,913.17 |
| 15 | [200,0.7,100] | 20,080.30 |
| 16 | [200,0.9,25] | 19,888.20 |
| 17 | [200,0.9,50] | 19,600.60 |
| 18 | [200,0.9,100] | 20,106.80 |
| Location | New Cairo |
| Number of floors | 2 stories |
| Floor area | 252 m2 |
| Building Length | 14 m |
| Building Depth | 18 m |
| Floor-to-floor height | 3 m |
| Number of floors | 3 |
| Exterior wall area | 380 m2 |
| Orientation | 45° |
| North façade (WWR) | 20% |
| South façade (WWR) | 10% |
| East façade (WWR) | 15% |
| West façade (WWR) | 15% |
| Wall Type | Wall type 1 |
| Roof Type | Roof type 1 |
| SOG Type | SOG type 1 |
| Glass Type | Single glass 6 mm |
| Glass U-value | 5.67 w/m2k |
| Glass SHGC | 1.0 |
| Glass VT | 0.7 |
| Heating Set point | 22 °C |
| Cooling Set Point | 22 °C |
| # | Variables | Value |
|---|---|---|
| 1 | Wall Type | 2 |
| 2 | SOG Type | 1 |
| 3 | Roof Type | 1 |
| 4 | Orientation (°) | 48 |
| 5 | South windows to wall ratio (%) | 16% |
| 6 | East windows to wall ratio (%) | 13% |
| 7 | North windows to wall ratio (%) | 18% |
| 8 | West windows to wall ratio (%) | 11% |
| 9 | Glass U-value | 0.6 |
| 10 | SHGC | 0.5 |
| 11 | VT | 0.5 |
| 12 | Cooling set point | 22 |
| 13 | Heating set point | 20 |
| Energy Consumption | 26,421.12 watts |
Disclaimer/Publisher’s Note: The statements, opinions and data contained in all publications are solely those of the individual author(s) and contributor(s) and not of MDPI and/or the editor(s). MDPI and/or the editor(s) disclaim responsibility for any injury to people or property resulting from any ideas, methods, instructions or products referred to in the content. |
© 2022 by the authors. Licensee MDPI, Basel, Switzerland. This article is an open access article distributed under the terms and conditions of the Creative Commons Attribution (CC BY) license (https://creativecommons.org/licenses/by/4.0/).
Share and Cite
Elbeltagi, E.; Wefki, H.; Khallaf, R. Sustainable Building Optimization Model for Early-Stage Design. Buildings 2023, 13, 74. https://doi.org/10.3390/buildings13010074
Elbeltagi E, Wefki H, Khallaf R. Sustainable Building Optimization Model for Early-Stage Design. Buildings. 2023; 13(1):74. https://doi.org/10.3390/buildings13010074
Chicago/Turabian StyleElbeltagi, Emad, Hossam Wefki, and Rana Khallaf. 2023. "Sustainable Building Optimization Model for Early-Stage Design" Buildings 13, no. 1: 74. https://doi.org/10.3390/buildings13010074
APA StyleElbeltagi, E., Wefki, H., & Khallaf, R. (2023). Sustainable Building Optimization Model for Early-Stage Design. Buildings, 13(1), 74. https://doi.org/10.3390/buildings13010074

