Monitoring of Wind Effects on a Super-Tall Building under a Typhoon
Abstract
1. Introduction
2. Field Monitoring Program
2.1. Building Instrumentation
2.2. Typhoon Vicente
3. Wind Characteristics
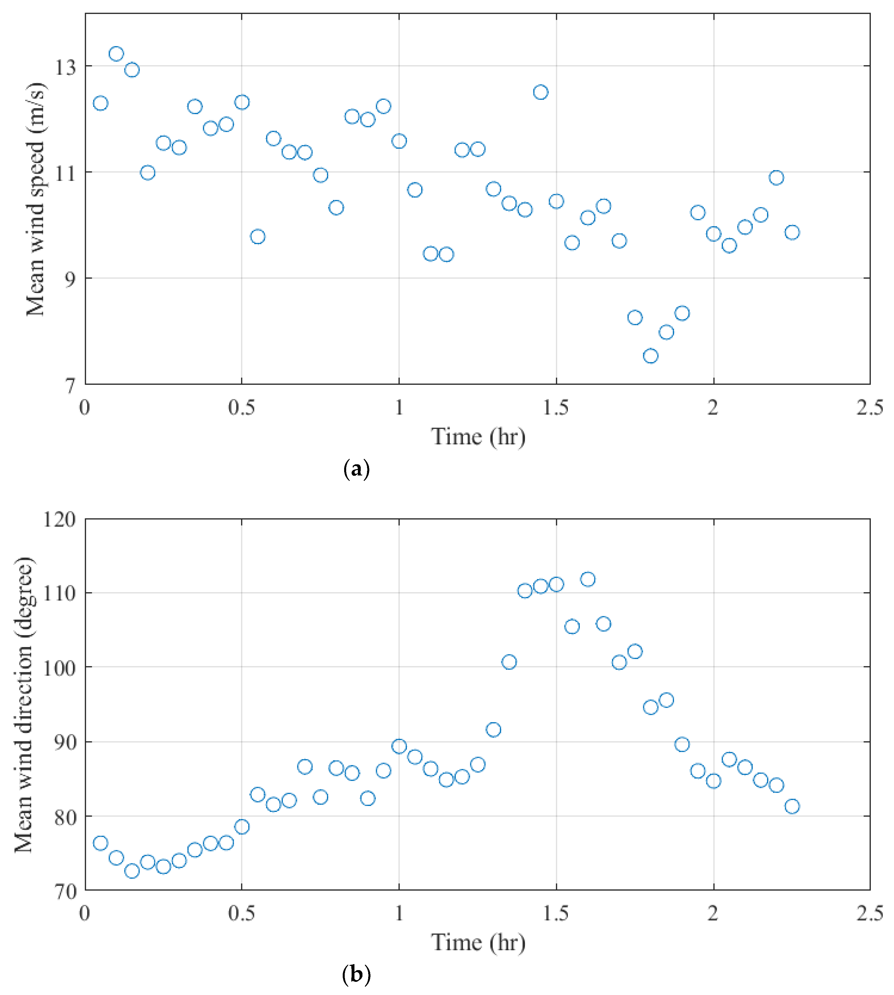
3.1. Mean Wind Speed and Direction
3.2. Turbulence Intensity, Gust Factor, and Power Spectral Density (PSD)
4. Structural Performance and Dynamic Properties
4.1. Structural Acceleration Response
4.2. Structural Dynamic Properties
4.2.1. Method for Modal Analysis
4.2.2. Analysis Results
5. Conclusions
- (1)
- The turbulence intensity and gust factor decreased as the mean wind speed increased; the average values of the turbulence intensity in the longitudinal and lateral directions were 0.15 and 0.13, respectively. The measured mean longitudinal turbulence intensity was similar to the value specified in the Chinese Building Code.
- (2)
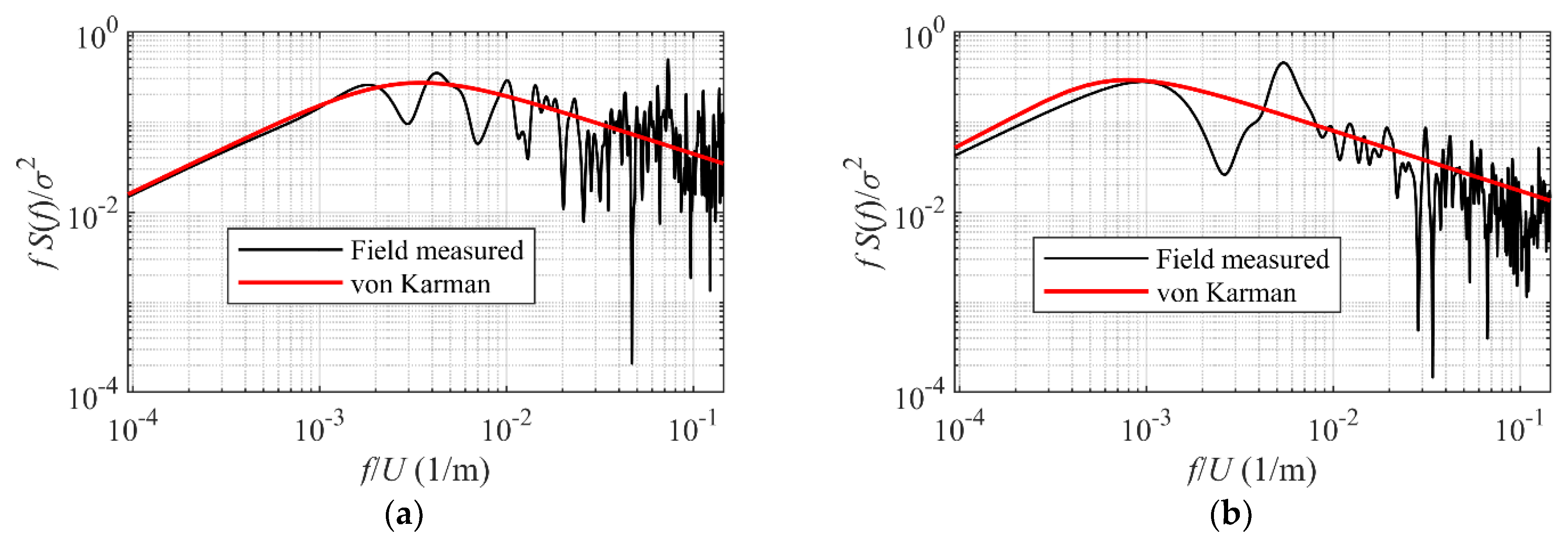
- The von Karman spectrum can describe the energy distribution for fluctuating wind speeds in the lower frequency range at approximately 300 m in height in an urban area.
- (3)
- The identified modal frequencies obtained using the fast Bayesian FFT method agreed well with those identified via SSI, whereas some differences were indicated in terms of the damping ratios. The natural frequencies predicted by the FEM were generally lower than their measured counterparts, with a maximum relative difference of 16.3%.
- (4)
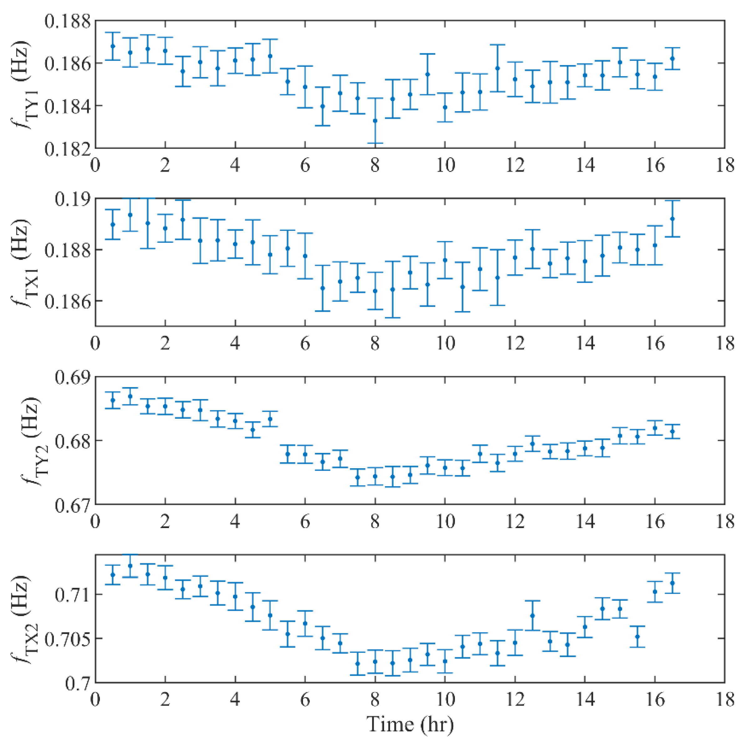
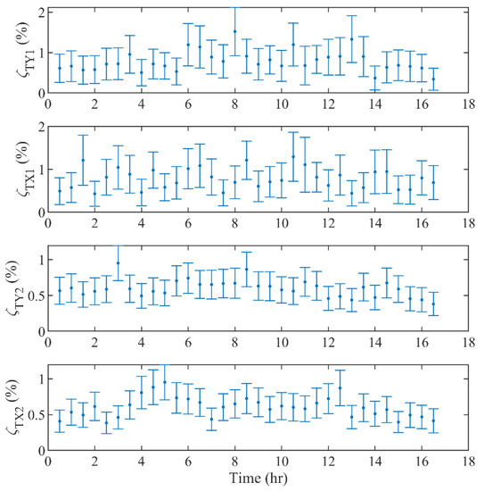
- The natural frequencies of all the modes exhibited an evident time-varying feature, but not for the damping ratios and mode shapes. The largest reductions of the frequencies for the above-mentioned four modes were 1.87%, 1.56%, 1.84%, and 1.55%. Moreover, the natural frequencies exhibited a clear decreasing trend as the vibration amplitude increased, although “stratification” was observed simultaneously. The damping ratios exhibited a large dispersion, and no clear correlation was indicated between the damping ratio and vibration amplitude. The average values of damping ratios for the four modes were 0.79%, 0.78%, 0.60%, and 0.60%.
Author Contributions
Funding
Data Availability Statement
Acknowledgments
Conflicts of Interest
References
- Ohkuma, T.; Marukawa, H.; Niihori, Y.; Kato, N. Full-scale measurement of wind pressures and response accelerations of a high-rise building. J. Wind. Eng. Ind. Aerodyn. 1991, 38, 185–196. [Google Scholar] [CrossRef]
- Hu, J.; Li, Z.; Zhao, Z. Field Measurement on Translational and Torsional Wind-Induced Response of a High-Rise Building during Typhoon Khanun. Buildings 2022, 12, 1698. [Google Scholar] [CrossRef]
- Huang, M.; Xu, Q.; Xu, H.; Ni, Y.Q.; Kwok, K. Probabilistic assessment of vibration exceedance for a full-scale tall building under typhoon conditions. Struct. Des. Tall Spec. Build. 2018, 27, e1516. [Google Scholar] [CrossRef]
- Kijewski-Correa, T.; Kilpatrick, J.; Kareem, A.; Kwon, D.K.; Bashor, R.; Kochly, M.; Young, B.S.; Abdelrazaq, A.; Galsworthy, J.; Isyumov, N.; et al. Validating wind-induced response of tall buildings: Synopsis of the Chicago full-scale monitoring program. J. Struct. Eng. 2006, 132, 1509–1523. [Google Scholar] [CrossRef]
- Fu, J.Y.; Wu, J.R.; Xu, A.; Li, Q.S.; Xiao, Y.Q. Full-scale measurements of wind effects on Guangzhou West Tower. Eng. Struct. 2012, 35, 120–139. [Google Scholar] [CrossRef]
- Li, Q.S.; Han, X.L.; Zhou, K. Effect of time-variant structural modal parameters on accurate estimation of wind-induced dynamic responses of high-rise buildings during typhoons. J. Build. Eng. 2022, 56, 104783. [Google Scholar] [CrossRef]
- Jeary, A.P. Damping in tall buildings—A mechanism and a predictor. Earthq. Eng. Struct. Dyn. 1986, 14, 733–750. [Google Scholar] [CrossRef]
- Jeary, A.P. Establishing non-linear damping characteristics of structures from non-stationary response time-histories. Struct. Eng. 1992, 70, 61–66. [Google Scholar]
- Jeary, A.P. The description and measurement of nonlinear damping in structures. J. Wind. Eng. Ind. Aerodyn. 1996, 59, 103–114. [Google Scholar] [CrossRef]
- Tamura, Y.; Suganuma, S.Y. Evaluation of amplitude-dependent damping and natural frequency of buildings during strong winds. J. Wind. Eng. Ind. Aerodyn. 1996, 59, 115–130. [Google Scholar] [CrossRef]
- Li, Q.S.; Fang, J.Q.; Jeary, A.P.; Wong, C.K. Full scale measurements of wind effects on tall buildings. J. Wind. Eng. Ind. Aerodyn. 1998, 74, 741–750. [Google Scholar] [CrossRef]
- Li, Q.S.; Fu, J.Y.; Xiao, Y.Q.; Li, Z.N.; Ni, Z.H.; Xie, Z.N.; Gu, M. Wind tunnel and full-scale study of wind effects on China’s tallest building. Eng. Struct. 2006, 28, 1745–1758. [Google Scholar] [CrossRef]
- Li, Q.S.; Li, X.; Chan, P.W. Impact of a Fifty-Year-Recurrence Super Typhoon on Skyscrapers in Hong Kong: Large-Scale Field Monitoring Study. J. Struct. Eng. 2021, 147, 04021004. [Google Scholar] [CrossRef]
- Pan, H.; Au, S.K.; Fu, J.; Xu, A.; He, Y. Field measurement and wind tunnel experimental investigation of a supertall building with closely spaced modes under typhoon Mangkhut. J. Wind. Eng. Ind. Aerodyn. 2022, 226, 105033. [Google Scholar] [CrossRef]
- Pan, H.; Xie, Z.; Xu, A.; Zhang, L. Wind effects on Shenzhen Zhuoyue Century Center: Field measurement and wind tunnel test. Struct. Des. Tall Spec. Build. 2017, 26, e1376. [Google Scholar] [CrossRef]
- Xie, Z.; Liu, C.; Yu, X. Field measurements and wind tunnel experimental investigations of wind effects on Guangzhou West Tower. Struct. Des. Tall Spec. Build. 2020, 29, e1774. [Google Scholar] [CrossRef]
- Zhou, K.; Li, Q.S. Investigation of time-varying structural dynamic properties of high-rise buildings under typhoon conditions. J. Build. Eng. 2022, 46, 103796. [Google Scholar] [CrossRef]
- Sun, M.; Li, Q. Evaluation of modal properties of high-rise buildings under severe typhoon conditions using correlation function-based modal identification methods. J. Wind. Eng. Ind. Aerodyn. 2022, 229, 105140. [Google Scholar] [CrossRef]
- Zhang, L.; Hu, X.; Xie, Z.; Shi, B.; Zhang, L.; Wang, R. Field measurement study on time-varying characteristics of modal parameters of super high-rise buildings during super typhoon. J. Wind. Eng. Ind. Aerodyn. 2020, 200, 104139. [Google Scholar] [CrossRef]
- Hua, X.G.; Xu, K.; Wang, Y.W.; Wen, Q.; Chen, Z.Q. Wind-induced responses and dynamic characteristics of a super-tall building under a typhoon event. Smart Struct. Syst. 2020, 25, 81–96. [Google Scholar]
- Xu, A.; Xie, Z.; Gu, M.; Wu, J. Amplitude dependency of damping of tall structures by the random decrement technique. Wind. Struct. 2015, 21, 159–182. [Google Scholar] [CrossRef]
- Li, Z.; Fu, J.; He, Y.; Liu, Z.; Wu, J.; Rao, R.; Ng, C.T. Structural responses of a supertall building subjected to a severe typhoon at landfall. Appl. Sci. 2020, 10, 2965. [Google Scholar] [CrossRef]
- GB 50009-2012; Load Code for the Design of Building Structures. China Building Industry Press: Beijing, China, 2012.
- Cao, S.; Tamura, Y.; Kikuchi, N.; Saito, M.; Nakayama, I.; Matsuzaki, Y. Wind characteristics of a strong typhoon. J. Wind. Eng. Ind. Aerodyn. 2009, 97, 11–21. [Google Scholar] [CrossRef]
- Wang, Y.W.; Ni, Y.Q. Full-scale monitoring of wind effects on a supertall structure during six tropical cyclones. J. Build. Eng. 2022, 45, 103507. [Google Scholar] [CrossRef]
- Katafygiotis, L.S.; Yuen, K.V. Bayesian spectral density approach for modal updating using ambient data. Earthq. Eng. Struct. Dyn. 2001, 30, 1103–1123. [Google Scholar] [CrossRef]
- Yuen, K.V.; Katafygiotis, L.S. Bayesian time–domain approach for modal updating using ambient data. Probabilistic Eng. Mech. 2001, 16, 219–231. [Google Scholar] [CrossRef]
- Yuen, K.V.; Katafygiotis, L.S. Bayesian fast Fourier transform approach for modal updating using ambient data. Adv. Struct. Eng. 2003, 6, 81–95. [Google Scholar] [CrossRef]
- Au, S.K. Operational Modal Analysis; Springer Nature: Singapore, 2017. [Google Scholar]
- Au, S.K.; Zhang, F.L.; To, P. Field observations on modal properties of two tall buildings under strong wind. J. Wind. Eng. Ind. Aerodyn. 2012, 101, 12–23. [Google Scholar] [CrossRef]
- Peeters, B.; De Roeck, G. Reference-based stochastic subspace identification for output-only modal analysis. Mech. Syst. Signal Process. 1999, 13, 855–878. [Google Scholar] [CrossRef]
- He, Y.C.; Li, Z.; Fu, J.Y.; Wu, J.R.; Ng, C.T. Enhancing the performance of stochastic subspace identification method via energy-oriented categorization of modal components. Eng. Struct. 2021, 233, 111917. [Google Scholar] [CrossRef]
- Liu, C.; Xie, Z.; Zhang, L.; Shi, B.; Fu, J.; Deng, T. Field measurements of wind effects on a super high-rise building during typhoons. Wind. Struct. 2021, 33, 383–395. [Google Scholar]

















| Mode | Bayesian | SSI | ||||
|---|---|---|---|---|---|---|
| f (Hz) | c.o.v. (%) | (%) | c.o.v. (%) | f (Hz) | (%) | |
| TY1 | 0.187 | 0.17 | 0.61 | 28.6 | 0.187 | 0.55 |
| TX1 | 0.189 | 0.15 | 0.49 | 31.7 | 0.189 | 0.37 |
| TY2 | 0.686 | 0.09 | 0.57 | 16.6 | 0.686 | 0.74 |
| TX2 | 0.712 | 0.08 | 0.41 | 19.1 | 0.712 | 0.43 |
| Mode | f (Hz) | Difference |
|---|---|---|
| TY1 | 0.164 | 14.0% |
| TX1 | 0.167 | 13.2% |
| TY2 | 0.592 | 15.9% |
| TX2 | 0.612 | 16.3% |
Disclaimer/Publisher’s Note: The statements, opinions and data contained in all publications are solely those of the individual author(s) and contributor(s) and not of MDPI and/or the editor(s). MDPI and/or the editor(s) disclaim responsibility for any injury to people or property resulting from any ideas, methods, instructions or products referred to in the content. |
© 2022 by the authors. Licensee MDPI, Basel, Switzerland. This article is an open access article distributed under the terms and conditions of the Creative Commons Attribution (CC BY) license (https://creativecommons.org/licenses/by/4.0/).
Share and Cite
Pan, H.; Wu, J.; Fu, J. Monitoring of Wind Effects on a Super-Tall Building under a Typhoon. Buildings 2023, 13, 47. https://doi.org/10.3390/buildings13010047
Pan H, Wu J, Fu J. Monitoring of Wind Effects on a Super-Tall Building under a Typhoon. Buildings. 2023; 13(1):47. https://doi.org/10.3390/buildings13010047
Chicago/Turabian StylePan, Haoran, Jiurong Wu, and Jiyang Fu. 2023. "Monitoring of Wind Effects on a Super-Tall Building under a Typhoon" Buildings 13, no. 1: 47. https://doi.org/10.3390/buildings13010047
APA StylePan, H., Wu, J., & Fu, J. (2023). Monitoring of Wind Effects on a Super-Tall Building under a Typhoon. Buildings, 13(1), 47. https://doi.org/10.3390/buildings13010047

