Effects of Pounding and Abutment Behavior on Seismic Response of Multi-Span Bridge Considering Abutment-Soil-Foundation-Structure Interactions
Abstract
:1. Introduction
2. Bridge Configurations and Modeling
2.1. Benchmark Bridge
2.2. Bridge Modeling
Abutment Backwall Modeling
2.3. Abutment-Soil-Foundation-Superstructure Interactions
2.3.1. Abutment-Backfill Interaction Modeling
2.3.2. Pile–Soil Interaction Modeling
2.3.3. Pounding Modeling
2.4. Selection of the Ground Motions
3. Results and Discussion
3.1. Pounding Force Response
3.2. Displacement Response
3.3. Abutment Backwall Response
3.4. Abutment Backfill Response
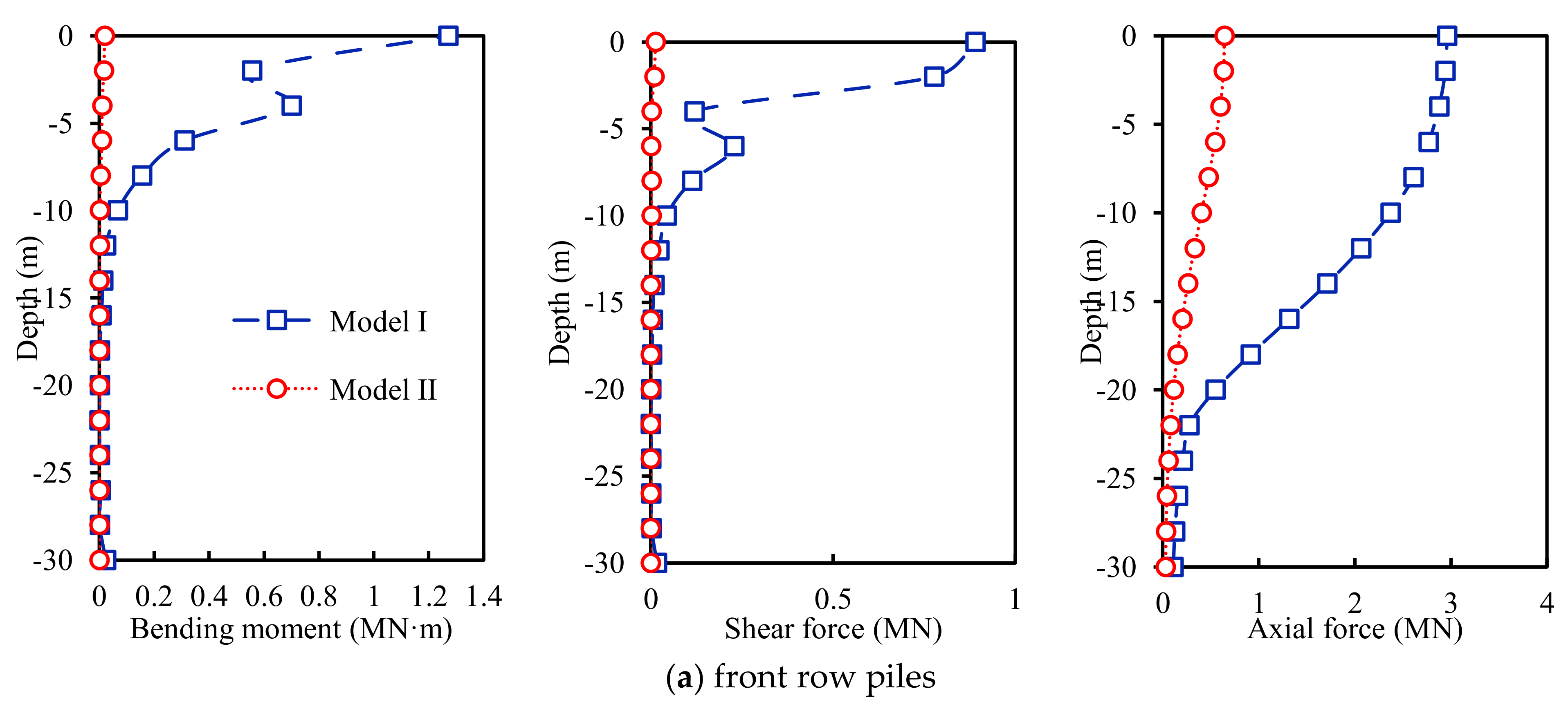
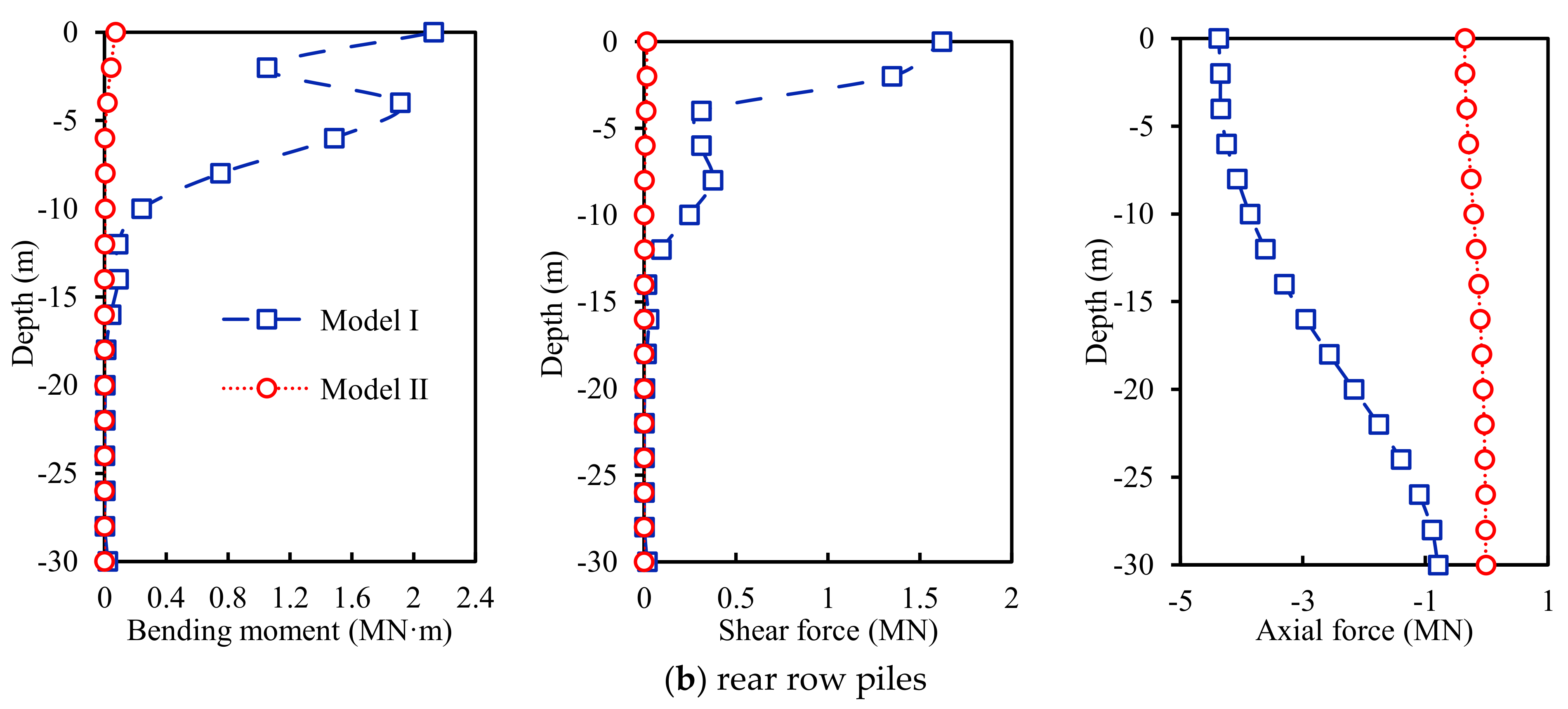
3.5. Abutment Pile Response
4. Summary and Conclusions
- Pounding between the abutment back and the bridge deck could lead to the shear failure of the bridge abutments and the strength loss of the abutment backfill during a fierce seismic event. What is worse, the unseating of a girder may happen due to excessive deck displacement resulting from the failure of the abutment and backfill.
- If the abutment backwall is designed as a linear elastic component with sufficient yield strength, the huge pounding force will be transmitted to the abutment’s pile foundation through the abutment backwall, which can easily cause the abutment pile to suffer shear or bending failure or other serious damage.
- If the abutment backwall is designed as a sacrificial component, it can effectively prevent the huge impact force from being transmitted to the abutment’s pile foundation and protect the abutment’s pile foundation from damage, but it is likely to make the beam body suffer a large displacement and cause the unseating of girders.
- When the abutment backwall is designed as a sacrificial member, it is of great importance to select the right yield strength for the abutment backwall to achieve the balance of force and displacement, and a collapse-proof system should be employed to prevent the unseating of girders. The reasonable strength of the abutment backwall is sought to reduce the degree of damage to the abutment’s pile foundation while not excessively increasing the displacement of the main beam. This is a further refinement of the existing specifications.
Author Contributions
Funding
Institutional Review Board Statement
Informed Consent Statement
Data Availability Statement
Conflicts of Interest
References
- Loh, C.H.; Lee, Z.K.; Wu, T.C.; Peng, S.Y. Ground motion characteristics of the Chi-Chi earthquake of 21 September 1999. Earthq. Eng. Struct. Dyn. 2015, 29, 867–897. [Google Scholar] [CrossRef]
- Chouw, N.; Hao, H. Pounding damage to buildings and bridges in the 22 February 2011 Christchurch earthquake. Int. J. Prot. Struct. 2012, 3, 123–139. [Google Scholar] [CrossRef]
- Li, J.; Peng, T.; Xu, Y. Damage investigation of girder bridges under the Wenchuan earthquake and corresponding seismic design recommendations. Earthq. Eng. Eng. Vib. 2008, 7, 337–344. [Google Scholar] [CrossRef]
- Abbasi, M.; Zakeri, B.; Amiri, G.G. Probabilistic Seismic Assessment of Multi-frame Concrete Box-girder Bridges with Unequal-height Piers. J. Perform. Constr. Facil. 2016, 30, 04015016. [Google Scholar] [CrossRef]
- Wilson, P.; Elgamal, A. Full–scale shake table investigation of bridge abutment lateral earth pressure. Bull. N. Z. Natl. Soc. Earthq Eng. 2009, 42, 39–46. [Google Scholar] [CrossRef]
- Saiidi, M.; Vosooghi, A.; Nelson, R. Shake table studies of a four–span reinforced concrete bridge. J. Struct. Eng. 2013, 139, 1352–1361. [Google Scholar] [CrossRef]
- Fiorentino, G.; Cengiz, C.; De Luca, F.; Mylonakis, G.; Karamitros, D.; Dietz, M.; Dihoru, L.; Lavorato, D.; Briseghella, B.; Isakovic, T.; et al. Integral abutment bridges: Investigation of seismic soil–structure interaction effects by shaking table testing. Earthq. Eng. Struct. Dyn. 2021, 50, 1517–1538. [Google Scholar] [CrossRef]
- Aviram, A.; Mackie, K.R.; Stojadinovic, B. Effect of abutment modelling on the seismic response of bridge structures. Earthq. Eng. Eng. Vib. 2008, 7, 395–402. [Google Scholar] [CrossRef]
- Shamsabadi, A.; Xu, S.Y.; Taciroglu, E. A generalized log–spiral–Rankine limit equilibrium model for seismic earth pressure analysis. Soil Dyn. Earthq. Eng. 2013, 49, 197–209. [Google Scholar] [CrossRef]
- Erhan, S.; Dicleli, M. Comparative assessment of the seismic performance of integral and conventional bridges with respect to the differences at the abutments. Bull. Earthq. Eng. 2015, 13, 653–677. [Google Scholar] [CrossRef]
- Shamsabadi, A.; Kapuskar, M. Nonlinear soil–abutment–foundation–structure interaction analysis of skewed bridges subjected to near-field ground motions. Transp. Res. Rec. 2018, 2202, 192–205. [Google Scholar] [CrossRef]
- Luo, J.; Fahnestock, L.A.; Kozak, D.L.; LaFave, J.M. Seismic analysis incorporating detailed structure–abutment–foundation interaction for quasi–isolated highway bridges. Struct. Infrastruct. Eng. 2017, 13, 581–603. [Google Scholar] [CrossRef]
- Thomaidis, I.M.; Kappos, A.J.; Camara, A. Dynamics and seismic performance of rocking bridges accounting for the abutment–backfill contribution. Earthq. Eng. Struct. Dyn. 2020, 49, 1161–1179. [Google Scholar] [CrossRef]
- Liu, J.; He, J.; Ding, B.Y. 3D finite element analysis on bearing capacity characteristics of the composite ground. In Ground Modification and Seismic Mitigation; American Society of Civil Engineers: Reston, VA, USA, 2006; pp. 305–312. [Google Scholar]
- Basack, S.; Nimbalkar, S. Numerical solution of single pile subjected to torsional cyclic load. Int. J. Geomech. 2017, 17, 04017016. [Google Scholar] [CrossRef]
- Li, X.; Wan, J.; Zhao, H.; Liu, S. Three–dimensional analysis of nonlinear pile–soil interaction responses using 3D Pile Element Model. Int. J. Geomech. 2021, 21, 04021129. [Google Scholar] [CrossRef]
- Phanikanth, V.S.; Choudhury, D.; Reddy, G.R. Behavior of single pile in liquefied deposits during earthquakes. Int. J. Geomech. 2013, 13, 454–462. [Google Scholar] [CrossRef]
- Wang, X.; Ye, A.; He, Z.; Shang, Y. Quasi–static cyclic testing of elevated RC pile–cap foundation for bridge structures. J. Bridge Eng. 2016, 21, 04015042. [Google Scholar] [CrossRef]
- Yilmaz, T.; Banerjee, S.; Johnson, P.A. Performance of Two Real-Life California Bridges under Regional Natural Hazards. J. Bridge Eng. 2016, 21, 1–15. [Google Scholar] [CrossRef]
- Su, D.; Yan, W.M.; Bao, X.H.; Huang, S. Nondimensional solutions for laterally loaded piles in sand considering nonlinear soil–pile interactions. Int. J. Geomech. 2018, 18, 04018077. [Google Scholar] [CrossRef]
- Mangalathu, S.; Heo, G.; Jeon, J.S. Artificial neural network based multi-dimensional fragility development of skewed concrete bridge classes. Eng. Struct. 2018, 162, 166–176. [Google Scholar] [CrossRef]
- Alipour, A.; Shafei, B.; Shinozuka, M. Performance evaluation of deteriorating highway bridges located in high seismic areas. J. Bridge Eng. 2010, 16, 597–611. [Google Scholar] [CrossRef]
- Scott, B.D.; Park, R.; Priestley, M.J.N. Stress–strain behavior of concrete confined by overlapping hoops at low and high strain rates. ACI Struct. J. 1982, 79, 13–27. [Google Scholar]
- Caltrans. Seismic Design Criteria, Version 2.0; California Department of Transportation: Sacramento, CA, USA, 2014.
- Silva, P.F.; Megally, S.; Seible, F. Seismic performance of sacrificial exterior shear keys in bridge abutments. Earthq. Spectra 2009, 25, 643–664. [Google Scholar] [CrossRef]
- Duncan, J.M.; Mokwa, R.L. Passive earth pressures: Theories and tests. J. Geotech. Geoenviron. Eng. 2001, 127, 248–257. [Google Scholar] [CrossRef]
- Douglas, D.J.; Davis, E.H. The movement of buried footings due to moment and horizontal load and the movement of anchor plates. Geotecnique 1964, 14, 115–132. [Google Scholar] [CrossRef]
- Fang, Y.; Chen, T.; Wu, B. Passive earth pressures with various wall movements. J. Geotech. Eng. 1994, 120, 1307–1323. [Google Scholar] [CrossRef]
- Matlock, H. Correlation for Design of Laterally Loaded Piles in Soft Clay. In Proceedings of the Offshore Technology Conference, Houston, TX, USA, 22–24 April 1970. [Google Scholar]
- Frazier, P., Jr. Experimental and Analytical Studies of Behavior of Single Piles in Sand under Lateral and Axial Loading. Ph.D Thesis, The University of Texas at Austin, Austin, TX, USA, 1971. [Google Scholar]
- API American Petroleum Institute. Recommended Practice for Planning, Designing, and Constructing Fixed Offshore Platforms–Working Stress Design; RP 2A–WSD; API American Petroleum Institute: Washington, DC, USA, 2005. [Google Scholar]
- Reese, L.C.; O’Neill, M.W. Drilled Shafts: Construction Procedures and Design Methods; Report No. FHWA–HI–88–042; US Department of Transportation, Federal Highway Administration: Richmond, VA, USA, 1987. [Google Scholar]
- Mosher, R.L. Load Transfer Criteria for Numerical Analysis of Axially Loaded Piles in Sand; US Army Engineering Waterways Experimental Station: Vicksburg, MS, USA, 1984. [Google Scholar]
- Vijayvergiya, V.N. Load–Movement Characteristics of Piles; Proceedings, Ports 77; American Society of Civil Engineers: Reston, VA, USA, 1977; Volume 11, pp. 269–286. [Google Scholar]
- Li, Z.X.; Yue, F.Q.; Zhou, L. Equivalent Kelvin impact model of bridge impact analysis in earthquake. Eng. Mech. 2008, 25, 128–133. [Google Scholar]
- Malhotra, P.K. Response of buildings to near–field pulse–like ground motions. Earthq. Eng. Struct. Dyn. 1999, 28, 1309–1326. [Google Scholar] [CrossRef]
- GB18306–2015; Seismic Ground Motion Parameter Zonation Map of China. China Standard Press: Beijing, China, 2015.


















| Type | Compressive Strength fc′ (MPa) | Crushing Strength fcu (MPa) | Strain at Peak Strength ε0 | Ultimate Strain εu |
|---|---|---|---|---|
| Unconfined concrete | 28.00 | 5.60 | 0.0020 | 0.006 |
| Confined concrete | 31.96 | 6.39 | 0.0040 | 0.010 |
| Type | Yield Strength Fy (MPa) | Initial Elastic Tangent E (Mpa) | Strain-Hardening Ratio |
|---|---|---|---|
| Rebar | 400.0 | 206,000 | 0.01 |
| ID | Earthquake | Station | Distance (km) | PGA (g) |
|---|---|---|---|---|
| 1 | Borrego Mountain | El Centro Array #9 | 45.12 | 0.13 |
| 2 | San Fernando | Whittier Narrows Dam | 39.45 | 0.10 |
| 3 | Imperial Valley-06 | Niland Fire Station | 35.64 | 0.11 |
| 4 | Coalinga-01 | Parkfield-Fault Zone 2 | 37.92 | 0.12 |
| 5 | Loma Prieta | Dumbarton Bridge West End FF | 35.31 | 0.13 |
| 6 | Loma Prieta | Palo Alto-1900 Embarc. | 30.56 | 0.21 |
| 7 | Big Bear-01 | San Bernardino–2nd& Arrowhead | 33.56 | 0.11 |
| 8 | Northridge-01 | Camarillo | 34.78 | 0.12 |
| 9 | Taiwan SMART1C00 | SMART1 C00 | 56.01 | 0.15 |
| 10 | Taiwan SMART1C00 | SMART1 E01 | 53.31 | 0.16 |
| 11 | Taiwan SMART1C00 | SMART1 E01 | 53.31 | 0.19 |
| 12 | Taiwan SMART1C00 | SMART1 I01 | 56.18 | 0.14 |
| 13 | Taiwan SMART1C00 | SMART1 M01 | 56.87 | 0.14 |
| 14 | Taiwan SMART1C00 | SMART1 M07 | 55.11 | 0.16 |
| 15 | Taiwan SMART1C00 | SMART1 M07 | 55.11 | 0.16 |
| 16 | Taiwan SMART1C00 | SMART1 O01 | 57.9 | 0.17 |
| 17 | Taiwan SMART1C00 | SMART1 O02 | 57.13 | 0.16 |
| 18 | Taiwan SMART1C00 | SMART1 O02 | 57.13 | 0.24 |
| 19 | Taiwan SMART1C00 | SMART1 O12 | 58 | 0.16 |
| 20 | Cape Mendocino | Eureka-Myrtle & West | 40.23 | 0.15 |
| 21 | Cape Mendocino | Eureka-Myrtle & West | 40.23 | 0.18 |
| 22 | Landers | Indio-Coachella Canal | 54.25 | 0.10 |
| 23 | Landers | Indio-Coachella Canal | 54.25 | 0.11 |
| 24 | Kocaeli Turkey | Atakoy | 56.49 | 0.10 |
| 25 | Kocaeli Turkey | Zeytinburnu | 51.98 | 0.12 |
| 26 | Kocaeli_Turkey | Zeytinburnu | 51.98 | 0.11 |
| 27 | Chi-Chi_Taiwan | CHY015 | 38.13 | 0.15 |
| 28 | Chi-Chi_Taiwan | CHY015 | 38.13 | 0.14 |
| 29 | Chi-Chi_Taiwan | CHY088 | 37.48 | 0.21 |
| 30 | Chi-Chi_Taiwan | CHY088 | 37.48 | 0.15 |
Disclaimer/Publisher’s Note: The statements, opinions and data contained in all publications are solely those of the individual author(s) and contributor(s) and not of MDPI and/or the editor(s). MDPI and/or the editor(s) disclaim responsibility for any injury to people or property resulting from any ideas, methods, instructions or products referred to in the content. |
© 2023 by the authors. Licensee MDPI, Basel, Switzerland. This article is an open access article distributed under the terms and conditions of the Creative Commons Attribution (CC BY) license (https://creativecommons.org/licenses/by/4.0/).
Share and Cite
Deng, Y.; Ge, S.; Lei, F. Effects of Pounding and Abutment Behavior on Seismic Response of Multi-Span Bridge Considering Abutment-Soil-Foundation-Structure Interactions. Buildings 2023, 13, 260. https://doi.org/10.3390/buildings13010260
Deng Y, Ge S, Lei F. Effects of Pounding and Abutment Behavior on Seismic Response of Multi-Span Bridge Considering Abutment-Soil-Foundation-Structure Interactions. Buildings. 2023; 13(1):260. https://doi.org/10.3390/buildings13010260
Chicago/Turabian StyleDeng, Yulin, Shuxun Ge, and Fan Lei. 2023. "Effects of Pounding and Abutment Behavior on Seismic Response of Multi-Span Bridge Considering Abutment-Soil-Foundation-Structure Interactions" Buildings 13, no. 1: 260. https://doi.org/10.3390/buildings13010260
APA StyleDeng, Y., Ge, S., & Lei, F. (2023). Effects of Pounding and Abutment Behavior on Seismic Response of Multi-Span Bridge Considering Abutment-Soil-Foundation-Structure Interactions. Buildings, 13(1), 260. https://doi.org/10.3390/buildings13010260
