Next Article in Journal
Experimental Study on Strength and Microstructure of Glacial Till Stabilized by Ionic Soil Stabilizer
Next Article in Special Issue
Study on the Probability Distribution of Pitting for Naturally Corroded Prestressing Strands Accounting for Surface Defects
Previous Article in Journal
Application Issues of Impacted As-Planned Schedule for Delay Analysis
Previous Article in Special Issue
Numerical Solutions for Chloride Diffusion Fluctuation in RC Elements from Corrosion Probability Assessments
 
 
Font Type:
Arial Georgia Verdana
Font Size:
Aa Aa Aa
Line Spacing:
Column Width:
Background:
Article

Study of Effect of Reference Time of Chloride Diffusion Coefficient in Numerical Modelling of Durability of Concrete

1
Department of Structural Mechanics, Faculty of Civil Engineering, VSB-Technical University of Ostrava, Ludvíka Podéště 1875/17, 708 33 Ostrava-Poruba, Czech Republic
2
Department of Structures, Faculty of Civil Engineering, VSB-Technical University of Ostrava, Ludvíka Podéště 1875/17, 708 33 Ostrava-Poruba, Czech Republic
*
Author to whom correspondence should be addressed.
Buildings 2022, 12(9), 1443; https://doi.org/10.3390/buildings12091443
Submission received: 21 July 2022 / Revised: 4 September 2022 / Accepted: 12 September 2022 / Published: 13 September 2022

Abstract

:
The results of numerical calculations on the resistance of the reinforced concrete bridge deck to chlorides are compared with a different approach to the diffusion coefficient of the input parameter, and presented. The aim is to point out the necessity of a correct model adjustment in the case of using diffusion parameters obtained differently at different measurement times. The diffusion parameter, as a typical concrete material constant, was derived from electrical resistivity measurements and using the least-squares method from a direct chloride test. Due to the different times of obtaining the concrete parameters, a control calculation was performed, which showed that the numerical model for calculating the initiation of reinforcement corrosion in chloride-exposed reinforced concrete requires the application of not only a suitable diffusion parameter but also an adequate reference time. The article points out the need to use an adequate reference time introduced in the numerical calculation of the durability of reinforced concrete with respect to aggressive substances. The results show that the most appropriate reference time value is derived from the average measurement time related to the lifetime of the concrete.

1. Introduction

Building structures are affected by mechanical, dynamic, climatic, and degradation factors throughout their lifetime [1,2]. All of these aspects can cause a part of the structure to become inadequate in terms of load bearing capacity or serviceability over time. For this reason, regular inspection and quality control are among the basic requirements of the construction industry [3].
When analyzing existing building structures, it is necessary to correctly predict the inspection schedule. This applies to all aspects of construction, but this article focuses on just one area, namely, reinforced concrete bridges and prestressed concrete bridges exposed to aggressive substances. For reinforced concrete bridges exposed to aggressive substances, these inspections can depend on estimating the onset of reinforcement corrosion, which is a highly dangerous factor related to degradation [4,5].
The estimation of the initiation can be determined using the available numerical models based on the finite element method [6,7]. These models allow the calculation of chloride concentration values on different types of cross sections in reinforced concrete structures and are applicable for simplified calculations on bridge decks.
It is not only for these models that the input parameters need to be correctly specified as they can negatively affect the result. Standardized chloride diffusion tests usually refer to a clearly defined measurement time after preparation of concrete samples [8,9,10]. The recommendation of the calculation of the ageing factor can be found in [11,12]. However, the reference diffusion coefficient is directly related to the experimental measurement at selected ages and not to the trend provided by the measurement for all data points during the maturity process.
Furthermore, fib bulletin 76 [13] presents two approaches to evaluation:
  • The diffusion coefficient and the ageing factor are determined using chloride profiles from field data and short-term laboratory diffusion testing;
  • The diffusion coefficient and ageing factor are determined by combining the results from field data for comparable concrete and rapid chloride migration tests for the proposed concrete, which is only possible when large amounts of data are available.
Furthermore, the effect of diffusion coefficient values obtained from different methods and different approaches to the measurement timescale combined with numerical models is itself a major challenge. Studies have shown that the appropriate choice of reflection time significantly influences the calculation results, even considering the higher scatter of values in experimental measurements [14,15,16].
The reason is that it is not always possible to comply with the prescribed measurement time, especially when testing existing structures or evaluating older concrete. Therefore, this aspect must always be taken into account. For this work, functional numerical models have been used for a parametric study of differently obtained concrete diffusion coefficients.
Due to the constancy of all other input parameters except the reference time and the diffusion coefficient, it was possible to evaluate the influence and importance that can be attributed to the different tests and measurement times. These aspects are very important for the correct interpretation of the results of the lifetime estimation of reinforced concrete structures exposed to aggressive substances. The results expand the knowledge to appreciate the importance of a properly chosen reference time in the numerical modelling of chloride diffusion. The article points out the need to use an adequate reference time introduced in the numerical calculation of the durability of reinforced concrete with respect to aggressive substances. The results show that the most appropriate reference time value is derived from the average measurement time related to the concrete life.

2. Materials and Methods

To obtain the correct and current data for the parametric study based on numerical modeling, a typical concrete was prepared in the Czech Republic for the load bearing structures of road bridges [17]. It was standard concrete based on Portland cement with an assumed strength class of C40/50. This material was chosen for purely pragmatic reasons, as it is widely used in modern times and is not burdened by any unconventional substitutes for cement or aggregate. At the same time, this composition of concrete is ideal for further extension of research where the effect of change in composition, nonstandard admixtures, and others can be analyzed.

2.1. Concrete

The concrete mixture was prepared according to the procedure described in EN 206-1 [18].
The requirement was a water coefficient (w/c) = 0.4 and a strength class of at least C40/50, which is typical for Central Europe.
The concrete composition per cubic meter was as follows:
  • 350 kg of CEM I 42.5R—a rapid hardening cement ready for early strength or higher strength class [19];
  • 140 kg of water—from the water supply;
  • 900 kg of sand—natural mined fine aggregate fraction of 0–4 mm from Tovačov (CZ);
  • 180 kg of coarse aggregate—natural crushed aggregate fraction of 4–8 mm from Hrabůvka quarry (CZ);
  • 700 kg of coarse aggregate—natural crushed aggregate fraction of 8–16 mm from Hrabůvka quarry (CZ);
  • 105 g (0.03%/cem) of the superplasticizer brand Glenium 300;
  • 11 g (0.003%/cem) of the air-entraining admixture brand Microplan.
Small cylinders of 100 mm diameter and 200 mm length were prepared for durability-related tests. The fresh concrete mix was poured into the molds, and after an initial curing time of 24 h, the samples were demolded.
All samples were stored under laboratory conditions to prevent unwanted degradation. Electrical resistance meter tests were performed 7, 28, 63, and 126 days after curing. According to the standards, it was necessary to use 3 samples for each type of test and each time. Similarly, 3 samples were used for destructive measurements according to the so-called direct chloride test.

2.2. Experiments

Three small cylinders with a diameter of 100 mm and a length of 200 mm were prepared for the bulk electrical resistance method. An rCON meter [20] was used for the measurements. This test was also carried out according to ASTM C1876 [21]. The samples were stored in water and, after removal, lightly dried and immediately inserted between the measuring probes (see Figure 1).
The electrical resistance value of the volume is read on the display. This value is recalculated based on sample cross section and length. Because it is a nondestructive test, it was possible to perform multiple tests on the same samples over time. Therefore, it was possible to calculate not only the diffusion parameter at different times but also the ageing factor, which is an indispensable constant for a time-dependent numerical model. Many studies have been devoted to measuring the electrical resistivity of concrete and its relation to the diffusion coefficient. In the next section of this paper, we present the procedure by which the diffusion coefficient values were obtained from the measured values of electrical resistivity.
The second test method is based on direct exposure of the samples to chlorides (salts) and subsequent drilling of small layers of concrete dust (see Figure 2).
The procedure based on the Nord NT Build 443 standard [8] was as follows:
  • Small cylinders (diameter of 100 mm and length of 200 mm) were cut into discs of 60 mm in height;
  • The bottom and sides of the discs were coated with a waterproof epoxy coating;
  • The samples were fully saturated with water and then placed in a saturated salt solution (approximately 165 g NaCl per 1 L of water);
  • One free side of the samples (3 pieces) was exposed for 35 days in a closed box;
  • Followed by placing the samples in the grinder stands (see Figure 2a) and grinding 6 layers of 2 mm thickness to obtain concrete dust in profile to a depth of 12 mm (see sample after grinding in Figure 2b);
  • All concrete dust samples collected were laboratory-sealed and sent to an external site for chloride determination;
  • The chloride profile values were then analyzed further (see sample profile in Figure 3).

2.3. Experiments

There are different methods of deriving the diffusion parameter for the two methods of experimental testing.

2.3.1. Diffusion Coefficient of Chloride Profile

A least-squares approximation to Fick’s second law of diffusion (Equation (1)) was used to determine the diffusion parameter from the chloride profile:
C x , t = C 0 1 e r f x 4 · D c · t ,
where:
  • C(x,t) is the concentration of chloride ions (%cem) in depth x from the concrete surface (m) at time t (s);
  • C0 is the surface concentration of chloride ions (%cem);
  • erf is the error function;
  • Dc is the effective diffusion coefficient (m2/s), which characterizes the ability of the concrete to resist chloride penetration;
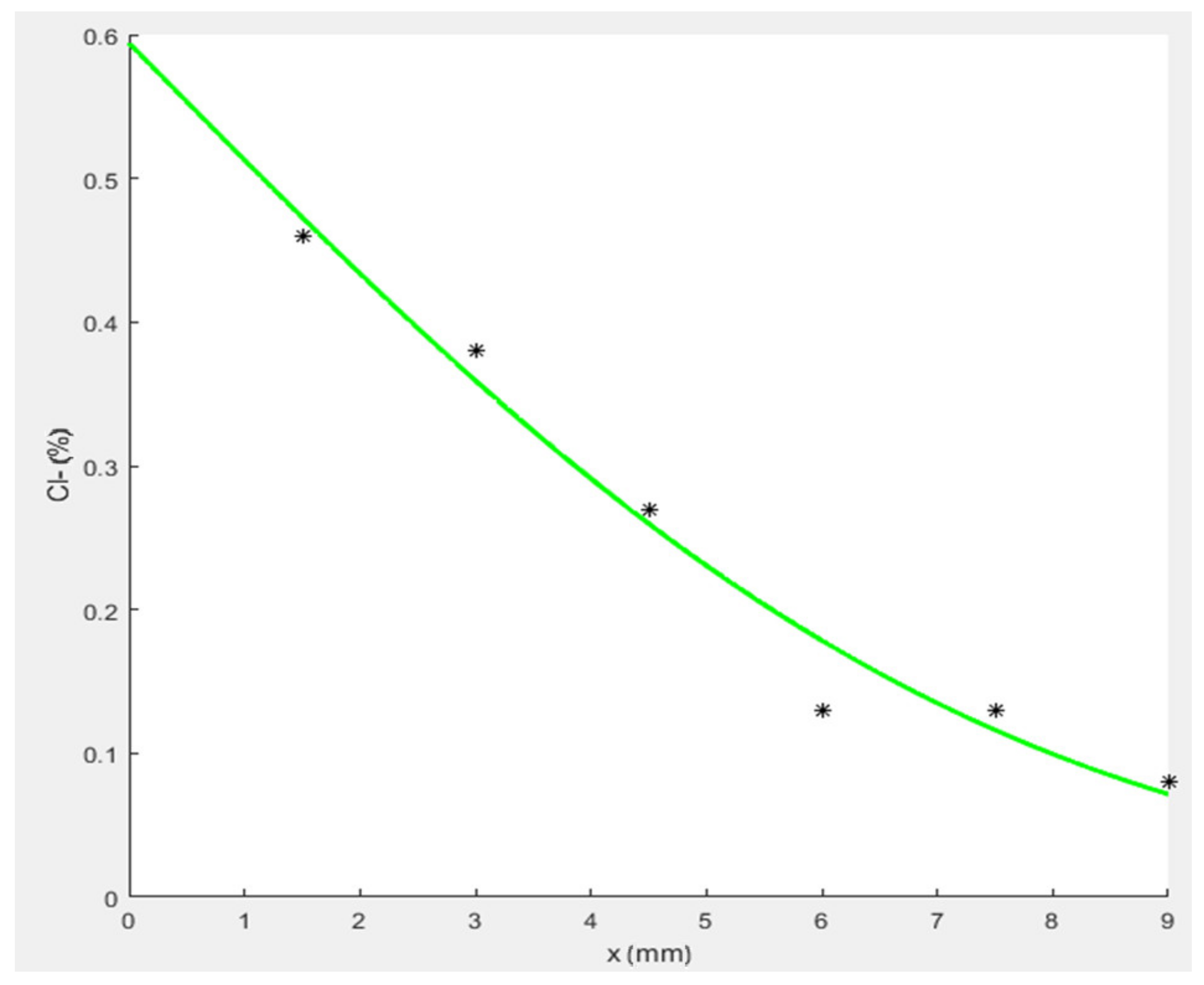
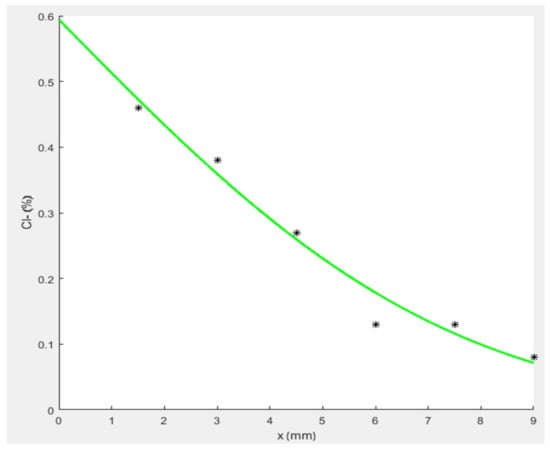
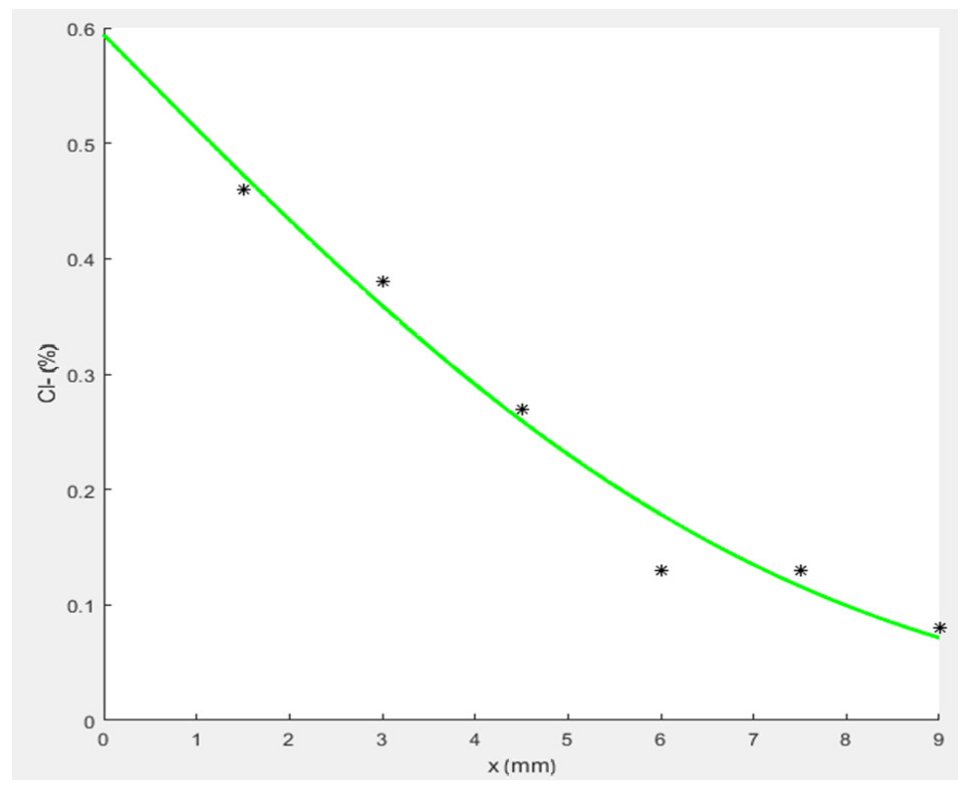
  • The least-squares approximation procedure is described in detail in [22]. An example of the chloride profile and the interleaved curve is shown in Figure 3. The approximation is performed using an atomized algorithm searching for the nearest adjacent values for the chosen curve from Equation (1). This then makes it possible to determine the intersection with the y-axis, where the chloride ion value at the surface is, and also allows the diffusion coefficient to be determined from the analyzed profile.

2.3.2. Diffusion Coefficient from Electrical Resistance

For electrical resistance, the Nernst–Einstein Equation (2) is used [23]:
D = R T Z 2 F 2 · t i γ i C i ρ B R ,
where:
  • D is the diffusivity of the chloride ion (m2/s);
  • R is the universal gas constant (J/K-mol);
  • T is the absolute temperature (K);
  • Z is the ionic valence (-);
  • F is the Faraday constant (C/mol);
  • ti is the transfer number of the chloride ion (-);
  • γi is the activity coefficient of the chloride ion (-);
  • Ci is the concentration of ions in pore water (C/mol);
  • ρBR is the bulk (volume) electrical resistivity (Ω-m).
It should be added and reiterated that due to the nondestructive nature of the test, diffusion coefficients were obtained at 7, 28, 63, and 126 days after concrete preparation. This aspect was then used to determine the m-factor (ageing factor) of the concrete. Equation (3) and its approximation were used for this purpose:
D c , nom , t = D c , nom , 28 t 28 t m ,
where:
  • Dc,nom,28 is the nominal diffusion coefficient v (m2/s) measured at concreteage t (years);
  • t28 (years) is the reference measurement time for an age of 28 days.
Here, it is necessary to note that the calculation must distinguish between the reference time for the measurement and the reference time for the finite element method (FEM) calculation. For this reason, the present article seeks to highlight the importance of this phenomenon. In the event that these values are not included appropriately or are confused, the result of the numerical calculation is incorrect. The determination of the appropriate ageing factor is discussed in detail, for example, in [24], where the logarithm method and the least-squares method were discussed. In the present paper, the least-squares method was used to find the best fitting curve corresponding to Equation (3) and thus determine the appropriate ageing parameter.

3. Numerical Example

A parametric study was prepared to confirm or refute the hypothesis of the effect of reference time. The diffusion coefficients obtained from the different times and tests presented in the previous chapter served as input parameters for the numerical study. For this purpose, an exemplary case of a reinforced concrete bridge deck section was selected.
This example has been used in other studies in which the FEM models used are also described in detail [25]. The input data for the chosen example are given in Table 1. It is a simplified model without the top layer of cover, which simulates the failure of the waterproofing.
A numerical model is based on Fick’s second diffusion law and is prepared as a separate algorithm. The input parameters for the model are the structure geometry, surface chloride concentration, diffusion coefficient, diffusion coefficient reference time, ageing factor, and chloride threshold for reinforcement (see Table 1). The FEM model is used to calculate the chloride concentration at the boundary between the concrete and the notional steel reinforcement. In cases where this concentration exceeds the chloride threshold concentration, the potential corrosion initiation time and thus the service life of the structure are determined.

4. Results and Discussion

The results of the laboratory investigation and numerical modelling are presented chronologically and, in a relevant form, to the case chosen here.

4.1. Results of the Diffusion Coefficient

Several results were obtained from both test methods for one material. By measuring the electrical resistivity and then using Equation (2), diffusion coefficients equivalent for 7, 28, 63, and 126 days after concrete placement of the samples were obtained. These are average results from measurements on three samples. An ageing factor was also derived by approximating Equation (3). The average diffusion coefficient was also derived from the analysis of the chloride profiles in the other three samples. All results are presented in Table 2.
The initial statistical analysis can account for the differences from the commonly used approach of using a diffusion coefficient derived from electrical resistivity at 28 days or a diffusion coefficient derived from the chloride profile in the numerical model.
Figure 4 shows the percentage differences when the coefficient of the 28-day resistivity is chosen as the reference parameter. As can be seen in our case, the difference against the diffusion coefficient of the chloride profile is only 8%. However, it should be noted here that the diffusion coefficient from the chloride profile is introduced into the numerical calculation with a reference time of 56 days, which is the subject of further research below. Looking at the other values obtained from the electrical resistivity measurements, we see a high difference, which is a clear indication of the ageing of the concrete, but it remains to be seen for further results whether this difference is really significant.

4.2. Results of the Diffusion Coefficient

The values of the diffusion coefficients were introduced into the numerical model according to the input parameters in Table 1. Seven models with different values of the diffusion coefficient and different reference times were prepared, as shown in Table 3. The name of the model is derived according to the experiment, for the electrical resistivity “R” and for the chloride profile “P”. The numerical value reflects the input reference time for the model. For electrical resistivity, it is according to real-time measurement. For the diffusion parameter from the chloride profile, three calculations were tried: the first for the time of 56 days when the test started; the second for half of the exposure time, 74 days; and the third for the time of 91 days when the test ended. From the numerical models, the results of the lifetime estimation on the selected reinforced concrete structure were obtained. The results for each combination of input parameters are shown in Table 3.
From Table 3, it can be seen briefly that the results are similar. Therefore, it is more appropriate to determine the percentage difference relative to the diffusion coefficient value for a time of 28 days. The result is shown in Figure 5.
It is interesting to note the difference between the models with diffusion coefficients from electrical resistivity, where the values differ more significantly and, more importantly, inconsistently. The difference for all models from the electrical resistivity is only 3%, which can be considered a small value. For the results from the chloride profile, there is a logical difference when using the introduction of different reference times because the diffusion coefficient was always the same.
The result when the reference period is introduced as 56 days is 2.5% higher than that from the electrical resistivity at 28 days, thus predicting a higher lifetime. This can be considered a dangerous result. On the other hand, the model when introducing the average reference time (74 days) shows a 4% lower value against electrical resistivity and a 6.5% lower value than the model with a time of 56 days. The 91 days’ result is even 6% lower than the resistivity and 8.5% lower than the 56 days’ model. Perhaps the most important comparison is between the results from the electrical resistance at 63 days and the chloride profile at 74 days. For this comparison, we see a significant agreement, demonstrating that when numerically modelling chloride diffusion using the diffusion coefficient results from the chloride profile test, the most appropriate reference time is the average between the start and end of the test.

5. Conclusions

The quality of the results from numerical models depends on the input parameters and the appropriately chosen boundary conditions. The results presented here show that changing the reference diffusion parameter and changing the reference time affect the outputs of the corrosion initiation estimation in a model analyzing reinforced concrete bridge structures. It has been shown that in the case of diffusion parameters derived from electrical resistivity, the differences are negligible when the appropriate reference time is introduced. On the other hand, for the diffusion parameter derived from the direct action of chlorides, an adequate evaluation of the time to be introduced in the calculation is needed. Since the samples are exposed for 35 days and the diffusion coefficient is shown to be variable, the average time between the start and end of exposure has been shown to be the most accurate value for the reference time. This result will help to significantly improve and refine numerical models based on the estimation of the lifetime of reinforced concrete structures exposed to aggressive substances. This is because the assumed introduction of the start of the testing period or the end of the testing period is not as accurate as the average period, which is not usually used. There is a scope for research on reference calculation times other than those given here. The results also provide an additional scope for parametric studies related to the evaluation of other types of concretes with different properties.

Author Contributions

Conceptualization, P.L. and L.K.; methodology, P.L.; software, M.R.; validation, P.L. and L.K.; formal analysis, P.L. and L.K.; investigation, P.L. and L.K.; resources, M.R.; data curation, L.K.; writing—original draft preparation, P.L.; writing—review and editing, L.K.; visualization, P.L.; supervision, M.R.; project administration, M.R.; funding acquisition, M.R. All authors have read and agreed to the published version of the manuscript.

Funding

This article was prepared with support for project no. 304011Y277, “Impact of environmental burden on the condition of bridge structures of the cross-border transport network”, in frames of the Interreg V-A SK-CZ program, and cofinanced by European Regional Development Fund.

Institutional Review Board Statement

Not applicable.

Informed Consent Statement

Not applicable.

Data Availability Statement

Not applicable.

Acknowledgments

Financial support from VŠB–Technical University of Ostrava by means of the Czech Ministry of Education, Youth, and Sports through the institutional support for the conceptual development of science, research, and innovations for the year 2022 is gratefully acknowledged.

Conflicts of Interest

The authors declare no conflict of interest.

References

  1. DuraCrete General Guidelines for Durability Design and Redesign; The European Union-Brite Euram III. Probabilistic Performance-Based Durability Design of Concrete Structures; Project No. BE95-1347; European Commission: Brussels, Belgium, 2000. [Google Scholar]
  2. Teplý, B.; Vořechovská, D.M.C. Probabilistic Based Models for Material Degradation Processes. In Fib Bulletin 86; International Federation for Structural Concrete: Lausanne, Switzerland, 2018. [Google Scholar]
  3. Konecný, P.; Lehner, P.; Vořechovská, D.; Šomodíková, M.; Hornáková, M.; Rovnaníková, P. Evaluation of Durability-Related Field Inspection Data from Concrete Bridges under Service. Arch. Metall. Mater. 2020, 65, 81–89. [Google Scholar] [CrossRef]
  4. Parant, E.; Pierre, R.; Maou, F. Le Durability of a Multiscale Fibre Reinforced Cement Composite in Aggressive Environment under Service Load. Cem. Concr. Res. 2007, 37, 1106–1114. [Google Scholar] [CrossRef]
  5. Sikora, P.; Lootens, D.; Liard, M.; Stephan, D. The Effects of Seawater and Nanosilica on the Performance of Blended Cements and Composites. Appl. Nanosci. 2020, 10, 5009–5026. [Google Scholar] [CrossRef]
  6. Lehner, P.; Konečný, P.; Ghosh, P.; Tran, Q. Numerical Analysis of Chloride Diffusion Considering Time-Dependent Diffusion Coefficient. Int. J. Math. Comput. Simul. 2014, 8, 103–106. [Google Scholar]
  7. Le, T.D.; Lehner, P.; Konečný, P. Advanced Model of Chloride Penetration Considering Concrete Heterogeneity; Elsevier: Amsterdam, The Netherlands, 2018; Volume 13, pp. 1702–1707. [Google Scholar]
  8. Nordtest. NTBuild 443 Nordtest Method: Accelerated Chloride Penetration into Hardened Concrete; Nordtest: Esbo, Finland, 1995; pp. 1–5. [Google Scholar]
  9. ASTM C1543 Standard; Test Method for Determining the Penetration of Chloride Ion into Concrete by Ponding. ASTM: West Conshohocken, PA, USA, 1996.
  10. Whiting, D.A.; Nagi, M.A. Electrical Resistivity of Concrete—A Literature Review; Portland Cement Association: Skokie, IL, USA, 2003; p. 57. [Google Scholar]
  11. Bentz, E.C.; Hooton, R.D.; Thomas, M.D.A. Life-365: Service Life Prediction Model and Computer Program for Predicting the Service Life and Life-Cycle Cost of Reinforced Concrete Exposed to Chlorides. In Life-365 User Manual; Life365: Forlì, Italy, 2012; pp. 1–80. [Google Scholar]
  12. Ghosh, P.; Tran, Q. Correlation Between Bulk and Surface Resistivity of Concrete. Int. J. Concr. Struct. Mater. 2015, 9, 119–132. [Google Scholar] [CrossRef]
  13. Gehlen, C.; Greve-Dierfeld, S.V.; Gulikers, J.; Helland, S.; Rahimi, A. Fib Bulletin 76—Benchmarking of Deemed to Satisfy Provisions in Standards—Durability of Reinforced Concrete Structures Exposed to Chlorides; Féderation International du Béton (FIB): Lausanne, Switzerland, 2015. [Google Scholar]
  14. Iwasaki, E. Scattering of Deicing Salt and Corrosion of Steel Bridges. In Proceedings of the IABSE Congress Stockholm, 2016: Challenges in Design and Construction of an Innovative and Sustainable Built Environment, Stockholm, Sweden, 21–23 September 2016; pp. 1441–1446. [Google Scholar]
  15. Aït-Mokhtar, A.; Belarbi, R.; Benboudjema, F.; Burlion, N.; Capra, B.; Carcassès, M.; Colliat, J.-B.; Cussigh, F.; Deby, F.; Jacquemot, F.; et al. Experimental Investigation of the Variability of Concrete Durability Properties. Cem. Concr. Res. 2013, 45, 21–36. [Google Scholar] [CrossRef]
  16. Jasielec, J.J.; Szyszkiewicz, K.; Królikowska, A.; Filipek, R. Determination of Chloride Diffusion Coefficient in Cement-Based Materials—A Review of Experimental and Modeling Methods: Part II—Methods. Cem. Wapno Beton 2017, 2017, 154–167. [Google Scholar]
  17. Hrabová, K.; Teplý, B.; Hájek, P. Concrete, Sustainability and Limit States. IOP Conf. Ser. Earth Environ. Sci. 2019, 290, 012049. [Google Scholar] [CrossRef]
  18. EN 206-1; Concrete—Part 1: Specification, Performance, Production and Conformity. European Committee for Standarization: Brussels, Belgium, 2000.
  19. EN 197-1:2011; Cement—Composition, Specifications and Conformity Criteria for Common Cements. European Committee for Standarization: Brussels, Belgium, 2011; Volume 1, p. 34.
  20. Manual for RCON Giatec Scientific. Available online: https://www.giatecscientific.com/products/concrete-ndt-devices/rcon-bulk-resistivity/ (accessed on 11 January 2022).
  21. ASTM C1876 Standard; Test Method for Bulk Electrical Resistivity or Bulk Conductivity of Concrete. ASTM: West Conshohocken, PA, USA, 2012; Volume 1, pp. 1–5.
  22. Birge, R.T. The Calculation of Errors by the Method of Least Squares. Phys. Rev. 1932, 40, 207–227. [Google Scholar] [CrossRef]
  23. Ghosh, P.; Tran, Q. Compressive Strength and Surface Resistivity of HPC Mixtures. Int. J. Eng. Sci. Manag. 2014, 6, 4. [Google Scholar]
  24. Konečný, P.; Lehner, P.; Ghosh, P.; Morávková, Z.; Tran, Q. Comparison of Procedures for the Evaluation of Time Dependent Concrete Diffusion Coefficient Model. Constr. Build. Mater. 2020, 258, 119535. [Google Scholar] [CrossRef]
  25. Konecny, P.; Lehner, P. Effect of Cracking and Randomness of Inputs on Corrosion Initiation of Reinforced Concrete Bridge Decks Exposed to Chlorides. Frat. Integrita Strutt. 2017, 11, 29–37. [Google Scholar] [CrossRef] [Green Version]
Figure 1. Experimental testing of the electrical resistivity of concrete in rCON.
Figure 1. Experimental testing of the electrical resistivity of concrete in rCON.
Buildings 12 01443 g001
Figure 2. (a) Sampling of the exposed sample using a Profile Grinder; (b) the resulting layered drill in the concrete sample.
Figure 2. (a) Sampling of the exposed sample using a Profile Grinder; (b) the resulting layered drill in the concrete sample.
Buildings 12 01443 g002
Figure 3. Example of the chloride profile, showing the values from the experiment and the interleaved curve according to Equation (1).
Figure 3. Example of the chloride profile, showing the values from the experiment and the interleaved curve according to Equation (1).
Buildings 12 01443 g003
Figure 4. Percentage differences in diffusion coefficients compared with Dc,28.
Figure 4. Percentage differences in diffusion coefficients compared with Dc,28.
Buildings 12 01443 g004
Figure 5. Percentage differences in the estimated time of corrosion initiation.
Figure 5. Percentage differences in the estimated time of corrosion initiation.
Buildings 12 01443 g005
Table 1. Input parameters for numerical models [25].
Table 1. Input parameters for numerical models [25].
Parameter (Unit)Values
Width w (m)1.0
Thickness d (m)0.2
Reinforcement cover z (m)0.05
Chloride threshold Cth (%)0.4
Chloride concentration on surface C0 (%)0.6
Chloride concentration in the structure Cb (%)0
Maximum lifetime of the bridge in the model (years)100
Table 2. Diffusion coefficients and corresponding test times.
Table 2. Diffusion coefficients and corresponding test times.
Testing MethodMarkedTime of TestValues
Electrical resistivityDc,7day 77.858 × 10−12 m2/s
Dc,28day 285.788 × 10−12 m2/s
Dc,63day 635.629 × 10−12 m2/s
Dc,126day 1264.938 × 10−12 m2/s
m-0.160
Chloride profileDc,56,91from 56 to 91 days5.410 × 10−12 m2/s
Table 3. Results of the analysis.
Table 3. Results of the analysis.
Model No.Diffusion Coefficient
(×10−12 m2/s)
Reference Time (Days)Estimation Time of Corrosion Initiation (Years)
R77.858770.77
R285.7882872.00
R635.6296369.80
R1264.93812670.52
P565.4105673.24
P745.4107469.05
P915.4109167.74
Publisher’s Note: MDPI stays neutral with regard to jurisdictional claims in published maps and institutional affiliations.

Share and Cite

MDPI and ACS Style

Lehner, P.; Koubová, L.; Rosmanit, M. Study of Effect of Reference Time of Chloride Diffusion Coefficient in Numerical Modelling of Durability of Concrete. Buildings 2022, 12, 1443. https://doi.org/10.3390/buildings12091443

AMA Style

Lehner P, Koubová L, Rosmanit M. Study of Effect of Reference Time of Chloride Diffusion Coefficient in Numerical Modelling of Durability of Concrete. Buildings. 2022; 12(9):1443. https://doi.org/10.3390/buildings12091443

Chicago/Turabian Style

Lehner, Petr, Lenka Koubová, and Miroslav Rosmanit. 2022. "Study of Effect of Reference Time of Chloride Diffusion Coefficient in Numerical Modelling of Durability of Concrete" Buildings 12, no. 9: 1443. https://doi.org/10.3390/buildings12091443

APA Style

Lehner, P., Koubová, L., & Rosmanit, M. (2022). Study of Effect of Reference Time of Chloride Diffusion Coefficient in Numerical Modelling of Durability of Concrete. Buildings, 12(9), 1443. https://doi.org/10.3390/buildings12091443

Note that from the first issue of 2016, this journal uses article numbers instead of page numbers. See further details here.

Article Metrics

Back to TopTop