Research on the Evaluation of Resilience and Influencing Factors of the Urban Network Structure in the Three Provinces of Northeast China Based on Multiple Flows
Abstract
1. Introduction
2. Research Data and Methods
2.1. Study Area
2.2. Data Source
2.3. Multi-City Network Construction Method
2.3.1. Information Network
2.3.2. Transportation Network
2.3.3. Economic Network
2.3.4. Integrated Network
2.4. Urban Network Structure Resilience Measure
2.4.1. Hierarchy
2.4.2. Matching
2.4.3. Transmission
2.4.4. Agglomeration
3. Evaluation of Urban Network Structure Resilience in the Three Provinces of Northeast China
3.1. Spatial Pattern of the Urban Network Structure
3.2. Urban Network Structure Resilience
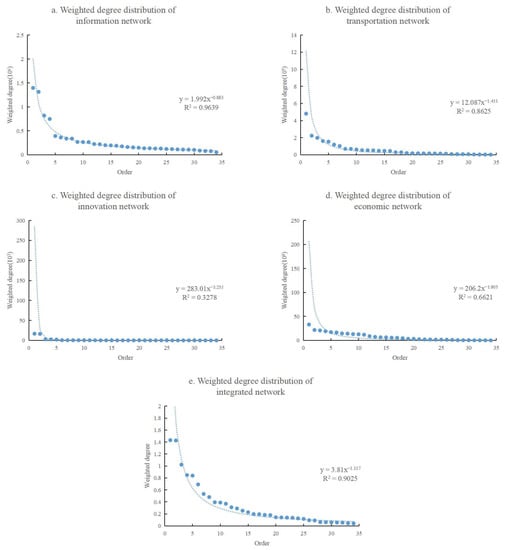
3.2.1. Network Hierarchy
3.2.2. Network Matching
3.2.3. Network Transmission and Agglomeration
3.2.4. Urban Node Type Identification
4. Influencing Factors of Urban Network Structure Resilience in the Three Provinces of Northeast China
4.1. Variable Selection
4.2. Regression Results
5. Conclusions
6. Discussion
6.1. Optimization Strategies
6.2. Academic Contributions
6.3. Potential Bias and Future Steps
Author Contributions
Funding
Institutional Review Board Statement
Informed Consent Statement
Data Availability Statement
Conflicts of Interest
References
- Holling, C. Resilience and Stability of Ecological Systems. Annu. Rev. Ecol. Syst. 1973, 4, 1–23. [Google Scholar] [CrossRef]
- Heinzlef, C.; Robert, B.; Hémond, Y.; Sreere, D. Operating urban resilience strategies to face climate change and associated risks: Some advances from theory to application in Canada and France. Cities 2020, 104, 102762. [Google Scholar] [CrossRef]
- Hill, E.; Wial, W.; Wolman, H. Exploring Regional Economic Resilience; Institute of Urban and Regional Development, University of California: Berkeley, CA, USA, 2008. [Google Scholar] [CrossRef]
- Palekiene, O.; Simanaviciene, Z.; Bruneckiene, J. The application of resilience concept in the regional development context. Procedia-Soc. Behav. Sci. 2015, 213, 79–184. [Google Scholar] [CrossRef]
- Susan, C.; Jonathan, M.; Peter, T. Regional resilience: Theoretical and empirical perspectives. Camb. J. Reg. Econ. Soc. 2010, 1, 9–10. [Google Scholar] [CrossRef]
- Suire, R.; Vicente, J. Clusters for life or life cycles of clusters: In search of the critical factors of clusters’ resilience. Soc. Sci. Electron. Publ. 2014, 26, 142–164. [Google Scholar] [CrossRef]
- Graciela, C.; Jones, J.; Statsenko, L. Managing Innovation Networks for Knowledge Mobility and Appropriability: A Complexity Perspective. Entrep. Res. J. 2016, 6, 75–109. [Google Scholar] [CrossRef]
- Boschma, R. Towards an evolutionary perspective on regional resilience. Reg. Stud. 2015, 49, 733–751. [Google Scholar] [CrossRef]
- Xie, Y.; Wang, C.; Han, Z.; Liu, S. Structural resilience evolution of multiple urban networks in the Harbin-Dalian urban belt. Prog. Geogr. 2020, 39, 1619–1631. [Google Scholar] [CrossRef]
- Peng, C.; Lin, Y.; Gu, C. Evaluation and optimization strategy of city network structural resilience in the middle reaches of Yangtze River. Geogr. Res. 2018, 37, 1193–1207. [Google Scholar] [CrossRef]
- Wang, J.; Jin, F.; Jiao, J. Impacts of high-speed rail lines on the city network in China. J. Transp. Geogr. 2017, 60, 257–266. [Google Scholar] [CrossRef]
- Ai, S.; Miao, C. “Space pf places”, “Space pf flows” and “Space of actor-networks”: From the perspective of ant. Hum. Geogr. 2010, 25, 43–49. [Google Scholar] [CrossRef]
- Pan, F.; Zhao, S.; Wójcik, D. The rise of venture capital centres in China: A spatial and network analysis. Geoforum 2016, 75, 148–158. [Google Scholar] [CrossRef]
- Yeh, A.; Yang, F.; Wang, J. Producer service linkages and city connectivity in the mega-city region of China: A case study of the Pearl River Delta. Urban Stud. 2015, 52, 2458–2482. [Google Scholar] [CrossRef]
- Zhao, M.; Derudder, B.; Huang, J. Examining the transition processes in the Pearl River Delta polycentric mega-city region through the lens of corporate networks. Cities 2017, 60, 147–155. [Google Scholar] [CrossRef]
- Guimera, R.; Mossa, S.; Turtschi, A.; Amaral, L. The worldwide air transportation network: Anomalous centrality, community structure, and cities’ global roles. Proc. Natl. Acad. Sci. USA 2003, 102, 7794–7799. [Google Scholar] [CrossRef] [PubMed]
- Blondel, V.; Guillaume, J.; Lambiotte, R.; Lefebvre, E. Fast unfolding of communities in large networks. J. Stat. Mech. Theory Exp. 2008, 10, 155–168. [Google Scholar] [CrossRef]
- Wang, S.; Zhan, Z.; Huang, Q.; Zhong, Z.; Li, P.; Min, H.; Liu, J. Study on logistics network of Yangtze River Delta city groups: Based on the method of social network analysis. J. Ambient. Intell. Humaniz. Comput. 2018, 9, 1–7. [Google Scholar] [CrossRef]
- Liang, S.; Cao, Y.; Wei, W.; Gao, J.; Liu, W.; Zhang, W. International Freight Forwarding Services Network in the Yangtze River Delta, 2005–2015: Patterns and Mechanisms. Chin. Geogr. Sci. 2019, 29, 112–126. [Google Scholar] [CrossRef]
- Lever, K.; Kifayat, K. Identifying and Mitigating Security Risks for Secure and Robust NGI Networks. Sustain. Cities Soc. 2020, 59, 102098. [Google Scholar] [CrossRef]
- Mei, D.; Xiu, C.; Feng, X. Analysis on the evolution characteristics and driving factors of urban information network structure in China. World Reg. Stud. 2020, 29, 717–727. [Google Scholar] [CrossRef]
- Wang, B.; Loo, B. The hierarchy of cities in Internet news media and Internet search: Some insights from China. Cities 2018, 84, 121–133. [Google Scholar] [CrossRef]
- Shao, Y.; Xu, J. Urban resilience: Conceptual analysis based on international literature review. Urban Plan. Int. 2015, 30, 48–54. [Google Scholar]
- Li, X.; Xiao, R. Analyzing network topological characteristics of eco-industrial parks from the perspective of resilience: A case study. Ecol. Indic. 2017, 74, 403–413. [Google Scholar] [CrossRef]
- Rak, J. K-Penalty: A novel approach to find κ-Disjoint paths with differentiated path costs. IEEE Commun. Lett. 2010, 14, 354–356. [Google Scholar] [CrossRef]
- Ruiz-Martin, C.; Paredes, A.; Wainer, G. Applying Complex Network Theory to the Assessment of Organizational Resilience. Ifac Pap. 2015, 48, 1224–1229. [Google Scholar] [CrossRef]
- Kang, Z.; Kumar, A.; Harrison, T.; Yen, J. Analyzing the Resilience of Complex Supply Network Topologies Against Random and Targeted Disruptions. IEEE Syst. J. 2011, 5, 28–39. [Google Scholar] [CrossRef]
- Ribeiro, P.; Gonalves, L. Urban Resilience: A conceptual framework. Sustain. Cities Soc. 2019, 50, 101625. [Google Scholar] [CrossRef]
- Wei, Z.; Xiu, C. Study on the concept and analytical framework of city network resilience. Prog. Geogr. 2020, 39, 488–502. [Google Scholar] [CrossRef]
- Wei, S.; Pan, J. Network structure resilience of cities at the prefecture level and above in China. Acta Geogr. Sin. 2021, 76, 1394–1407. [Google Scholar] [CrossRef]
- Robin, L. Climate change and urban resilience. Curr. Opin. Environ. Sustain. 2011, 3, 164–168. [Google Scholar] [CrossRef]
- Crespo, J.; Suire, R.; Vicente, J. Lock-in or lock-out? How structural properties of knowledge networks affect regional resilience. Pap. Evol. Econ. Geogr. 2012, 14, 199–219. [Google Scholar] [CrossRef]
- Mcdaniels, T.; Chang, S.; Cole, D.; Mikawoz, J.; Longstaff, H. Fostering resilience to extreme events within infrastructure systems: Characterizing decision contexts for mitigation and adaptation. Glob. Environ. Chang. 2008, 18, 310–318. [Google Scholar] [CrossRef]
- Lv, L.; Liang, Z.; Miao, R. The Innovation Linkage Among Chinese Major Cities. Sci. Geogr. Sin. 2015, 35, 30–37. [Google Scholar] [CrossRef]
- Benhabib, J.; Spiegel, M. The role of human capital in economic development evidence from aggregate cross-country data. J. Monet. Econ. 1994, 34, 143–173. [Google Scholar] [CrossRef]
- Jiang, D.; Sun, Y.; Ren, H.; Chen, Y.; Zhang, Z. Research on the City Network Characteristics of the City Group in the Middle Reaches of the Yangtze River Based on Baidu Index. Resour. Environ. Yangtze Basin 2015, 24, 1654–1664. [Google Scholar] [CrossRef]
- Peng, C.; Lin, Y. Spatial-temporal mechanism of internal correlation in Changsha-Zhuzhou-Xiangtan Network cities. Econ. Geogr. 2015, 35, 72–78. [Google Scholar] [CrossRef]
- Cao, X.; Zeng, G. The mode of transformation and upgrading based on the methods of entropy weight and TOPSIS in case of Wuhu economic and technological development zone. Econ. Geogr. 2013, 34, 13–18. [Google Scholar] [CrossRef]
- Shi, J.; Wang, X.; Wang, C.; Liu, H.; Miao, Y.; Ci, F. Evaluation and Influencing Factors of Network Resilience in Guangdong-Hong Kong-Macao Greater Bay Area: A Structural Perspective. Sustainability 2022, 14, 8005. [Google Scholar] [CrossRef]
- Zhang, Y.; Shao, C.; He, S.; Gao, J. Resilience centrality in complex networks. Phys. Rev. 2020, 101, 22304. [Google Scholar] [CrossRef]
- Boccaletti, S.; Latora, V.; Moreno, Y.; Chavez, M.; Hwang, D. Complex networks: Structure and dynamic. Phys. Rep. 2006, 424, 175–308. [Google Scholar] [CrossRef]
- Wei, S.; Pan, J. Resilience of Urban Network Structure in China: The Perspective o Disruption. ISPRS Int. J. Geo-Inf. 2021, 10, 796. [Google Scholar] [CrossRef]
- Thadakamaila, H.; Raghavan, U.; Kumara, S.; Albert, R. Survivability of Multiagent-Based Supply Networks: A Topological Perspective. IEEE Intell. Syst. 2005, 19, 24–31. [Google Scholar] [CrossRef]
- Lai, J.; Pan, J. China’s City Network Structural Characteristics Based on Population Flow during Spring Festival Travel Rush: Empirical Analysis of “Tencent Migration” Big Data. J. Urban Plan. Dev. 2020, 146, 4020018. [Google Scholar] [CrossRef]
- Onnela, J.; Saramäki, J.; Kertész, J.; Kaski, K. Intensity and coherence of motifs in weighted complex networks. PhRvE 2005, 71, 65103. [Google Scholar] [CrossRef] [PubMed]
- Lu, P.; Dong, M.; Cao, L. Analysis of influence of clustering coefficient as its index on robustness of complex network. J. Lanzhou Univ. Technol. 2019, 45, 101–107. [Google Scholar]
- Wang, Y.; Wang, H.; Zhang, B.; Huang, X. Analysis of the network structure and influencing factors of urban agglomerations based on the perspective of multi-dimensional factor flow—A case study of Wuhan urban agglomeration. Econ. Geogr. 2021, 41, 68–76. [Google Scholar] [CrossRef]
- Li, X.; Liu, H.; Tian, S.; Gong, Y. Network structure and influencing factors of urban human habitat activities in the three provinces of Northeast China: Based on Baidu Post Bar data. Prog. Geogr. 2019, 38, 1726–1734. [Google Scholar] [CrossRef][Green Version]
- Wang, J.; Jing, Y.; Yang, H. The evolution mode of China’s HSR-air competitive network and its driving factors. Sci. Geogr. Sin. 2020, 40, 675–684. [Google Scholar] [CrossRef]
- Zhu, J.; Sun, H. Research on spatial-temporal evolution and influencing factors of urban resilience of China’s three metropolitan agglomerations. Soft Sci. 2020, 34, 72–79. [Google Scholar] [CrossRef]
- Dawley, S.; Pike, A.; Tomaney, J. Towards the resilient region?: Policy activism and peripheral region development. SERC Discuss. Pap. 2010, 25, 650–667. [Google Scholar] [CrossRef]








| Data | Date | Data Sources | Corresponding Urban Network Type |
|---|---|---|---|
| Statistical data | 2019 | Statistical Yearbook of Liaoning Province, Jilin Province, and Heilongjiang Province | Economic network |
| Baidu Index | January 2019– December 2019 | Baidu Index search platform (http://index.baidu.com, accessed on 20–23 June 2021) | Information network |
| Mileage data | - | Baidu Map official website (https://map.baidu.com, accessed on 26 June 2021), train ticket and railway mileage inquiry website (http://www.huochepiao.com/licheng/, accessed on 28 June 2021) | Transportation network |
| Paper co-author | 2019 | Web of Science database (http://webofscience.com, accessed on 3–5 July 2021) | Innovation network |
| Dimension | Index | Spatial Significance |
|---|---|---|
| Hierarchy | Weighted degree | Externally connected degree of urban nodes |
| Weighted degree distribution | Urban node level | |
| Matching | Weighted average nearest-neighbor degree | Correlation degree among urban nodes |
| Transmission | Average path length | Urban node communication capability |
| Agglomeration | Local weighted clustering coefficient | Agglomeration degree of urban nodes and their neighboring nodes |
| Multiple Network | Information Network | Transportation Network | Innovation Network | Economic Network |
|---|---|---|---|---|
| Information network | - | 0.497 *** | 0.387 *** | 0.428 *** |
| Transportation network | 0.497 *** | - | 0.390 *** | 0.610 *** |
| Innovation network | 0.387 *** | 0.390 *** | - | 0.307 *** |
| Economic network | 0.428 *** | 0.610 *** | 0.307 *** | - |
| Variable | Index | Unit | Max | Min | Mean | Std. Dev. |
|---|---|---|---|---|---|---|
| Economic scale | Gross National Product per capita | Yuan (RMB) | 99,996 | 21,045 | 42,314.471 | 21,207.168 |
| Knowledge thickness | Total number of patent applications | Piece | 37,313 | 6 | 4260 | 8765.050 |
| Political status | 1 for provincial capital cities and sub-provincial cities and 0 for the rest of the cities | - | 1 | 0 | 0.118 | 0.327 |
| Geographic conditions | 1 for cities in eastern provinces and 0 for cities in central and western provinces | - | 1 | 0 | 0.412 | 0.500 |
| Urban vitality | Population density | Person/km2 | 587.869 | 22.785 | 194.313 | 132.818 |
| Government capacity | Proportion of public financial expenditure in GDP | % | 59.056 | 12.300 | 32.589 | 12.186 |
| Openness | Proportion of total exports to GDP | % | 27.711 | 0.003 | 4.605 | 5.888 |
| Labor wages | Average salary of on-the-job employees | Yuan (RMB) | 100,781 | 44,953 | 65,556.941 | 12,364.777 |
| Science and education level | Proportion of science and education expenditure in total expenditure | % | 16.283 | 6.521 | 11.780 | 2.203 |
| Hierarchy | Matching | Transmission | Agglomeration | |
|---|---|---|---|---|
| Economic scale | 0.0005 | 0.0011 | 0.0003 | 0.0003 |
| Knowledge thickness | −0.0002 | 0.0023 | −0.0006 * | −0.0005 * |
| Political status | 0.5396 *** | −0.0164 *** | 0.1184 *** | 0.0578 |
| Geographic conditions | −0.1932 | 0.0059 | 0.0935 | 0.0141 |
| Urban vitality | 0.0015 *** | −0.0045 *** | −0.0006 | −0.0005 ** |
| Government capacity | −1.5922 ** | 0.0482 ** | 0.9966 * | 0.9603 * |
| Openness | −1.0181 | 0.0309 | −0.2738 | 0.1490 |
| Labor wages | 0.0004 *** | 0.0005 | −0.0001 | −0.0007 |
| Science and education level | −0.6303 | 0.0191 | −2.1147 | −1.0740 |
| Intercept | 0.860 | 0.326 | 0.153 | 0.107 |
| Sample size | 34 | 34 | 34 | 34 |
| R2 | 0.793 | 0.715 | 0.543 | 0.455 |
Publisher’s Note: MDPI stays neutral with regard to jurisdictional claims in published maps and institutional affiliations. |
© 2022 by the authors. Licensee MDPI, Basel, Switzerland. This article is an open access article distributed under the terms and conditions of the Creative Commons Attribution (CC BY) license (https://creativecommons.org/licenses/by/4.0/).
Share and Cite
Liu, H.; Li, X.; Tian, S.; Guan, Y. Research on the Evaluation of Resilience and Influencing Factors of the Urban Network Structure in the Three Provinces of Northeast China Based on Multiple Flows. Buildings 2022, 12, 945. https://doi.org/10.3390/buildings12070945
Liu H, Li X, Tian S, Guan Y. Research on the Evaluation of Resilience and Influencing Factors of the Urban Network Structure in the Three Provinces of Northeast China Based on Multiple Flows. Buildings. 2022; 12(7):945. https://doi.org/10.3390/buildings12070945
Chicago/Turabian StyleLiu, He, Xueming Li, Shenzhen Tian, and Yingying Guan. 2022. "Research on the Evaluation of Resilience and Influencing Factors of the Urban Network Structure in the Three Provinces of Northeast China Based on Multiple Flows" Buildings 12, no. 7: 945. https://doi.org/10.3390/buildings12070945
APA StyleLiu, H., Li, X., Tian, S., & Guan, Y. (2022). Research on the Evaluation of Resilience and Influencing Factors of the Urban Network Structure in the Three Provinces of Northeast China Based on Multiple Flows. Buildings, 12(7), 945. https://doi.org/10.3390/buildings12070945

