Date Palm Surface Fibers for Green Thermal Insulation
Abstract
:1. Introduction
2. Materials and Methods
2.1. Materials
2.2. Methods
2.2.1. Sample Preparation
2.2.2. Thermal Conductivity Measurement
2.2.3. Thermogravimetric Analysis (TGA)
2.2.4. Kinetic Study
2.2.5. Differential Scanning Calorimetry (DSC)
2.2.6. Fourier Transformation Infrared (FTIR)
2.2.7. Scanning Electron Microscopy (SEM)
2.2.8. X-Ray Diffraction (XRD)
2.2.9. Mechanical Testing
3. Results and Discussion
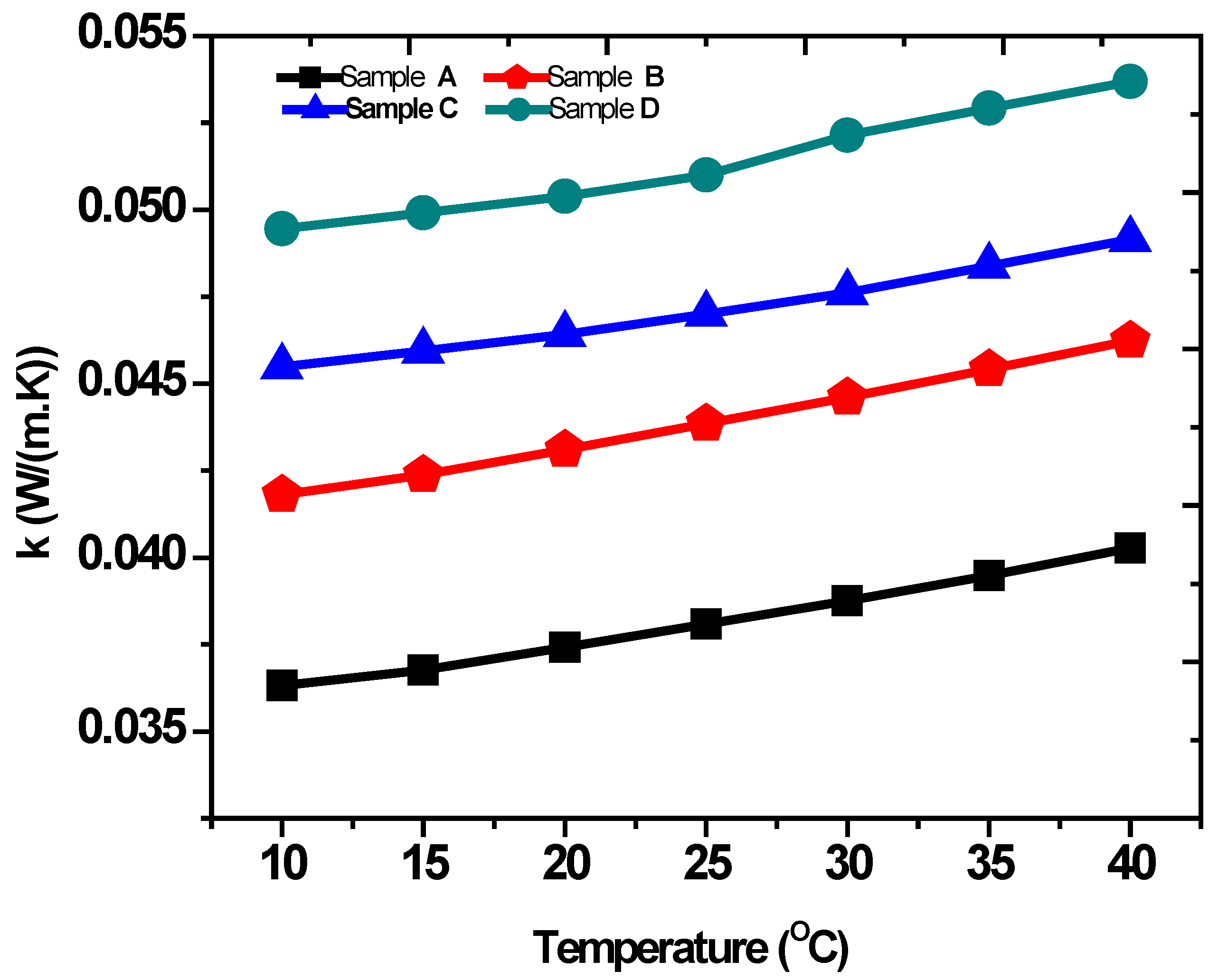
3.1. Thermal Conductivity (k) and Diffusivity (α)
3.2. Thermal Analysis
3.2.1. Thermogravimetric Analysis (TGA)
3.2.2. Kinetic Analysis
3.2.3. Differential Scanning Calorimetry (DSC) Analysis
3.3. Microstructure Properties
3.4. Mechanical Properties
4. Conclusions
- ▪
- Polyvinyl alcohol was successfully used as a binder in the synthesis of fiber-based heat insulation composites.
- ▪
- Their thermal conductivity was found to be density- and temperature-dependent. Four thermal insulation composites with densities of 203–254 kg/m3 had thermal conductivity and diffusivity values of 0.038–0.051 and 0.137–0.147 mm2/s, respectively. Crucially, both the thermal conductivity and diffusivity were on par with those of existing commercial insulators.
- ▪
- Thermal transmittance (U-value) of the four insulation composites were between 3.8–5.1 , which was in good comparison to other insulators of similar thickness.
- ▪
- TGA and DSC analyses confirm the higher thermal stability of the novel insulation composite. Initial degradation temperature and melting point were 282 °C and 225 °C, respectively.
- ▪
- An analysis was applied to predict the more resistive nature of the insulation material. An activation energy increased to 171 kJ/mol for the insulation composite compared with raw fibers ( = 101 kJ/mol).
- ▪
- FTIR analysis showed that only carbon, hydrogen, and oxygen are the main constituents of the thermal composite and that it is organic in nature.
- ▪
- Further, our SEM results confirmed the binding of PVA into the fiber structures.
- ▪
- The prepared insulation composites had a tensile strength of 6.9–10 MPa.
- ▪
- Therefore, date palm surface fiber based building insulation material exhibits excellent properties for use as a substitute for conventional insulation.
Author Contributions
Funding
Institutional Review Board Statement
Informed Consent Statement
Data Availability Statement
Conflicts of Interest
References
- Economidou, M.; Todeschi, V.; Bertoldi, P.; D’Agostino, D.; Zangheri, P.; Castellazzi, L. Review of 50 years of EU energy efficiency policies for buildings. Energy Build. 2020, 225, 110322. [Google Scholar] [CrossRef]
- Miner, K.R.; Turetsky, M.R.; Malina, E.; Bartsch, A.; Tamminen, J.; McGuire, A.D.; Sweeney, C.; Elder, C.D.; Miller, C.E. Permafrost carbon emissions in a changing Arctic. Nat. Rev. Earth Environ. 2022, 3, 55–67. [Google Scholar] [CrossRef]
- Pigliautile, I.; Chàfer, M.; Pisello, A.L.; Pérez, G.; Cabeza, L.F. Inter-building assessment of urban heat island mitigation strategies: Field tests and numerical modelling in a simplified-geometry experimental set-up. Renew. Energy 2020, 147, 1663–1675. [Google Scholar] [CrossRef]
- Aly, N.M.; Seddeq, H.; Elnagar, K.; Hamouda, T. Acoustic and thermal performance of sustainable fiber reinforced thermoplastic composite panels for insulation in buildings. J. Build. Eng. 2021, 40, 102747. [Google Scholar] [CrossRef]
- Gounni, A.; Alami, M.E. Experimental study of heat transfer in a reduced scale cavity incorporating phase change material into its vertical walls. J. Therm. Sci. Eng. Appl. 2018, 10, 011010. [Google Scholar] [CrossRef]
- Berardi, U. The impact of aging and environmental conditions on the effective thermal conductivity of several foam materials. Energy 2019, 182, 777–794. [Google Scholar] [CrossRef]
- Asdrubali, F.; D’Alessandro, F.; Schiavoni, S. A review of unconventional sustainable building insulation materials. Sustain. Mater. Technol. 2015, 4, 1–17. [Google Scholar] [CrossRef]
- Yildiz, G.; Yahia, M.E. Comparative performance evaluation of conventional and renewable thermal insulation materials used in building envelops. Teh. Vjesn. 2020, 27, 283–289. [Google Scholar]
- Hill, C.; Norton, A.; Dibdiakova, J. A comparison of the environmental impacts of different categories of insulation materials. Energy Build. 2018, 162, 12–20. [Google Scholar] [CrossRef]
- Abedom, F.; Sakthivel, S.; Asfaw, D.; Melese, B.; Solomon, E.; Kumar, S.S. Development of natural fiber hybrid composites using sugarcane bagasse and bamboo charcoal for automotive thermal insulation materials. Adv. Mater. Sci. Eng. 2021, 2021, 2508840. [Google Scholar] [CrossRef]
- Dickson, T.; Pavía, S. Energy performance, environmental impact and cost of a range of insulation materials. Renew. Sustain. Energy Rev. 2021, 140, 110752. [Google Scholar] [CrossRef]
- Ilyas, R.A.; Aisyah, H.A.; Nordin, A.H.; Ngadi, N.; Zuhri, M.Y.M.; Asyraf, M.R.M.; Sapuan, S.M.; Zainudin, E.S.; Sharma, S.; Abral, H.; et al. Natural-Fiber-Reinforced Chitosan, Chitosan Blends and Their Nanocomposites for Various Advanced Applications. Polymers 2022, 14, 874. [Google Scholar] [CrossRef]
- Asyraf, M.R.M.; Ishak, M.R.; Sapuan, S.M.; Yidris, N.; Ilyas, R.A.; Rafidah, M.; Razman, M.R. Potential application of green composites for cross arm component in transmission tower: A brief review. Int. J. Polym. Sci. 2020, 2020, 8878300. [Google Scholar] [CrossRef]
- Raza, M.; Abu-Jdayil, B.; Al-Marzouqi, A.H.; Inayat, A. Kinetic and thermodynamic analyses of date palm surface fibers pyrolysis using Coats-Redfern method. Renew. Energy 2022, 183, 67–77. [Google Scholar] [CrossRef]
- Inayat, A.; Raza, M. District cooling system via renewable energy sources: A review. Renew. Sustain. Energy Rev. 2019, 107, 360–373. [Google Scholar] [CrossRef]
- Alzaabi, M.S.A.; Mezher, T. Analyzing existing UAE national water, energy and food nexus related strategies. Renew. Sustain. Energy Rev. 2021, 144, 111031. [Google Scholar] [CrossRef]
- Rehman, M.S.U.; Shafiq, M.T.; Afzal, M. Impact of COVID-19 on project performance in the UAE construction industry. J. Eng. Des. Technol. 2021, 20, 245–266. [Google Scholar]
- Kosiński, P.; Brzyski, P.; Tunkiewicz, M.; Suchorab, Z.; Wiśniewski, D.; Palczyński, P. Thermal Properties of Hemp Shives Used as Insulation Material in Construction Industry. Energies 2022, 15, 2461. [Google Scholar] [CrossRef]
- Yan, Q.; Feng, Z.; Luo, J.; Xia, W. Preparation and characterization of building insulation material based on SiO2 aerogel and its composite with expanded perlite. Energy Build. 2022, 255, 111661. [Google Scholar] [CrossRef]
- Srihanum, A.; Tuan Noor, M.T.; Devi, K.P.; Hoong, S.S.; Ain, N.H.; Mohd, N.S.; Din Mat, N.S.M.N.; Kian, Y.S. Low density rigid polyurethane foam incorporated with renewable polyol as sustainable thermal insulation material. J. Cell. Plast. 2022, 58, 1–19. [Google Scholar] [CrossRef]
- Abu-Jdayil, B.; Abdallah, H.A.; Mlhem, A.; Alkhatib, S.; Sayah, E.A.; Abdulsalam, H.; Asayel, A.; Alaydaroos, A. Utilization of Polyurethane Foam Dust in Development of Thermal Insulation Composite. Buildings 2022, 12, 126. [Google Scholar] [CrossRef]
- Dissanayake, D.; Weerasinghe, D.; Thebuwanage, L.; Bandara, U. An environmentally friendly sound insulation material from post-industrial textile waste and natural rubber. J. Build. Eng. 2021, 33, 101606. [Google Scholar] [CrossRef]
- Hittini, W.; Mourad, A.-H.I.; Abu-Jdayil, B. Utilization of devulcanized waste rubber tire in development of heat insulation composite. J. Clean. Prod. 2021, 280, 124492. [Google Scholar] [CrossRef]
- Abu-Jdayil, B.; Mourad, A.-H.I.; Hussain, A.; Al Abdallah, H. Thermal insulation and mechanical characteristics of polyester filled with date seed wastes. Constr. Build. Mater. 2022, 315, 125805. [Google Scholar] [CrossRef]
- Mlhem, A.; Abu-Jdayil, B.; Tong-Earn, T.; Iqbal, M. Sustainable heat insulation composites from date palm fibre reinforced poly (β-hydroxybutyrate). J. Build. Eng. 2022, 54, 104617. [Google Scholar] [CrossRef]
- Al Abdallah, H.; Abu-Jdayil, B.; Iqbal, M.Z. The Effect of Alkaline Treatment on Poly(lactic acid)/Date Palm Wood Green Composites for Thermal Insulation. Polymers 2022, 14, 1143. [Google Scholar] [CrossRef]
- Abu-Jdayil, B.; Barkhad, M.S.; Mourad, A.-H.I.; Iqbal, M.Z. Date palm wood waste-based composites for green thermal insulation boards. J. Build. Eng. 2021, 43, 103224. [Google Scholar] [CrossRef]
- Barkhad, M.S.; Abu-Jdayil, B.; Iqbal, M.Z.; Mourad, A.-H.I. Thermal insulation using biodegradable poly (lactic acid)/date pit composites. Constr. Build. Mater. 2020, 261, 120533. [Google Scholar] [CrossRef]
- Al Abdallah, H.; Abu-Jdayil, B.; Iqbal, M.Z. Improvement of Mechanical Properties and Water Resistance of Bio-based Thermal Insulation Material via Silane Treatment. J. Clean. Prod. 2022, 346, 131242. [Google Scholar] [CrossRef]
- Masri, T.; Ounis, H.; Sedira, L.; Kaci, A.; Benchabane, A. Characterization of new composite material based on date palm leaflets and expanded polystyrene wastes. Constr. Build. Mater. 2018, 164, 410–418. [Google Scholar] [CrossRef]
- Ali, M.; Alabdulkarem, A.; Nuhait, A.; Al-Salem, K.; Iannace, G.; Almuzaiqer, R. Characteristics of agro waste fibers as new thermal insulation and sound absorbing materials: Hybrid of date palm tree leaves and wheat straw fibers. J. Nat. Fibers 2021, 1–9. [Google Scholar] [CrossRef]
- Ali, M.E.; Alabdulkarem, A. On thermal characteristics and microstructure of a new insulation material extracted from date palm trees surface fibers. Constr. Build. Mater. 2017, 138, 276–284. [Google Scholar] [CrossRef]
- Haseli, M.; Layeghi, M.; Hosseinabadi, H.Z. Characterization of blockboard and battenboard sandwich panels from date palm waste trunks. Measurement 2018, 124, 329–337. [Google Scholar] [CrossRef]
- Alabdulkarem, A.; Ali, M.; Iannace, G.; Sadek, S.; Almuzaiqer, R. Thermal analysis, microstructure and acoustic characteristics of some hybrid natural insulating materials. Constr. Build. Mater. 2018, 187, 185–196. [Google Scholar] [CrossRef]
- Abu-Jdayil, B.; Raza, M.; Al Abdallah, H. Thermal Insulating Material Made from Date Palm Surface Fibers. U.S. Patent 11255052b1, 22 July 2022. [Google Scholar]
- Cetiner, I.; Shea, A.D. Wood waste as an alternative thermal insulation for buildings. Energy Build. 2018, 168, 374–384. [Google Scholar] [CrossRef]
- Gayathri, K.; Rajesh, K.M.; Krishnan, P.V.; Anandan, K.; Rexalin, D.A.; Anbalagan, G. A study on kinetic properties of brucinium hydroge (s) malate pentahydrate single crystal by Coats Redfern method. In AIP Conference Proceedings; AIP Publishing LLC: Jodhpur, India, 2020; Volume 2265, p. 030425. [Google Scholar]
- Naqvi, S.R.; Uemura, Y.; Osman, N.; Yusup, S. Kinetic study of the catalytic pyrolysis of paddy husk by use of thermogravimetric data and the Coats–Redfern model. Res. Chem. Intermed. 2015, 41, 9743–9755. [Google Scholar] [CrossRef]
- GreenSpec. Insulation Materials and Their Thermal Properties. 2021. Available online: https://www.greenspec.co.uk/building-design/insulation-materials-thermal-properties/ (accessed on 11 May 2022).
- Patnaik, A.; Mvubu, M.; Muniyasamy, S.; Botha, A.; Anandjiwala, R.D. Thermal and sound insulation materials from waste wool and recycled polyester fibers and their biodegradation studies. Energy Build. 2015, 92, 161–169. [Google Scholar] [CrossRef]
- Nguyen, D.M.; Grillet, A.-C.; Diep, T.M.H.; Bui, Q.B.; Woloszyn, M. Influence of thermo-pressing conditions on insulation materials from bamboo fibers and proteins based bone glue. Ind. Crops Prod. 2018, 111, 834–845. [Google Scholar] [CrossRef]
- Alana. Thermal Conductivity & U-Values. September 2020. Available online: https://ewistore.co.uk/thermal-conductivity-u-values/#login-modal (accessed on 11 May 2022).
- Mahmoodzadeh, M.; Gretka, V.; Hay, K.; Mukhopadhyaya, C.S.P. Determining overall heat transfer coefficient (U-Value) of wood-framed wall assemblies in Canada using external infrared thermography. Build. Environ. 2021, 199, 107897. [Google Scholar] [CrossRef]
- Sahu, D.K.; Sen, P.K.; Sahu, G.; Sharma, R.; Bohidar, S. A review on thermal insulation and its optimum thickness to reduce heat loss. Int. J. Innov. Res. Sci. Technol 2015, 2, 1–6. [Google Scholar]
- Lakatos, Á.; Kalmár, F. Investigation of thickness and density dependence of thermal conductivity of expanded polystyrene insulation materials. Mater. Struct. 2013, 46, 1101–1105. [Google Scholar] [CrossRef] [Green Version]
- Zach, J.; Korjenic, A.; Petránek, V.; Hroudová, J.; Bednar, T. Performance evaluation and research of alternative thermal insulations based on sheep wool. Energy Build. 2012, 49, 246–253. [Google Scholar] [CrossRef]
- Mahlia, T.; Taufiq, B.; Masjuki, H. Correlation between thermal conductivity and the thickness of selected insulation materials for building wall. Energy Build. 2007, 39, 182–187. [Google Scholar] [CrossRef]
- Cassidy, K. My Builder. 2014. Available online: https://www.mybuilder.com/questions/v/14947/using-50mm-polystyrene-instead-of-50mm-celotex-for-extension (accessed on 11 May 2022).
- NBS. What Is A U-Value? 2022. Available online: https://www.thenbs.com/knowledge/what-is-a-u-value-heat-loss-thermal-mass-and-online-calculators-explained (accessed on 11 May 2022).
- Kumar, D.; Alam, M.; Zou, P.X.; Sanjayan, J.G.; Memon, R.A. Comparative analysis of building insulation material properties and performance. Renew. Sustain. Energy Rev. 2020, 131, 110038. [Google Scholar] [CrossRef]
- Zheng, C.; Li, D.; Ek, M. Mechanism and kinetics of thermal degradation of insulating materials developed from cellulose fiber and fire retardants. J. Therm. Anal. Calorim. 2019, 135, 3015–3027. [Google Scholar] [CrossRef] [Green Version]
- Li, A.; Zhang, W.; Zhang, J.; Ding, Y.; Zhou, R. Pyrolysis kinetic properties of thermal insulation waste extruded polystyrene by multiple thermal analysis methods. Materials 2020, 13, 5595. [Google Scholar] [CrossRef]
- Jiao, L.; Xu, G.; Wang, Q.; Xu, Q.; Sun, J. Kinetics and volatile products of thermal degradation of building insulation materials. Thermochim. Acta 2012, 547, 120–125. [Google Scholar] [CrossRef]
- Song, F.; Wang, Q.; Wang, T. The effects of crystallinity on the mechanical properties and the limiting PV (pressure× velocity) value of PTFE. Tribol. Int. 2016, 93, 1–10. [Google Scholar] [CrossRef]
- Mwaikambo, L.Y.; Ansell, M.P. Chemical modification of hemp, sisal, jute, and kapok fibers by alkalization. J. Appl. Polym. Sci. 2002, 84, 2222–2234. [Google Scholar] [CrossRef]
- Feng, N.L.; Malingam, S.D.; Razali, N.; Subramonian, S. Alkali and silane treatments towards exemplary mechanical properties of kenaf and pineapple leaf fibre-reinforced composites. J. Bionic 2020, 17, 380–392. [Google Scholar] [CrossRef]
- Pawlak, F.; Aldas, M.; Parres, F.; López-Martínez, J.; Arrieta, M.P. Silane-functionalized sheep wool fibers from dairy industry waste for the development of plasticized pla composites with maleinized linseed oil for injection-molded parts. Polymers 2020, 12, 2523. [Google Scholar] [CrossRef]
- Ma, S.; Xiao, Y.; Zhou, F.; Schartel, B.; Chan, Y.Y.; Korobeinichev, O.P.; Trubachev, S.A.; Hu, W.; Ma, C.; Hu, Y. Effects of novel phosphorus-nitrogen-containing DOPO derivative salts on mechanical properties, thermal stability and flame retardancy of flexible polyurethane foam. Polym. Degrad. Stab. 2020, 177, 109160. [Google Scholar] [CrossRef]
- Rydzkowski, T.; Reszka, K.; Szczypiński, M.; Szczypiński, M.M.; Kopczyńska, E.; Thakur, V.K. Manufacturing and evaluation of mechanical, morphological, and thermal properties of reduced graphene oxide-reinforced expanded polystyrene (EPS) nanocomposites. Adv. Polym. Technol. 2020, 2020, 3053471. [Google Scholar] [CrossRef] [Green Version]

















| Date Waste Type | Treatments | Polymer | Thermal Conductivity | Ref. |
|---|---|---|---|---|
| Pits (fruit seeds) | - | Unsaturated polyester | 0.126–0.138 | [24] |
| Fibers | - | Poly (β-hydroxybutyrate) | 0.086–0.112 | [25] |
| Fibers | Alkaline treatment (NaOH & KOH) | Polylactic acid | 0.076–0.084 | [26] |
| Wood | - | Polylactic acid | 0.0692–0.0757 | [27] |
| Pits | - | Polylactic acid | 0.0794 to 0.0682 | [28] |
| Fibers | silane-treated (APTES) | Polylactic acid | 0.085–0.105 | [29] |
| Leaflets | Expanded polystyrene | 0.11–0.16 | [30] | |
| Leaves | Corn starch and wood adhesive as binder | - | 0.045–0.065 | [31] |
| Surface fibers | Corn starch as binder | - | 0.0475–0.0697 | [32] |
| Trunk wood | Isocyanate based polyurethane and polyvinyl acetate as binder | - | 0.1357–0.14 | [33] |
| Fibers | Corn starch, glue, and white cement as binder | - | 04234–0.05291 | [34] |
| No. | Materials | Thermal Conductivity Coefficient, k (W/(m·K)) | Ref. |
|---|---|---|---|
| 1. | Date palm surface fibers bonded with PVA (polyvinyl alcohol) | (25 °C) at ρ = 203.33 kg/m3 (25 °C) at ρ = 227.45 kg/m3 (25 °C) at ρ = 246.53 kg/m3 (25 °C) at ρ = 254.01 kg/m3 | This study |
| 2. | Date palm surface fibers bonded with corn starch | (25 °C) at ρ = 176 kg/m3 | [32] |
| 3. | Date palm surface fibers, apple of Sodom fibers, and agave fibers bonded with corn starch, wood adhesive glue, and white cement | for all samples at ρ = 170–300 kg/m3 | [34] |
| 4. | Waste wool and recycled polyester fibers | (35 °C) at ρ = 62.50 kg/m3 | [40] |
| 5. | Bamboo fibers bonded with protein-based bone glue | (25 °C) at ρ = 246 kg/m3 | [41] |
| T (°C) | Heat Capacity (J/g °C) | Thermal Diffusivity (α) (mm2/s) | |||
|---|---|---|---|---|---|
| Sample A | Sample B | Sample C | Sample D | ||
| 10 | 0.179 | 0.248 | 0.255 | 0.256 | 0.270 |
| 15 | 1.122 | 0.161 | 0.166 | 0.166 | 0.175 |
| 20 | 1.291 | 0.142 | 0.145 | 0.145 | 0.153 |
| 25 | 1.365 | 0.137 | 0.138 | 0.139 | 0.147 |
| 30 | 1.442 | 0.132 | 0.136 | 0.133 | 0.142 |
| 35 | 1.501 | 0.129 | 0.133 | 0.130 | 0.138 |
| 40 | 1.545 | 0.128 | 0.131 | 0.129 | 0.136 |
| No. | U-Value | Ref. |
|---|---|---|
| Sample A (10 mm) | 3.8 | This study |
| Sample B (10 mm) | 4.3 | |
| Sample C (10 mm) | 4.7 | |
| Sample D (10 mm) | 5.1 | |
| Polystyrene (50 mm) | 1.25 | [48] |
| Celotex (50 mm) | 2.25 | |
| Glass wool (100 mm) | 0.4 | [49] |
| Concrete blocks (100 mm) | 11.1 | |
| Clay bricks (100 mm) | 7.6 | |
| Fiber glass (50 mm) | 1 | [50] |
| Thermal Property | Raw Fibers | Insulation Composite |
|---|---|---|
| Initial degradation temperature at (TIN) (°C) | 255 | 282 |
| Mass loss (%) at TIN | 11 | 6 |
| Major degradation temperature range (°C) | 255–381 | 282–383 |
| Maximum degradation temperature (Tmax) | 365 | 368 |
| Equation Model | (kJ/mol) | |
|---|---|---|
| Raw fibers | Insulation composite | |
| Anti-Jander | 101.26 | 170.57 |
| Ginstling | 101.67 | 171.63 |
| Sample No. | Tensile Strength (MPa) | Young’s Modulus (MPa) |
|---|---|---|
| Sample A | 6.9 | 3.80 |
| Sample B | 10 | 3.56 |
| Sample C | 9.8 | 4.11 |
| Sample D | 7.2 | 5.98 |
Publisher’s Note: MDPI stays neutral with regard to jurisdictional claims in published maps and institutional affiliations. |
© 2022 by the authors. Licensee MDPI, Basel, Switzerland. This article is an open access article distributed under the terms and conditions of the Creative Commons Attribution (CC BY) license (https://creativecommons.org/licenses/by/4.0/).
Share and Cite
Raza, M.; Abdallah, H.A.; Abdullah, A.; Abu-Jdayil, B. Date Palm Surface Fibers for Green Thermal Insulation. Buildings 2022, 12, 866. https://doi.org/10.3390/buildings12060866
Raza M, Abdallah HA, Abdullah A, Abu-Jdayil B. Date Palm Surface Fibers for Green Thermal Insulation. Buildings. 2022; 12(6):866. https://doi.org/10.3390/buildings12060866
Chicago/Turabian StyleRaza, Mohsin, Hyder Al Abdallah, Ayah Abdullah, and Basim Abu-Jdayil. 2022. "Date Palm Surface Fibers for Green Thermal Insulation" Buildings 12, no. 6: 866. https://doi.org/10.3390/buildings12060866
APA StyleRaza, M., Abdallah, H. A., Abdullah, A., & Abu-Jdayil, B. (2022). Date Palm Surface Fibers for Green Thermal Insulation. Buildings, 12(6), 866. https://doi.org/10.3390/buildings12060866

