Study of the Durability Damage of Ultrahigh Toughness Fiber Concrete Based on Grayscale Prediction and the Weibull Model
Abstract
:1. Introduction
2. Materials and Methods
2.1. Mix Proportion Design
2.2. Experimental Methods
- —Number of impacts at final cracking of the specimen (T)
- —Drop hammer quality (kg) is 4.5 kg
- —Earth’s gravitational acceleration (m/s2) is 9.8
- —Drop height of hammer (m) is 0.5 m
- —Number of impacts at final cracking of the specimen (T)
- —Number of impacts at the first crack of the specimen (T)
3. Test Results and Analysis
3.1. Freeze-Thaw Cycle Test Results
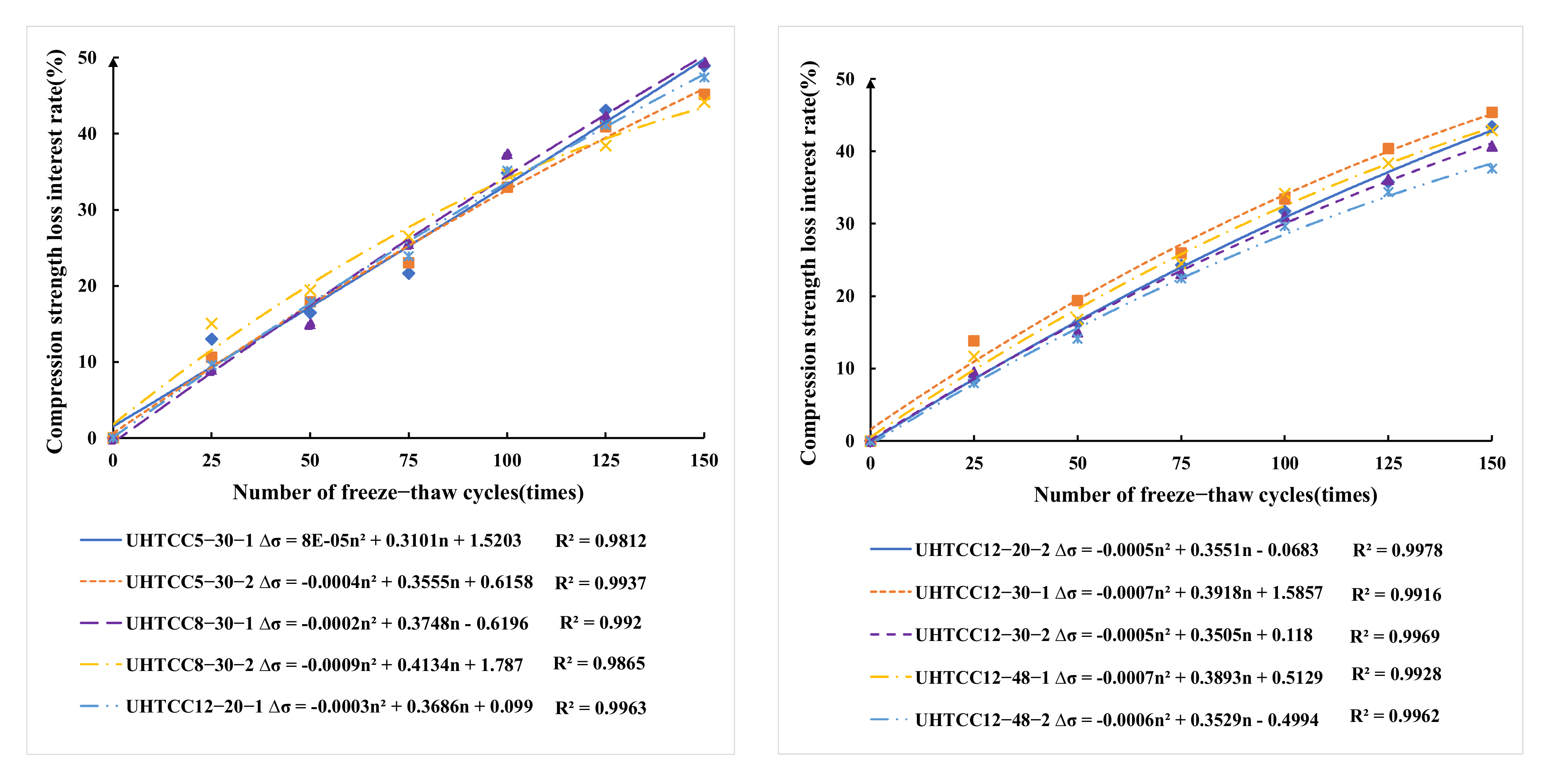
3.1.1. Freeze–Thaw Compressive Strength Damage Model
3.1.2. Freeze-Thaw Mass Damage Model
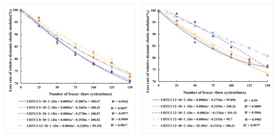
3.1.3. Freeze–Thaw Relative Dynamic Elastic Model Damage Model
3.2. Impact Resistance Test Results
3.3. Modified PP Fiber Contribution
4. Gray GM(1,1)-Based Freeze–Thaw Damage Model for UHTCC
4.1. Traditional GM(1,1) Power Model
4.2. Optimization of the Gray Background Values
4.3. Freeze-Thaw Damage Model of UHTCC Based on Gray Prediction Theory
4.4. Error Analysis and Accuracy Analysis
5. Prediction of the Impact Damage Resistance for UHTCC Based on the Weibull Distribution Model
5.1. Weibull Distribution Model
5.2. Analysis of UHTCC Impact Counts Based on the Weibull Distribution Model
5.3. Impact Damage Prediction Based on the Weibull Distribution Model
6. Results and Discussion
- (1)
- During the freeze–thaw cycle test, UHTCC shows better durable damage performance, and the frost resistance of UHTCC is greatly improved with the increasing of fiber length, fiber diameter and fiber volume content. During the impact test, the ultimate impact resistance number and ductility of UHTCC are greatly improved and showed excellent impact resistance toughness. The test data show that the UHTCC has excellent durability performance when the fiber length is 12 mm, the fiber diameter is 48 μm, and the fiber volume content is 2%.
- (2)
- A freeze–thaw damage model based on the GM(1,1) power model with the UHTCC relative dynamic elastic modulus damage volume is developed. The accuracy and reliability of the GM(1,1) power model is analyzed based on the relative error, absolute correlation degree, mean variance and probability of small errors. Based on the experimental and predicted values, it can be concluded that the average relative error of the model is less than 5%, and the probability of a small error is 1. The absolute correlation and the mean variance are in the first gradient level, indicating that the UHTCC freeze–thaw damage model based on the GM(1,1) power model has a high fitting accuracy.
- (3)
- An impact damage prediction model based on the Weibull distribution model and UHTCC final crack count is established and the impact damage curve is obtained. As the number of impacts resisted increases, the probability of failure of the UHTCC increases. The minimum value of the correlation coefficient of determination R2 for the regression curve is 0.9393, the maximum value is 0.9818, and the variation range for R2 is relatively stable, which indicates that the impact damage prediction model established for UHTCC based on the Weibull distribution model is highly reliable and lays the foundation for the promotion of practical applications.
Author Contributions
Funding
Data Availability Statement
Conflicts of Interest
References
- Lian, C.; Zhuge, Y.; Beecham, S. The relationship between porosity and strength for porous concrete. Constr. Build. Mater. 2011, 25, 4294–4298. [Google Scholar] [CrossRef]
- Ozbek, A.S.A.; Weerheijm, J.; Schlangen, E.; Van Breugel, K. Dynamic behavior of porous concretes under drop weight impact testing. Cem. Concr. Compos. 2013, 39, 1–11. [Google Scholar] [CrossRef]
- Vieira, A.P.; Toledo Filho, R.D.; Tavares, L.M.; Cordeiro, G.C. Effect of particle size, porous structure and content of rice husk ash on the hydration process and compressive strength evolution of concrete. Constr. Build. Mater. 2020, 236, 117553. [Google Scholar] [CrossRef]
- Li, V.C. From Micromechanics to Structural Engineering—The Design of Cementitous Composites for Civil Engineering Applications. Struct. Eng./Earthq. Eng. 1994, 10, 37s–48s. [Google Scholar] [CrossRef] [Green Version]
- Li, V.C.; Leung, C.K. Steady-state and multiple cracking of short random fiber composites. J. Eng. Mech. 1992, 118, 2246–2264. [Google Scholar] [CrossRef] [Green Version]
- Yu, K.; Wang, Y.; Yu, J.; Xu, S. A strain-hardening cementitious composites with the tensile capacity up to 8%. Constr. Build. Mater. 2017, 137, 410–419. [Google Scholar] [CrossRef]
- Mina, A.L.; Petrou, M.F.; Trezos, K.G. Resistance of an Optimized Ultra-High Performance Fiber Reinforced Concrete to Projectile Impact. Buildings 2021, 11, 63. [Google Scholar] [CrossRef]
- Liu, Z.; Jiang, J.; Xu, Z. Study of the Frost Resistance of HDFC Based on a Response Surface Model and GM (1, 1) Model. Adv. Mater. Sci. Eng. 2022, 2022, 8420785. [Google Scholar] [CrossRef]
- Bragov, A.; Petrov, Y.V.; Karihaloo, B.L.; Konstantinov, A.Y.; Lamzin, D.; Lomunov, A.; Smirnov, I. Dynamic strengths and toughness of an ultra high performance fibre reinforced concrete. Eng. Fract. Mech. 2013, 110, 477–488. [Google Scholar] [CrossRef]
- Bagherzadeh, R.; Sadeghi, A.-H.; Latifi, M. Utilizing polypropylene fibers to improve physical and mechanical properties of concrete. Text. Res. J. 2012, 82, 88–96. [Google Scholar] [CrossRef]
- Banthia, N.; Majdzadeh, F.; Wu, J.; Bindiganavile, V. Fiber synergy in Hybrid Fiber Reinforced Concrete (HyFRC) in flexure and direct shear. Cem. Concr. Compos. 2014, 48, 91–97. [Google Scholar] [CrossRef]
- Gencel, O.; Ozel, C.; Brostow, W.; Martinez-Barrera, G. Mechanical properties of self-compacting concrete reinforced with polypropylene fibres. Mater. Res. Innov. 2011, 15, 216–225. [Google Scholar] [CrossRef]
- Suthiwarapirak, P.; Matsumoto, T.; Kanda, T. Flexural fatigue failure characteristics of an engineered cementitious composite and polymer cement mortars. Doboku Gakkai Ronbunshu 2002, 2002, 121–134. [Google Scholar] [CrossRef] [Green Version]
- Lee, J.; Lee, T.; Jeong, J.; Jeong, J. Sustainability and performance assessment of binary blended low-carbon concrete using supplementary cementitious materials. J. Clean. Prod. 2021, 280, 124373. [Google Scholar] [CrossRef]
- Ali, B.; Qureshi, L.A.; Kurda, R. Environmental and economic benefits of steel, glass, and polypropylene fiber reinforced cement composite application in jointed plain concrete pavement. Compos. Commun. 2020, 22, 100437. [Google Scholar] [CrossRef]
- Ferdosian, I.; Camões, A. Mechanical performance and post-cracking behavior of self-compacting steel-fiber reinforced eco-efficient ultra-high performance concrete. Cem. Concr. Compos. 2021, 121, 104050. [Google Scholar] [CrossRef]
- Sagar, B.; Sivakumar, M. Compressive properties and analytical modelling for stress-strain curves of polyvinyl alcohol fiber reinforced concrete. Constr. Build. Mater. 2021, 291, 123192. [Google Scholar] [CrossRef]
- Gong, Z.; Forrest, J.Y.-L. Special issue on meteorological disaster risk analysis and assessment: On basis of grey systems theory. Nat. Hazards 2014, 71, 995–1000. [Google Scholar] [CrossRef] [Green Version]
- Karanki, D.R.; Rahman, S.; Dang, V.N.; Zerkak, O. Epistemic and aleatory uncertainties in integrated deterministic and probabilistic safety assessment: Tradeoff between accuracy and accident simulations. Reliab. Eng. Syst. Saf. 2017, 162, 91–102. [Google Scholar] [CrossRef]
- Kabir, S.; Rivard, P. Damage classification of concrete structures based on grey level co-occurrence matrix using Haar\’s discrete wavelet transform. Comput. Concr. 2007, 4, 243–257. [Google Scholar] [CrossRef]
- Yin, Y.; Fan, Y.; Ning, W. Research on the Prediction of Mechanical Response to Concrete under Sulfate Corrosion Based on the Grey Theory. Proc. IOP Conf. Ser. Earth Environ. Sci. 2018, 153, 022006. [Google Scholar] [CrossRef] [Green Version]
- Liu, M.X.; Xie, J.G.; Wang, Z.Q.; Liu, Y.P. Research on Effect of Equivalent Diameter of Voids on Sound Absorption Performance of Porous Asphalt Concrete Based on Grey Entropy Method. In Key Engineering Materials; Trans Tech Publications Ltd.: Kapellweg, Switzerland, 2020; pp. 414–420. [Google Scholar] [CrossRef]
- Yu, B.; Sun, Z.; Qi, L. Freeze-thaw splitting strength analysis of PAC based on the gray-markov model. Adv. Mater. Sci. Eng. 2021, 2021, 9954504. [Google Scholar] [CrossRef]
- Tan, Y.; Xu, Z.; Liu, Z.; Jiang, J. Effect of Silica Fume and Polyvinyl Alcohol Fiber on Mechanical Properties and Frost Resistance of Concrete. Buildings 2022, 12, 47. [Google Scholar] [CrossRef]
- Sohel, K.; Al-Jabri, K.; Zhang, M.; Liew, J.R. Flexural fatigue behavior of ultra-lightweight cement composite and high strength lightweight aggregate concrete. Constr. Build. Mater. 2018, 173, 90–100. [Google Scholar] [CrossRef]
- Ríos, J.D.; Cifuentes, H.; Yu, R.C.; Ruiz, G. Probabilistic flexural fatigue in plain and fiber-reinforced concrete. Materials 2017, 10, 767. [Google Scholar] [CrossRef] [Green Version]
- Rojek, J.; Labra, C.; Su, O.; Oñate, E. Comparative study of different discrete element models and evaluation of equivalent micromechanical parameters. Int. J. Solids Struct. 2012, 49, 1497–1517. [Google Scholar] [CrossRef] [Green Version]
- Murthy, D.P.; Xie, M.; Jiang, R. Weibull Models; John Wiley & Sons: Hoboken, NJ, USA, 2004; Volume 505. [Google Scholar]
- Jo, B.W.; Chakraborty, S.; Kim, H. Prediction of the curing time to achieve maturity of the nano cement based concrete using the Weibull distribution model. Constr. Build. Mater. 2015, 84, 307–314. [Google Scholar] [CrossRef]
- Murali, G.; Asrani, N.P.; Ramkumar, V.; Siva, A.; Haridharan, M. Impact resistance and strength reliability of novel two-stage fibre-reinforced concrete. Arab. J. Sci. Eng. 2019, 44, 4477–4490. [Google Scholar] [CrossRef]
- Man, H.-K.; Van Mier, J. Damage distribution and size effect in numerical concrete from lattice analyses. Cem. Concr. Compos. 2011, 33, 867–880. [Google Scholar] [CrossRef]
- Zapata-Ordúz, L.; Portela, G.; Suárez, O. Weibull statistical analysis of splitting tensile strength of concretes containing class F fly ash, micro/nano-SiO2. Ceram. Int. 2014, 40, 7373–7388. [Google Scholar] [CrossRef]
- Yu, J.; Li, V. Research on production, performance and fibre dispersion of PVA engineering cementitious composites. Mater. Sci. Technol. 2009, 25, 651–656. [Google Scholar] [CrossRef]
- Ding, W.; Leng, F.; Wei, Q.; Zhang, X.; Zhou, Y.; Tian, G.; He, G.; Ji, X.; Wang, J. Specification for Design Mix Proportion of Ordinary Concrete: JGJ 55-2011[S]. Build. Decor. Mater. World 2011. [Google Scholar] [CrossRef]
- Liu, S.F.; Deng, J.L. The Range Suitable for GM(1, 1). Syst. Eng.-Theory Pract. 2000, 11, 131–138. [Google Scholar] [CrossRef]












| Length (mm) | Diameter (μm) | Tensile Strength (MPa) | Dynamic Elastic Modulus (GPa) | Elongation (%) | Density (g/cm3) | Melting Point (°C) | Resistivity (Ω·cm) | Thermal Conductivity |
|---|---|---|---|---|---|---|---|---|
| 5, 8, 12 | 20, 30, 48 | 500 | 3.5 | 20 | 0.91 | 165–173 °C | Worse |
| Type | Fiber Content (%) | Fiber Length (mm) | Fiber Diameter (μm) | Dosage (kg/m³) | |||||
|---|---|---|---|---|---|---|---|---|---|
| Water | Cement | Fly Ash | Coarse Aggregate | Fine Aggregate | Water-Reducing Agent | ||||
| UHTCC 5-30-1 | 1.0% | 5 | Φ30 | 265 | 450 | 495 | 425 | 950 | 10 |
| UHTCC 5-30-2 | 2.0% | 5 | Φ30 | 265 | 450 | 495 | 425 | 950 | 10 |
| UHTCC 8-30-1 | 1.0% | 8 | Φ30 | 265 | 450 | 495 | 425 | 950 | 10 |
| UHTCC 8-30-2 | 2.0% | 8 | Φ30 | 265 | 450 | 495 | 425 | 950 | 10 |
| UHTCC 12-20-1 | 1.0% | 12 | Φ20 | 265 | 450 | 495 | 425 | 950 | 10 |
| UHTCC 12-20-2 | 2.0% | 12 | Φ20 | 265 | 450 | 495 | 425 | 950 | 10 |
| UHTCC 12-30-1 | 1.0% | 12 | Φ30 | 265 | 450 | 495 | 425 | 950 | 10 |
| UHTCC 12-30-2 | 2.0% | 12 | Φ30 | 265 | 450 | 495 | 425 | 950 | 10 |
| UHTCC 12-48-1 | 1.0% | 12 | Φ48 | 265 | 450 | 495 | 425 | 950 | 10 |
| UHTCC 12-48-2 | 2.0% | 12 | Φ48 | 265 | 450 | 495 | 425 | 950 | 10 |
| Freeze-Thaw Cycles (n) | UHTCC 5-30-1 | UHTCC 5-30-2 | UHTCC 8-30-1 | UHTCC 8-30-2 | UHTCC 12-20-1 | ||||||||||
|---|---|---|---|---|---|---|---|---|---|---|---|---|---|---|---|
| Compressive Strength (Mpa) | Quality (kg) | Relative Bullet (%) | Compressive Strength (Mpa) | Quality (kg) | Relative Bullet (%) | Compressive Strength (Mpa) | Quality (kg) | Relative Bullet (%) | Compressive Strength (Mpa) | Quality (kg) | Relative Bullet (%) | Compressive Strength (Mpa) | Quality (kg) | Relative Bullet (%) | |
| 0 | 46.2 | 7.800 | 100 | 49.1 | 7.950 | 100 | 46.5 | 7.600 | 100 | 45.3 | 7.700 | 100 | 48.1 | 7.650 | 100 |
| 25 | 40.2 | 7.882 | 95.89 | 43.9 | 8.032 | 96.87 | 42.3 | 7.619 | 93.56 | 38.5 | 7.815 | 95.94 | 43.5 | 7.699 | 93.88 |
| 50 | 38.6 | 7.758 | 87.06 | 40.3 | 8.011 | 86.36 | 39.5 | 7.598 | 88.38 | 36.5 | 7.801 | 89.93 | 39.5 | 7.581 | 87.16 |
| 75 | 36.2 | 7.634 | 82.59 | 37.8 | 7.914 | 84.67 | 34.6 | 7.455 | 81.77 | 33.3 | 7.691 | 86.07 | 36.6 | 7.538 | 84.58 |
| 100 | 30.1 | 7.544 | 77.65 | 32.9 | 7.873 | 80.59 | 29.1 | 7.363 | 78.34 | 29.6 | 7.653 | 81.95 | 31.2 | 7.484 | 82.85 |
| 125 | 26.3 | 7.519 | 74.41 | 29.0 | 7.844 | 78.34 | 26.8 | 7.279 | 75.03 | 27.9 | 7.610 | 79.85 | 28.3 | 7.445 | 76.49 |
| 150 | 23.6 | 7.425 | 70.53 | 26.9 | 7.767 | 72.69 | 23.5 | 7.202 | 71.28 | 25.3 | 7.559 | 73.52 | 25.3 | 7.411 | 73.94 |
| UHTCC 12-20-2 | UHTCC 12-30-1 | UHTCC 12-30-2 | UHTCC 12-48-1 | UHTCC 12-48-2 | |||||||||||
| 0 | 52.3 | 7.600 | 100 | 48.5 | 7.600 | 100 | 54.5 | 7.605 | 100 | 50.6 | 7.600 | 100 | 55.3 | 7.850 | 100 |
| 25 | 47.9 | 7.806 | 94.11 | 41.8 | 7.726 | 95.62 | 49.3 | 7.650 | 98.81 | 44.7 | 7.670 | 94.08 | 50.9 | 7.972 | 97.36 |
| 50 | 43.8 | 7.744 | 86.52 | 39.1 | 7.658 | 88.21 | 46.3 | 7.648 | 95.21 | 42.1 | 7.537 | 90.02 | 47.5 | 7.994 | 93.35 |
| 75 | 79.6 | 7.586 | 83.92 | 35.9 | 7.555 | 83.92 | 41.9 | 7.596 | 89.26 | 38.2 | 7.495 | 85.42 | 42.9 | 7.811 | 90.65 |
| 100 | 35.7 | 7.536 | 81.36 | 32.3 | 7.495 | 80.16 | 37.6 | 7.564 | 84.60 | 33.3 | 7.442 | 82.57 | 38.9 | 7.774 | 86.71 |
| 125 | 33.6 | 7.499 | 77.14 | 28.9 | 7.401 | 78.32 | 34.8 | 7.510 | 79.44 | 31.2 | 7.371 | 78.86 | 36.3 | 7.721 | 84.25 |
| 150 | 29.6 | 7.451 | 75.95 | 26.5 | 7.337 | 72.69 | 32.3 | 7.458 | 76.74 | 28.9 | 7.305 | 75.96 | 34.5 | 7.681 | 80.76 |
| Codes | N1/N2 | |||||
|---|---|---|---|---|---|---|
| A | B | C | D | E | F | |
| UHTCC 5-30-1 | 1358/1365 | 1318/1325 | 1452/1466 | 1408/1416 | 1512/1524 | 1298/1311 |
| UHTCC 5-30-2 | 1578/1592 | 1624/1627 | 1502/1513 | 1678/1683 | 1549/1642 | 1689/1701 |
| UHTCC 8-30-1 | 1469/1473 | 1513/1314 | 1589/1602 | 1408/1416 | 1642/1658 | 1401/1402 |
| UHTCC 8-30-2 | 1711/1730 | 1625/1633 | 1824/1833 | 1746/1753 | 1825/1834 | 1658/1663 |
| UHTCC 12-20-1 | 1548/1566 | 1458/1463 | 1611/1635 | 1489/1503 | 1646/1653 | 1741/1752 |
| UHTCC 12-20-2 | 1892/1901 | 1805/1824 | 1943/1957 | 2015/2022 | 1743/1753 | 1845/1858 |
| UHTCC 12-30-1 | 1753/1758 | 1815/1823 | 1963/1968 | 1703/1719 | 1879/1892 | 1792/1799 |
| UHTCC 12-30-2 | 1683/1692 | 1547/1563 | 1746/1758 | 1625/1639 | 1845/1863 | 1941/1945 |
| UHTCC 12-48-1 | 1873/1886 | 1805/1809 | 1924/1936 | 2011/2013 | 1742/1747 | 1836/1839 |
| UHTCC 12-48-2 | 2109/2124 | 2236/2239 | 2338/2341 | 1953/1955 | 2313/2317 | 2163/2165 |
| Codes | Average Number of Cracking Impacts | W (J) | |||
|---|---|---|---|---|---|
| N1 | N2 | N2 – N1 | |||
| UHTCC 5-30-1 | 1391 | 1401 | 10 | 0.7309 | 30,895.725 |
| UHTCC 5-30-2 | 1602 | 1610 | 8 | 0.5305 | 35,518.875 |
| UHTCC 8-30-1 | 1562 | 1572 | 10 | 0.6401 | 34,669.95 |
| UHTCC 8-30-2 | 1731 | 1740 | 9 | 0.5486 | 38,389.05 |
| UHTCC 12-20-1 | 1582 | 1595 | 13 | 0.8321 | 35,177.1 |
| UHTCC 12-20-2 | 1873 | 1885 | 12 | 0.6583 | 41,582.625 |
| UHTCC 12-30-1 | 1817 | 1826 | 9 | 0.4952 | 40,274.325 |
| UHTCC 12-30-2 | 1731 | 1743 | 12 | 0.7028 | 38,440.5 |
| UHTCC 12-48-1 | 1865 | 1871 | 6 | 0.3484 | 41,270.25 |
| UHTCC 12-48-2 | 2185 | 2190 | 8 | 0.2212 | 48,293.175 |
| Types | Freeze-Thaw Times | |||||||
|---|---|---|---|---|---|---|---|---|
| 0 | 25 | 50 | 75 | 100 | 125 | 150 | ||
| UHTCC5-30-1 | Background value | - | 147.8 | 239.15 | 324 | 404.1 | 480.1 | 552.55 |
| True value | 100 | 95.6 | 87.1 | 82.6 | 77.6 | 74.4 | 70.5 | |
| UHTCC5-30-2 | Background value | - | 148.4 | 240 | 325.5 | 408.1 | 487.55 | 563.05 |
| True value | 100 | 96.8 | 86.4 | 84.6 | 80.6 | 78.3 | 72.7 | |
| UHTCC8-30-1 | Background value | - | 146.75 | 237.7 | 322.8 | 402.85 | 479.5 | 552.65 |
| True value | 100 | 93.5 | 88.4 | 81.8 | 78.3 | 75 | 71.3 | |
| UHTCC8-30-2 | Background value | - | 147.95 | 240.85 | 328.85 | 412.85 | 493.75 | 570.45 |
| True value | 100 | 95.9 | 89.9 | 86.1 | 81.9 | 79.9 | 73.5 | |
| UHTCC12-20-1 | Background value | - | 146.45 | 236.5 | 322.85 | 407 | 486.65 | 562.05 |
| True value | 100 | 92.9 | 87.2 | 85.5 | 82.8 | 76.5 | 74.3 | |
| UHTCC12-20-2 | Background value | - | 147.05 | 237.35 | 322.55 | 405.15 | 484.35 | 560.85 |
| True value | 100 | 94.1 | 86.5 | 83.9 | 81.3 | 77.1 | 75.9 | |
| UHTCC12-30-1 | Background value | - | 147.8 | 239.7 | 325.75 | 407.75 | 486.95 | 562.45 |
| True value | 100 | 95.6 | 88.2 | 83.9 | 80.1 | 78.3 | 72.7 | |
| UHTCC12-30-2 | Background value | - | 149.4 | 246.4 | 338.65 | 425.6 | 507.6 | 585.65 |
| True value | 100 | 98.8 | 95.2 | 89.3 | 84.6 | 79.4 | 76.7 | |
| UHTCC12-48-1 | Background value | - | 147.05 | 239.1 | 326.8 | 410.8 | 491.55 | 569 |
| True value | 100 | 94.1 | 90 | 85.4 | 82.6 | 78.9 | 76 | |
| UHTCC12-48-2 | Background value | - | 148.65 | 244 | 336 | 424.65 | 510.15 | 592.7 |
| True value | 100 | 97.3 | 93.4 | 90.6 | 86.7 | 84.3 | 80.8 | |
| Types | Parameter a and b | Relative Dynamic Elastic Modulus Prediction Model |
|---|---|---|
| UHTCC5-30-1 | a = 0.0599, b = 102.7544 | |
| UHTCC5-30-2 | a = 0.0514, b = 101.8730 | |
| UHTCC8-30-1 | a = 0.0367, b = 91.56690 | 2595.01 |
| UHTCC8-30-2 | a = 0.0495, b = 102.6324 | |
| UHTCC12-20-1 | a = 0.0438, b = 98.98930 | |
| UHTCC12-20-2 | a = 0.0423, b = 98.35130 | |
| UHTCC12-30-1 | a = 0.0512, b = 101.6710 | |
| UHTCC12-30-2 | a = 0.0533, b = 107.3410 | |
| UHTCC12-48-1 | a = 0.0430, b = 100.1556 | |
| UHTCC12-48-2 | a = 0.0366, b = 102.6111 |
| Precision Determination Index | Model Accuracy | |||
|---|---|---|---|---|
| Primary Standard | Secondary Standard | Three-Level Standard | Four-Level Standard | |
| C | 0.35 | 0.50 | 0.65 | 0.80 |
| P | 0.95 | 0.80 | 0.70 | 0.60 |
| 0.90 | 0.80 | 0.70 | 0.60 | |
| 0.01 | 0.05 | 0.10 | 0.20 | |
| Critical Value of the Index | The Relative Dynamic Elastic Modulus Prediction Accuracy of GM(1,1) Model | |||||||||
|---|---|---|---|---|---|---|---|---|---|---|
| UHTCC 5-30-1 | UHTCC 5-30-2 | UHTCC 8-30-1 | UHTCC 8-30-2 | UHTCC 12-20-1 | UHTCC 12-20-2 | UHTCC 12-30-1 | UHTCC 12-30-2 | UHTCC 12-48-1 | UHTCC 12-48-2 | |
| C | 0.27 | 0.32 | 0.23 | 0.15 | 0.24 | 0.27 | 0.22 | 0.21 | 0.22 | 0.23 |
| P | 1.00 | 1.00 | 1.00 | 1.00 | 1.00 | 1.00 | 1.00 | 1.00 | 1.00 | 1.00 |
| 0.9672 | 0.9681 | 0.9731 | 0.9815 | 0.9693 | 0.9685 | 0.9724 | 0.9738 | 0.9705 | 0.9719 | |
| 0.042 | 0.039 | 0.027 | 0.018 | 0.036 | 0.038 | 0.028 | 0.025 | 0.038 | 0.031 | |
| Weibull Shape Parameters β | Probability Density Curve Shape |
|---|---|
| Index distribution | |
| Rayleign distribution | |
| Normal distribution |
| Related Parameters | Specimen Number | ||||
|---|---|---|---|---|---|
| UHTCC 5-30-1 | UHTCC 5-30-2 | UHTCC 8-30-1 | UHTCC 8-30-2 | UHTCC 12-20-1 | |
| a | 15.18 | 19.378 | 11.316 | 18.591 | 13.542 |
| b | −110.32 | −143.44 | −83.659 | −139.08 | −100.2 |
| 0.9393 | 0.9713 | 0.9592 | 0.9491 | 0.9498 | |
| UHTCC 12-20-2 | UHTCC 12-30-1 | UHTCC 12-30-2 | UHTCC 12-48-1 | UHTCC 12-48-2 | |
| a | 17.381 | 17.633 | 10.878 | 17.893 | 13.621 |
| b | −131.42 | −132.79 | −81.548 | −135.21 | −105.19 |
| 0.9818 | 0.9408 | 0.9705 | 0.9582 | 0.9799 | |
| Number | Impact Damage Prediction Model | Number | Impact Damage Prediction Model |
|---|---|---|---|
| UHTCC5-30-1 | UHTCC12-20-2 | ||
| UHTCC5-30-2 | UHTCC12-30-1 | ||
| UHTCC8-30-1 | UHTCC12-30-2 | ||
| UHTCC8-30-2 | UHTCC12-48-1 | ||
| UHTCC12-20-1 | UHTCC12-48-2 |
Publisher’s Note: MDPI stays neutral with regard to jurisdictional claims in published maps and institutional affiliations. |
© 2022 by the authors. Licensee MDPI, Basel, Switzerland. This article is an open access article distributed under the terms and conditions of the Creative Commons Attribution (CC BY) license (https://creativecommons.org/licenses/by/4.0/).
Share and Cite
Wang, C.; Fu, P.; Liu, Z.; Xu, Z.; Wen, T.; Zhu, Y.; Long, Y.; Jiang, J. Study of the Durability Damage of Ultrahigh Toughness Fiber Concrete Based on Grayscale Prediction and the Weibull Model. Buildings 2022, 12, 746. https://doi.org/10.3390/buildings12060746
Wang C, Fu P, Liu Z, Xu Z, Wen T, Zhu Y, Long Y, Jiang J. Study of the Durability Damage of Ultrahigh Toughness Fiber Concrete Based on Grayscale Prediction and the Weibull Model. Buildings. 2022; 12(6):746. https://doi.org/10.3390/buildings12060746
Chicago/Turabian StyleWang, Chen, Pei Fu, Zeli Liu, Ziling Xu, Tao Wen, Yingying Zhu, Yuhua Long, and Jiuhong Jiang. 2022. "Study of the Durability Damage of Ultrahigh Toughness Fiber Concrete Based on Grayscale Prediction and the Weibull Model" Buildings 12, no. 6: 746. https://doi.org/10.3390/buildings12060746
APA StyleWang, C., Fu, P., Liu, Z., Xu, Z., Wen, T., Zhu, Y., Long, Y., & Jiang, J. (2022). Study of the Durability Damage of Ultrahigh Toughness Fiber Concrete Based on Grayscale Prediction and the Weibull Model. Buildings, 12(6), 746. https://doi.org/10.3390/buildings12060746
