LCIA Parameters and the Role of BIM towards Sustainability: Regional and Temporal Trends
Abstract
1. Introduction
1.1. Relative Attention toward Environmental Sustainability in Buildings
1.2. Life Cycle Impact Assessment of Building Products
1.3. Use of BIM for Environmental Sustainability Assessment in Buildings
1.4. Research Objectives
- To investigate the consideration towards environmental sustainability in commercial and residential buildings
- To investigate the contemporary priorities toward environmental issues encompassed in the LCIA framework
- To explore the prospects of using BIM for environmental sustainability in buildings
2. Literature Review
2.1. LCIA Indicators and Parameters
- Acidification potential: The potential of a material to result in the acidification of the environment.
- Eutrophication potential: The potential of a material to result in eutrophication which is the addition of mineral nutrients to the soil or water. This can result in undesirable shifts in the number of species in ecosystems and a reduction in ecological diversity.
- Ecological toxicity: This measure indicates the potential of a chemical (associated with the material under study) released into the environment to harm terrestrial and aquatic ecosystems.
- Fossil fuel depletion: This accounts for the non-renewable energy used throughout the product system and the embodied energy in products, such as the hydrocarbons in plastics and chemicals. This parameter has much significance and is even used alone to decide on environment-efficient building products [25].
- Smog potential: This accounts for the potential of smog creation throughout the product life cycle (i.e., in raw material processing, manufacturing, transportation, installation and at the End-of-life).
- Global warming potential: This accounts for the potential of global warming resulting from the chemicals associated with a product’s life cycle.
- Water use: This accounts for the inventory of net water used throughout a product system.
- Land use: This accounts for the surface area of land occupied and/or transformed within the system boundaries of a product system.
- Ozone depletion potential: This characterizes the ozone-depleting gases in a product system.
- Indoor air quality: This accounts for the indoor air quality by determining the emissions in the form of Volatile Organic Compounds (VOCs) from a product. Unlike other impact parameters, this parameter does not apply throughout a product’s lifecycle and instead applies only to the operation/use stage of a product. This parameter is particularly relevant to floor coverings, interior wall finishes, and furniture.
- Human health: This characterizes the relative health concern associated with various chemicals used throughout a product system.
- Criteria air pollutants: This quantifies the criteria air pollutants associated with a product system. There are six criteria air pollutants, including carbon monoxide, ground-level ozone, lead, nitrogen dioxide, particulate matter and Sulphur dioxide. These pollutants can harm health and the environment, and they can cause property damage.
2.2. BIM
3. Methodology
4. Results and Discussion
4.1. Weight of Environmental Sustainability Dimension
4.1.1. Environmental Sustainability in Comparison with Social and Economic Dimensions
4.1.2. Detailed Analysis of Environmental Sustainability Weights
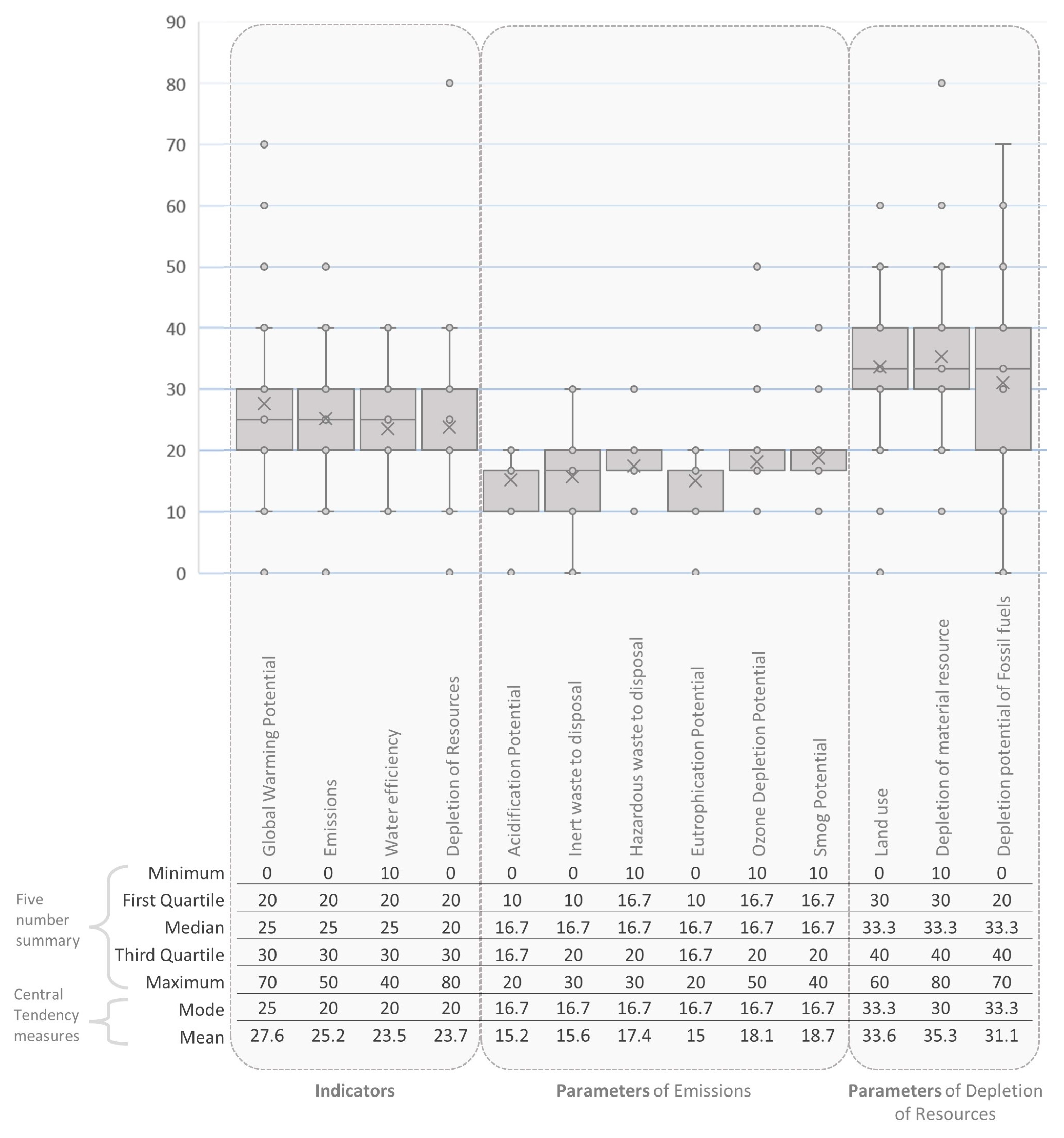
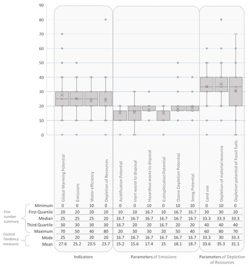
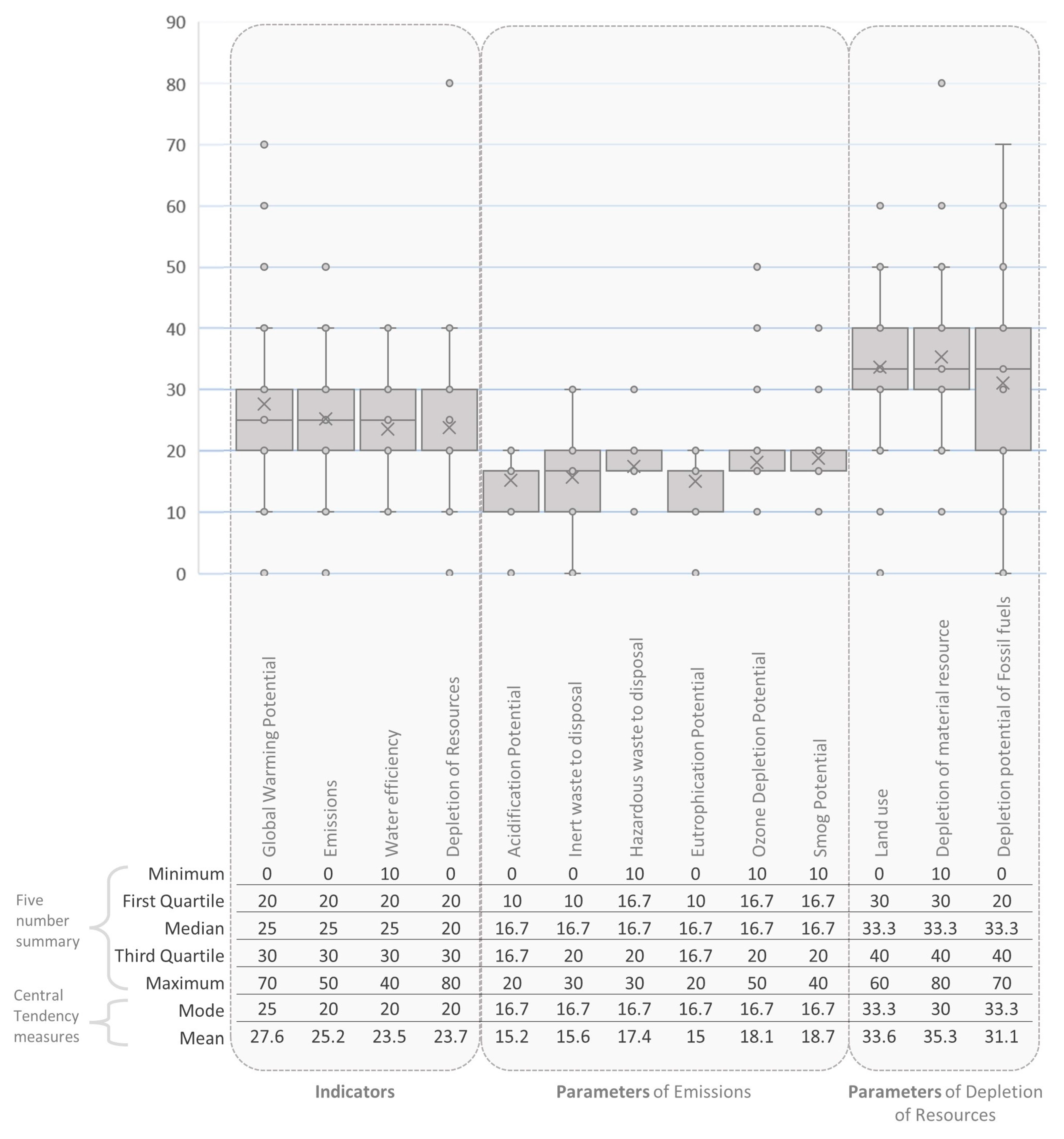
4.2. Weights of LCIA Indicators and Impact Parameters
4.2.1. Example of the Use of Parameter Weights
4.2.2. Comparison of Survey Findings with Previous Studies
- The highest difference in parameter weights was noticed in the case of the ‘water use’ parameter. In the previous studies, the highest weight value associated with ‘water use’ was 12. This study has indicated a weight value of 23.5 for this parameter which is almost double the highest value previously associated with this parameter.
- Compared to general weight trends in previous studies, this study has associated relatively low weights with ‘emissions’-related parameters.
4.3. Responsiveness of BIM towards Building Environmental Sustainability
Using LCIA in Generative Design: Recommendations for Future Development of BIM
5. Conclusions
Author Contributions
Funding
Institutional Review Board Statement
Informed Consent Statement
Data Availability Statement
Acknowledgments
Conflicts of Interest
References
- Chan, E.H.W.; Qian, Q.K.; Lam, P.T.I. The market for green building in developed Asian cities—The perspectives of building designers. Energy Policy 2009, 37, 3061–3070. [Google Scholar] [CrossRef]
- Gottfried, D.A. Sustainable Building Technical Manual—Green Building GB Design, Construction, and Operations; Produced by Public Technology Inc., USGB Council, Sponsored by US Department of Energy, US Environmental Protection Agency; Public Technology Inc.: Alexandria, VA, USA, 1994. [Google Scholar]
- Rodman, D.; Lenssen, N. A Building Revolution: How Ecology and Health Concerns Are Transforming Construction; Worldwatch Paper 124; Worldwatch Institute: Washington, DC, USA, 1996. [Google Scholar]
- Zuo, J.; Zhao, Z.-Y. Green building research–current status and future agenda: A review. Renew. Sustain. Energy Rev. 2014, 30, 271–281. [Google Scholar] [CrossRef]
- Ajayi, S.O.; Oyedele, L.O.; Akinade, O.; Bilal, M.; Owolabi, H.A.; Alaka, H.A.; Kadiri, K.O. Reducing waste to landfill: A need for cultural change in the UK construction industry. J. Build. Eng. 2016, 5, 185–193. [Google Scholar] [CrossRef]
- WBCSD. 2050 The New Agenda for Business; World Business Council for Sustainable Development: Geneva, Switzerland, 2010. [Google Scholar]
- Ahmad, T.; Thaheem, M.J. Developing a residential building-related social sustainability assessment framework and its implications for BIM. Sustain. Cities Soc. 2017, 28, 1–15. [Google Scholar] [CrossRef]
- Ahmad, T.; Thaheem, M.J. Economic sustainability assessment of residential buildings: A dedicated assessment framework and implications for BIM. Sustain. Cities Soc. 2018, 38, 476–491. [Google Scholar] [CrossRef]
- Gloria, T.P.; Lippiatt, B.C.; Cooper, J. Life cycle impact assessment weights to support environmentally preferable purchasing in the United States. Environ. Sci. Technol. 2007, 41, 7551–7557. [Google Scholar] [CrossRef]
- Kovacic, I.; Waltenbereger, L.; Gourlis, G. Tool for life cycle analysis of facade-systems for industrial buildings. J. Clean. Prod. 2016, 130, 260–272. [Google Scholar] [CrossRef]
- Skaar, C.; Lausselet, C.; Bergsdal, H.; Brattebø, H. Towards a LCA Database for the Planning and Design of Zero-Emissions Neighborhoods. Buildings 2022, 12, 512. [Google Scholar] [CrossRef]
- Hegeir, O.A.; Kvande, T.; Stamatopoulos, H.; Bohne, R.A. Comparative Life Cycle Analysis of Timber, Steel and Reinforced Concrete Portal Frames: A Theoretical Study on a Norwegian Industrial Building. Buildings 2022, 12, 573. [Google Scholar] [CrossRef]
- Torabi, F.; Ahmadi, P. Chapter 1—Battery Technologies. In Simulation of Battery Systems; Torabi, F., Ahmadi, P., Eds.; Academic Press: Cambridge, MA, USA, 2020; pp. 1–54. [Google Scholar]
- Laurin, L.; Dhaliwal, H. Life Cycle Environmental Impact Assessment. In Encyclopedia of Sustainable Technologies; Abraham, M.A., Ed.; Elsevier: Oxford, UK, 2017; pp. 225–232. [Google Scholar]
- Eastman, C.; Eastman, C.; Teicholz, P.; Sacks, R.; Liston, K. BIM Handbook: A Guide to Building Information Modeling for Owners, Managers, Designers, Engineers and Contractors; John Wiley & Sons: Hoboken, NJ, USA, 2011. [Google Scholar]
- Chuang, T.-H.; Lee, B.-C.; Wu, I.-C. Applying Cloud Computing Technology to BIM Visualization and Manipulation. 2011. Available online: https://www.researchgate.net/profile/I-Chen-Wu-8/publication/320404555_Applying_Cloud_Computing_Technology_to_BIM_Visualization_and_Manipulation/links/5b3b9a344585150d23f63f2c/Applying-Cloud-Computing-Technology-to-BIM-Visualization-and-Manipulation.pdf (accessed on 15 March 2022).
- Lee, G.; Sacks, R.; Eastman, C.M. Specifying parametric building object behavior (BOB) for a building information modeling system. Autom. Constr. 2006, 15, 758–776. [Google Scholar] [CrossRef]
- Nguyen, T.; Shehab, T.; Gao, Z. Evaluating sustainability of architectural designs using building information modeling. Open Constr. Build. Technol. J. 2010, 4, 1–8. [Google Scholar] [CrossRef][Green Version]
- Trusty, W.B.; Horst, S. Integrating LCA Tools in Green Building Rating Systems. In Proceedings of the US Green Building Annual Conference, Pittsburgh, PA, USA, 12–14 November 2003. [Google Scholar]
- Lippiatt, B.C. Bees 4.0: Building for Environmental and Economic Sustainability. Technical Manual and User Guide; NIST Pubs: Gaithersburg, MD, USA, 2007. [Google Scholar]
- Farrell, A.; Hart, M. What does sustainability really mean? The search for useful indicators. Environ. Sci. Policy Sustain. Dev. 1998, 40, 4–31. [Google Scholar] [CrossRef]
- Gallopin, G.C. Indicators and their use: Information for decision-making. Scope Sci. Comm. Probl. Environ. Int. Counc. Sci. Unions 1997, 58, 13–27. [Google Scholar]
- Bragança, L.; Mateus, R.; Koukkari, H. Building sustainability assessment. Sustainability 2010, 2, 2010–2023. [Google Scholar] [CrossRef]
- Kneifel, J.; Lavappa, P.; Polidoro, B.; Greig, A.L. Building for Environmental and Economic Sustainability (BEES) Online 2.1 Technical Manual; US Department of Commerce, National Institute of Standards and Technology: Washington, DC, USA, 2018.
- Chan, M.; Masrom, M.A.N.; Yasin, S.S. Selection of Low-Carbon Building Materials in Construction Projects: Construction Professionals’ Perspectives. Buildings 2022, 12, 486. [Google Scholar] [CrossRef]
- Norberg-Bohm, V.; Kneifel, J.; Lavappa, P.; Polidoro, B.; Greig, A.L. International Comparisons of Environmental Hazards: Development and Evaluation of a Method for Linking Environmental Data with the Strategic Debate Management Priorities for Risk Management; Center for Science and International Affairs, John F. Kennedy School of Government, Harvard University: Cambridge, MA, USA, 1992. [Google Scholar]
- U.S. EPA. Reducing Risk: Setting Priorities and Strategies for Environmental Protection: The Report of the Science Advisory Board: Relative Risk Reduction Strategies Committee to William K. Reilly, Administrator, United States Environmental Protection Agency; US Environmental Protection Agency: Washington, DC, USA, 1990.
- EPA. Toward Integrated Environmental Decision-Making; EPA (Environmental Protection Agency): Washington, DC, USA, 2000.
- Levin, H. Best Sustainable Indoor Air Quality Practices in Commercial Buildings. 1996. Available online: https://www.researchgate.net/publication/267632120_Best_sustainable_IAQ_Practices_for_commercial_buildings (accessed on 15 March 2022).
- Mateus, R.; Bragança, L. Sustainability assessment and rating of buildings: Developing the methodology SBToolPT–H. Build. Environ. 2011, 46, 1962–1971. [Google Scholar] [CrossRef]
- Azhar, S.; Brown, J.; Sattineni, A. A case study of building performance analyses using building information modeling. In Proceedings of the 27th International Symposium on Automation and Robotics in Construction (ISARC-27), Bratislava, Slovakia, 20 June 2010. [Google Scholar]
- Azhar, S.; Carlton, W.A.; Olsen, D.; Ahmad, I. Building information modeling for sustainable design and LEED rating analysis. Autom. Constr. 2011, 20, 217–224. [Google Scholar] [CrossRef]
- Akadiri, P.O. Understanding barriers affecting the selection of sustainable materials in building projects. J. Build. Eng. 2015, 4, 86–93. [Google Scholar] [CrossRef]
- Improving Building Industry Results through Integrated Project Delivery and Building Information Modeling. 2008. Available online: http://images.autodesk.com/latin_am_main/files/bim_and_ipd_whitepaper.pdf (accessed on 15 March 2022).
- Chong, H.-Y.; Wang, X.; Lee, C.-Y. A mixed review of the adoption of Building Information Modelling (BIM) for sustainability. J. Clean. Prod. 2017, 142, 4114–4126. [Google Scholar] [CrossRef]
- Building Information Modeling for Sustainable Design. 2005. Available online: http://images.autodesk.com/latin_am_main/files/bim_for_sustainable_design_oct08.pdf (accessed on 15 March 2022).
- Azhar, S.; Brown, J. BIM for sustainability analyses. Int. J. Constr. Educ. Res. 2009, 5, 276–292. [Google Scholar] [CrossRef]
- Lee, S.; Tae, S.; Roh, S.; Kim, T. Green Template for Life Cycle Assessment of Buildings Based on Building Information Modeling: Focus on Embodied Environmental Impact. Sustainability 2015, 7, 16498–16512. [Google Scholar] [CrossRef]
- Filho, M.V.A.P.M.; da Costa, B.B.F.; Najjar, M.; Figueiredo, K.V.; de Mendonça, M.B.; Haddad, A.N. Sustainability Assessment of a Low-Income Building: A BIM-LCSA-FAHP-Based Analysis. Buildings 2022, 12, 181. [Google Scholar] [CrossRef]
- Peng, C. Calculation of a building’s life cycle carbon emissions based on Ecotect and building information modeling. J. Clean. Prod. 2016, 112 Pt 1, 453–465. [Google Scholar] [CrossRef]
- Antón, L.Á.; Díaz, J. Integration of Life Cycle Assessment in a BIM Environment. Procedia Eng. 2014, 85, 26–32. [Google Scholar] [CrossRef]
- Ajayi, S.O.; Oyedele, L.O.; Ceranic, B.; Gallanagh, M.; Kadiri, K.O. Life cycle environmental performance of material specification: A BIM-enhanced comparative assessment. Int. J. Sustain. Build. Technol. Urban Dev. 2015, 6, 14–24. [Google Scholar] [CrossRef]
- Tahmasebi, M.M.; Banihashemi, S.; Hassanabadi, M.S. Assessment of the Variation Impacts of Window on Energy Consumption and Carbon Footprint. Procedia Eng. 2011, 21, 820–828. [Google Scholar] [CrossRef]
- Najjar, M.; Figueiredo, K.; Palumbo, M.; Haddad, A. Integration of BIM and LCA: Evaluating the environmental impacts of building materials at an early stage of designing a typical office building. J. Build. Eng. 2017, 14, 115–126. [Google Scholar] [CrossRef]
- Tushar, Q.; Bhuiyan, M.A.; Zhang, G.; Maqsood, T. An integrated approach of BIM-enabled LCA and energy simulation: The optimized solution towards sustainable development. J. Clean. Prod. 2021, 289, 125622. [Google Scholar] [CrossRef]
- The SAGE Encyclopedia of Educational Research, Measurement, and Evaluation; SAGE Publications Inc.: Thousand Oaks, CA, USA, 2018.
- Almahmoud, E.S.; Doloi, H.K. Social sustainability health check: A model for integrating stakeholders’interests in evaluating and optimising social sustainability performance of construction projects. CIB Int. Conf. 2012, 2012, 98–105. [Google Scholar]
- Talukhaba, A.; Ngowi, A.; Letlape, K. Implementation of socioeconomic sustainability in construction projects at the planning stage in developing countries. In Proceedings of the CIBW99 Working Commission Fourth Triennial Conference—Rethinking and Revitalizing Construction Safety, Health and Quality, Port Elisabeth, South Africa, 17–20 May 2005. [Google Scholar]
- Du Plessis, C. Agenda 21 for Sustainable Construction in Developing Countries. Available online: https://d1wqtxts1xzle7.cloudfront.net/44239864/Agenda_21-with-cover-page-v2.pdf?Expires=1652801158&Signature=CPOTBtLoV7FxYobHsceRjC6-74OP94WEKWuvZLF0PSQjMm5Cjs6vg~Y59hzDpYFD6GHLIbi4qjfYhyUFU46PDOEUNG0o~5Oue8F~eZjL-Y4sC1aA2gPwxHh5TtXFu-BodOj7Uo2N8ZPxf22RWVjdieCJcVX3JaN7vB1KmQ5yt14M0qlqZ6agi0KbXyCij67M~UGBj4Tp8zdUWdXi~AVN9cNIRllxWONGBLizigdyvWERk8gii2qIeU6gw8ox49Pgr3LY~DxE~Tam3vucb375W5yhCJYRDIs9g0ONnyQ7AsZVQVsevzvs0gDgmfVV4FExn83B69P4I~aIsepaiMH3kw__&Key-Pair-Id=APKAJLOHF5GGSLRBV4ZA (accessed on 15 March 2022).
- Human Development Index (HDI); Human Development Reports. 2019. Available online: https://hdr.undp.org/sites/default/files/hdr2019.pdf (accessed on 15 March 2022).
- Yale Center for Environmental Law + Policy—YCELP, Yale University; Center for International Earth Science Information Network—CIESIN, Columbia University. 2020 Environmental Performance Index (EPI); NASA Socioeconomic Data and Applications Center (SEDAC): Palisades, NY, USA, 2020.
- Brundtland, G.H. World Commission on Environment and Development: Our Common Future; Oxford University Press: Oxford, UK, 1987. [Google Scholar]
- Ahmad, T.; Aibinu, A.A.; Stephan, A.; Chan, A.P. Investigating associations among performance criteria in Green Building projects. J. Clean. Prod. 2019, 232, 1348–1370. [Google Scholar] [CrossRef]
- Conceição, P. Human Development Report 2020: The Next Frontier Human Development and the Anthropocene; UNDP: New York, NY, USA, 2020. [Google Scholar]
- Onososen, A.; Musonda, I. Barriers to BIM-Based Life Cycle Sustainability Assessment for Buildings: An Interpretive Structural Modelling Approach. Buildings 2022, 12, 324. [Google Scholar] [CrossRef]
- Pasetti Monizza, G.; Bendetti, C.; Matt, D.T. Parametric and Generative Design techniques in mass-production environments as effective enablers of Industry 4.0 approaches in the Building Industry. Autom. Constr. 2018, 92, 270–285. [Google Scholar]
- Abrishami, S.; Goulding, J.S.; Pour-Rahimian, F.; Ganah, A. Integration of BIM and generative design to exploit AEC conceptual design innovation. J. Inf. Technol. Constr. 2014, 19, 350–359. [Google Scholar]
- Gan, V.J. BIM-based graph data model for automatic generative design of modular buildings. Autom. Constr. 2022, 134, 104062. [Google Scholar] [CrossRef]
- Ma, W.; Wang, X.; Wang, J.; Xiang, X.; Sun, J. Generative design in building information modelling (BIM): Approaches and requirements. Sensors 2021, 21, 5439. [Google Scholar] [CrossRef] [PubMed]
- Sydora, C.; Stroulia, E. Rule-based compliance checking and generative design for building interiors using BIM. Autom. Constr. 2020, 120, 103368. [Google Scholar] [CrossRef]
- Zarzycki, A. Parametric BIM as a Generative Design Tool; ACSA: Boston, MA, USA, 2012. [Google Scholar]
- Caldas, L. GENE_ARCH: An Evolution-Based Generative Design System for Sustainable Architecture. In Workshop of the European Group for Intelligent Computing in Engineering; Springer: Berlin/Heidelberg, Germany, 2006. [Google Scholar]
- Caldas, L. Generation of energy-efficient architecture solutions applying GENE_ARCH: An evolution-based generative design system. Adv. Eng. Inform. 2008, 22, 59–70. [Google Scholar] [CrossRef]
- Schwartz, Y. An Integrated Thermal Simulation & Generative Design Decision Support Framework for the Refurbishment or Replacement of Buildings: A Life Cycle Performance Optimisation Approach; UCL University College London: London, UK, 2018. [Google Scholar]
- Schwartz, Y.; Raslan, R.; Korolija, I.; Mumovic, D. A decision support tool for building design: An integrated generative design, optimisation and life cycle performance approach. Int. J. Archit. Comput. 2021, 19, 401–430. [Google Scholar] [CrossRef]









| Indicator | Impact Parameter | NIST Weights | SAB Weights | Harvard Study Weights |
|---|---|---|---|---|
| Climate change | Global warming potential | 29 | 16 | 11 |
| Water efficiency | Water use | 8 | 3 | 9 |
| Resources depletion | Fossil fuel depletion | 10 | 5 | 7 |
| Habitat alteration/Land use | 6 | 16 | 6 | |
| Emissions | Eutrophication potential | 6 | 5 | 9 |
| Acidification potential | 3 | 5 | 9 | |
| Ozone depletion potential | 2 | 5 | 11 | |
| Smog potential | 4 | 6 | 9 | |
| Ecological toxicity | 8 | 11 | 6 | |
| Human Health | Criteria air pollutants | 9 | 6 | 10 |
| Human health | 13 | 11 | 6 | |
| Indoor air quality | 3 | 11 | 7 |
| Survey Stage | Survey Themes | Number of Respondents |
|---|---|---|
| 1 | Respondents’ introduction | 120 |
| Understanding of sustainability dimensions | ||
| Typical weight of environmental sustainability for residential and commercial buildings currently prevalent in respondents’ country | ||
| The ideal weight of environmental sustainability for residential and commercial buildings that must prevail in respondents’ country | ||
| 2 | Weights of environmental sustainability indicators and impact parameters | 75 |
| 3 | Current and futuristic responsiveness of BIM towards environmental sustainability | 53 |
| Country | Number of Respondents | Residential Building | Commercial Building | Country HDI Value (2019) [54] | Global EPI Rank (2020) [51] | EPI Score (2020) [51] | ||
|---|---|---|---|---|---|---|---|---|
| Ideal Weight | Usual Weight | Ideal Weight | Usual Weight | |||||
| India | 6 | 28.89 | 27.22 | 36.67 | 36.67 | 0.645 | 168 | 27.6 |
| Indonesia | 3 | 31.11 | 21.11 | 27.78 | 17.78 | 0.718 | 117 | 37.8 |
| Turkey | 6 | 32.22 | 23.33 | 30 | 18.33 | 0.82 | 99 | 42.6 |
| South Africa | 3 | 23.33 | 56.67 | 33.33 | 46.67 | 0.709 | 98 | 43.1 |
| Malaysia | 3 | 27.78 | 33.33 | 23.33 | 33.33 | 0.81 | 68 | 47.9 |
| Brazil | 3 | 35.55 | 23.33 | 33.33 | 26.67 | 0.765 | 55 | 51.2 |
| United States | 27 | 36.17 | 24.57 | 34.32 | 24.94 | 0.926 | 24 | 69.3 |
| Italy | 9 | 35.93 | 24.44 | 35.18 | 21.11 | 0.892 | 22 | 71 |
| Canada | 4 | 36.67 | 28.33 | 35 | 37.5 | 0.929 | 20 | 71 |
| Australia | 4 | 36.67 | 30.83 | 35.83 | 28.33 | 0.944 | 13 | 74.9 |
| Netherlands | 3 | 44.44 | 48.06 | 51.94 | 36.67 | 0.944 | 11 | 75.3 |
| United Kingdom | 11 | 36.36 | 29.39 | 36.36 | 33.03 | 0.932 | 4 | 81.3 |
| Mode * | 120 | 33.33 | 20 | 33.33 | 20 | |||
| Mean * | 120 | 35.14 | 26.81 | 34.55 | 26.14 | |||
| Median * | 120 | 33.33 | 20 | 33.33 | 30 | |||
| Parameter | Unit of Measure | Adjusted Parameter Weight | Value of Impact Parameter | Product of Impact Parameter Weight and Value | ||||
|---|---|---|---|---|---|---|---|---|
| 100% PC | 40% FA | 20/30% FA/slag | 100% PC | 40% FA | 20/30% FA/slag | |||
| Global warming potential | kg CO2 eq | 27.60 | 16.60 | 12.90 | 11.70 | 4.60 | 3.50 | 3.20 |
| Water use | Liter | 23.50 | 128.50 | 125.10 | 123.70 | 30.20 | 29.40 | 29.10 |
| Primary energy demand—non-renewable | MJ | 7.40 | 118.10 | 101.20 | 94.00 | 8.70 | 7.50 | 7.00 |
| Land use | m2 | 16.40 | 0.13 | 0.09 | 0.07 | 0.02 | 0.02 | 0.01 |
| Eutrophication | kg N eq | 3.80 | 1.6 × 10−2 | 1.2 × 10−2 | 1 × 10−2 | 6.2 × 10−4 | 4.5 × 10−4 | 3.8 × 10−4 |
| Acidification | kg SO2 eq | 3.80 | 4.9 × 10−2 | 4.1 × 10−2 | 4.4 × 10−2 | 1.9 × 10−3 | 1.6 × 10−3 | 1.7 × 10−3 |
| Ozone depletion | kg CFC-11 eq | 4.60 | 2.5 × 10−7 | 1.8 × 10−7 | 1.5 × 10−7 | 1.2 × 10−8 | 8.4 × 10−9 | 7 × 10−9 |
| Smog | kg O3 eq | 4.70 | 1.00 | 0.84 | 0.77 | 0.05 | 0.04 | 0.04 |
| Ecotoxicity | CTUe | 8.30 | 22.10 | 16.60 | 14.30 | 1.80 | 1.40 | 1.20 |
| Sum | 45.4 | 41.9 | 40.5 | |||||
| Indicator | Indicator Weights from Survey (Mean Values) | Impact Parameter | Parameter Weights from Survey (Mean Values) | Adjusted Parameter Weights from Survey | NIST Study Weights (Adjusted) | SAB Weights (Adjusted) | Harvard Study Weights (Adjusted) |
|---|---|---|---|---|---|---|---|
| Climate change | 27.6 | Global warming potential | 27.6 | 38 | 22 | 14 | |
| Water efficiency | 23.5 | Water use | 23.5 | 11 | 4 | 12 | |
| Resources depletion | 23.7 | Fossil fuel depletion | 31.1 | 7.4 | 13 | 7 | 9 |
| Habitat alteration | [16.4] | 8 | 22 | 8 | |||
| - Land use | 33.6 | 8.0 | |||||
| - Depletion of material resource | 35.3 | 8.4 | |||||
| Emissions | 25.2 | Eutrophication potential | 15.0 | 3.8 | 8 | 7 | 12 |
| Acidification potential | 15.2 | 3.8 | 4 | 7 | 12 | ||
| Ozone depletion potential | 18.1 | 4.6 | 3 | 7 | 14 | ||
| Smog potential | 18.7 | 4.7 | 5 | 8 | 12 | ||
| Ecological toxicity | [8.3] | 11 | 15 | 8 | |||
| - Inert waste to disposal | 15.6 | 3.9 | |||||
| - Hazardous waste to disposal | 17.4 | 4.4 |
Publisher’s Note: MDPI stays neutral with regard to jurisdictional claims in published maps and institutional affiliations. |
© 2022 by the authors. Licensee MDPI, Basel, Switzerland. This article is an open access article distributed under the terms and conditions of the Creative Commons Attribution (CC BY) license (https://creativecommons.org/licenses/by/4.0/).
Share and Cite
Ahmad, T.; Thaheem, M.J. LCIA Parameters and the Role of BIM towards Sustainability: Regional and Temporal Trends. Buildings 2022, 12, 700. https://doi.org/10.3390/buildings12050700
Ahmad T, Thaheem MJ. LCIA Parameters and the Role of BIM towards Sustainability: Regional and Temporal Trends. Buildings. 2022; 12(5):700. https://doi.org/10.3390/buildings12050700
Chicago/Turabian StyleAhmad, Tayyab, and Muhammad Jamaluddin Thaheem. 2022. "LCIA Parameters and the Role of BIM towards Sustainability: Regional and Temporal Trends" Buildings 12, no. 5: 700. https://doi.org/10.3390/buildings12050700
APA StyleAhmad, T., & Thaheem, M. J. (2022). LCIA Parameters and the Role of BIM towards Sustainability: Regional and Temporal Trends. Buildings, 12(5), 700. https://doi.org/10.3390/buildings12050700
