Abstract
High-frequency mechanical impact (HFMI) is a post-weld treatment method which substantially enhances the fatigue strength of steel weldments. As such, the method enables a more efficient design of bridges, where fatigue is often the governing limit state. Road bridges are typically trafficked by a large variety of lorries which generate load cycles with varying mean stresses and stress ranges. Unlike conventional welded details, the fatigue strength of HFMI-treated welds is known to be dependent on mean stress in addition to the stress range. The possibility of considering the mean stress effect via Eurocode’s fatigue load models (FLM3 and FLM4) was investigated in this paper. Moreover, a design method to take the mean stress effect into account was proposed by the authors in a previous work. However, the proposed design method was calibrated using limited traffic measurements in Sweden, and as such, may not be representative of the Swedish or European traffic. In this paper, larger data pools consisting of more than 873,000 and 446,000 lorries from Sweden and the Netherlands, respectively, were used to examine the validity of previous calibration in both countries. The comparison revealed no significant difference between the data pools with regards to the mean stress effect. Additionally, previous calibration provided the most conservative mean stress effect and was considered adequately representative for both countries. The proposed design method was further validated using four composite case study bridges. It was also found that the mean stress effect was mainly influenced by the self-weight, while variation in the mean stress due to traffic had a minor influence on the total mean stress effect. Furthermore, it was found that the mean stress effect could not be accurately or conservatively predicted using FLM3 or FLM4.
1. Introduction
High-frequency mechanical impact treatment (HFMI) is a post-weld treatment method that aims to increase the fatigue strength of steel weldments [1]. The fatigue of weldments is often the governing design criterion for steel bridges due to their long required design lives of up to 120 years and the exposure to cyclic loading due to the passage of heavy traffic. HFMI treatment enables the utilization of steels with higher strength than is feasible in today’s conventional bridge designs and could therefore give a substantial reduction in material consumption. It influences the weld toe by producing three local changes. Firstly, it induces beneficial compressive residual stress at the weld toe which increases the resistance of the weld to crack initiation [2]. It also decreases the notch effect at the weld toe which leads to a reduction in the stress concentration at this critical location. Thirdly, an increase in local material hardness further increases the resistance to crack initiation in the vicinity of the weld toe after HFMI treatment [3]. Therefore, HFMI treatment shows remarkable potential in terms of increasing the effectiveness of the design of welded steel bridges.
Composite concrete–steel bridges are usually characterized by a high self-weight in relation to the traffic load. This is mainly due to the relatively heavy concrete deck and pavement layer. In addition to that, there is high variability in the traffic load effects on road bridges because of the broad variations in lorry masses, axle configurations and locations in different bridge lanes. A detailed study of the in-service stresses in a composite road bridge enhanced by HFMI treatment was conducted by the authors, and was published in [4]. This showed that a wide range of stress ratios can occur in some weldments with values that can reach up to 0.9.
Since HFMI treatment mainly depends on the introduced compressive residual stress at the weld toe, the stability of this stress is essential to claim high fatigue strength. Therefore, the application of high mean stresses reduces the treatment potential. The effect of mean stresses on the fatigue strength of HFMI-treated joints is considered in the International Institute of Welding (IIW) recommendations by decreasing the fatigue strength class of the treated details [1]. A step-wise penalty from zero to three classes was suggested by the IIW recommendations depending on the stress ratio (i.e., or the mean stress). However, this way of considering the mean stress effect can only be directly used when the welds are subjected to a constant stress ratio which is not the case in bridges where the stress ranges and ratios are widely varying.
The penalty method provided by the IIW is only applicable for stress ratios of up to 0.52. Nonetheless, several research articles have investigated the effect of HFMI-treatment on the fatigue strength of welded joints subjected to higher R-ratios [5,6,7,8,9,10,11]. An extension of the method proposed in the IIW recommendations was suggested in [7] to cover higher R-ratios, where four reduction classes were proposed for R-ratios greater than 0.5. More fatigue tests were conducted under high-stress ratios (0.5 ≤ R ≤ 0.8) in [8], and the results supported the trend of the IIW method in terms of reducing the fatigue strength class depending on the R-ratio. In principle, the trend follows a decrease in one fatigue strength class per 0.12 increase in the R-ratio [12,13], as can be seen in Figure 1.
Figure 1.
Proposed reduction in fatigue strength class depending on the stress ratio.
In a design situation, the R-ratios from traffic loads are unknown to designers. One question is whether R-ratios obtained from a relevant load model (such as those used for fatigue design according to Eurocode [14]) are representative of the mean stress effect from “real” traffic loads. If not, a correction method can be used to account for the mean stress effect from traffic loads in design. The authors have, in a previous publication [12], suggested such a method to consider the mean stress effect in the design of HFMI-treated road bridges. This method considers the mean stress effects produced by the combined effects of self-weight and traffic load based on the collective mean stresses produced by measured traffic data. The method can be used in conjunction with the load models in Eurocode and does not require prior knowledge of the traffic loads. It should be clear that if HFMI-treatment is applied before bridge erection (treatment performed in a workshop), the self-weight has a significant effect on the stress ratio and the mean stress.
The effect of stress ratio variation was covered in factor , which describes the severity of the mean stress effect. represents the ratio between and . The former denotes a modified equivalent stress range to account for stress ratio effects using a magnification factor f, as can be seen in Equations (1)–(3). and were calculated with an S–N curve slope of m = 5, which is recommended for HFMI-treated weldments [1,12]. The factor, f, is a continuous representation of the step-wise mean stress effect. However, it corresponds to a magnification factor on the stress range instead of a penalty on the fatigue strength [12]. In addition to the variation in R-ratios from traffic load, the self-weight effect is considered through a factor which denotes the ratio between the self-weight stress, , and the maximum stress range in the load spectrum, :
In [12], 55,000 measured lorries were run on influence lines for simply supported and continuous bridges with span lengths from 10 to 80 m, and different positions along the span starting from the midspan to the support. The used traffic was a result of 87 days of “weight in motion” measurements from 12 different locations in Sweden including different types of roads. Constant bending stiffness was assumed along the bridges in all cases. Lastly, – curves were plotted for the different studied lengths (10–80 m), the different positions along the bridges (midspan to support) and the different bridge types (simply supported or continuous bridges). The generated curves for each position along the bridges are shown in Figure 2, and the highest of these curves are depicted in Figure 3 (left). Then, two curves were chosen to simplify the design; one for the mid support section (i.e., within 0.15 L on each side from the support in continuous bridges), and the other for the midspan section which is to be used for all other locations (for both simply supported and continuous bridges). These two curves are shown in Figure 3 (right). The curves were fitted to the data with expressions according to Equations (4) and (5).
Figure 2.
The generated – curves categorized by position, adapted from [12], highest curves are depicted in red color, and dashed curve corresponds to different lengths.
Figure 3.
(Left): Extracted highest – curves of different positions along the span length; (Right): The proposed – curves for design, adapted from [12].
Since —which is used to calculate the -ratio—is usually not available for bridge designers, the stress range generated by the fatigue load model 3, , was considered an alternative in the calculation of the -ratio which would be viable if a good correlation exists between and for the studied loading spectrum. Based on the limited sample size of 55,000 lorries, an approximation of = 2 was suggested in [12].
In this paper, the validity of the expressions in Equations (4) and (5) suggested in [12] was investigated by means of extended measured traffic pools. They consisted of 873,000 lorries from Sweden and 446,000 lorries from the Netherlands. Moreover, an investigation was performed as to whether the R-ratios generated by fatigue load models in Eurocode (FLM3 and FLM4) can be used to reflect the mean stress effect generated by real traffic on bridges. Furthermore, two worked examples are provided to demonstrate how the mean stress affects the design of road bridges with HFMI-treated weldments.
2. Methodology
The extended data pools were obtained from traffic administrations in Sweden and the Netherlands. The Swedish data were based on traffic measurements performed in several different occasions between the years 2005 and 2009, while the Dutch data were measured on two occasions, once in 2008 and once in 2018. The Swedish data were filtered, processed and published in [15]. The data consisted of more than 873,000 lorries. The measurements were performed by the bridge weight in the motion method. The two sets of data from the Netherlands consisted of 238,000 and 2,210,000 lorries for the 2008 and 2018 measurements, respectively. These were also obtained from the measurements performed by the weight in motion method on the A16 highway in the Netherlands [16]. The weight–length distributions of the different studied traffic data are shown in Figure 4. The size and the lorry types of each data pool are given in Table 1.
Figure 4.
Weight–length distributions for the different studied traffic.
Table 1.
Number of lorries in each data pool .
Matlab scripts were used to process the data and run the lorries on the bridge influence lines. In addition, four double I-girders composite road bridges were used to further verify the results from Equations (4) and (5) with the results from running the traffic pools over those bridges. The stiffness distributions along the span length of the studied bridges were obtained from [13]. The span length of the bridges is shown in Figure 5. The self-weight stress distributions over the span length at the top and the bottom flanges of these bridges are shown in Figure 6.
Figure 5.
Span lengths of the case study bridges [13].
Figure 6.
Self-weight stresses distribution along the bridges adapted from [13].
3. Results
3.1. Extended Data Pool
To validate Equations (4) and (5) which were derived on the basis of a rather small traffic pool of 55,000 lorries, this section of the paper was dedicated to comparing these equations to – curves produced by the extended data pools from Sweden and the Netherlands. Since the highest – curve in the original analysis performed by Shams-Hakimi et al. [12] corresponded to a span length = 10 m (as shown in Figure 2 and Figure 3), the current analysis was performed with the same span lengths on the same locations which correspond to 0.50 L and 0.85 L for the mid-span and mid-support sections, respectively.
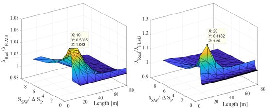
Figure 7 shows the comparison between Equations (4) and (5) and the generated – curves with the extended Swedish data. The comparison reveals no significant difference. The equations give a slightly more conservative mean stress prediction for relatively high self-weight (i.e., > 2 for mid-span section; > 4 for mid-support section). However, the maximum difference does not exceed 1%. Therefore, the equations were found to be suitable for the design of Swedish road bridges enhanced by HFMI treatment. When compared to the Dutch traffic data, Equations (4) and (5) were found to be on the safe side (i.e., conservative with respect to the mean stress effect) with a maximum difference in of less than 3%, as shown in Figure 8. This shows that Equations (4) and (5) can also be used for design purposes in the Netherlands.
3.2. Prediction of Using Fatigue Load Models
The Eurocode gives several load models for fatigue verification. Two of these models which are relevant for road bridges are examined herein, namely FLM3 and FLM4. It is of major interest to examine whether the R-ratios generated by these load models can give an equivalent representation of the collective mean stress effect obtained for the measured traffic, as mentioned in Section 1.
Fatigue load model 3 (FLM3) consists of one standard lorry with four axles—each axle weighing 120 kN—and the distance between the first and second axles, as well as between the third and fourth axles, is 1.2 m. The total lorry length is 8.4 m. This model is to be used for fatigue verification using the -coefficients method, which is the easiest fatigue verification method for calculating finite life. The largest generated stress range produced by the passage of this lorry, , was the one used in the design.
Fatigue load model 4 (FLM4) consists of five standard lorries which are combined in different percentages depending on the traffic type (i.e., local, medium or long-distance traffic). This model is to be used for fatigue verification using the cumulative damage method. It is noteworthy that FLM4 usually gives a more accurate representation of the real traffic compared with FLM3 [17]. However, FLM4 is more demanding and time requiring in design since the cycles produced by each vehicle must be considered as a function of the influence line by the designer for each location of interest, as opposed to FLM3, where these aspects are accounted for in a simplified manner by the -coefficients. The lorries used in FLM4 (i.e., axle loads and configuration) are shown in Figure 9, and the lorry proportions are given in Table 2 for each traffic type (composition).
Figure 9.
Lorry types in FLM4, adapted from [14].
Table 2.
Lorry distribution in FLM4, adapted from [14].
For FLM3, a single stress range, , and a corresponding R-ratio were calculated. A correction factor was calculated using Equation (3). A direct comparison between this factor (also called herein) and the corresponding values derived from real traffic () could then reveal the appropriateness of using the R-ratio from FLM3. Since FLM4 consists of several lorries, calculating requires both the equivalent stress ranges, and , as can be seen in Figure 10. In other words, is to be calculated the same way as real traffic data.
Figure 10.
and calculation procedures.
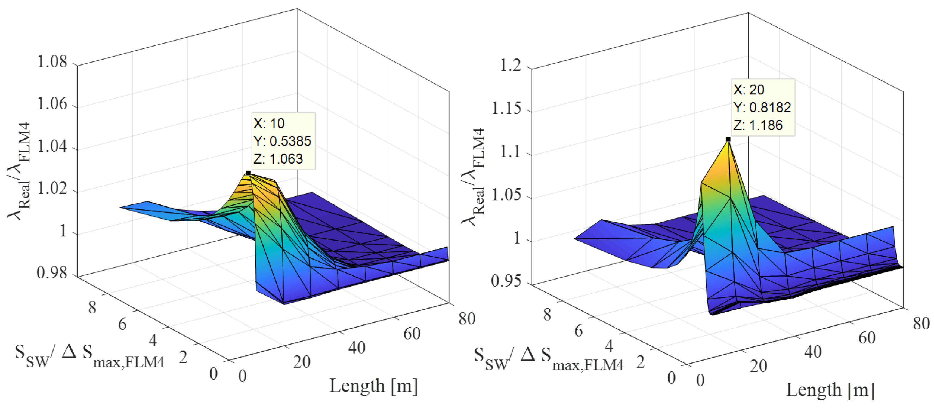
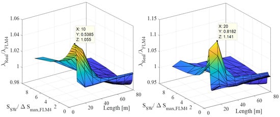
Figure 11 shows the results of FLM3 calculated for various influence lines. It can be seen that using the R-ratio generated from FLM3 results in an underestimation of the mean stress effect compared to real traffic. is underestimated by up to 6% and 25 % for mid-span and mid-support sections, respectively. This shows that using FLM3 to account for the mean stress effect can be unsafe, especially over the support region of continuous bridges. On the other hand, FLM4 gives better predictions of for all the studied cases (local, medium and long-distance traffic), as shown in Figure 12, Figure 13 and Figure 14, respectively.
Figure 11.
The ratio of for original real traffic in Sweden and for FLM3 calculated for the mid-span section (to the left) and mid-support section (to the right).
Figure 12.
The ratio of for original real traffic in Sweden and for FLM4 (long-distance traffic) calculated for mid-span section (to the left) and mid-support section (to the right).
Figure 13.
The ratio of for original real traffic in Sweden and for FLM4 (medium-distance traffic) calculated for mid-span section (to the left) and mid-support section (to the right).
Figure 14.
The ratio of for original real traffic in Sweden and for FLM4 (local traffic) calculated for mid-span section (to the left) and mid-support section (to the right).
4. Discussion
4.1. Comparison with Extended Traffic Data
In this paper, the mean stress effect was studied using different traffic data from Sweden and the Netherlands. Specifically, the validity of the expressions in Equations (4) and (5) was investigated. These were previously derived based on a limited number of traffic data in Sweden, as mentioned previously. They describe the correction factor for the mean stress effect, , which is used to magnify the equivalent stress ranges to account for the variability in the R-ratio generated by the traffic and the bridge self-weights. Equations (4) and (5) were found to be on the safe side when compared to both data pools. This validates the use of this method to account for the mean stress effect in HFMI-treated road bridges constructed in both of these counties.
For the same self-weight stress, the mean stress effect of the Swedish data was higher than this, corresponding to the Dutch data, as displayed in Section 3.1. In order to explain this, the bending moment histories generated by the passage of the lorries in each data pool given in Table 1 is shown in Figure 15. The moment values were evaluated on the middle of a 10 m simply supported bridge. The data were normalized to the maximum obtained moment value, which was found to be in the Dutch data measured in 2008, as shown in Table 3.
Figure 15.
Bending moment history generated by the different databases normalized to the maximum obtained moment, for a 10 m simply supported bridge.
Table 3.
Bending moment response of the passage of the different traffic data pools over the midspan of a 10 m simply supported bridge.
Figure 15 shows that the Swedish traffic was lighter than the Dutch traffic measured in 2008 and 2018. Additionally, Table 3 shows that the equivalent stress range differed by almost 10%, as can be seen in Table 3. Heavier traffic generates cycles with a larger stress range but with a lower mean stress, as the stress ratios of such cycles are smaller than those of cycles with lower stress ranges. Nonetheless, the sensitivity of the mean stress effect to the traffic variation is low, and the difference between the values for the different data pools does not exceed 3%. This shows that the mean stress is more significantly affected by the bridge self-weight than the traffic heaviness, which thereby insinuates that the use of the proposed – curves can be extended to different countries even if the traffic volumes and intensities are different, and with marginal inaccuracy. This is because the self-weight effect is significantly larger than the traffic variation effect which might be different from country to country.
4.2. Comparison with Fatigue Load Models
Figure 11, Figure 12 and Figure 13 show that both the investigated fatigue load models underestimate values in many cases, which indicates that the mean stress effect could not be captured using one of these models in general. It is noteworthy that the maximum deviation corresponds to shorter span lengths, as shown in the figures. The passage of each lorry on a short influence line (in relation to the lorry size) produces one primary cycle which has the highest stress range, and other secondary cycles with low stress ranges and high stress ratios. Thereby, this increases the mean stress effect. On the other hand, when the influence line is relatively long in relation to the lorry size, only one primary cycle is generated per lorry, which leads to a lower mean stress effect.
It is noteworthy that FLM4 predicts with better accuracy for local traffic and even overestimates the mean stress effect in some cases, as can be seen in Figure 14. This is further illustrated in Figure 16 which compares values calculated with different fatigue load models with that obtained from the original Swedish data. was used for all curves in the figure to ensure that the difference between the curves is solely attributed to the traffic difference. Figure 16 confirms that the curve corresponding to FLM4 with local type is higher than those corresponding to other load models. Figure 16 shows that the local traffic type overall has the lightest traffic composition. As explained previously, a lighter traffic composition results in a higher mean stress effect collectively for the same self-weight stress.
Figure 16.
Comparison between – curves for fatigue load models and original Swedish real traffic (midspan of a simply supported bridge with a span length, L = 10 m).
The mean stress effect has to be considered in the fatigue assessment of HFMI-treated weldments in one of two ways: the first—which underestimates the mean stress effect—is through the stress ratios generated by the fatigue load models, which can be used to calculate magnification factors, f; in the second way, Equations (4) and (5) can be used to account for the mean stress effect by magnifying the equivalent stress range generated by the used load model. In these equations, is taken as a ratio between the self-weight stress to 2, as suggested in [12]. This approximation remains valid since the difference between the original curves used in [12] and other investigated curves is marginal, as shown in Figure 7 and Figure 8.
4.3. Validation Using Case Study Bridges
The accuracy of Equations (4) and (5) is further investigated by comparison with sections taken from the case study bridges mentioned in Section 2, as can be seen in Figure 5 and Figure 6. is calculated along the bridges with a step size equal to 1 m. The bending stresses are calculated at the top and bottom flanges, as mentioned previously. The calculated with Equations (4) and (5), the fatigue load models and the original Swedish traffic data (Real ) are shown in Figure 17 and Figure 18 for the bottom and top flanges, respectively.
Figure 17.
Calculated for the bottom flanges and the mid-spans of the case study bridges (the real was calculated using the original Swedish data pool).
Figure 18.
Calculated for the top flanges and mid-supports of the case study bridges (real was calculated using the original Swedish data pool).
Figure 17 and Figure 18 show that values calculated using Equations (4) and (5) are larger than those generated by real traffic in the case study bridges. This is partly because Equations (4) and (5) were derived using a span length = 10 m, which produced the highest for both the mid-span and mid-support sections, as mentioned previously, whereas the case study bridges included larger span lengths. The other reason is that in these graphs, data points for were included, for which the predicted value by Equation (4) became increasingly conservative the farther away the bridge section was from 0.5 L. There were a few exceptions for the mid-support section in Bridge 3, where real traffic in the bridge sections produced greater lambda values compared with Equation (5). This might be attributed to the non-constant bending stiffness along the bridge which differs from the assumption made for the derivation of Equations (4) and (5) (i.e., constant bending stiffness). This was further investigated in Figure 19, where the design curves are plotted against the results from the case study bridges and the experimental results from [12,13]. All the data points are lying below the design curves, excluding 4 points that correspond to the mid-support section in Bridge 3.
Figure 19.
Exact and for the case study bridges and experiments compared with the proposed curves for the mid-span section (Left); and mid-support section (Right).
5. Worked Design Examples
In order to illustrate how the mean stress affects the fatigue assessment, two worked examples are presented for the fatigue design of road bridges using the simplified -coefficients method and damage accumulation method. The fatigue life verification of one structural detail in the midspan of a 32 m-long simply supported bridge was made in this section. The studied detail is located in the middle of the bridge (L/2 = 16 m from the support). The self-weight stress of the bridge girder at the midspan was estimated to be 120 MPa, including the concrete deck. This detail represents a connection of vertical stiffener to the lower flange of the bridge girder (non-load carrying transverse welded attachment), as can be seen in Figure 20. The detail is HFMI treated in a workshop before the bridge erection. The fatigue strength of the transverse non-load carrying attachments of S690 steel is equal to 160 MPa according to [1], as can be seen in Figure 21. The load distribution factor for the load arrangement is 0.833. The bridge design life is 80 years. This safe life approach, with a high consequence of failure, is to be used for design (i.e., = 1.35, = 1.0).
Figure 20.
Cross-section of the road bridge girders, the concrete deck, and the transverse detail under study. Figure adapted from [17].
Figure 21.
Characteristic S–N curve of the S690 HFMI-treated transverse attachment according to the IIW recommendations [1] and used in the worked example.
Moreover, traffic category “4” was used for design, which indicates the passage of 50,000 lorries on the slow lane per year ( 50,000) [14]. The average weight of the lorry for regional traffic = 310 kN was assumed in this worked example to obtain realistic results. The bridge is made of two S690 structural steel I-girders and a C35/45 concrete deck, as shown in Figure 20. The section modulus in the mid-span at the bottom flange was calculated to be mm3. It is worth mentioning that the dynamic amplification factor is already embedded in FLM3 and FLM4.
5.1. FLM3 and -Coefficients Method
In the -coefficients method, the load effect was obtained by moving the FLM3 on the bending moment influence line of the bridge at the position of the studied detail (i.e., L/2). Since the bridge is simply supported, the bending moment range is equal to the maximum bending moment obtained from FLM3, which was calculated to be 2976 kNm, as can be seen in Figure 22. This is to be multiplied by the load distribution factor, which yields = 2479 kN and produces a flexural normal stress range, = 64 MPa. Afterwards, the different -coefficients were calculated as follows:
Figure 22.
Moment response at bridge mid-span to FLM3.
- takes into account the bridge length, and for road bridges, it can be calculated as follows:
- considers the actual bridge traffic flow, and can be calculated from Equation (7), where and are the reference numbers for an equivalent weight of the lorry and the number of lorries passing over the slow lane, respectively. The reference values are 480 kN and , respectively, and can be found in the Eurocode [18].
- takes into account the design fatigue life, see Equation (8).
- = 1.0 for the road bridge with only one lane.
- is the maximum damage equivalent factor taking into account the fatigue limit; this is equal to 2.0 for road bridges longer than 25 m [14].
- The damage equivalent factor can then be calculated from Equation (9), which yields value = 0.907
- is to be calculated from Equation (4) for = = = 0.938; which gives = 1.797.
The damage factor can be calculated considering the slope of the S–N curve, = 5, as can be seen in the following equation:
If the mean stress is predicted by the stress ratio generated by FLM3 given in Equation (11) (which is not recommended due for aforementioned reasons), the magnification factor f should be calculated according to Equation (3), which yields a value of 1.732. The fatigue damage is underestimated when compared to the damage predicted considering , as can be seen in Equation (12).
5.2. FLM4 and Damage Accumulation Method
The fatigue verification can be made by the damage accumulation method using FLM4 which consists of five standard lorries, as shown in Figure 9. The same fatigue strength and partial safety factors were used for the FLM3 calculations in the previous section. The moment response of moving each lorry in the model over the influence line in the mid-span was shown in Figure 23. The maximum moments are to be multiplied by the load distribution factor previously mentioned to obtain . The bending stress can then be calculated using the section modulus for short-term loading, as mentioned previously.
Figure 23.
Moment response at bridge mid-span due to FLM4.
The mean stress effect should be considered using , which is to be used to magnify the equivalent stress range calculated in Equation (13). The fatigue endurance and damage are then to be calculated using Equations (14) and (15). i and j in the equations correspond to the two slopes of the S–N curves ( =5 and = 9) shown in Figure 21. was calculated using , as indicated in Section 1.
In order to confirm that the mean stress effect is underestimated if calculated via the stress ratios generated by the passage of FLM4 lorries over the bridge, the fatigue damage is calculated this way. f factors are used to magnify each stress range in the traffic composition. The damage is then calculated for each lorry as given in Table 4 for local traffic composition. The same damage sum can be obtained if the equivalent stress range is calculated considering the magnified stress ranges with the corresponding f factors, as can be seen in Equations (16)–(18).
Table 4.
Fatigue damage calculations using the “Local traffic” composition.
It is noticeable that for both fatigue verification methods, the load models (FLM3 or FLM4) underestimate the mean stress effect, which is in line with the results given in Figure 16. This emphasizes the importance of using equations to account for the mean stress in conjunction with the load models in the design of HFMI-treated weldments in road bridges.
6. Conclusions
This paper presents a study of the mean stress effect on HFMI-treated weldments in steel road bridges. Traffic measurements with more than 873,000 lorries in Sweden and 446,000 lorries in the Netherlands were used to validate previously derived expressions which were calibrated and derived based on a limited traffic data pool. Moreover, the prediction of the mean stress effect using Eurocode’s fatigue load models (FLM3 and FLM4) was investigated. The following conclusions can be drawn:
- The Swedish data pool used to derive the original expressions (Equation (4) and (5)) for mean stress correction proposed by Shams-Hakimi et al. [12] was found to be sufficient for representing the Swedish traffic. This was based on a comparison made with an extended data pool from Sweden which consists of more than 873,000 lorries. The difference in between the two data pools was found to be negligible. Moreover, the capability of the proposed method was also investigated using traffic measurements from the Netherlands. Despite differences in traffic characteristics, the proposed model conservatively captures the mean stress effects in real traffic with a difference not exceeding 3%.
- Both Eurocode’s fatigue load models 3 and 4 were investigated. FLM4 was found to give a more accurate representation of the mean stress effect than FLM3. However, the difference between , represented by FLM4, and the one generated by the measured traffic can be significant for the long- and medium-distance traffic compositions (larger than 15%).
- Both the measured traffic and the investigated load models showed that lighter traffic is associated with a higher mean stress effect for the same self-weight stress.
- Two worked examples were presented in this paper to show how the mean stress effect can be incorporated in the design of HFMI-treated road bridges. The results confirmed that the R-ratio of the load model underestimates the mean stress effect. Moreover, upon comparison with case study bridges and fatigue test results, the proposed design curves were found to give accurate and slightly conservative results.
Author Contributions
Conceptualization, P.S.-H. and H.A.-K.; methodology, P.S.-H.; software, P.S.-H.; validation, P.S.-H.; formal analysis, P.S.-H.; investigation, P.S.-H.; resources, M.A.-E. and P.S.-H.; data curation, H.A.-K.; writing—original draft preparation, H.A.-K.; writing—review and editing, M.A.-E. and P.S.-H.; supervision, M.Al-E. and P.S.-H.; project administration, M.A.-E.; funding acquisition, M.A.-E. All authors have read and agreed to the published version of the manuscript.
Funding
This research is funded by the Swedish Transport administration (Trafikverket) within the research project TRV2020/68167.
Institutional Review Board Statement
Not applicable.
Informed Consent Statement
Not applicable.
Data Availability Statement
Not applicable.
Acknowledgments
The work presented in this paper was conducted within the research project “TRV 2020/68167” with funding from the Swedish Transport Administration (Trafikverket). The authors are also grateful to Brosamverkan for their generous support.
Conflicts of Interest
The authors declare no conflict of interest. The funders had no role in the design of the study; in the collection, analyses, or interpretation of data; in the writing of the manuscript, or in the decision to publish the results.
Abbreviations
The following abbreviations are used in this manuscript:
| FAT | Fatigue strength class |
| FLM3 | Fatigue load model 3 |
| FLM4 | Fatigue load model 4 |
| HFMI | High-frequency mechanical impact |
| IIW | International Institute of Welding |
| LDF | Load distribution factor |
References
- Marquis, G.; Barsoum, Z. IIW Recommendations for the HFMI Treatment for Improving the Fatigue Strength of Welded Joints; Springer: Berlin/Heidelberg, Germany, 2016; pp. 1–34. [Google Scholar]
- Al-Karawi, H.; von Bock Und Polach, R.F.; Al-Emrani, M. Fatigue crack repair in welded structures via tungsten inert gas remelting and high frequency mechanical impact. J. Constr. Steel Res. 2020, 172, 106200. [Google Scholar] [CrossRef]
- Al-Karawi, H.; von Bock Und Polach, R.F.; Al-Emrani, M. Fatigue Life Extension of Existing Welded Structures via High Frequency Mechanical Impact (HFMI) Treatment. Eng. Struct. 2020, 239, 112234. [Google Scholar] [CrossRef]
- Shams-Hakimi, P.; Carlsson, F.; Al-Emrani, M.; Al-Karawi, H. Assessment of in-service stresses in steel bridges for high-frequency mechanical impact applications. Eng. Struct. 2021, 241, 112498. [Google Scholar] [CrossRef]
- Maddox, S.J.; Doré, M.J.; Smith, S.D. A case study of the use of ultrasonic peening for upgrading a welded steel structure. Weld. World 2011, 55, 56–67. [Google Scholar] [CrossRef]
- Leitner, M.; Stoschka, M. Effect of load stress ratio on nominal and effective notch fatigue strength assessment of HFMI-treated high-strength steel cover plates. Int. J. Fatigue 2020, 139, 105784. [Google Scholar] [CrossRef]
- Mikkola, E.; Doré, M.; Khurshid, M. Fatigue strength of HFMI treated structures under high R-ratio and variable amplitude loading. Procedia Eng. 2013, 66, 161–170. [Google Scholar] [CrossRef]
- Shimanuki, H.; Mori, T.; Tanaka, M. Study of a method for estimating the fatigue strength of welded joints improved by UIT. IIW Doc. 2013, XIII, 2495. [Google Scholar]
- Yonezawa, T.; Shimanuki, H.; Mori, T. Relaxation behavior of compressive residual stress induced by UIT under cyclic loading. Q. J. Jpn. Weld. Soc. 2019, 37, 44–51. [Google Scholar] [CrossRef][Green Version]
- Mikkola, E.; Remes, H.; Marquis, G. A finite element study on residual stress stability and fatigue damage in high-frequency mechanical impact (HFMI)-treated welded joint. Int. J. Fatigue 2017, 94, 16–29. [Google Scholar] [CrossRef]
- Mikkola, E.; Remes, H. Allowable stresses in high-frequency mechanical impact (HFMI)-treated joints subjected to variable amplitude loading. Weld. World 2017, 61, 125–138. [Google Scholar] [CrossRef]
- Shams-Hakimi, P.; Al-Karawi, H.; Al-Emrani, M. High-cycle variable amplitude fatigue experiments and a design framework for bridge welds treated by high-frequency mechanical impact. Steel Constr. 2022, in press.
- Shams-Hakimi, P. Fatigue Improvement of Steel Bridges with High-Frequency Mechanical Impact Treatment; Chalmers University of Technology: Gothenburg, Sweden, 2020. [Google Scholar]
- European Union. European Standard, Eurocode 1: Action on Structures—Part 2: Traffic Loads on Bridges; European Union: Brussels, Belgium, 2020. [Google Scholar]
- Leander, J. Kalibrering av Lambda-Metoden för Dimensionering av Stål-och Samverkansbroar i Sverige-en Förstudie. Available online: https://www.diva-portal.org/smash/get/diva2:1163174/FULLTEXT01.pdf (accessed on 22 March 2022).
- Maljaars, J. Evaluation of traffic load models for fatigue verification of European road bridges. Eng. Struct. 2020, 225, 111326. [Google Scholar] [CrossRef]
- Al-Emrani, M.; Aygül, M. Fatigue design of steel and composite bridges. Chalmers Reproservice 2014. Available online: https://www.chalmers.se/SiteCollectionDocuments/Centrum/Konstruktionscentrum/Forum (accessed on 31 October 2014).
- European Union. European Standard, Eurocode 3: Design of Steel Structures—Part 2: Steel Bridges; European Union: Brussels, Belgium, 2009. [Google Scholar]
Publisher’s Note: MDPI stays neutral with regard to jurisdictional claims in published maps and institutional affiliations. |
© 2022 by the authors. Licensee MDPI, Basel, Switzerland. This article is an open access article distributed under the terms and conditions of the Creative Commons Attribution (CC BY) license (https://creativecommons.org/licenses/by/4.0/).






















