Long-Term Monitoring of Local Track Irregularity and Its Influence for Simply Supported Girder Bridge of HSR
Abstract
1. Introduction
2. Analysis of Track State at the Beam Joint
2.1. Vehicle Model
2.2. Coupled Equation and Numerical Solution Method for Vehicle-Track-Substructure
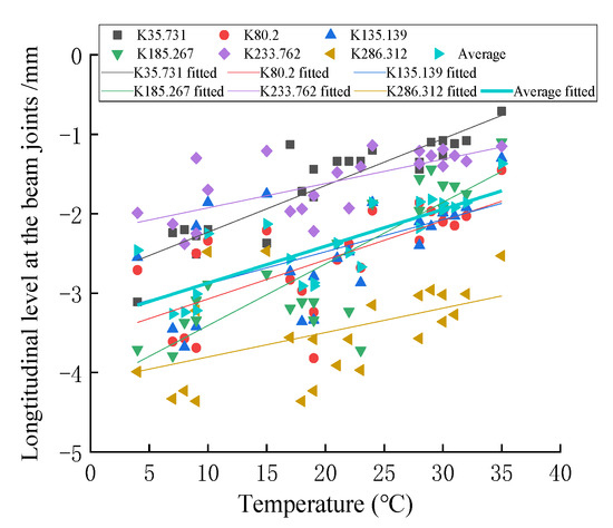
2.3. Track Longitudinal Level at the Beam Joint with Temperature
2.4. Analysis of TQI at the Beam Joint with Temperature
2.5. Analysis of Reasons for Track State at the Beam Joint with Temperature
3. Analysis of Vehicle Response
3.1. Spectral Analysis
3.2. Analysis of Vehicle Response Inspection Data
4. Model of Vehicle–Track–Bridge Interaction
4.1. Model of Track-Bridge
4.2. Wheel–Rail Contact Principle
4.3. Selection of Track Geometric Irregularity
5. Threshold of Longitudinal Level at the Beam Joint
6. Maintenance Suggestions
7. Conclusions
- A peak of [5, 11] m wavelength for track longitudinal level exists at the beam joint of simply supported girder bridge in HSR with ballast track. In particular, the longitudinal level gets larger in winter and smaller in summer, which is opposite to those for bridges with a ballastless track. The difference between the absolute value of track longitudinal level at the beam joint and that at the midspan is [1, 3] mm;
- The relation between track longitudinal level at the beam joint and temperature can be summarized as LL = 0.0642T−3.3376. The relation between the TQI and temperature can be summarized as TQI = −0.02043T + 3.3314;
- According to vehicle response data and dynamic simulation results, train will suffer a significant shock at the beam joint, which will threaten running safety and service performance of the vehicle and track. There is a small difference in the vertical accelerations of the car body at the beam joint and midspan for the same bridge, and the maximum difference is just 0.02 g. The vertical acceleration of bogie at the beam joint is 1.21 g larger than that at the midspan, and the vertical acceleration of left axle box at the beam joint is 3.93 g larger than that at the midspan, and the WR vertical force at the left of the beam joint is 7.75 kN larger than that at the midspan;
- The dynamic longitudinal level at the beam joint of simply supported girder bridge in HSR with ballast track cannot exceed 14 mm, and the static value (10-meter chord measurement value) cannot exceed 11 mm, otherwise the maximum speed of train should be limited to 160 km/h or below, and the track operation should be carried out;
- The engineering department should carry out emergency maintenance operations for the sections where the track longitudinal level at the beam joint exceeds 11 mm, and carry out planned maintenance operations for the section where the track longitudinal level exceeds 8 mm. At the same time, on the premise of ensuring the overall smoothness of the line, the track longitudinal level at the beam joint can be adjusted to be a positive value. Furthermore, if the track longitudinal level at most beam joints of the whole bridge section is large, then large machine equipment is used to conduct tamping operation.
Author Contributions
Funding
Institutional Review Board Statement
Informed Consent Statement
Data Availability Statement
Conflicts of Interest
References
- Xie, K.; Xing, J.; Wang, L.; Tian, C.; Chen, R.; Wang, P. Effect of temperature difference load of 32 m simply supported box beam bridge on track vertical irregularity. J. Mod. Transp. 2015, 23, 262–271. [Google Scholar] [CrossRef]
- Wang, Y.; Wang, P.; Tang, H.; Liu, X.; Xu, J.; Xiao, J.; Wu, J. Assessment and prediction of high speed railway bridge long-term deformation based on track geometry inspection big data. Mech. Syst. Signal Process. 2021, 158, 107749. [Google Scholar] [CrossRef]
- Tian, X.; Gao, L.; Liu, M.; Cai, X. Study on residual creep arching threshold of 32 m simply-supported beam bridge of high-speed railway after track laying. China Railw. Sci. 2020, 41, 45–52. (In Chinese) [Google Scholar]
- Li, D.; Yang, F.; Ma, H. Effect of periodic track irregularities on simply supported beam bridge with common span for high-speed railway. China Railw. Sci. 2020, 41, 59–67. (In Chinese) [Google Scholar]
- Wang, S.J.; Xu, Z.D.; Li, S.; Dyke, S.J. Safety and stability of light-rail train running on multi-span bridges with deformation. J. Bridge Eng. 2016, 21, 06016004. [Google Scholar] [CrossRef]
- Xu, Q.-Y.; Lin, Q.-T.; Fang, Z.-Y.; Lou, P.; Zhang, Z. Influence of creep camber of bridge on dynamic characteristics of railway with longitudinal connected ballastless track on bridge. J. Railw. Eng. Soc. 2018, 35, 56–61. (In Chinese) [Google Scholar]
- Yang, H.; Chen, Z.; Zhang, H.; Fan, J. Dynamic Analysis of Train-Rail-Bridge Interaction considering Concrete Creep of a Multi-Span Simply Supported Bridge. Adv. Struct. Eng. 2014, 17, 709–720. [Google Scholar] [CrossRef]
- Gou, H.; Yang, L.; Mo, Z.; Guo, W.; Shi, X.; Bao, Y. Effect of long-term bridge deformations on safe operation of high-speed railway and vibration of vehicle-bridge coupled system. Int. J. Struct. Stab. Dyn. 2019, 19, 645–660. [Google Scholar] [CrossRef]
- Xia, H.; Zhang, N.; Guo, W. Dynamic Interaction of Train-Bridge Systems in High-Speed Railways: Theory and Applications; Science Press: Beijing, China, 2018. [Google Scholar]
- Gao, L.; Ma, S.; Liu, X. Creep camber recognition method of simply supported girders in high-speed railway based on longitudinal level. J. Railw. Eng. Soc. 2020, 37, 25–30, 100. [Google Scholar]
- Yan, B.; Dai, G.L.; Hu, N. Recent development of design and construction of short span high-speed railway bridges in China. Eng. Struct. 2015, 100, 707–717. [Google Scholar] [CrossRef]
- Zhang, Y.; Jiang, L.; Zhou, W.; Feng, Y.; Tan, Z.; Chai, X. Study of bridge-subgrade longitudinal constraint range for high-speed railway simply-supported beam bridge with CRTSII ballastless track under earthquake excitation. Constr. Build. Mater. 2020, 241, 118026. [Google Scholar] [CrossRef]
- Zhang, Y.; Jiang, L.; Zhou, W.; Lai, Z.; Liu, X.; Peng, K.; Wang, Z.; Feng, Y. Control of Difference of Seismic Response Across Different Spans of High-Speed Railway Multi-Spans Simply Supported Bridge. Res. Sq. 2021. [Google Scholar] [CrossRef]
- Jiang, L.; Feng, Y.; Zhou, W.; He, B. Vibration characteristic analysis of high-speed railway simply supported beam bridge-track structure system. Steel Compos. Struct. 2019, 31, 591–600. [Google Scholar]
- Xia, H.; Li, H.L.; Guo, W.W.; Roeck, G.D. Vibration Resonance and Cancellation of Simply Supported Bridges under Moving Train Loads. J. Eng. Mech. 2014, 140, 04014015. [Google Scholar] [CrossRef]
- Fang, W.; Han, B.; Yang, S.K. Creep Effects on Simply Supported Prestressed Concrete Box Girder of High-Speed Railway with Ballastless Tracks. Appl. Mech. Mater. 2012, 238, 733–737. [Google Scholar]
- TG/GW115-2012; Gaosu Tielu Wuzha Guidao Xianlu Weixiu Guize (Shixing). China Railway Publishing House: Beijing, China, 2012. (In Chinese)
- Zhai, W. Vehicle-Track Coupled Dynamics: Theory and Application; Science Press: Beijing, China, 2020. [Google Scholar]
- Ma, S.; Gao, L.; Liu, X.; Lin, J. Deep Learning for Track Quality Evaluation of High-Speed Railway Based on Vehicle-Body Vibration Prediction. IEEE Access 2019, 7, 185099–185107. [Google Scholar] [CrossRef]
- Hou, W. Comprehensive Inspection Technologies of High-Speed Railways. In Proceedings of the 2010 Joint Rail Conference, Urbana, IL, USA, 27–29 April 2010; Volume 1, pp. 323–328. [Google Scholar]
- Wang, H.; Berkers, J.; van den Hurk, N.; Layegh, N.F. Study of loaded versus unloaded measurements in railway track inspection. Measurement 2020, 169, 108556. [Google Scholar] [CrossRef]
- Xu, M.; Wang, F. Study on creep control of prestressed concrete simply supported beam bridge in China high-speed railway. China Railw. 1999, 11, 19–22. [Google Scholar] [CrossRef]
- Su, Y.; Shi, L.; Hu, S.; Ban, X.; Yang, X. Design research on creep camber control for 40 m span prestressed concrete simply supported box girder on high-speed railway at 350 km/h. Railw. Eng. 2018, 58, 31–36. [Google Scholar]
- Zhai, W. The Vertical dynamic response of a rail vehicle caused by track stiffness variations along the track. Veh. Syst. Dyn. 1996, 25 (Suppl. 1), 175–187. [Google Scholar]
- Kang, X.; Liu, X.; Li, H.; Yang, F.; Gao, J.; Zhai, W. PSD of ballastless track irregularities of high-speed railway. Sci. Sin. Technol. 2014, 44, 687–696. [Google Scholar]
- TB/T 3355-2014; Track Geometry Dynamic Inspections and Evaluation Method. China Railway Publishing House: Beijing, China, 2014. (In Chinese)
- Wei, A. Study on force Transfer Characteristics of Granular Ballast of CWR on Ballasted Track Bridge; Southwest Jiaotong University: Chengdu, China, 2019. [Google Scholar]
- Cai, X.-P.; Luo, B.-C.; Zhong, Y.-L.; Zhang, Y.-R.; Hou, B.-W. Arching mechanism of the slab joints in CRTS II slab track under high temperature conditions. Eng. Fail. Anal. 2019, 98, 95–108. [Google Scholar] [CrossRef]
- GB/T 5599-2019; Specification for Dynamic Performance Assessment and Testing Verification of Rolling Stock. Standards Press of China: Beijing, China, 2019. (In Chinese)
- UIC 518:2009; Testing and Approval of Railway Vehicles from the Point of View of Their dynamic Behavior-Safety-Track Fatigue-Running Behavior. International Union of Railway: Paris, France, 2005.
- Zeng, Z.-P.; Liu, F.-S.; Lu, Z.-H.; Yu, Z.-W.; Lou, P.; Chen, L.-K. Three-dimensional rail-bridge coupling element of unequal lengths for analyzing train-track-bridge interaction system. Lat. Am. J. Solids Struct. 2016, 13, 2490–2528. [Google Scholar] [CrossRef][Green Version]
- Lang, A.V.; Diachenko, L.K.; Labutin, N.A. Comparison of various calculation models for the bridge dynamic analysis. IOP Conf. Ser. Mater. Sci. Eng. 2020, 786, 012083. [Google Scholar] [CrossRef]
- Ge, X.; Ling, L.; Yuan, X.; Wang, K. Effect of distributed support of rail pad on vertical vehicle-track interactions. Constr. Build. Mater. 2020, 262, 120607. [Google Scholar] [CrossRef]
- Ling, L.; Dhanasekar, M.; Thambiratnam, D.P. Dynamic response of the train-track-bridge system subjected to derailment impacts. Veh. Syst. Dyn. 2018, 56, 638–657. [Google Scholar] [CrossRef]
- Li, X.; Lei, H.; Zhu, Y. Analysis of Rayleigh damping parameters in a dynamic system of vehicle-track-bridge. J. Vib. Shock. 2013, 32, 52–57, 73. (In Chinese) [Google Scholar]
- TB10761-2013; Technical Regulations for Dynamic Acceptance for High-Speed Railway Construction. China Railway Publishing House: Beijing, China, 2013. (In Chinese)
- MC90, CEB-FIP Model Code 1990, Design Code. Available online: https://pdfgoal.com/downloads/ceb_fip_model_code_1990_design_code_pdf (accessed on 4 April 2022).






























| Degree of Freedom | Lateral Motion | Vertical Motion | Roll Motion | Pitch Motion | Yaw Motion |
|---|---|---|---|---|---|
| Car body | |||||
| Bogie (i = 1,2) | |||||
| Wheelset (i = 1,4) |
| Case | Track Longitudinal Level | 10-Meter Chord Measurement | Peak-To-Peak Value |
|---|---|---|---|
| mm | mm | mm | |
| 1.0 time | −5.15 | −5.22 | 6.51 |
| 1.5 times | −7.72 | −7.83 | 9.75 |
| 2.0 times | −10.30 | −10.44 | 13.04 |
| 2.5 times | −12.88 | −13.05 | 16.25 |
| 3.0 times | −15.45 | −15.66 | 19.52 |
| 3.5 times | −18.03 | −18.13 | 25.34 |
Publisher’s Note: MDPI stays neutral with regard to jurisdictional claims in published maps and institutional affiliations. |
© 2022 by the authors. Licensee MDPI, Basel, Switzerland. This article is an open access article distributed under the terms and conditions of the Creative Commons Attribution (CC BY) license (https://creativecommons.org/licenses/by/4.0/).
Share and Cite
Li, G.; Yang, F.; Ke, Z.; Sun, X.; Liu, B.; Zhao, W.; Zhou, Y. Long-Term Monitoring of Local Track Irregularity and Its Influence for Simply Supported Girder Bridge of HSR. Buildings 2022, 12, 445. https://doi.org/10.3390/buildings12040445
Li G, Yang F, Ke Z, Sun X, Liu B, Zhao W, Zhou Y. Long-Term Monitoring of Local Track Irregularity and Its Influence for Simply Supported Girder Bridge of HSR. Buildings. 2022; 12(4):445. https://doi.org/10.3390/buildings12040445
Chicago/Turabian StyleLi, Guolong, Fei Yang, Zaitian Ke, Xianfu Sun, Bing Liu, Wenbo Zhao, and Yunlai Zhou. 2022. "Long-Term Monitoring of Local Track Irregularity and Its Influence for Simply Supported Girder Bridge of HSR" Buildings 12, no. 4: 445. https://doi.org/10.3390/buildings12040445
APA StyleLi, G., Yang, F., Ke, Z., Sun, X., Liu, B., Zhao, W., & Zhou, Y. (2022). Long-Term Monitoring of Local Track Irregularity and Its Influence for Simply Supported Girder Bridge of HSR. Buildings, 12(4), 445. https://doi.org/10.3390/buildings12040445

