Modelling and Optimizing the Durability Performance of Self Consolidating Concrete Incorporating Crumb Rubber and Calcium Carbide Residue Using Response Surface Methodology
Abstract
:1. Introduction
2. Materials and Methods
2.1. Materials
2.2. Experimental Design Using RSM
2.3. Samples Preparation and Test Methods
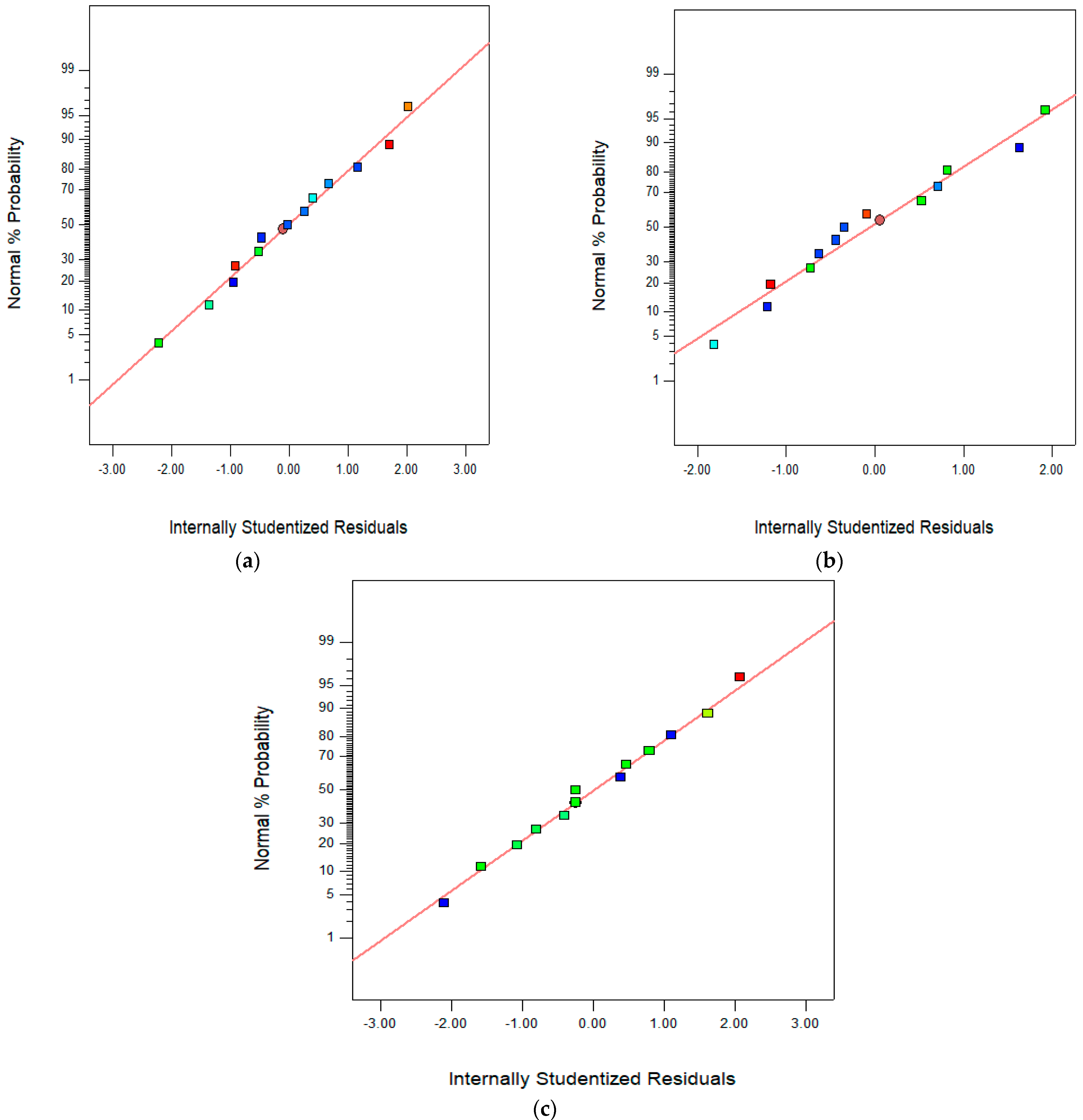
3. Results and Discussions
3.1. Durability Performance against Acid and Salt Attack
3.2. Elevated Temperature
3.2.1. Residual Compressive Strength
3.2.2. Weight Reduction Due to Elevated Temperature
3.3. Multi-Objective Optimization Response Analysis
4. Conclusions
- The replacement of up to 10% fine aggregate with CR improved the acid resistance of SCC measured in terms of immersion in H2SO4 and salt resistance measured immersion in MgSO4. On the contrary, higher CR content decreased the acid and salt resistance of the SCC. Similarly, partial replacement of up to 10% cement with CCR slightly improved its acid and salt attack resistance, with higher CCR contents having negative effects on the acid and salt attack resistance of the SCC mixes.
- The water absorption of the SCC increased with the incorporation of CR as fine aggregate replacement. It decreased with the addition of CCR as SCM.
- The heat resistance of the SCC measured in weight reduction and residual compressive strength of the SCC mixes after subjecting to elevated temperatures of 200 °C and 400 °C was decreased with the incorporation of CR as a fine aggregate replacement, with the reduction more pronounced on the higher temperature.
- The addition of CCR as cement replacement slightly improved the residual compressive strength of the SCC at all temperatures. In terms of weight reduction, CCR increased the weight reduction of the SCC at temperatures above 200 °C.
- The models generated using RSM to predict the durability performance and heat resistance of the concrete were significant with high degrees of correlation and predictability.
- The multi-objective optimization results showed that the best optimum or best mix combination based on minimum weight loss in terms of H2SO4 and MgSO4 attacks minimum water absorption. After being subjected to elevated temperature, the maximum residual compressive strengths and minimum weight reductions were achieved by replacing 2.9% fine aggregate with CR and 5.5% cement with CCR.
5. Limitations, Practical Applications, and Future Research
Author Contributions
Funding
Informed Consent Statement
Acknowledgments
Conflicts of Interest
References
- Ali, N.; Jaffar, A.; Answer, M.; Khan, S.; Anjum, M.; Hussain, A.; Raja, M.; Ming, X. The greenhouse gas emissions produced by cement production and its impact on environment: A review of global cement Processing. Int. J. Res. (IJR) 2015, 2, 2. [Google Scholar]
- Obianyo, I.I.; Mahamat, A.A.; Stanislas, T.T.; Ihekweme, G.O.; Kelechi, S.E.; Onyelowe, K.C.; Onwualu, A.P.; Soboyejo, A.B. Production and utilization of earth-based bricks for sustainable building applications in Nigeria: Status, benefits, challenges, and way forward. J. Build. Pathol. Rehab. 2021, 6, 37. [Google Scholar] [CrossRef]
- Sadh, P.K.; Duhan, S.; Duhan, J.S. Agro-industrial wastes and their utilization using solid state fermentation: A review. Bioresour. Bioprocess. 2018, 5, 1. [Google Scholar] [CrossRef] [Green Version]
- Ying, J.; Jiang, Z.; Xiao, J. Synergistic effects of three-dimensional graphene and silica fume on mechanical and chloride diffusion properties of hardened cement paste. Constr. Build. Mater. 2022, 316, 125756. [Google Scholar] [CrossRef]
- Wang, J.; Niu, D.; Wang, Y.; He, H.; Liang, X. Chloride diffusion of shotcrete lining structure subjected to nitric acid, salt–frost degradation, and bending stress in marine environment. Cem. Concr. Compos. 2019, 104, 103396. [Google Scholar] [CrossRef]
- Sofi, A. Effect of waste tyre rubber on mechanical and durability properties of concrete—A review. Ain Shams Eng. J. 2018, 9, 2691–2700. [Google Scholar] [CrossRef]
- Hilal, N.N. Hardened properties of self-compacting concrete with different crumb rubber size and content. Int. J. Sustain. Built Environ. 2017, 6, 191–206. [Google Scholar] [CrossRef]
- Valizadeh, A.; Hamidi, F.; Aslani, F.; Shaikh, F.U.A. The Effect of Specimen Geometry on the Compressive and Tensile Strengths of Self-Compacting Rubberised Concrete Containing Waste Rubber Granules, Structures; Elsevier: Amsterdam, The Netherlands, 2020; Volume 27. [Google Scholar]
- Bušić, R.; Benšić, M.; Miličević, I.; Strukar, K. Prediction models for the mechanical properties of self-compacting concrete with recycled rubber and silica fume. Materials 2020, 13, 1821. [Google Scholar] [CrossRef] [Green Version]
- Haruna, S.; Mohammed, B.S.; Shahir-Liew, M.; Alaloul, W.S.; Haruna, A. Effect of water-binder ratio and naoh molarity on the properties of high calcium fly ash geopolymer mortars at outdoor curing. Int. J. Civ. Eng. Technol. 2018, 9, 1339–1352. [Google Scholar]
- Adamu, M.; Mohammed, B.S.; Liew, M.S. Mechanical properties and performance of high volume fly ash roller compacted concrete containing crumb rubber and nano silica. Constr. Build. Mater. 2018, 171, 521–538. [Google Scholar] [CrossRef]
- Adamu, M.; Mohammed, B.S.; Liew, M.S.; Alaloul, W.S. Evaluating the impact resistance of roller compacted concrete containing crumb rubber and nanosilica using response surface methodology and Weibull distribution. World J. Eng. 2019, 16, 1. [Google Scholar] [CrossRef]
- Mohammed, B.S.; Haruna, S.; Liew, M. Optimization and characterization of cast in-situ alkali-activated pastes by response surface methodology. Constr. Build. Mater. 2019, 225, 776–787. [Google Scholar] [CrossRef]
- Mohammed, B.S.; Khed, V.C.; Nuruddin, M.F. Rubbercrete mixture optimization using response surface methodology. J. Clean. Prod. 2018, 171, 1605–1621. [Google Scholar] [CrossRef]
- Mohammed, B.S.; Adamu, M. Non-destructive evaluation of nano silica-modified roller-compacted rubbercrete using combined SonReb and response surface methodology. Road Mater. Pavement Des. 2019, 20, 815–835. [Google Scholar] [CrossRef]
- Adamu, M.; Olalekan, S.S.; Aliyu, M.M. Optimizing the Mechanical Properties of Pervious Concrete Containing Calcium Carbide and Rice Husk Ash Using Response Surface Methodology. J. Soft Comput. Civ. Eng. 2020, 4, 95–118. [Google Scholar]
- Abd Rahman, M.N. Modelling of Physical Vapour Deposition (PVD) Process on Cutting Tool Using Response Surface Methodology (RSM). Ph.D. Thesis, Coventry University, Coventry, UK, 2009. [Google Scholar]
- Merriman, C. The fundamentals of explosion welding. Weld. J. 2006, 85, 27–29. [Google Scholar]
- Khuri, A.I. Response surface methodology and its applications in agricultural and food sciences. Biom. Biostat. Int. J. 2017, 5, 155–163. [Google Scholar] [CrossRef] [Green Version]
- Myers, R.H.; Montgomery, D.C.; Vining, G.G.; Borror, C.M.; Kowalski, S.M. Response surface methodology: A retrospective and literature survey. J. Qual. Technol. 2004, 36, 53–77. [Google Scholar] [CrossRef]
- Bala, N.; Napiah, M.; Kamaruddin, I. Nanosilica composite asphalt mixtures performance-based design and optimisation using response surface methodology. Int. J. Pavement Eng. 2020, 21, 29–40. [Google Scholar] [CrossRef]
- Adamu, M.; Haruna, S.; Ibrahim, Y.E.; Alanazi, H. Investigating the properties of roller-compacted rubberized concrete modified with nanosilica using response surface methodology. Innov. Infrastruct. Solut. 2022, 7, 119. [Google Scholar] [CrossRef]
- Mohammed, B.S.; Fang, O.C.; Hossain, K.M.A.; Lachemi, M. Mix proportioning of concrete containing paper mill residuals using response surface methodology. Constr. Build. Mater. 2012, 35, 63–68. [Google Scholar] [CrossRef]
- Haruna, S.; Mohammed, B.; Wahab, M.; Haruna, A. Compressive Strength and Workability of High Calcium One-Part Alkali Activated Mortars Using Response Surface Methodology. In IOP Conference Series: Earth and Environmental Science; IOP Publishing: Bristol, UK, 2020. [Google Scholar]
- Rezaifar, O.; Hasanzadeh, M.; Gholhaki, M. Concrete made with hybrid blends of crumb rubber and metakaolin: Optimization using Response Surface Method. Constr. Build. Mater. 2016, 123, 59–68. [Google Scholar] [CrossRef]
- Mohammed, B.S.; Xian, L.W.; Haruna, S.; Liew, M.; Abdulkadir, I.; Zawawi, N.A.W.A. Deformation Properties of Rubberized Engineered Cementitious Composites Using Response Surface Methodology. Iran. J. Sci. Technol. Trans. Civ. Eng. 2021, 45, 729–740. [Google Scholar] [CrossRef]
- Alyamac, K.E.; Ghafari, E.; Ince, R. Development of eco-efficient self-compacting concrete with waste marble powder using the response surface method. J. Clean. Prod. 2017, 144, 192–202. [Google Scholar] [CrossRef]
- Vincent, S.A.; Mohammed, B.S.; Haruna, S.; Wahab, M.M.A. Early Age Mechanical Properties of Rubberised Concrete Modified with Steel Tyre Wire. Technology (IJARET) 2021, 12, 119–131. [Google Scholar]
- Adamu, M.; Mohammed, B.S.; Shafiq, N. Flexural performance of nano silica modified roller compacted rubbercrete. Int. J. Adv. Appl. Sci. 2017, 4, 6–18. [Google Scholar] [CrossRef]
- Mohammed, B.S.; Hossain, K.M.A.; Swee, J.T.E.; Wong, G.; Abdullahi, M. Properties of crumb rubber hollow concrete block. J. Clean. Prod. 2012, 23, 57–67. [Google Scholar] [CrossRef]
- Khed, V.C.; Mohammed, B.S.; Liew, M.; Zawawi, N.A.W.A. Development of response surface models for self-compacting hybrid fibre reinforced rubberized cementitious composite. Constr. Build. Mater. 2020, 232, 117191. [Google Scholar] [CrossRef]
- Mohammed, B.S.; Adamu, M. Mechanical performance of roller compacted concrete pavement containing crumb rubber and nano silica. Constr. Build. Mater. 2018, 159, 234–251. [Google Scholar] [CrossRef]
- Mermerdaş, K.; Algın, Z.; Oleiwi, S.M.; Nassani, D.E. Optimization of lightweight GGBFS and FA geopolymer mortars by response surface method. Constr. Build. Mater. 2017, 139, 159–171. [Google Scholar] [CrossRef]
- Sadhukhan, B.; Mondal, N.K.; Chattoraj, S. Optimisation using central composite design (CCD) and the desirability function for sorption of methylene blue from aqueous solution onto Lemna major. Karbala Int. J. Mod. Sci. 2016, 2, 145–155. [Google Scholar] [CrossRef] [Green Version]
- Whitcomb, P.J.; Anderson, M.J. RSM Simplified: Optimizing Processes Using Response Surface Methods for Design of Experiments; Productivity Press: New York, NY, USA, 2004. [Google Scholar]
- 1881-125 B; Methods for Mixing and Sampling Concrete in the Laboratory. Testing Concrete. British Standard Institution: London, UK, 2013.
- ASTM C642; Standard Test Method for Density, Absorption, and Voids in Hardened Concrete. ASTM International: West Conshohocken, PA, USA, 2013.
- BS EN 12390-3; Testing Hardened Concrete. Compressive Strength of Test Specimens. British Standards Institution: London, UK, 2009.
- Stat-Ease Hwsc. Design-Expert 11 User’s Guide-Response Surface Methods (RSM) Tutorials-Section 6; Stat-Ease: Minneapolis, MI, USA, 2014. [Google Scholar]
- Montgomery, D.C. Design and Analysis of Experiments; John Wiley & Sons: Hoboken, NJ, USA, 2017. [Google Scholar]
- Thomas, B.S.; Gupta, R.C.; Mehra, P.; Kumar, S. Performance of high strength rubberized concrete in aggressive environment. Constr. Build. Mater. 2015, 83, 320–326. [Google Scholar] [CrossRef]
- Thomas, B.S.; Gupta, R.C.; Panicker, V.J. Recycling of waste tire rubber as aggregate in concrete: Durability-related performance. J. Clean. Prod. 2016, 112, 504–513. [Google Scholar] [CrossRef]
- Bisht, K.; Ramana, P. Waste to resource conversion of crumb rubber for production of sulphuric acid resistant concrete. Constr. Build. Mater. 2019, 194, 276–286. [Google Scholar] [CrossRef]
- Kelechi, S.E.; Adamu, M.; Mohammed, A.; Ibrahim, Y.E.; Obianyo, I.I. Durability Performance of Self-Compacting Concrete Containing Crumb Rubber, Fly Ash and Calcium Carbide Waste. Materials 2022, 15, 488. [Google Scholar] [CrossRef] [PubMed]
- Diab, A.M.; Elyamany, H.E.; Abd Elmoaty, M.; Sreh, M.M. Effect of nanomaterials additives on performance of concrete resistance against magnesium sulfate and acids. Constr. Build. Mater. 2019, 210, 210–231. [Google Scholar] [CrossRef]
- Huang, Q.; Li, Y.; Chang, C.; Wen, J.; Dong, J.; Zheng, W.; Liu, P.; Dong, F.; Zhou, Y.; Xiao, X. The salt attack performance of magnesium oxychloride cement exposure to three kinds of brines. J. Wuhan Univ. Technol. Mater. Sci. Ed. 2020, 35, 155–166. [Google Scholar] [CrossRef]
- Dhiyaneshwaran, S.; Ramanathan, P.; Baskar, I.; Venkatasubramani, R. Study on durability characteristics of self-compacting concrete with fly ash. Jordan J. Civ. Eng. 2013, 7, 342–352. [Google Scholar]
- Adamu, M.; Mohammed, B.S.; Shafiq, N.; Liew, M.S. Durability performance of high volume fly ash roller compacted concrete pavement containing crumb rubber and nano silica. Int. J. Pavement Eng. 2020, 21, 1437–1444. [Google Scholar] [CrossRef]
- Adamu, M.; Ayeni, K.O.; Haruna, S.I.; Mansour, Y.E.H.I.; Haruna, S. Durability performance of pervious concrete containing rice husk ash and calcium carbide: A response surface methodology approach. Case Stud. Constr. Mater. 2021, 14, e00547. [Google Scholar] [CrossRef]
- Adefemi, A.; Muhammad, U.; Kebbi, U.M.B.; Olugbenga, S. Effect of Admixture on Fire Resistance of Ordinary Portland Cement Concrete. Civ. Environ. Res. 2013, 3, 302–308. [Google Scholar]
- Mohammed, B.S.; Yen, L.Y.; Haruna, S.; Huat, S.; Lim, M.; Abdulkadir, I.; Al-Fakih, A.; Liew, M.; Zawawi, A.; Wan, N.A. Effect of Elevated Temperature on the Compressive Strength and Durability Properties of Crumb Rubber Engineered Cementitious Composite. Materials 2020, 13, 3516. [Google Scholar] [CrossRef] [PubMed]
- Sonebi, M.; Ibrahim, R. 101 Assessment of the durability of medium strength SCC from its permeation properties. In Proceedings of the 5th International RILEM Symposium on Self-Compacting Concrete, Ghent, Belgium, 3–5 September 2007; RILEM Publications SARL: Paris, France, 2007. [Google Scholar]








| Oxide Composition | Cement | CCR |
|---|---|---|
| SiO2 | 12.00 | 1.1 |
| Al2O3 | 3.01 | 0.04 |
| Fe2O3 | 4.11 | 0.5 |
| CaO | 74.03 | 96.46 |
| MgO | 1.3 | 0 |
| SO3 | 2.07 | 0.29 |
| Na2O | 0.19 | 0.01 |
| K2O | 1.28 | 0.45 |
| LOI | 1.02 | 1.02 |
| Specific Gravity | 3.15 | 2.22 |
| Run/Mix | Factors | Constituent Materials for 1 kg/m3 | ||||||||
|---|---|---|---|---|---|---|---|---|---|---|
| A: CR (%) | B: CCR (%) | Cement (kg/m3) | CCR (kg/m3) | Fine Agg (kg/m3) | CR (kg/m3) | Coarse Agg (kg/m3) | Water (kg/m3) | SP (kg/m3) | W/B | |
| 1 | 0 | 0 | 520 | 0 | 880 | 0 | 850 | 192.4 | 7.80 | 0.37 |
| 2 | 0 | 10 | 468 | 36.65 | 880 | 0 | 850 | 192.4 | 7.59 | 0.38 |
| 3 | 10 | 5 | 494 | 18.32 | 792 | 38.25 | 850 | 192.4 | 7.68 | 0.38 |
| 4 | 10 | 5 | 494 | 18.32 | 792 | 38.25 | 850 | 192.4 | 7.68 | 0.38 |
| 5 | 10 | 10 | 468 | 36.65 | 792 | 38.25 | 850 | 192.4 | 7.59 | 0.38 |
| 6 | 20 | 10 | 468 | 36.65 | 704 | 76.49 | 850 | 192.4 | 7.59 | 0.38 |
| 7 | 10 | 5 | 494 | 18.32 | 792 | 38.25 | 850 | 192.4 | 7.68 | 0.38 |
| 8 | 20 | 5 | 494 | 18.32 | 704 | 76.49 | 850 | 192.4 | 7.68 | 0.38 |
| 9 | 10 | 5 | 494 | 18.32 | 792 | 38.25 | 850 | 192.4 | 7.68 | 0.38 |
| 10 | 10 | 0 | 520 | 0 | 792 | 38.25 | 850 | 192.4 | 7.80 | 0.37 |
| 11 | 20 | 0 | 520 | 0 | 704 | 76.49 | 850 | 192.4 | 7.80 | 0.37 |
| 12 | 0 | 5 | 494 | 18.32 | 880 | 0.00 | 850 | 192.4 | 7.68 | 0.38 |
| 13 | 10 | 5 | 494 | 18.32 | 792 | 38.25 | 850 | 192.4 | 7.68 | 0.38 |
| Run/Mix | Factors (%) | Responses | |||||||
|---|---|---|---|---|---|---|---|---|---|
| A: CR | B: CCR | Weight Reduction in H2SO4 (%) | Weight Reduction in MgSO4 (%) | Water Absorption (%) | |||||
| 3 Days | 7 Days | 28 Days | 3 Days | 7 Days | 28 Days | ||||
| 1 | 0 | 10 | 2.83 | 4.39 | 7.78 | 0.5 | 1.25 | 1.89 | 1.74 |
| 2 | 0 | 0 | 3.81 | 5.87 | 10.17 | 0.83 | 1.63 | 2.78 | 1.74 |
| 3 | 10 | 5 | 2.26 | 3.29 | 4.24 | 0.31 | 0.78 | 1.14 | 2.35 |
| 4 | 10 | 5 | 2.35 | 3.13 | 4.67 | 0.32 | 0.78 | 1.13 | 2.26 |
| 5 | 10 | 10 | 1.65 | 3.27 | 4.12 | 0.3 | 0.57 | 0.99 | 2.5 |
| 6 | 20 | 10 | 1.8 | 3.5 | 5.45 | 0.5 | 1.2 | 1.5 | 2.15 |
| 7 | 10 | 5 | 2.14 | 3.33 | 4.41 | 0.34 | 0.77 | 1.11 | 2.19 |
| 8 | 20 | 5 | 2.2 | 4.27 | 6.00 | 0.86 | 1.5 | 2.2 | 2.19 |
| 9 | 10 | 5 | 2.25 | 3.42 | 3.96 | 0.29 | 0.72 | 1.25 | 2.39 |
| 10 | 10 | 0 | 2.71 | 3.82 | 6.58 | 0.42 | 1.15 | 2.04 | 2.37 |
| 11 | 20 | 0 | 4 | 5.95 | 10.4 | 0.9 | 1.68 | 2.91 | 2.83 |
| 12 | 0 | 5 | 3.3 | 5.8 | 9.49 | 0.53 | 1.54 | 2.16 | 1.76 |
| 13 | 10 | 5 | 2.08 | 3.28 | 3.67 | 0.43 | 0.86 | 1.05 | 2.26 |
| Responses | Source | Sum of Squares | Mean Square | F Value | p-Value Prob > F | Significance |
|---|---|---|---|---|---|---|
| 28 Days-Immersion in H2SO4 | Model | 69.37 | 13.87 | 30.16 | 0.0001 | significant |
| A-CR | 5.21 | 5.21 | 11.32 | 0.0120 | significant | |
| B-CCR | 16.01 | 16.01 | 34.80 | 0.0006 | significant | |
| AB | 1.64 | 1.64 | 3.56 | 0.1011 | not significant | |
| A2 | 30.72 | 30.72 | 66.79 | <0.0001 | significant | |
| B2 | 2.44 | 2.44 | 5.31 | 0.0547 | not significant | |
| Residual | 3.22 | 0.46 | - | - | - | |
| Lack of Fit | 2.62 | 0.87 | 5.77 | 0.0618 | not significant | |
| Pure Error | 0.60 | 0.15 | - | - | - | |
| 28 Days-Immersion in MgSO4 | Model | 5.31 | 1.06 | 81.04 | <0.0001 | significant |
| A-CR | 0.008067 | 0.008067 | 0.62 | 0.4583 | not significant | |
| B-CCR | 1.87 | 1.87 | 142.80 | <0.0001 | significant | |
| AB | 0.068 | 0.068 | 5.16 | 0.0573 | not significant | |
| A2 | 2.26 | 2.26 | 172.50 | <0.0001 | significant | |
| B2 | 0.16 | 0.16 | 12.09 | 0.0103 | significant | |
| Residual | 0.092 | 0.013 | - | - | - | |
| Lack of Fit | 0.071 | 0.024 | 4.46 | 0.0915 | not significant | |
| Pure Error | 0.021 | 0.00528 | - | - | - | |
| Water Absorption (%) | Model | 1.07 | 0.21 | 11.21 | 0.0031 | significant |
| A-CR | 0.62 | 0.62 | 32.63 | 0.0007 | significant | |
| B-CCR | 0.050 | 0.050 | 2.65 | 0.1476 | not significant | |
| AB | 0.12 | 0.12 | 6.08 | 0.0432 | significant | |
| A2 | 0.28 | 0.28 | 14.63 | 0.0065 | significant | |
| B2 | 0.056 | 0.056 | 2.95 | 0.1295 | not significant | |
| Residual | 0.13 | 0.019 | - | - | - | |
| Lack of Fit | 0.11 | 0.036 | 5.66 | 0.0637 | not significant | |
| Pure Error | 0.025 | 0.0063 | - | - | - |
| Factors | Before Model Reductions | After Model Reduction | |||
|---|---|---|---|---|---|
| Weight Reduction-H2SO4 Immersion (%) | Weight Reduction-MgSO4 Immersion (%) | Water Absorption (%) | Weight Reduction-H2SO4 Immersion (%) | Water Absorption (%) | |
| Std. Dev. | 0.68 | 0.11 | 0.14 | 0.90 | 0.15 |
| Mean | 6.23 | 1.70 | 2.21 | 6.23 | 2.21 |
| C.V. % | 10.89 | 6.72 | 6.24 | 14.47 | 6.96 |
| PRESS | 27.03 | 0.56 | 1.13 | 19.84 | 1.00 |
| R2 | 0.956 | 0.983 | 0.900 | 0.8994 | 0.8422 |
| Adjusted R2 | 0.924 | 0.971 | 0.810 | 0.8659 | 0.7633 |
| Predicted R2 | 0.628 | 0.897 | 0.355 | 0.7267 | 0.5676 |
| Adequate Precision | 14.961 | 27.20 | 11.18 | 15.797 | 10.307 |
| Run/Mix | Factors (%) | Residual Compressive Strength | Weight Reduction (%) | ||||
|---|---|---|---|---|---|---|---|
| R: CR | C: CCR | 27 °C | 200 °C | 400 °C | 200 °C | 400 °C | |
| 1 | 0 | 10 | 38.6 | 38.9 | 33.8 | 0.37 | 3.89 |
| 2 | 0 | 0 | 43.5 | 38.6 | 34.1 | 0.39 | 3.11 |
| 3 | 10 | 5 | 41.4 | 37.7 | 30.4 | 0.45 | 4.1 |
| 4 | 10 | 5 | 42.5 | 39.27 | 27.2 | 0.53 | 4.74 |
| 5 | 10 | 10 | 36.2 | 37.8 | 29.5 | 0.44 | 4.61 |
| 6 | 20 | 10 | 32.5 | 35.4 | 27 | 1.4 | 5.39 |
| 7 | 10 | 5 | 39.6 | 35.75 | 31.17 | 0.37 | 3.76 |
| 8 | 20 | 5 | 34.2 | 35.2 | 27.6 | 1.42 | 5.38 |
| 9 | 10 | 5 | 40.26 | 38.8 | 29.63 | 0.41 | 3.97 |
| 10 | 10 | 0 | 37.12 | 37.6 | 31 | 0.46 | 4 |
| 11 | 20 | 0 | 35.6 | 35 | 28 | 1.43 | 5.35 |
| 12 | 0 | 5 | 45.2 | 38.8 | 34 | 0.38 | 3.75 |
| 13 | 10 | 5 | 43.11 | 38.5 | 27.87 | 0.36 | 4.32 |
| Response | Source | Sum of Squares | Mean Square | F Value | p-Value Prob > F | |
|---|---|---|---|---|---|---|
| Residual Compressive Strength (27 °C) (MPa) | Model | 161.63 | 32.33 | 10.43 | 0.0038 | significant |
| A-CR | 104.17 | 104.17 | 33.60 | 0.0007 | significant | |
| B-CCR | 13.26 | 13.26 | 4.28 | 0.0774 | not significant | |
| AB | 0.81 | 0.81 | 0.26 | 0.6250 | not significant | |
| A2 | 0.53 | 0.53 | 0.17 | 0.6928 | not significant | |
| B2 | 33.37 | 33.37 | 10.77 | 0.0135 | significant | |
| Residual | 21.70 | 3.10 | - | - | - | |
| Lack of Fit | 13.03 | 4.34 | 2.00 | 0.2559 | not significant | |
| Pure Error | 8.67 | 2.17 | - | - | - | |
| Residual Compressive Strength (200 °C) (MPa) | Model | 22.12 | 4.42 | 4.01 | 0.0488 | significant |
| A-CR | 19.08 | 19.08 | 17.31 | 0.0042 | significant | |
| B-CCR | 0.14 | 0.14 | 0.12 | 0.7367 | not significant | |
| AB | 0.0025 | 0.0025 | 0.00227 | 0.9633 | not significant | |
| A2 | 2.09 | 2.09 | 1.89 | 0.2113 | not significant | |
| B2 | 0.079 | 0.079 | 0.072 | 0.7964 | not significant | |
| Residual | 7.72 | 1.10 | - | - | - | |
| Lack of Fit | 0.062 | 0.021 | 0.011 | 0.9982 | not significant | |
| Pure Error | 7.66 | 1.91 | - | - | - | |
| Residual Compressive Strength (400 °C) (MPa) | Model | 68.89 | 13.78 | 7.85 | 0.0087 | significant |
| A-CR | 62.08 | 62.08 | 35.35 | 0.0006 | significant | |
| B-CCR | 1.31 | 1.31 | 0.74 | 0.4169 | not significant | |
| AB | 0.12 | 0.12 | 0.070 | 0.7993 | not significant | |
| A2 | 2.92 | 2.92 | 1.67 | 0.2379 | not significant | |
| B2 | 0.63 | 0.63 | 0.36 | 0.5670 | not significant | |
| Residual | 12.29 | 1.76 | - | - | - | |
| Lack of Fit | 1.03 | 0.34 | 0.12 | 0.9422 | not significant | |
| Pure Error | 11.26 | 2.82 | - | - | - |
| Factors | Before Model Reduction | After Model Reduction | |||
|---|---|---|---|---|---|
| 27 °C | 200 °C | 400 °C | 27 °C | 200 °C | |
| Std. Dev. | 1.76 | 1.05 | 1.33 | 1.60 | 1.05 |
| Mean | 39.21 | 37.49 | 30.10 | 39.21 | 37.49 |
| C.V. % | 4.49 | 2.80 | 4.40 | 4.08 | 2.80 |
| PRESS | 130.06 | 11.63 | 24.29 | 49.12 | 11.63 |
| R2 | 0.882 | 0.741 | 0.849 | 0.874 | 0.7413 |
| Adjusted R2 | 0.797 | 0.610 | 0.740 | 0.833 | 0.557 |
| Predicted R2 | 0.291 | 0.557 | 0.701 | 0.732 | 0.610 |
| Adequate Precision | 10.74 | 5.48 | 8.18 | 15.17 | 5.48 |
| Response | Source | Sum of Squares | Mean Square | F Value | p-Value Prob > F | |
|---|---|---|---|---|---|---|
| Weight Reduction (200 °C) | Model | 2.32 | 0.46 | 164.73 | <0.0001 | significant |
| A-CR | 1.61 | 1.61 | 572.89 | <0.0001 | significant | |
| B-CCR | 0.0008167 | 80.0008167 | 0.29 | 0.6068 | not significant | |
| AB | 0.000025 | 0.000025 | 0.008885 | 0.9275 | not significant | |
| A2 | 0.59 | 0.59 | 209.72 | <0.0001 | significant | |
| B2 | 0.0004139 | 0.0004139 | 0.15 | 0.7127 | not significant | |
| Residual | 0.020 | 0.002814 | - | - | - | |
| Lack of Fit | 0.0005768 | 0.0001923 | 0.040 | 0.9877 | not significant | |
| Pure Error | 0.019 | 0.004780 | - | - | - | |
| Weight Reduction (400 °C) | Model | 5.51 | 1.10 | 12.09 | 0.0025 | significant |
| A-CR | 4.81 | 4.81 | 52.72 | 0.0002 | significant | |
| B-CCR | 0.34 | 0.34 | 3.74 | 0.0944 | not significant | |
| AB | 0.14 | 0.14 | 1.50 | 0.2600 | not significant | |
| A2 | 0.19 | 0.19 | 2.09 | 0.1911 | not significant | |
| B2 | 0.00002373 | 0.00002373 | 0.0002603 | 0.9876 | not significant | |
| Residual | 0.64 | 0.091 | - | - | - | |
| Lack of Fit | 0.078 | 0.026 | 0.19 | 0.9009 | not significant | |
| Pure Error | 0.56 | 0.14 | - | - | - |
| Factors | Weight Reduction (200 °C) (%) | Weight Reduction (400 °C) (%) |
|---|---|---|
| S | 0.053 | 0.30 |
| Mean | 0.65 | 4.34 |
| C.V. % | 8.20 | 6.96 |
| PRESS | 0.032 | 1.46 |
| R2 | 0.992 | 0.90 |
| Adjusted R2 | 0.987 | 0.822 |
| Predicted R2 | 0.986 | 0.763 |
| Adequate Precision | 29.50 | 11.05 |
| Name | Goal | Lower Limit | Upper Limit | Solutions |
|---|---|---|---|---|
| A:CR (%) | In range | 0 | 20 | 2.9 |
| B: CCR (%) | In range | 0 | 10 | 5.5 |
| Weight Reduction in H2SO4 (28 Days) (%) | minimize | 3.67 | 10.4 | 6.48 |
| Weight Reduction in MgSO4 (28 Days) (%) | minimize | 0.99 | 2.91 | 1.61 |
| Water Absorption (%) | minimize | 1.74 | 2.83 | 1.99 |
| Residual Compressive Strength (27 °C) (Mpa) | maximize | 32.5 | 45.2 | 43.52 |
| Residual Compressive Strength (200 °C) (Mpa) | maximize | 35 | 39.27 | 38.81 |
| Residual Compressive Strength (400 °C) (Mpa) | maximize | 27 | 34.1 | 32.17 |
| Weight Reduction (200 °C) (%) | minimize | 0.36 | 1.43 | 0.29 |
| Weight Reduction (400 °C) (%) | minimize | 3.11 | 5.39 | 3.75 |
| Desirability (%) | 77 | |||
Publisher’s Note: MDPI stays neutral with regard to jurisdictional claims in published maps and institutional affiliations. |
© 2022 by the authors. Licensee MDPI, Basel, Switzerland. This article is an open access article distributed under the terms and conditions of the Creative Commons Attribution (CC BY) license (https://creativecommons.org/licenses/by/4.0/).
Share and Cite
Uche, O.A.; Kelechi, S.E.; Adamu, M.; Ibrahim, Y.E.; Alanazi, H.; Okokpujie, I.P. Modelling and Optimizing the Durability Performance of Self Consolidating Concrete Incorporating Crumb Rubber and Calcium Carbide Residue Using Response Surface Methodology. Buildings 2022, 12, 398. https://doi.org/10.3390/buildings12040398
Uche OA, Kelechi SE, Adamu M, Ibrahim YE, Alanazi H, Okokpujie IP. Modelling and Optimizing the Durability Performance of Self Consolidating Concrete Incorporating Crumb Rubber and Calcium Carbide Residue Using Response Surface Methodology. Buildings. 2022; 12(4):398. https://doi.org/10.3390/buildings12040398
Chicago/Turabian StyleUche, Okorie Austine, Sylvia E. Kelechi, Musa Adamu, Yasser E. Ibrahim, Hani Alanazi, and Imhade P. Okokpujie. 2022. "Modelling and Optimizing the Durability Performance of Self Consolidating Concrete Incorporating Crumb Rubber and Calcium Carbide Residue Using Response Surface Methodology" Buildings 12, no. 4: 398. https://doi.org/10.3390/buildings12040398
APA StyleUche, O. A., Kelechi, S. E., Adamu, M., Ibrahim, Y. E., Alanazi, H., & Okokpujie, I. P. (2022). Modelling and Optimizing the Durability Performance of Self Consolidating Concrete Incorporating Crumb Rubber and Calcium Carbide Residue Using Response Surface Methodology. Buildings, 12(4), 398. https://doi.org/10.3390/buildings12040398

