Parametric HBIM Procedure for the Structural Evaluation of Heritage Masonry Buildings
Abstract
1. Introduction
2. Materials and Methods
2.1. Traditional Workflow
- Historical analysis: gathering of accessible documents on the building’s history and identification of all remarkable modifications and interventions over the time leading up to the actual conditions;
- Cognitive analysis: in situ survey and photographic campaign to identify the actual construction status. The data obtained are utilized to setup the 3D architectural and structural representations of the building in an appropriate computer-aided design (CAD) software such as AutoCAD [44]. These representations can be directly given, in terms of a 3D model, or can be synthetized by means of 2D drawings, in terms of plans, elevations and suitable sections of the building;
- Mechanical characterization of the materials: inspections and in situ and laboratory tests are performed to evaluate mechanical properties of structural materials;
- Structural analysis and seismic vulnerability assessment: identification of the relevant structural elements in AutoCAD, load analysis and direct elaboration of E-PUSH input data table and setup of the Excel sheet. Seismic linear or non-linear static assessment in MATLAB environment [24] by means of the E-PUSH algorithm [6,7];
- Definition of strengthening interventions and re-assessment (if necessary: according to the outcomes of the abovementioned assessment, strengthening interventions are defined, and CAD model and the E-PUSH input data table are modified and updated accordingly. Finally, the effectiveness of the proposed interventions is checked, re-assessing the so-strengthened building.
2.2. Proposed HBIM Workflow
- Architectural Model in Archicad: for the architectural model of a building in Archicad, the data obtained from cognitive activity are employed. In this phase, geometric and cognitive data, photographs and documents that are obtained through historical analyses, surveys, investigations and experimental tests are added to each element of the model.
- Structural Model in Archicad: the architectural model is used as a reference for the structural model. The structure is converted into “morph” elements and divided into structural walls, lintels and masonry spandrels, while slabs, roofs and stairs are converted into “shell” elements. New user-defined structural data, such as mechanical characteristics and parameters connected with structural analysis, are created using Property and Classification Manager of Archicad and allocated to various structural model parts.
- Structural analysis in Grasshopper: Grasshopper-Archicad Live Connection tool enables the structural model to be analyzed using an appropriate algorithm with visual programming language (VPL). Grasshopper extracts all previously defined structural data, performing the additional user-specified codes required by the linear or non-linear structural analyses [6,7,8,9,10,11], as well as the assessment of the structural performance under non-seismic and seismic actions.
- Collection of analysis results in Archicad model: once the analyses are completed, the data from Grasshopper codes are gathered and transferred back to Archicad using the Live Connection tool. The structural elements are thus associated with their geometric characteristics, internal forces (axial force, shear forces, and in-plane and out-of-plane bending moments) and verification information.
3. Case Study: The Integrated Approach Applied to the “Bernardo Rucellai” School in Florence
3.1. Implementation of Information of the HBIM Model
- Starting from a historical documentary search and review about the building, geometric and structural surveys are performed first, supported by a photographic campaign.
- Subsequently, thanks to visual inspections and on-site tests, the masonry category, the stratigraphy of floors and the quality of connections between the structural elements are deduced.
- Once an adequate level of knowledge of the building is reached, an appropriate BIM model of the building is setup, making use of all acquired data, so achieving an ever more complete and in-depth level of detail.
3.1.1. Architectural Model: Historic and Cognitive Analysis
3.1.2. Structural Model: Mechanical Characterization and Analytical Data
- Mechanical characterization of materials: this refers to the structural walls and contains the mechanical parameters of the structural materials present in the building. The values of the mechanical parameters of different types of masonry are assessed and entered into the model from the average values suggested by the Italian Building Code, in combination with values from the literature [53] and values estimated from in situ tests and engineering judgement [52]. The values chosen are suitably associated with each masonry type. In this way, the values of the characteristics related to a wall are automatically updated by modifying the masonry types of that element.
- Floors characteristics: these refer to horizontal structural elements, such as floors, roofs and stairs, and include the stratigraphy of the element, the direction of the span and the category of use, according to the intended use of various rooms and compartments.
- Loads on the structure: these are applied to horizontal structural elements; depending on the stratigraphy of the floors, the values of the permanent loads G, imposed loads Q associated with a category of use and climatic actions are introduced in the model and defined for each element.
- Seismic parameters: these describe the seismic hazard associated to the site, and include peak ground acceleration, soil and topographic category and all the relevant parameters needed to define the acceleration response spectra.
3.2. Structural Analysis and Seismic Assessment
- non-seismic verifications, considering the fundamental combination of actions provided for ultimate limit states [14];
- linear static analysis, aiming to assess the seismic performance of each individual structural element under different failure criteria (diagonal shear, in-plane and out-of-plane bending) [14];
- non-linear static analysis, aiming to assess the seismic performance of the structure.
- a 3D non-linear global analysis, if the floor can be considered infinitely rigid;
- a set of 2D non-linear analyses considering aligned wall elements, provided that they are effectively connected at the floor level, when the floors are flexible in their plane.
3.2.1. Loads and Structural Analysis
3.2.2. Structural Assessment under Non-Seismic Actions
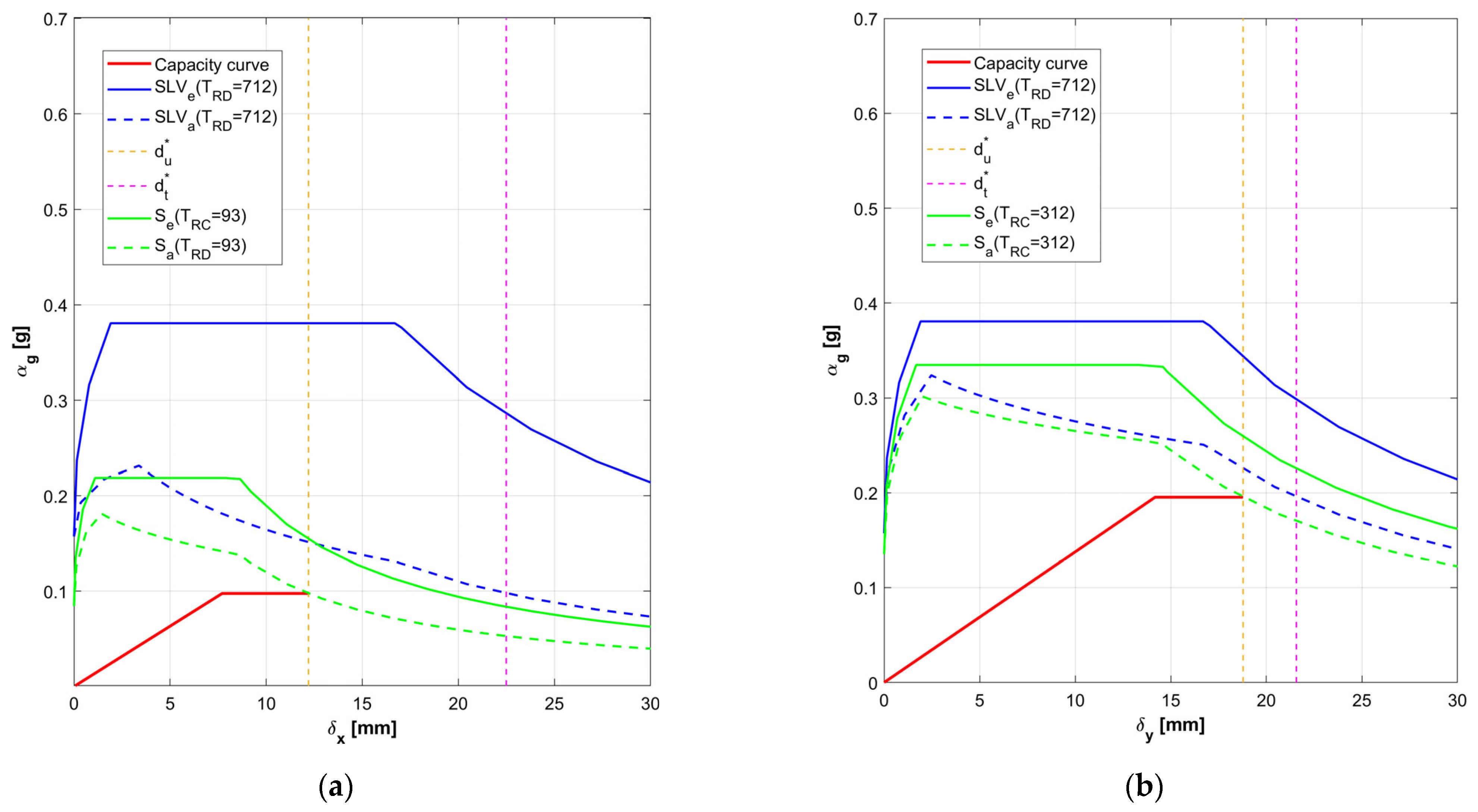
3.2.3. Seismic Assessment: Linear Static Analysis
- : fundamental period of the structure;
- : horizontal elastic response spectrum of the structure;
- : the seismic action acting perpendicularly to the wall.
3.2.4. Seismic Assessment: Non-Linear Static Analysis
- the wall is still in elastic phase ()
- the wall is in plastic range ()
- the wall is collapsed ()
3.3. Analysis Model: Collection of Analysis Results in Archicad
3.4. Updating of the HBIM Model: Strengthening Interventions
4. Discussion
5. Conclusions
Supplementary Materials
Author Contributions
Funding
Institutional Review Board Statement
Informed Consent Statement
Data Availability Statement
Conflicts of Interest
References
- International Council on Monuments and Sites (ICOMOS). International Charter for the Conservation and Restoration of Monuments and Sites (The Venice Charter 1964); ICOMOS: Charenton-le-Pont, France, 1965; Available online: https://www.icomos.org/charters/venice_e.pdf (accessed on 10 January 2022).
- International Council on Monuments and Sites (ICOMOS). Charter—Principles for the Analysis, Conservation and Structural Restoration of Architectural Heritage, the ICOMOS 14th General Assembly in Victoria Falls, Zimbabwe, in 2003; ICOMOS: Charenton-le-Pont, France, 2003; Available online: https://www.icomos.org/charters/structures_e.pdf (accessed on 10 January 2022).
- ICOMOS International Scientific Committee for Analysis and Restoration of Structures of Architectural Heritage (I.S.C.A.R.S.H.A.) Recommendations for the Analysis, Conservation and Structural Restoration of Architectural Heritage; ICOMOS: Charenton-le-Pont, France, 2003; Available online: http://orcp.hustoj.com/wp-content/uploads/2016/04/Recommendations-ICOMOS.pdf (accessed on 10 January 2022).
- International Council on Monuments and Sites (ICOMOS). Monuments and Sites I—International Charters for Conservation and Restoration, 2nd ed.; Petzet, M., Ed.; ICOMOS: Charenton-le-Pont, France, 2004; Available online: http://openarchive.icomos.org/id/eprint/431/1/Monuments_and_Sites_1_Charters.pdf (accessed on 10 January 2022).
- Croce, P. New Frontiers of Composites Applications in Heritage Buildings: Repair of Exposed Masonry of St. Nicola Church in Pisa. J. Compos. Sci. 2021, 5, 218. [Google Scholar] [CrossRef]
- Croce, P.; Landi, F.; Formichi, P. Probabilistic Seismic Assessment of Existing Masonry Buildings. Buildings 2019, 9, 237. [Google Scholar] [CrossRef]
- Beconcini, M.L.; Cioni, P.; Croce, P.; Formichi, P.; Landi, F.; Mochi, C. Non-linear static analysis of masonry buildings under seismic actions. In Proceedings of the IMSCI 2018—12th International Multi-Conference on Society, Cybernetics and Informatics, Orlando, FL, USA, 8–11 July 2018; pp. 126–131, ISBN 978-194176385-8. Available online: http://www.iiisci.org/Journal/CV$/sci/pdfs/EA239AY18.pdf (accessed on 10 January 2022).
- Croce, P.; Beconcini, M.L.; Formichi, P.; Cioni, P.; Landi, F.; Mochi, C.; Giuri, R. Influence of mechanical parameters on non-linear static analysis of masonry buildings: A relevant case-study. Procedia Struct. Integr. 2018, 11, 331–338. [Google Scholar] [CrossRef]
- Croce, P.; Landi, F.; Formichi, P.; Beconcini, M.L.; Puccini, B.; Zotti, V. Non-linear methods for the assessment of seismic vulnerability of masonry historical buildings. In Proceedings of the 4th International Conference on Protection of Historical Constructions, Athens, Greece, 25–27 October 2021; Vaias, I., Mazzolani, F.M., Eds.; Springer Nature Switzerland: Cham, Switzerland, 2021; pp. 651–670. [Google Scholar] [CrossRef]
- Croce, P.; Landi, F.; Martino, M.; Puccini, B. An integrated BIM methodology for the seismic assessment of masonry buildings. In Proceedings of the IABSE Symposium, Wroclaw 2020: Sinergy of Culture and Civil Engineering-History and Challenges, Wroclaw, Poland, 20–22 May 2020; IABSE: Zurich, Switzerland, 2020; pp. 967–974, ISBN 978-385748169-7. [Google Scholar]
- Croce, P.; Landi, F.; Martino, M.; Puccini, B.; Maneo, A. Parametric Approach in BIM Environment for the Assessment of Ex-isting Masonry Buildings. In Proceedings of the IABSE Congress Ghent 2021: Structural Engineering for Future Societal Needs, Ghent, Belgium, 22–24 September 2021; IABSE: Zurich, Switzerland, 2021. [Google Scholar]
- EN1998-3; Eurocode 8: Design of Structures for Earthquake Resistance—Part 3: Assessment and Retrofitting of Buildings. CEN: Brussels, Belgium, 2005.
- International Organization for Standardization (ISO). ISO 13822 Bases for Design of Structures—Assessment of Existing Structures; ISO: Geneva, Switzerland, 2010. [Google Scholar]
- Italian Ministry of Infrastructure and Transport. NTC 2018-Italian Building Code; Istituto Poligrafico e Zecca dello Stato: Rome, Italy, 2018. (In Italian) [Google Scholar]
- Italian Public Works Council. Guidelines for Application of Italian Building Code; Istituto Poligrafico e Zecca dello Stato: Rome, Italy, 2019. (In Italian) [Google Scholar]
- Italian Public Works Council. Guidelines for the Evaluation and Reduction of Seismic Risk of Cultural Heritage with Reference to the Italian Building Code; Istituto Poligrafico e Zecca dello Stato: Rome, Italy, 2006. (In Italian) [Google Scholar]
- Giresini, L.; Taddei, F.; Solarino, F.; Mueller, G.; Croce, P. Influence of Stiffness and Damping Parameters of Passive Seismic Control Devices in One-Sided Rocking of Masonry Walls. J. Struct. Eng. 2022, 148, 04021257. [Google Scholar] [CrossRef]
- Giresini, L.; Croce, P. Reduction of Housner’s Coefficient of Restitution for Masonry Walls under One-Sided Rocking. In Proceedings of the 8th Int. Conf. on Computational Methods in Structural Dynamics and Earthquake Engineering, COMPDYN 2021, Athens, Greece, 28–30 June 2021; National Technical University: Athens, Greece, 2021; Volume 1, pp. 702–715. [Google Scholar]
- Solarino, F.; Giresini, L.; Croce, P. Influence of the Elasto-Plastic Behavior of Tie-Rods in the Response of Rocking Masonry Walls through Seismic Demand Hazard Curves. In Proceedings of the 8th Int. Conf. on Computational Methods in Structural Dynamics and Earthquake Eng, COMPDYN 2021, Athens, Greece, 28–30 June 2021; National Technical University: Athens, Greece, 2021; Volume 1, pp. 664–681. [Google Scholar]
- Marques, R.; Lourenco, P. Possibilities and comparison of structural component models for the seismic assessment of modern unreinforced masonry buildings. Comput. Struct. 2011, 89, 2079–2091. [Google Scholar] [CrossRef]
- Tomažević, M. Improvement of Computer Program POR; ZRMK-IK Report; Building and Civil Engineering Institute: Ljubljana, Slovenia, 1978. (In Slovene) [Google Scholar]
- Turnšek, V.; Ĉaĉoviĉ, F. Some experimental results on the strength of brick masonry walls. In Proceedings of the 2nd Intern. Brick Masonry Conference, Stoke-on-Trent, UK, 12–15 April 1970; British Ceramic Research Association: Stoke-on-Trent, UK, 1971; pp. 149–156. [Google Scholar]
- Fajfar, P. A Nonlinear Analysis Method for Performance-Based Seismic Design. Earthq. Spectra 2000, 16, 573–592. [Google Scholar] [CrossRef]
- MathWorks Matlab. Available online: https://it.mathworks.com/products/matlab.html (accessed on 10 January 2022).
- López, F.J.; Lerones, P.M.; Llamas, J.; Gómez-García-Bermejo, J.; Zalama, E. A review of heritage building information modeling (H-BIM). Multimodal Technol. Interact. 2018, 2, 21. [Google Scholar] [CrossRef]
- Volk, R.; Stengel, J.; Schultmann, F. Building Information Modeling (BIM) for existing buildings—Literature review and future needs. Autom. Constr. 2014, 38, 109–127. [Google Scholar] [CrossRef]
- Khaddaj, M.; Srour, I. Using BIM to Retrofit Existing Buildings. Procedia Eng. 2016, 145, 1526–1533. [Google Scholar] [CrossRef]
- Kamaruzaman, N.U.S.N. Historic Building Information Modelling (Hbim): A Review. In Carving the Future Built Environment: Environmental, Economic and Social Resilience; Wahid, P.A.J., Aziz Abdul Samad, P.I.D.A., Sheikh Ahmad, P.D.S., Pujinda, A.P.D.P., Eds.; Future Academy: Nicosia, Cyprus, 2020; Volume 2, pp. 587–594. [Google Scholar] [CrossRef]
- Jordan-Palomar, I.; Tzortzopoulos, P.; García-Valldecabres, J.; Pellicer, E. Protocol to Manage Heritage-Building Interventions Using Heritage Building Information Modelling (HBIM). Sustainability 2018, 10, 908. [Google Scholar] [CrossRef]
- Moyano, J.; Gil-Arizón, I.; Nieto-Julián, J.E.; Marín-García, D. Analysis and management of structural deformations through parametric models and HBIM workflow in architectural heritage. J. Build. Eng. 2021, 45, 103274. [Google Scholar] [CrossRef]
- International Organization for Standardization (ISO). ISO 12491 Information and Documentation—A Reference Ontology for the Interchange of Cultural Heritage Information; ISO: Geneva, Switzerland, 2014. [Google Scholar]
- Murphy, M.; McGovern, E.; Pavia, S. Historic building information modelling (HBIM). Struct. Surv. 2009, 27, 311–327. [Google Scholar] [CrossRef]
- Sacks, R.; Eastman, C.; Lee, G.; Teicholz, P. BIM Handbook: A Guide to Building Information Modeling for Owners, Designers, Engineers, Contractors, and Facility Managers, 3rd ed.; John Wiley & Sons, Inc.: Hoboken, NJ, USA, 2018. [Google Scholar] [CrossRef]
- Wong, J.; Yang, J. Research and Application of Building Information Modelling (BIM) in the Architecture, Engineering and Construction (AEC) Industry: A Review and Direction for Future Research. In Proceedings of the 6th International Conference on Innovation in Architecture, Engineering & Construction (AEC), University Park, PA, USA, 9–11 June 2010; Loughborough University: Loughborough, UK, 2010; pp. 356–365. [Google Scholar]
- NBIMS-US V3. National BIM Standard—United States Version 3; National Institute of Building Sciences: Washington, DC, USA, 2015. [Google Scholar]
- Croce, V.; Caroti, G.; De Luca, L.; Jacquot, K.; Piemonte, A.; Véron, P. From the Semantic Point Cloud to Heritage-Building Information Modeling: A Semiautomatic Approach Exploiting Machine Learning. Remote Sens. 2021, 13, 461. [Google Scholar] [CrossRef]
- Di Stefano, F.; Gorreja, A.; Malinverni, E.S.; Mariotti, C. Knowledge modeling for heritage conservation process: From survey to hbim implementation. ISPRS Int. Arch. Photogramm. Remote Sens. Spat. Inf. Sci. 2020, XLIV-4, 19–26. [Google Scholar] [CrossRef]
- Scianna, A.; Gaglio, G.F.; La Guardia, M. Acquisition and management of historical buildings data: From survey to the con-struction of the HBIM model. Boll. SIFET Sez. Sci. 2019, 4, 1–9. (In Italian) [Google Scholar]
- Pelliccio, A.; Grande, E.; Saccucci, M. HT_BIM: Parametric modelling for the assessment of risk in historic centers. Disegnarecon 2017, 18, 10. [Google Scholar]
- Bienvenido-Huertas, D.; Nieto-Julián, J.E.; Moyano, J.J.; Macías-Bernal, J.M.; Castro, J. Implementing Artificial Intelligence in H-BIM Using the J48 Algorithm to Manage Historic Buildings. Int. J. Arch. Herit. 2019, 14, 1148–1160. [Google Scholar] [CrossRef]
- Domaneschi, M.; Villa, V.; Cimellaro, G.P.; Caldera, C.; Noori, A.Z.; Marasco, S.; Ansari, F. Integrating Bim with On Site Investigation for Seismic Vulnerability Assessment. In Proceedings of the 7th ECCOMAS Thematic Conference on Computational Methods in Structural Dynamics and Earthquake Engineering, COMPDYN 2019, Crete, Greece, 24–26 June 2019; National Technical University: Athens, Greece, 2019; pp. 544–553. [Google Scholar] [CrossRef][Green Version]
- Mondello, A.; Garozzo, R.; Salemi, A.; Santagati, C. Hbim for the seismic vulnerability assessment of traditional bell towers. ISPRS Int. Arch. Photogramm. Remote Sens. Spat. Inf. Sci. 2019, XLII-2/W15, 791–798. [Google Scholar] [CrossRef]
- Argiolas, R.; Cazzani, A.; Reccia, E.; Bagnolo, V. From lidar data towards hbim for structural evaluation. ISPRS Int. Arch. Photogramm. Remote Sens. Spat. Inf. Sci. 2019, XLII-2/W15, 125–132. [Google Scholar] [CrossRef]
- AUTODESK AutoCAD 2020. Available online: https://www.autodesk.it/products/autocad/ (accessed on 10 January 2022).
- Jouan, P.; Hallot, P. Digital Twin: Research Framework to Support Preventive Conservation Policies. ISPRS Int. J. Geo Inf. 2020, 9, 228. [Google Scholar] [CrossRef]
- Bagnolo, V.; Argiolas, R.; Cuccu, A. Hbim for archaeological sites: From sfm based survey to algorithmic modeling. ISPRS Int. Arch. Photogramm. Remote Sens. Spat. Inf. Sci. 2019, XLII-2/W9, 57–63. [Google Scholar] [CrossRef]
- Bagnolo, V.; Argiolas, R.; Cuccu, A. Digital survey and algorithmic modeling in hbim. Towards a library of complex construction elements. ISPRS Int. Arch. Photogramm. Remote Sens. Spat. Inf. Sci. 2019, XLII-4/W12, 25–31. [Google Scholar] [CrossRef]
- Andriasyan, M.; Moyano, J.; Nieto-Julián, J.E.; Antón, D. From Point Cloud Data to Building Information Modelling: An Automatic Parametric Workflow for Heritage. Remote Sens. 2020, 12, 1094. [Google Scholar] [CrossRef]
- Graphisoft Archicad 2019. Available online: https://www.graphisoft.com/Archicad/ (accessed on 10 January 2022).
- McNeel Europe Grasshopper—Algorithmic Modeling for Rhino. Available online: https://www.grasshopper3d.com/ (accessed on 28 January 2020).
- Rhinoceros [Computer Software] 2021. Available online: https://www.rhino3d.com (accessed on 8 December 2021).
- Croce, P.; Beconcini, M.L.; Formichi, P.; Landi, F.; Puccini, B.; Zotti, V. Bayesian Methodology for Probabilistic Description of Mechanical Parameters of Masonry Walls. ASCE-ASME J. Risk Uncertain. Eng. Syst. Part A Civ. Eng. 2021, 7, 04021008. [Google Scholar] [CrossRef]
- Croce, P.; Beconcini, M.L.; Formichi, P.; Cioni, P.; Landi, F.; Mochi, C.; De Lellis, F.; Mariotti, E.; Serra, I. Shear modulus of masonry walls: A critical review. Procedia Struct. Integr. 2018, 11, 339–346. [Google Scholar] [CrossRef]
- Beconcini, M.L.; Croce, P.; Formichi, P.; Landi, F.; Puccini, B. Experimental Evaluation of Shear Behavior of Stone Masonry Wall. Materials 2021, 14, 2313. [Google Scholar] [CrossRef]
- Croce, P.; Marsili, F.; Klawonn, F.; Formichi, P.; Landi, F. Evaluation of statistical parameters of concrete strength from secondary experimental test data. Constr. Build. Mater. 2018, 163, 343–359. [Google Scholar] [CrossRef]
- Croce, P.; Landi, F.; Formichi, P.; Beconcini, M.L.; Puccini, B.; Zotti, V. In Situ Tests Procedures for the Evaluation of Masonry Mechanical Parameters. In Proceedings of the 4th International Conference on Protection of Historical Constructions, Athens, Greece, 25–27 October 2021; Vaias, I., Mazzolani, F.M., Eds.; Springer Nature Switzerland: Cham, Switzerland, 2021; pp. 20–33. [Google Scholar]
- EN1996-1-1; Eurocode 6: Design of Masonry Structures—Part 1-1: General Rules for Reinforced and Unreinforced Masonry Structures. CEN: Brussels, Belgium, 2005.















| Traditional Workflow | Proposed BIM Workflow | |
|---|---|---|
| Historical analysis | Collection of historical documentation of the building. | Architectural Model in Archicad collection of historical documentation of the building.  | 
| Cognitive analysis | In situ survey and photo campaign. Development of the 3D representation of the building in a suitable CAD program, such as AutoCAD.  | Architectural Model in Archicad Development of a suitable BIM model using traditional and advanced survey techniques of relevant information in BIM.  | 
| Mechanical characterization of materials | Investigation and tests in situ or in laboratory. Identification of the structural elements and materials from CAD drawings.  | Structural Model in Archicad: collection of structural parameters.  | 
| Structural analysis | Definition of the 3D structural model. Load analysis and data table on Excel. Linear and non-linear static analysis on E-PUSH.  | Structural analysis in Grasshopper and analysis results in Archicad. Load analysis, vertical loads analysis, linear and a non-linear static analysis.  | 
| Proposal of strengthening interventions | Post-intervention status of the building. Updating of the data table and new analysis on E-PUSH.  | Post-intervention status of the building. Updating of the model in Archicad and new analysis in Grasshopper via E-PUSH.  | 
| Publisher’s Note: MDPI stays neutral with regard to jurisdictional claims in published maps and institutional affiliations. | 
© 2022 by the authors. Licensee MDPI, Basel, Switzerland. This article is an open access article distributed under the terms and conditions of the Creative Commons Attribution (CC BY) license (https://creativecommons.org/licenses/by/4.0/).
Share and Cite
Croce, P.; Landi, F.; Puccini, B.; Martino, M.; Maneo, A. Parametric HBIM Procedure for the Structural Evaluation of Heritage Masonry Buildings. Buildings 2022, 12, 194. https://doi.org/10.3390/buildings12020194
Croce P, Landi F, Puccini B, Martino M, Maneo A. Parametric HBIM Procedure for the Structural Evaluation of Heritage Masonry Buildings. Buildings. 2022; 12(2):194. https://doi.org/10.3390/buildings12020194
Chicago/Turabian StyleCroce, Pietro, Filippo Landi, Benedetta Puccini, Massimiliano Martino, and Alessio Maneo. 2022. "Parametric HBIM Procedure for the Structural Evaluation of Heritage Masonry Buildings" Buildings 12, no. 2: 194. https://doi.org/10.3390/buildings12020194
APA StyleCroce, P., Landi, F., Puccini, B., Martino, M., & Maneo, A. (2022). Parametric HBIM Procedure for the Structural Evaluation of Heritage Masonry Buildings. Buildings, 12(2), 194. https://doi.org/10.3390/buildings12020194
 
         
                                                



 
       