Using Optimization Algorithms-Based ANN to Determine the Temperatures in Timber Exposed to Fire for a Long Duration
Abstract
1. Introduction
2. Background
2.1. Temperatures in Timber under Fire Exposure
2.2. Artificial Neural Networks
2.3. Bat Algorithm
- ➢
- Bats employ echolocation and can discriminate between prey and the environment.
- ➢
- At each given position xi, they fly randomly with velocity vi and modify their pulse emission rate in response to the prey’s location.
- ➢
- The emitted pulse has a loudness that varies from A0 to a minimum value of Amin.
2.4. Genetic Algorithm (GA)
2.5. Performance Measures
3. Methods and Materials
3.1. Dataset
3.2. Artificial Neural Network Combined with Genetic Algorithm
3.3. Artificial Neural Network Combined with Bat Algorithm
3.4. Comparing All the Models and Choosing the Best Model
4. Conclusions
Author Contributions
Funding
Institutional Review Board Statement
Informed Consent Statement
Data Availability Statement
Conflicts of Interest
References
- Cachim, P. ANN Prediction of Fire Temperature in Timber. J. Struct. Fire Eng. 2019, 10, 233–244. [Google Scholar] [CrossRef]
- Cachim, P.B.; Franssen, J.-M. Numerical Modelling of Timber Connections under Fire Loading Using a Component Model. Fire Saf. J. 2009, 44, 840–853. [Google Scholar] [CrossRef]
- EN 1995-1-2:2004; Eurocode 5: Design of Timber Structures–Part 1–2: General–Structural Fire Design. CEN: Brussels, Belgium, 2004.
- Cachim, P.B. Using Artificial Neural Networks for Calculation of Temperatures in Timber under Fire Loading. Constr. Build. Mater. 2011, 25, 4175–4180. [Google Scholar] [CrossRef]
- Lineham, S.A.; Thomson, D.; Bartlett, A.I.; Bisby, L.A.; Hadden, R.M. Structural Response of Fire-Exposed Cross-Laminated Timber Beams under Sustained Loads. Fire Saf. J. 2016, 85, 23–34. [Google Scholar] [CrossRef]
- Buchanan, A.H. Fire Performance of Timber Construction. Prog. Struct. Eng. Mater. 2000, 2, 278–289. [Google Scholar] [CrossRef]
- Fragiacomo, M.; Menis, A.; Moss, P.J.; Clemente, I.; Buchanan, A.H.; De Nicolo, B. Predicting the Fire Resistance of Timber Members Loaded in Tension. Fire Mater. 2013, 37, 114–129. [Google Scholar] [CrossRef]
- Schmid, J.; Frangi, A. Structural Timber in Compartment Fires–The Timber Charring and Heat Storage Model. Open Eng. 2021, 11, 435–452. [Google Scholar] [CrossRef]
- Naser, M.Z. Fire Resistance Evaluation through Artificial Intelligence-A Case for Timber Structures. Fire Saf. J. 2019, 105, 1–18. [Google Scholar] [CrossRef]
- Audebert, M.; Dhima, D.; Bouchaïr, A. Proposal for a New Formula to Predict the Fire Resistance of Timber Connections. Eng. Struct. 2020, 204, 110041. [Google Scholar] [CrossRef]
- Bai, Y.; Zhang, J.; Shen, H. Experimental and Numerical Analysis of Residual Load-Carrying Capacity of Cross-Laminated Timber Walls after Fire. Structures 2021, 30, 50–61. [Google Scholar] [CrossRef]
- Szász, A.; Hlavička, V.; Lublóy, É.; Biró, A. Numerical Modelling of the Fire Resistance of Double Sheared Steel-to-Timber Connections. J. Build. Eng. 2021, 37, 102150. [Google Scholar] [CrossRef]
- Tran, T.T.; Thi, V.-D.; Oudjene, M.; Khelifa, M.; Girods, P.; Debal, M.; Rogaume, Y.; Jannot, Y. Fire Structural Performance of Thermo-Mechanically Compressed Spruce Timber by Means Experiments and a Three-Step Multi-Reactions Pyrolysis 3D-Finite Element Modelling. Constr. Build. Mater. 2022, 320, 126100. [Google Scholar] [CrossRef]
- Thi, V.D.; Khelifa, M.; Oudjene, M.; El Ganaoui, M.; Rogaume, Y. Finite Element Analysis of Heat Transfer through Timber Elements Exposed to Fire. Eng. Struct. 2017, 143, 11–21. [Google Scholar] [CrossRef]
- Gernay, T. Fire Resistance and Burnout Resistance of Timber Columns. Fire Saf. J. 2021, 122, 103350. [Google Scholar] [CrossRef]
- Palma, P.; Frangi, A. Modelling the Fire Resistance of Steel-to-Timber Dowelled Connections Loaded Perpendicularly to the Grain. Fire Saf. J. 2019, 107, 54–74. [Google Scholar] [CrossRef]
- Bedon, C.; Fragiacomo, M. Experimental and Numerical Analysis of In-Plane Compressed Unprotected Log-Haus Timber Walls in Fire Conditions. Fire Saf. J. 2019, 107, 89–103. [Google Scholar] [CrossRef]
- Thi, V.D.; Khelifa, M.; Oudjene, M.; El Ganaoui, M.; Rogaume, Y. Numerical Simulation of Fire Integrity Resistance of Full-Scale Gypsum-Faced Cross-Laminated Timber Wall. Int. J. Therm. Sci. 2018, 132, 96–103. [Google Scholar] [CrossRef]
- Young, S.A.; Clancy, P. Structural Modelling of Light-Timber Framed Walls in Fire. Fire Saf. J. 2001, 36, 241–268. [Google Scholar] [CrossRef]
- Khademi, F.; Jamal, S.M.; Deshpande, N.; Londhe, S. Predicting Strength of Recycled Aggregate Concrete Using Artificial Neural Network, Adaptive Neuro-Fuzzy Inference System and Multiple Linear Regression. Int. J. Sustain. Built Environ. 2016, 5, 355–369. [Google Scholar] [CrossRef]
- Nikoo, M.; Hafeez, G. Artificial Neural Network Combined with Grey Wolf Optimizer for Period Determination of Light-Frame Wood Buildings. In Proceedings of the 7th International Conference on Architecture, Materials and Construction, Lisbon, Portugal, 27–29 October 2021; Mendonça, P., Cortiços, N.D., Eds.; Springer International Publishing: Cham, The Netherlands, 2022; pp. 213–222. [Google Scholar]
- Deshpande, N.; Londhe, S.; Kulkarni, S. Modeling Compressive Strength of Recycled Aggregate Concrete by Artificial Neural Network, Model Tree and Non-Linear Regression. Int. J. Sustain. Built Environ. 2014, 3, 187–198. [Google Scholar] [CrossRef]
- Aalimahmoody, N.; Bedon, C.; Hasanzadeh-Inanlou, N.; Hasanzade-Inallu, A.; Nikoo, M. BAT Algorithm-Based ANN to Predict the Compressive Strength of Concrete—A Comparative Study. Infrastructures 2021, 6, 80. [Google Scholar] [CrossRef]
- Jun, L.; Liheng, L.; Xianyi, W. A Double-Subpopulation Variant of the Bat Algorithm. Appl. Math. Comput. 2015, 263, 361–377. [Google Scholar] [CrossRef]
- Yang, X.S. Nature-Inspired Optimization Algorithms; Academic Press: Cambridge, MA, USA, 2014; ISBN 9780124167438. [Google Scholar]
- Dehghani, H.; Bogdanovic, D. Copper Price Estimation Using Bat Algorithm. Resour. Policy 2018, 55, 55–61. [Google Scholar] [CrossRef]
- Islam, T.; Ruhin, M.E.I.; Raihan, M. An Analysis of Foraging and Echolocation Behavior of Swarm Intelligence Algorithms in Optimization: ACO, BCO and BA. Int. J. Intell. Sci. 2018, 8, 82211. [Google Scholar] [CrossRef][Green Version]
- Nikoo, M.; Zarfam, P.; Sayahpour, H. Determination of Compressive Strength of Concrete Using Self Organization Feature Map (SOFM). Eng. Comput. 2015, 31, 113–121. [Google Scholar] [CrossRef]
- Sadowski, L.; Nikoo, M. Corrosion Current Density Prediction in Reinforced Concrete by Imperialist Competitive Algorithm. Neural Comput. Appl. 2014, 25, 1627–1638. [Google Scholar] [CrossRef]
- Li, J.; Heap, A.D. A Review of Spatial Interpolation Methods for Environmental Scientists; Geoscience Australia: Canberra, Australia, 2008; ISBN 9781921498305.
- Keshtegar, B.; Ozbakkaloglu, T.; Gholampour, A. Modeling the Behavior of FRP-Confined Concrete Using Dynamic Harmony Search Algorithm. Eng. Comput. 2017, 33, 415–430. [Google Scholar] [CrossRef]
- Franssen, J.-M. SAFIR: A Thermal/Structural Program for Modeling Structures under Fire. Eng. J. 2005, 42, 143–150. [Google Scholar]
- Cachim, P.B.; Franssen, J.-M. Comparison between the Charring Rate Model and the Conductive Model of Eurocode 5. Fire Mater. 2009, 33, 129–143. [Google Scholar] [CrossRef]
- Tosee, S.V.; Faridmehr, I.; Bedon, C.; Sadowski, Ł.; Aalimahmoody, N.; Nikoo, M.; Nowobilski, T. Metaheuristic Prediction of the Compressive Strength of Environmentally Friendly Concrete Modified with Eggshell Powder Using the Hybrid ANN-SFL Optimization Algorithm. Materials 2021, 14, 6172. [Google Scholar] [CrossRef]
- Géron, A. Hands-On Machine Learning with Scikit-Learn and TensorFlow: Concepts, Tools, and Techniques to Build Intelligent Systems; O′Reilly Media, Inc.: Sebastopol, CA, USA, 2017. [Google Scholar]
- Bowden, G.J.; Dandy, G.C.; Maier, H.R. Input Determination for Neural Network Models in Water Resources Applications. Part 1—Background and Methodology. J. Hydrol. 2005, 301, 75–92. [Google Scholar] [CrossRef]











| Parameter | Abbreviation | Unit | Type | Max | Min | STD | Average | Mode |
|---|---|---|---|---|---|---|---|---|
| The timber density | Input | 800.0 | 350.0 | 169.7 | 550.7 | 800.0 | ||
| The size of the cross section | mm | Input | 300.0 | 120.0 | 71.5 | 199.4 | 120.0 | |
| mm | Input | 300.0 | 120.0 | 73.1 | 250.8 | 300.0 | ||
| Time | t | s | Input | 3600.0 | 1500.0 | 684.1 | 2540.0 | 2700.0 |
| The coordinates of the point within the cross section | mm | Input | 150.0 | 0.0 | 36.6 | 49.9 | 0.0 | |
| mm | Input | 150.0 | 0.0 | 42.9 | 62.7 | 60.0 | ||
| Temperature | Temp | °C | Output | 945.2 | 20.0 | 360.1 | 416.5 | 20.0 |
| No | Hidden Layer 1 | Hidden Layer 2 | Hidden Activations | Output Activation | No | Hidden Layer 1 | Hidden Layer 2 | Hidden Activation | Output Activation |
|---|---|---|---|---|---|---|---|---|---|
| 1 | 7 | 6 | TANSIG | PURELIN | 11 | 5 | 4 | TANSIG | PURELIN |
| 2 | 7 | 5 | TANSIG | TANSIG | 12 | 5 | 3 | TANSIG | TANSIG |
| 3 | 7 | 4 | POSLIN | PURELIN | 13 | 4 | 6 | POSLIN | PURELIN |
| 4 | 7 | 3 | LOGSIG | PURELIN | 14 | 4 | 5 | LOGSIG | PURELIN |
| 5 | 6 | 6 | PURELIN | PURELIN | 15 | 4 | 4 | PURELIN | PURELIN |
| 6 | 6 | 5 | TANSIG | PURELIN | 16 | 4 | 3 | TANSIG | PURELIN |
| 7 | 6 | 4 | TANSIG | TANSIG | 17 | 3 | 6 | TANSIG | TANSIG |
| 8 | 6 | 3 | POSLIN | PURELIN | 18 | 3 | 5 | POSLIN | PURELIN |
| 9 | 5 | 6 | LOGSIG | PURELIN | 19 | 3 | 4 | LOGSIG | PURELIN |
| 10 | 5 | 5 | PURELIN | PURELIN | 20 | 3 | 3 | PURELIN | PURELIN |
| Parameter | Value | Parameter | Value |
|---|---|---|---|
| Crossover (%) | 50 | Max generations | 150 |
| Crossover method | single-point | Recombination (%) | 15 |
| Lower bound | −1 | Selection Mode | 1 |
| Upper bound | +1 | Population Size | 150 |
| Model | Train | Test | ||||||
|---|---|---|---|---|---|---|---|---|
| MAE | AAE | R2 | y = ax + b | MAE | AAE | R2 | y = ax + b | |
| GA-ANN 2L(7-6) | 8.89 | 0.057 | 0.9985 | y = 0.9989x + 0.4065 | 9.13 | 0.058 | 0.9985 | y = 0.9984x + 0.6274 |
| GA-ANN 2L(7-3) | 8.20 | 0.048 | 0.9987 | y = 0.9995x + 0.0775 | 8.17 | 0.051 | 0.9989 | y = 0.9968x + 1.5171 |
| GA-ANN 2L(6-5) | 7.58 | 0.078 | 0.9990 | y = 0.9988x + 0.5182 | 7.05 | 0.065 | 0.9991 | y = 0.9994x + 0.1171 |
| Hyperparameter | Value | Hyperparameter | Value |
|---|---|---|---|
| Population Total | 100 | Max Generations | 200 |
| Loudness | 0.9 | Pulse Rate | 0.5 |
| Min Freq. | 0 | Max Freq. | 2 |
| Alpha | 0.99 | Gamma | 0.01 |
| Model | Train | Test | ||||||
|---|---|---|---|---|---|---|---|---|
| MAE | AAE | R2 | y = ax + b | MAE | AAE | R2 | y = ax + b | |
| BA-ANN 2L(7-6) | 7.29 | 0.064 | 0.9990 | y = 0.999x + 0.3987 | 7.40 | 0.062 | 0.9990 | y = 0.9989x + 0.347 |
| BA-ANN 2L(7-5) | 6.71 | 0.040 | 0.9991 | y = 0.9982x + 0.8113 | 6.77 | 0.040 | 0.9991 | y = 0.9979x + 0.9512 |
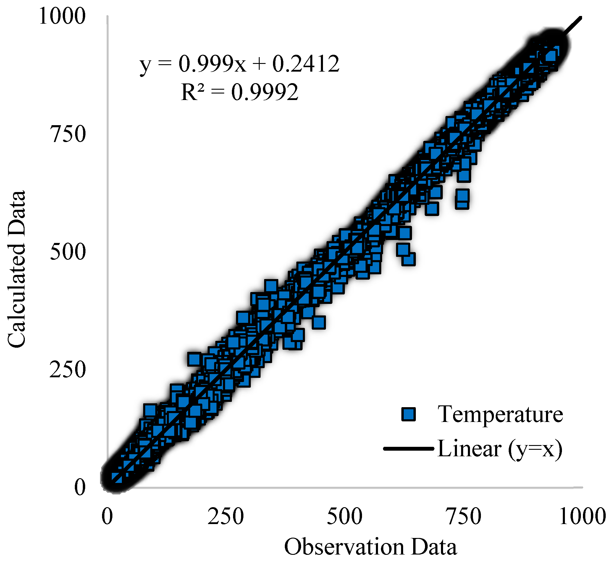
| BA-ANN 2L(6-4) | 6.18 | 0.034 | 0.9992 | y = 0.9992x + 0.2432 | 6.32 | 0.035 | 0.9992 | y = 0.999x + 0.2412 |
| Model | All Dataset | |||
|---|---|---|---|---|
| MAE | AAE | R2 | y = ax + b | |
| GA-ANN 2L(7-6) | 8.96 | 0.058 | 0.9985 | y = 0.9984x + 0.6274 |
| GA-ANN 2L(7-3) | 8.19 | 0.049 | 0.9988 | y = 0.9987x + 0.5045 |
| GA-ANN 2L(6-5) | 7.42 | 0.074 | 0.9990 | y = 0.999x + 0.3993 |
| BA-ANN 2L(7-6) | 7.32 | 0.064 | 0.9990 | y = 0.999x + 0.3835 |
| BA-ANN 2L(7-5) | 6.73 | 0.040 | 0.9991 | y = 0.9981x + 0.8528 |
| BA-ANN 2L(6-4) | 6.22 | 0.035 | 0.9992 | y = 0.9992x + 0.2427 |
Publisher’s Note: MDPI stays neutral with regard to jurisdictional claims in published maps and institutional affiliations. |
© 2022 by the authors. Licensee MDPI, Basel, Switzerland. This article is an open access article distributed under the terms and conditions of the Creative Commons Attribution (CC BY) license (https://creativecommons.org/licenses/by/4.0/).
Share and Cite
Nikoo, M.; Hafeez, G.; Cachim, P. Using Optimization Algorithms-Based ANN to Determine the Temperatures in Timber Exposed to Fire for a Long Duration. Buildings 2022, 12, 2265. https://doi.org/10.3390/buildings12122265
Nikoo M, Hafeez G, Cachim P. Using Optimization Algorithms-Based ANN to Determine the Temperatures in Timber Exposed to Fire for a Long Duration. Buildings. 2022; 12(12):2265. https://doi.org/10.3390/buildings12122265
Chicago/Turabian StyleNikoo, Mehdi, Ghazanfarah Hafeez, and Paulo Cachim. 2022. "Using Optimization Algorithms-Based ANN to Determine the Temperatures in Timber Exposed to Fire for a Long Duration" Buildings 12, no. 12: 2265. https://doi.org/10.3390/buildings12122265
APA StyleNikoo, M., Hafeez, G., & Cachim, P. (2022). Using Optimization Algorithms-Based ANN to Determine the Temperatures in Timber Exposed to Fire for a Long Duration. Buildings, 12(12), 2265. https://doi.org/10.3390/buildings12122265

