Early-Age Properties Evaluation of Nano-Metakaolin Cement Paste Based on Electrochemical Impedance Spectroscopy
Abstract
1. Introduction
2. Experimental Procedures
2.1. Materials
2.2. Preparation of Cement Pastes
2.3. Testing Method
3. Results and Discussion
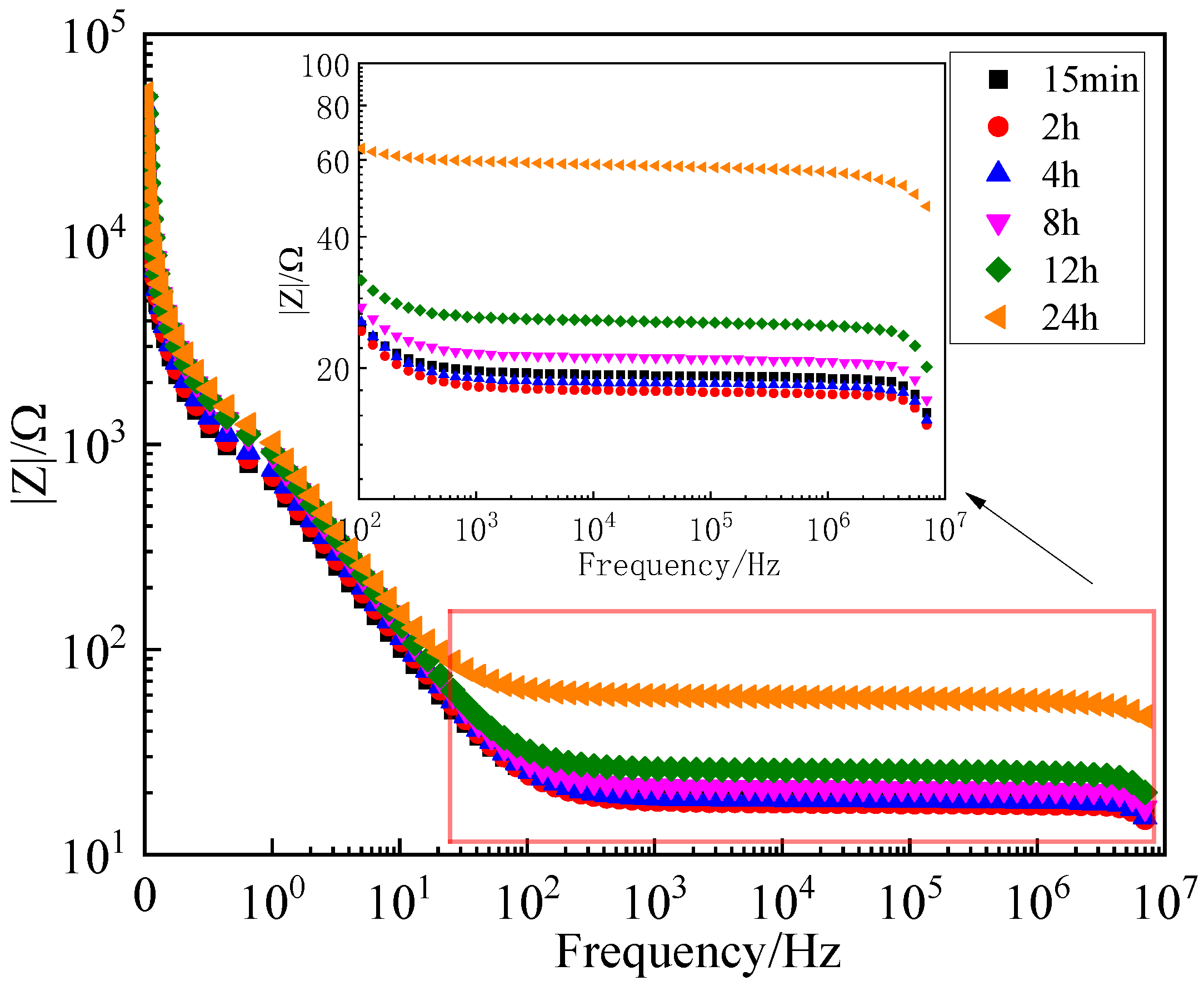
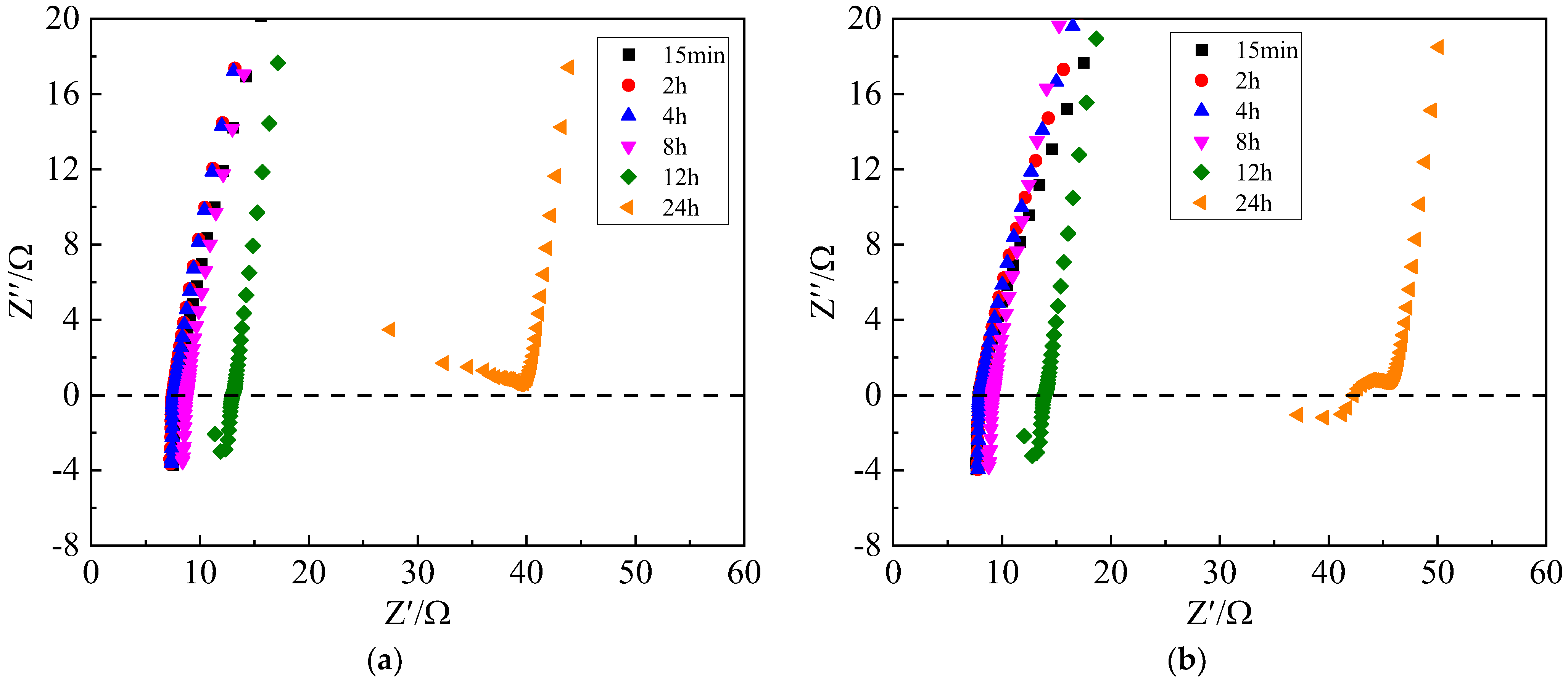
3.1. EIS of Ordinary Cement Paste
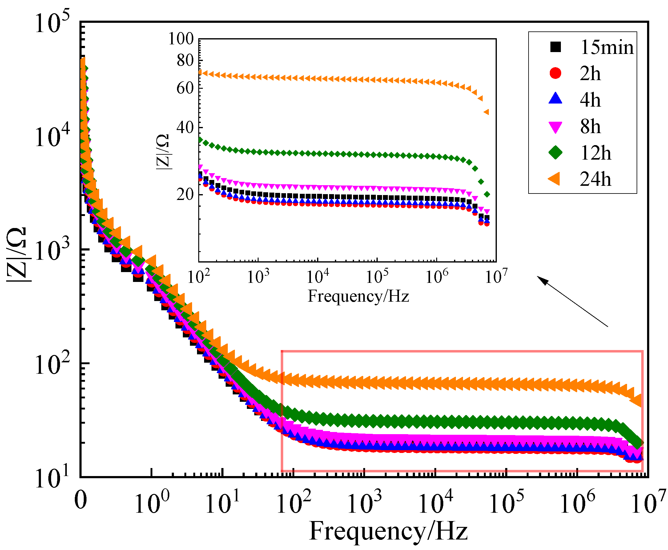
3.2. EIS of NMK Cement Paste
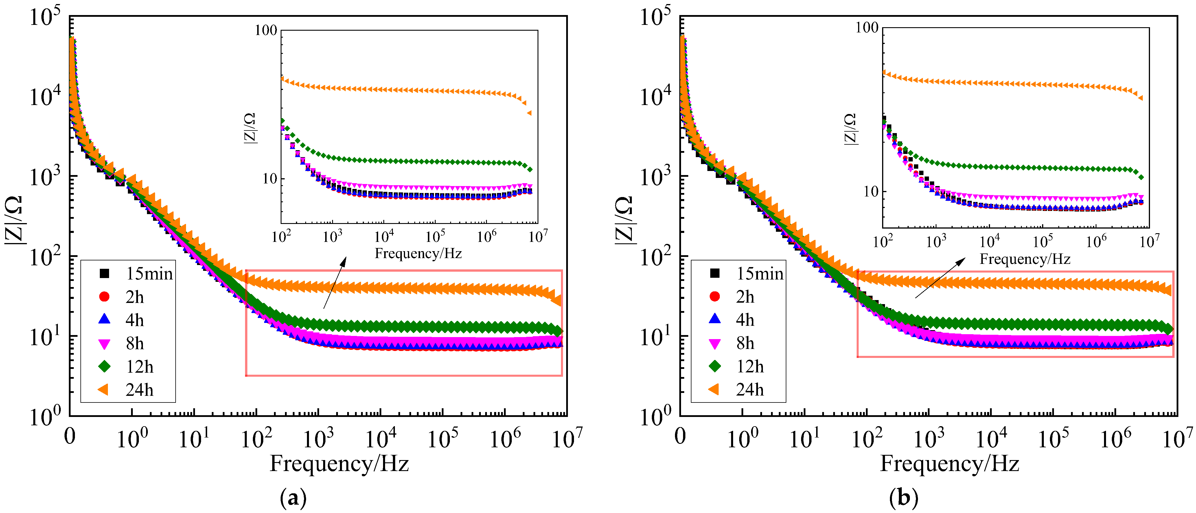
3.3. EIS of Cement Paste with the Addition of Superplasticizer
3.4. EIS of Cement Paste with the Addition of Chloride Ions
4. The Variation of Pore Solution Resistance and Impedance Modulus
5. Conclusions
Author Contributions
Funding
Data Availability Statement
Conflicts of Interest
References
- Ramezani, M.; Kim, Y.H.; Sun, Z.; Sherif, M.M. Influence of carbon nanotubes on properties of cement mortars subjected to alkali-silica reaction. Cem. Concr. Compos. 2022, 131, 104596. [Google Scholar] [CrossRef]
- He, X.; Shi, X. Chloride permeability and microstructure of Portland cement mortars incorporating nanomaterials. Transp. Res. Rec. 2008, 2070, 13–21. [Google Scholar] [CrossRef]
- Ramezani, M.; Dehghani, A.; Sherif, M.M. Carbon nanotube reinforced cementitious composites: A comprehensive review. Constr. Build. Mater. 2022, 315, 125100. [Google Scholar] [CrossRef]
- Fan, Y.F.; Zhang, S.Y.; Wang, Q.; Shah, S.P. The effects of nano-calcined kaolinite clay on cement mortar exposed to acid deposits. Constr. Build. Mater. 2016, 102, 486–495. [Google Scholar] [CrossRef]
- Madandoust, R.; Mousavi, S.Y. Fresh and hardened properties of self-compacting concrete containing metakaolin. Constr. Build. Mater. 2012, 35, 752–760. [Google Scholar] [CrossRef]
- Abo-El-Enein, S.A.; Amin, M.S.; El-Hosiny, F.I.; Hanafi, S.; ElSokkary, T.M.; Hazem, M.M. Pozzolanic and hydraulic activity of nano-metakaolin. HBRC J. 2014, 10, 64–72. [Google Scholar] [CrossRef]
- Morsy, M.S.; Shoukry, H.; Mokhtar, M.M.; Ali, A.M.; El-Khodary, S.A. Facile production of nano-scale metakaolin: An investigation into its effect on compressive strength, pore structure and microstructural characteristics of mortar. Constr. Build. Mater. 2018, 172, 243–250. [Google Scholar] [CrossRef]
- Shoukry, H.; Kotkata, M.F.; Abo-el-Enein, S.A.; Morsy, M. Flexural strength and physical properties of fiber reinforced nano metakaolin cementitious surface compound. Constr. Build. Mater. 2013, 43, 453–460. [Google Scholar] [CrossRef]
- Fan, Y.F.; Zhang, S.Y.; Kawashima, S.; Shah, S.P. Influence of kaolinite clay on the chloride diffusion property of cement-based materials. Cem. Concr. Compos. 2014, 45, 117–124. [Google Scholar] [CrossRef]
- Quanji, Z.; Lomboy, G.R.; Wang, K. Influence of nano-sized highly purified magnesium alumino silicate clay on thixotropic behavior of fresh cement pastes. Constr. Build. Mater. 2014, 69, 295–300. [Google Scholar] [CrossRef]
- Muhd, N.M.S.; Hamidah, M.S.; Mohd, F.A.; Bao, Y.; Guo, P.; Lyu, Z.; Abu-obeidah, A.; Nassif, H.; Wang, H. Inclusion of nano metakaolin as additive in ultra high performance concrete (UHPC). Constr. Build. Mater. 2016, 127, 167–175. [Google Scholar] [CrossRef]
- Dong, B.Q.; Gu, Z.T.; Qiu, Q.W.; Li, X.; Bai, X.; He, B.; Niu, S.; Sun, F. Electrochemical feature for chloride ion transportation in fly ash blended cementitious materials. Constr. Build. Mater. 2018, 161, 577–586. [Google Scholar] [CrossRef]
- Shi, M.; Chen, Z.; Sun, J. Determination of chloride diffusivity in concrete by AC impedance spectroscopy. Cem. Concr. Res. 1999, 29, 1111–1115. [Google Scholar] [CrossRef]
- Etteyeb, N.; Dhouibi, L.; Takenouti, H.; Triki, E. Protection of reinforcement steel corrosion by phenylphosphonic acid pre-treatment PART II: Tests in mortar medium. Cem. Concr. Compos. 2016, 65, 94–100. [Google Scholar] [CrossRef]
- Keddam, M.; Takenouti, H. Impedance measurements on cement paste. Cem. Concr. Res. 1997, 27, 1191–1201. [Google Scholar] [CrossRef]
- Cai, R.J.; He, Z.; Tang, S.W.; Wu, T.; Chen, E. The early hydration of metakaolin blended cements by non-contact impedance measurement. Cem. Concr. Compos. 2018, 92, 70–81. [Google Scholar] [CrossRef]
- Huang, T.J.; Yuan, Q.; Zuo, S.H.; Li, B.; Wu, Q.; Xie, Y. Evaluation of microstructural changes in fresh cement paste using AC impedance spectroscopy vs. oscillation rheology and 1H NMR relaxometry. Cem. Concr. Res. 2021, 149, 106556. [Google Scholar] [CrossRef]
- Hu, X.; Shi, C.J.; Liu, X.J.; Zhang, J.; de Schutter, G. A review on microstructural characterization of cement-based materials by AC impedance spectroscopy. Cem. Concr. Compos. 2019, 100, 1–14. [Google Scholar] [CrossRef]
- Song, G.L. Equivalent circuit model for AC electrochemical impedance spectroscopy of concrete. Cem. Concr. Res. 2000, 30, 1723–1730. [Google Scholar] [CrossRef]
- Dong, B.; Li, G.; Zhang, J.; Liu, Y.; Xing, F.; Hong, S. Non-destructive tracing on hydration feature of slag blended cement with electrochemical method. Constr. Build. Mater. 2017, 149, 467–473. [Google Scholar] [CrossRef]
- Huang, W.; Zhou, J.M.; Zhong, C.H.; Ma, X.X.; Fang, Y.H.; Ke, Y.L.; Wei, J.G. Effect of early-strength polycarboxylate superplasticizer on early hydration of reference cement. Bull. Chin. Ceram. Soc. 2022, 41, 1211–1221. [Google Scholar]
- Honorio, T.; Benboudjema, F.; Bore, T.; Ferhat, M.; Vourc’H, E. The pore solution of cement-based materials: Structure and dynamics of water and ions from molecular simulations. Phys. Chem. Chem. Phys. 2019, 21, 11111–11121. [Google Scholar] [CrossRef] [PubMed]
- Honorio, T.; Carasek, H.; Cascudo, O. May self-diffusion of ions computed from molecular dynamics explain the electrical conductivity of pore solutions in cement-based materials? Mater. Struct. 2020, 53, 1–13. [Google Scholar] [CrossRef]
- Honorio, T.; Thierry, B.; Benboudjema, F.; Vourc’h, E.; Ferhat, M. Dielectric properties of the pore solution in cement-based materials. J. Mol. Liq. 2020, 302, 112548. [Google Scholar] [CrossRef]
- Lothenbach, B.; le Saout, G.; Gallucci, E.; Scrivener, K.L. Influence of limestone on the hydration of Portland cements. Cem. Concr. Res. 2008, 38, 848–860. [Google Scholar] [CrossRef]
- Heikal, M.; Morsy, M.S.; Aiad, I. Effect of treatment temperature on the early hydration characteristics of superplasticized silica fume blended cement pastes. Cem. Concr. Res. 2005, 35, 680–687. [Google Scholar] [CrossRef]
- Gao, J.M.; Qian, C.X.; Wang, B.; Morino, K. Experimental study on properties of polymer-modified cement mortars with silica fume. Cem. Concr. Res. 2002, 32, 41–45. [Google Scholar] [CrossRef]
- Li, H.; Farzadnia, N.; Shi, C. The role of seawater in interaction of slag and silica fume with cement in low water-to-binder ratio pastes at the early age of hydration. Constr. Build. Mater. 2018, 185, 508–518. [Google Scholar] [CrossRef]
- Wang, C.L.; Liu, Z.P.; Zhang, T.T.; Zhang, Y.; Liu, Z.; Zhao, X. Influence of the Concentration of Seawater on the Early Hydration Properties of Calcium Sulphoaluminate (CSA) Cement: A Preliminary Study. Buildings 2021, 11, 243. [Google Scholar] [CrossRef]
- Cao, Y.Z.; Guo, L.P.; Chen, B.; Fei, X. Modeling early age hydration kinetics and the hydrated phase of cement paste blended with chloride and sulfate. Constr. Build. Mater. 2020, 261, 120537. [Google Scholar] [CrossRef]
- Juenger, M.C.G.; Monteiro, P.J.M.; Gartenr, E.M.; Denbeaux, G.P. A soft X-ray microscope investigation into the effects of calcium chloride on tricalcium silicate hydration. Cem. Concr. Res. 2005, 35, 19–25. [Google Scholar] [CrossRef]
- Cao, Z.Y.; Guo, L.P.; Xue, X.L. Effect of sodium chloride and sodium sulfate on hydration process. J. Southeast Univ. Nat. Sci. Ed. 2019, 49, 712–719. [Google Scholar]
- Shi, C.J.; Day, R.L. Pozzolanic reaction in the presence of chemical activators: Part I. Reaction kinetics. Cem. Concr. Res. 2000, 30, 51–58. [Google Scholar] [CrossRef]
- Zhang, Y.; Shi, M.L. Study of the hydration process of cement-based materials by AC impedance technique. J. Build. Mater. 2000, 2, 109–112. [Google Scholar]
- Zhang, G.F.; Wang, P.M. Study of hydration process of cement paste modified with hydroxyethyl methyl cellulose by AC impedance spectroscopy. J. Build. Mater. 2014, 17, 9–14. [Google Scholar]
- Lagier, F.; Kurtis, K.E. Influence of Portland cement composition on early age reactions with metakaolin. Cem. Concr. Res. 2007, 37, 1411–1417. [Google Scholar] [CrossRef]
- Reches, Y. Nanoparticles as concrete additives: Review and perspectives. Constr. Build. Mater. 2018, 175, 483–495. [Google Scholar] [CrossRef]
- Hwang, J.H. Impedance Spectroscopy Analysis of Hydration in Ordinary Portland Cements Involving Chemical Mechanical Planarization Slurry. J. Korean Ceram. Soc. 2012, 49, 260–265. [Google Scholar] [CrossRef][Green Version]
- Zhan, P.M.; He, Z.H.; Ma, Z.M.; Zhang, X.; Abreham, A.A.; Shie, J. Utilization of nano-metakaolin in concrete: A review. J. Build. Eng. 2020, 30, 101259. [Google Scholar] [CrossRef]
- Li, Q.C.; Fan, Y.F. Effect of nano-metakaolin on the thixotropy of fresh cement paste. Constr. Build. Mater. 2022, 353, 129062. [Google Scholar] [CrossRef]
- Roussel, N. A thixotropy model for fresh fluid concretes: Theory, validation and applications. Cem. Concr. Res. 2006, 36, 1797–1806. [Google Scholar] [CrossRef]
- Li, Q.C.; Fan, Y.F. Rheological evaluation of nano-metakaolin cement pastes based on the water film thickness. Constr. Build. Mater. 2022, 324, 126517. [Google Scholar] [CrossRef]
- Wang, Q.; Cui, X.Y.; Wang, J.; Lv, C.; Dong, Y. Effect of fly ash on rheological properties of graphene oxide cement paste. Constr. Build. Mater. 2017, 138, 35–44. [Google Scholar] [CrossRef]
- El-Hadj, K.; Said, K.; Karim, E.; Siddique, R.; De Schuttere, G. Influence of metakaolin and silica fume on the heat of hydration and compressive strength development of mortar. Appl. Clay. Sci. 2011, 53, 704–708. [Google Scholar]
- Kawashima, S.; Wang, K.J.; Ferron, R.D.; Kim, J.H.; Tregger, N.; Shah, S. A review of the effect of nanoclays on the fresh and hardened properties of cement-based materials. Cem. Concr. Res. 2021, 147, 106502. [Google Scholar] [CrossRef]
- Wang, Y.Y.; Zhao, L.H.; Zhao, J. Effects of submicron metakaolin on hydration and compressive strength of portland cement slurry. KSCE J. Civ. Eng. 2021, 25, 2631–2639. [Google Scholar] [CrossRef]









| Chemical Composition (wt%) | SiO2 | Al2O3 | Fe2O3 | CaO | MgO | SO3 | K2O | Na2O | LOI | 
|---|---|---|---|---|---|---|---|---|---|
| Cement | 21.91 | 6.27 | 3.78 | 59.30 | 1.64 | 2.41 | - | - | 4.69 | 
| NMK | 49.40 | 43.88 | 0.51 | 0.27 | 2.66 | 0.14 | 0.23 | 1.52 | 0.59 | 
| Publisher’s Note: MDPI stays neutral with regard to jurisdictional claims in published maps and institutional affiliations. | 
© 2022 by the authors. Licensee MDPI, Basel, Switzerland. This article is an open access article distributed under the terms and conditions of the Creative Commons Attribution (CC BY) license (https://creativecommons.org/licenses/by/4.0/).
Share and Cite
Li, Q.; Fan, Y.; Zhao, Y.; Liang, Z. Early-Age Properties Evaluation of Nano-Metakaolin Cement Paste Based on Electrochemical Impedance Spectroscopy. Buildings 2022, 12, 1763. https://doi.org/10.3390/buildings12101763
Li Q, Fan Y, Zhao Y, Liang Z. Early-Age Properties Evaluation of Nano-Metakaolin Cement Paste Based on Electrochemical Impedance Spectroscopy. Buildings. 2022; 12(10):1763. https://doi.org/10.3390/buildings12101763
Chicago/Turabian StyleLi, Qiuchao, Yingfang Fan, Yulong Zhao, and Zilong Liang. 2022. "Early-Age Properties Evaluation of Nano-Metakaolin Cement Paste Based on Electrochemical Impedance Spectroscopy" Buildings 12, no. 10: 1763. https://doi.org/10.3390/buildings12101763
APA StyleLi, Q., Fan, Y., Zhao, Y., & Liang, Z. (2022). Early-Age Properties Evaluation of Nano-Metakaolin Cement Paste Based on Electrochemical Impedance Spectroscopy. Buildings, 12(10), 1763. https://doi.org/10.3390/buildings12101763
 
        

 
       