An Intelligent Detection Logic for Fan-Blade Damage to Wind Turbines Based on Mounted-Accelerometer Data
Abstract
1. Introduction
1.1. Research Background
1.2. This Study: An Overview
2. Condition Monitoring System (CMS) and Methods
2.1. Wind Turbines
2.2. CMS Hardware
2.3. Fault-Diagnosis Functions for Wind Turbines
- Vibrations generated by the generator caused by an uneven magnetic force acting on the rotor or the stator.
- Vibrations generated by the generator or vibrations caused by an abnormal rotor or rotor coils.
- Bent shaft of the driveshaft.
- Using the datasets recorded from an interface is sufficient. According to the above review summary, vibration and noise are the two interfaces that can be used to understand a wind turbine’s physical deterioration. However, it has been proven that most of the noises generated by a turbine are caused by vibrations.
- The criteria referenced above do not support judging the faulty conditions of the blades as addressed by this study. The experimental results from our extensive laboratory tests performed prior to this study showed that the criteria f above or judging the faulty conditions of power generators were ineffective for those of blades (i.e., they usually resulted in more incorrect judgments than correct ones) on the remote side. We referred to the usual criteria for power generators, and thus they might not be suitable for other components of turbines (even though a turbine always includes at least one generator) (see Section 2.4).
2.4. Developing Wind Turbines: A Briefing
3. Results
3.1. Source Datasets and Visualisation
3.2. Using the Local Regression Method (LRM) and the Smooth-Line Approach
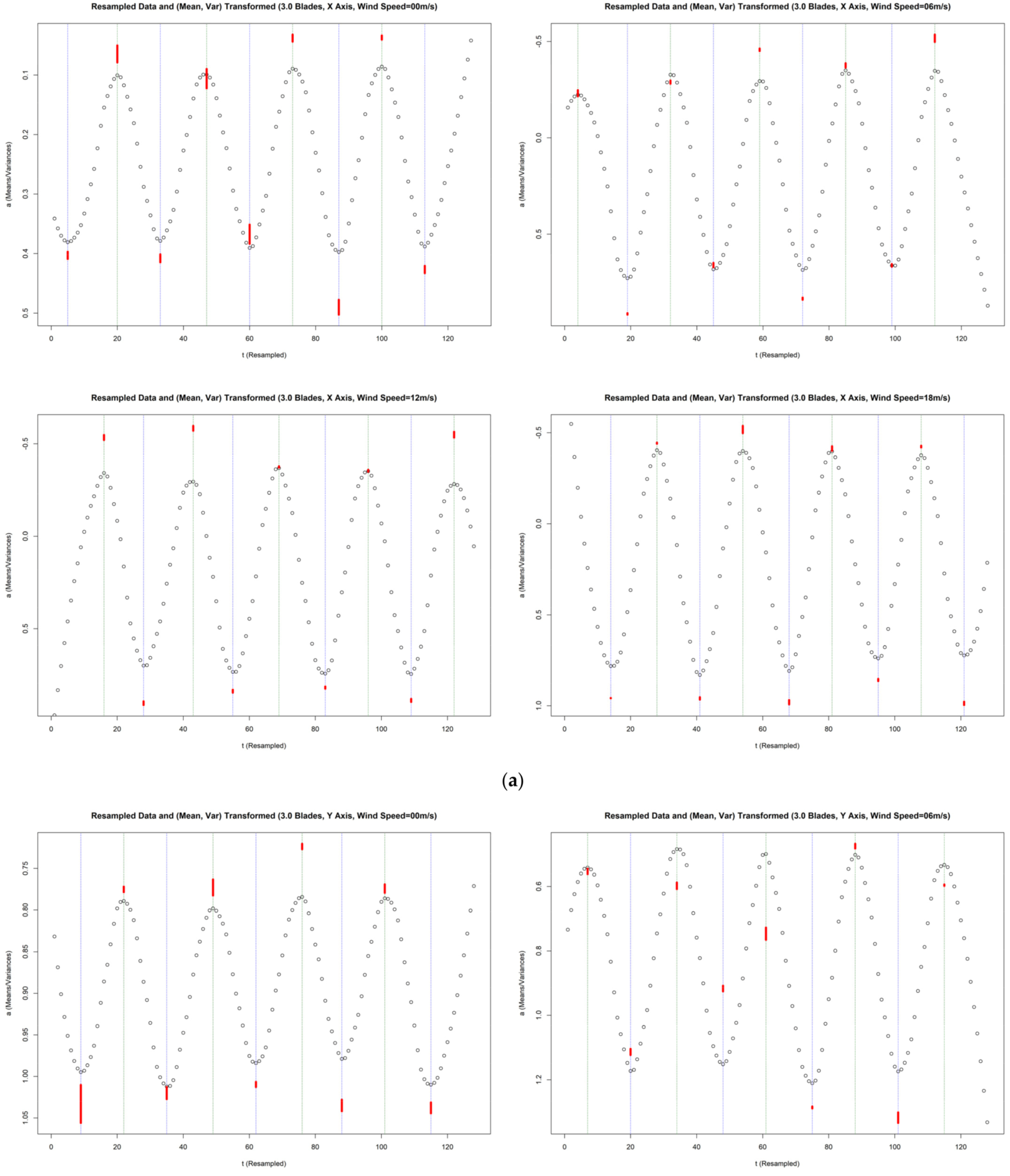
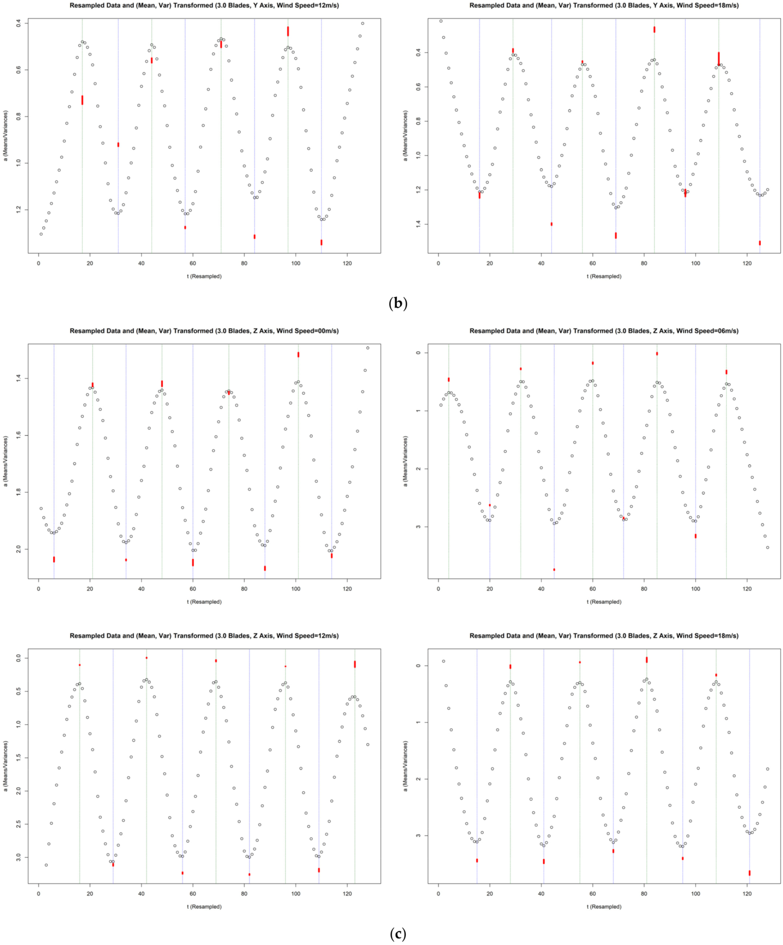
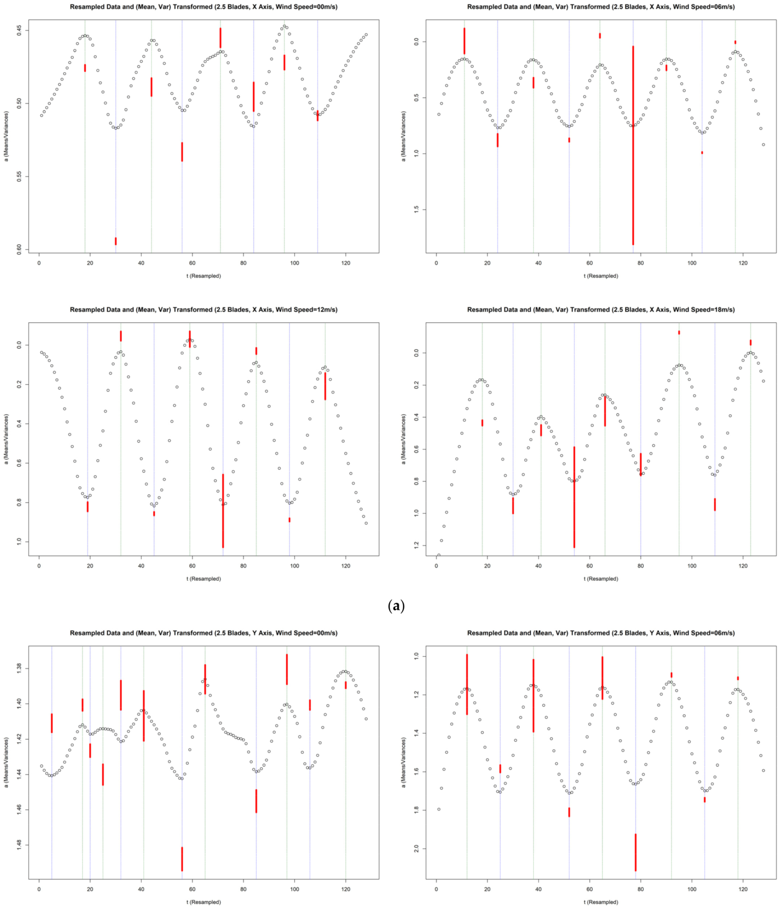
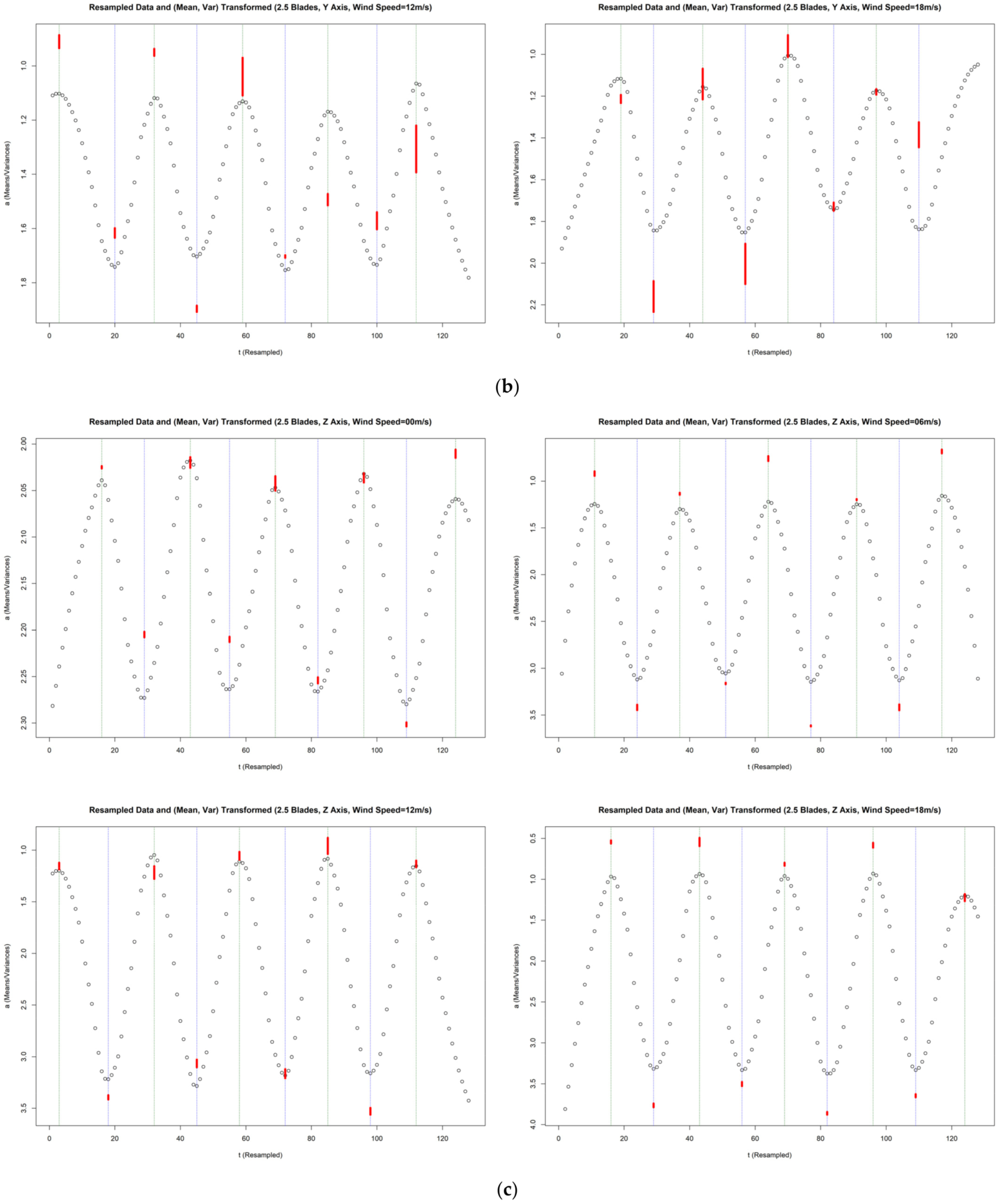
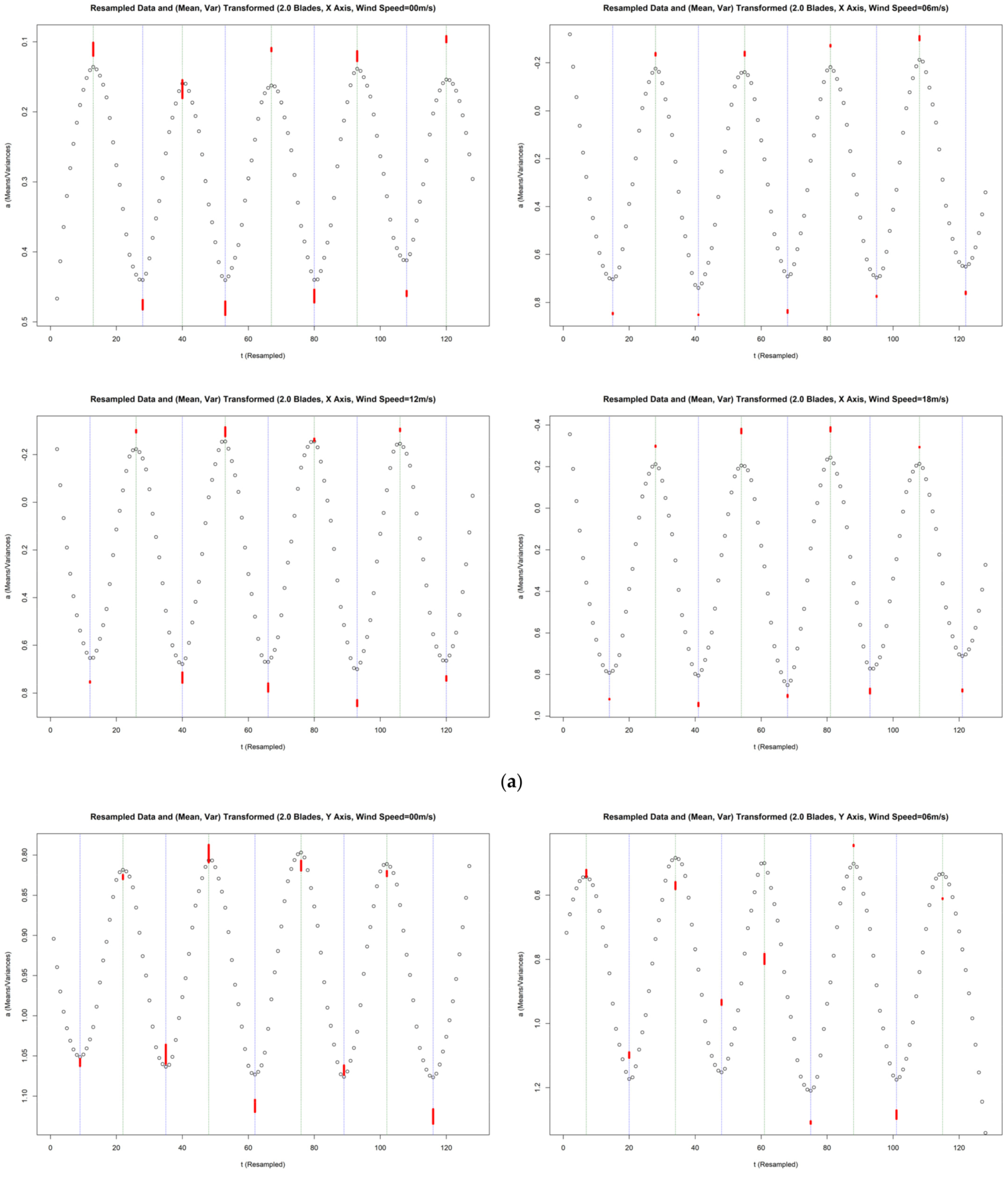
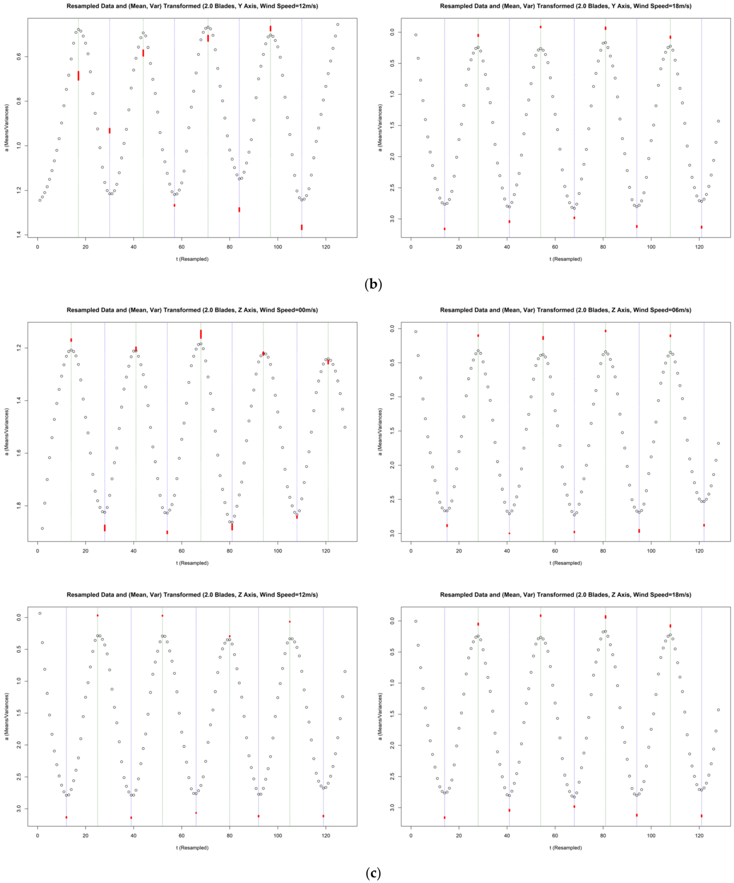
3.3. Further Transformation: Resampling and Resmoothing
4. Establishment of Rules and Discussion
4.1. First Rule to Judge the 2.5-Blade Case
4.2. Second Rule to Judge the 2.0-Blade Case
4.3. Discussion
4.4. Extensive Materials
5. Conclusions
Author Contributions
Funding
Data Availability Statement
Conflicts of Interest
Appendix A
Appendix B
Appendix C










Appendix D









Appendix E






References
- Hsu, M.H.; Hsia, S.Y.; Chou, Y.T.; Chu, H.M.; Cheng, J.W. Fault Diagnosis of Offshore Wind Power Generation Systems; Project Proposal; Ministry of Science and Technology: Taiwan, China, 2014.
- Tan, J.B.; Hsu, M.H. Diagnosis of Faults in Wind Power Generation Systems. In Proceedings of the IEEE Conference on Industrial Electronics and Applications (ICIEA), Hefei, China, 5–7 June 2016; pp. 1459–1462. [Google Scholar]
- Tan, J.B.; Chao, C.C.; Lin, M.C.H.; Hsu, M.H. Wind Turbine Monitoring Warning Device. In Proceedings of the IEEE Conference on Industrial Electronics and Applications, Siem Reap, Cambodia, 18–20 June 2017; pp. 510–515. [Google Scholar]
- Benbouzid, M.; Berghout, T.; Sarma, N.; Djurović, S.; Wu, Y.; Ma, X. Intelligent Condition Monitoring of Wind Power Systems: State of the Art Review. Energies 2021, 14, 5967. [Google Scholar] [CrossRef]
- Natili, F.; Daga, A.P.; Castellani, F.; Garibaldi, L. Multi-Scale Wind Turbine Bearings Supervision Techniques Using Industrial SCADA and Vibration Data. Appl. Sci. 2021, 11, 6785. [Google Scholar] [CrossRef]
- Papi, F.; Cappugi, L.; Salvadori, S.; Carnevale, M.; Bianchini, A. Uncertainty quantification of the effects of blade damage on the actual energy production of modern wind turbines. Energies 2020, 13, 3785. [Google Scholar] [CrossRef]
- Santolamazza, A.; Dadi, D.; Introna, V. A data-mining approach for wind turbine fault detection based on SCADA data analysis using artificial neural networks. Energies 2021, 14, 1845. [Google Scholar] [CrossRef]
- Gonzalez, E.; Nanos, E.M.; Seyr, H.; Valldecabres, L.; Yürüşen, N.Y.; Smolka, U.; Muskulus, M.; Melero, J.J. Key performance indicators for wind farm operation and maintenance. Energy Procedia 2017, 137, 559–570. [Google Scholar] [CrossRef]
- Ackermann, T.; Söder, L. Wind energy technology and current status: A review. Renew. Sustain. Energy Rev. 2000, 4, 315–374. [Google Scholar] [CrossRef]
- Manwell, J.F.; McGowan, J.G.; Rogers, A.L. Wind Energy Explained: Theory, Design and Application; John Wiley & Sons: Hoboken, NJ, USA, 2010. [Google Scholar]
- Crawford, C.A. An Integrated CAD Methodology Applied to Wind Turbine Optimisation. Ph.D. Thesis, Massachusetts Institute of Technology, Cambridge, MA, USA, 2003. [Google Scholar]
- Zhong, L.; Gu, D.; Lai, Y.; Wu, L. Optimal damper design for tuning vibration of the mass damper to the base. Struct. Eng. 2012, 27, 70–90. [Google Scholar]
- Brune, C.S.; Spee, R.; Wallace, A.K. Experimental evaluation of a variable-speed, doubly-fed wind-power generation system. IEEE Trans. Ind. Appl. 1994, 30, 648–655. [Google Scholar] [CrossRef]
- Hilloowala, R.M.; Sharaf, A.M. A rule-based fuzzy logic controller for a PWM inverter in a stand-alone wind energy conversion scheme. IEEE Trans. Ind. Appl. 1996, 32, 57–65. [Google Scholar] [CrossRef]
- Simoes, M.G.; Bose, B.K.; Spiegel, R.J. Design and performance evaluation of a fuzzy-logic-based variable-speed wind generation system. IEEE Trans. Ind. Appl. 1997, 33, 956–965. [Google Scholar] [CrossRef]
- Cory, W.T.W. Overview of condition monitoring methods with emphasis on industrial fans. Proc. Inst. Mech. Eng. Part A: J. Power Energy 1991, 205, 225–240. [Google Scholar] [CrossRef]
- Yan, R.; Gao, R.X. Hilbert–Huang transform-based vibration signal analysis for machine health monitoring. IEEE Trans. Instrum. Meas. 2006, 55, 2320–2329. [Google Scholar] [CrossRef]
- Bruel and Kjær. Machine Health Monitoring Using Vibration Analysis; Bruel and Kjær: Nærum, Denmark, 1988. [Google Scholar]
- Chang, H.C.; Lin, S.C.; Kuo, C.C.; Lin, C.Y.; Hsieh, C.F. Using neural network based on the shaft orbit feature for online rotating machinery fault diagnosis. In Proceedings of the 2016 International Conference on System Science and Engineering (ICSSE), Puli, Taiwan, 7–9 July 2016; IEEE: Piscataway, NJ, USA, 2016; pp. 1–4. [Google Scholar]
- Lin, S.C.; Chang, H.C.; Kuo, C.C.; Hsu, T.C.; Shen, W.C. Assessing Motor Conditions by Using Electrical and Vibrational Detection Methods. In Proceedings of the 2015 Conference on Engineering and Natural Sciences Conference, Tokyo, Japan, 3–5 February 2015; pp. 41–58. [Google Scholar]
- Tandon, N.; Choudhury, A. A review of vibration and acoustic measurement methods for the detection of defects in rolling element bearings. Tribol. Int. 1999, 32, 469–480. [Google Scholar] [CrossRef]
- Kıral, Z.; Karagülle, H. Vibration analysis of rolling element bearings with various defects under the action of an unbalanced force. Mech. Syst. Signal Process. 2006, 20, 1967–1991. [Google Scholar] [CrossRef]
- Guo, P.; Fu, J.; Yang, X. Condition Monitoring and Fault Diagnosis of Wind Turbines Gearbox Bearing Temperature Based on Kolmogorov-Smirnov Test and Convolutional Neural Network Model. Energies 2018, 11, 2248. [Google Scholar] [CrossRef]
- Zhuang, Z.Y.; Hocine, A. Meta goal programming approach for solving multi-criteria de Novo programming problem. Eur. J. Oper. Res. 2018, 265, 228–238. [Google Scholar] [CrossRef]
- Zhuang, Z.-Y.; Hocine, A.; Kouaissah, N.; Kiker, G.A. Optimising sustainable renewable energy portfolios using a multi-tolerance fuzzy goal programming approach. Int. J. Green Energy 2022, 1–16. [Google Scholar] [CrossRef]
- Ligęza, P. Basic, Advanced, and Sophisticated Approaches to the Current and Forecast Challenges of Wind Energy. Energies 2021, 14, 8147. [Google Scholar] [CrossRef]
- Pandit, R.; Infield, D. Gaussian Process Operational Curves for Wind Turbine Condition Monitoring. Energies 2018, 11, 1631. [Google Scholar] [CrossRef]
- Hossain, M.L.; Abu-Siada, A.; Muyeen, S.M. Methods for Advanced Wind Turbine Condition Monitoring and Early Diagnosis: A Literature Review. Energies 2018, 11, 1309. [Google Scholar] [CrossRef]
- Leahy, K.; Gallagher, C.; O’Donovan, P.; O’Sullivan, D.T.J. Issues with Data Quality for Wind Turbine Condition Monitoring and Reliability Analyses. Energies 2019, 12, 201. [Google Scholar] [CrossRef]
- Sanati, H.; Wood, D.; Sun, Q. Condition Monitoring of Wind Turbine Blades Using Active and Passive Thermography. Appl. Sci. 2018, 8, 2004. [Google Scholar] [CrossRef]















| (a) | ||||||||||
|---|---|---|---|---|---|---|---|---|---|---|
| ID | Mean | Var. | Peak | Valley | Peak Top | Peak Bot. | Valley Top | Valley Bot. | Peak Range | Valley Range |
| 4 | −0.23097 | 0.016014 | 0 | 1 | - | - | −0.21496 | −0.24699 | - | 0.032028 |
| 19 | 0.914043 | 0.003893 | 1 | 0 | 0.917935 | 0.91015 | - | - | 0.007785 | - |
| 32 | −0.28885 | 0.008199 | 0 | 1 | - | - | −0.28065 | −0.29705 | - | 0.016398 |
| 45 | 0.66058 | 0.011351 | 1 | 0 | 0.671931 | 0.64923 | - | - | 0.022701 | - |
| 59 | −0.45689 | 0.00657 | 0 | 1 | - | - | −0.45032 | −0.46346 | - | 0.013139 |
| 72 | 0.83469 | 0.005848 | 1 | 0 | 0.840538 | 0.828842 | - | - | 0.011696 | - |
| 85 | −0.37567 | 0.010922 | 0 | 1 | - | - | −0.36475 | −0.3866 | - | 0.021845 |
| 99 | 0.661981 | 0.006781 | 1 | 0 | 0.668762 | 0.6552 | - | - | 0.013562 | - |
| 112 | −0.51664 | 0.018861 | 0 | 1 | - | - | −0.49778 | −0.5355 | - | 0.037722 |
| (b) | ||||||||||
| ID | Mean | Var. | Peak | Valley | Peak Top | Peak Bot. | Valley Top | Valley Bot. | Peak Range | Valley Range |
| 11 | −0.00738 | 0.112158 | 0 | 1 | - | - | 0.104774 | −0.11954 | - | 0.224315 |
| 24 | 0.879034 | 0.05588 | 1 | 0 | 0.934914 | 0.823154 | - | - | 0.11176 | - |
| 38 | 0.365574 | 0.043997 | 0 | 1 | - | - | 0.409572 | 0.321577 | - | 0.087994 |
| 52 | 0.878567 | 0.015044 | 1 | 0 | 0.893612 | 0.863523 | - | - | 0.030089 | - |
| 64 | −0.05406 | 0.017749 | 0 | 1 | - | - | −0.03631 | −0.07181 | - | 0.035497 |
| 77 | 0.927113 | 0.884839 | 1 | 0 | 1.811952 | 0.042274 | - | - | 1.769678 | - |
| 90 | 0.233009 | 0.022373 | 0 | 1 | - | - | 0.255381 | 0.210636 | - | 0.044746 |
| 104 | 0.990595 | 0.006383 | 1 | 0 | 0.996978 | 0.984212 | - | - | 0.012765 | - |
| 117 | 0.004286 | 0.00893 | 0 | 1 | - | - | 0.013216 | −0.00464 | - | 0.017861 |
| (c) | ||||||||||
| ID | Mean | Var. | Peak | Valley | Peak Top | Peak Bot. | Valley Top | Valley Bot. | Peak Range | Valley Range |
| 15 | 0.846359 | 0.002904 | 1 | 0 | 0.849264 | 0.843455 | - | - | 0.005808 | - |
| 28 | −0.23564 | 0.005518 | 0 | 1 | - | - | −0.23012 | −0.24116 | - | 0.011036 |
| 41 | 0.851494 | 0.001186 | 1 | 0 | 0.85268 | 0.850308 | - | - | 0.002373 | - |
| 55 | −0.23797 | 0.008646 | 0 | 1 | - | - | −0.22933 | −0.24662 | - | 0.017291 |
| 68 | 0.837491 | 0.00561 | 1 | 0 | 0.8431 | 0.831881 | - | - | 0.011219 | - |
| 81 | −0.27158 | 0.003622 | 0 | 1 | - | - | −0.26796 | −0.2752 | - | 0.007243 |
| 95 | 0.774475 | 0.002352 | 1 | 0 | 0.776827 | 0.772123 | - | - | 0.004705 | - |
| 108 | −0.30332 | 0.008789 | 0 | 1 | - | - | −0.29453 | −0.31211 | - | 0.017578 |
| 122 | 0.760005 | 0.004668 | 1 | 0 | 0.764673 | 0.755336 | - | - | 0.009337 | - |
| (a) | ||||||||||
|---|---|---|---|---|---|---|---|---|---|---|
| ID | Mean | Var. | Peak | Valley | Peak Top | Peak Bot. | Valley Top | Valley Bot. | Peak Range | Valley Range |
| 7 | 0.553172 | 0.008447 | 0 | 1 | 0 | 0 | 0.561619 | 0.544724 | 0 | 0.016895 |
| 20 | 1.113486 | 0.009612 | 1 | 0 | 1.123098 | 1.103874 | 0 | 0 | 0.019224 | 0 |
| 34 | 0.597753 | 0.010292 | 0 | 1 | 0 | 0 | 0.608045 | 0.58746 | 0 | 0.020585 |
| 48 | 0.91686 | 0.008372 | 1 | 0 | 0.925231 | 0.908488 | 0 | 0 | 0.016743 | 0 |
| 61 | 0.746513 | 0.019163 | 0 | 1 | 0 | 0 | 0.765676 | 0.72735 | 0 | 0.038326 |
| 75 | 1.28571 | 0.002974 | 1 | 0 | 1.288683 | 1.282736 | 0 | 0 | 0.005947 | 0 |
| 88 | 0.474803 | 0.007407 | 0 | 1 | 0 | 0 | 0.48221 | 0.467396 | 0 | 0.014814 |
| 101 | 1.31762 | 0.01647 | 1 | 0 | 1.33409 | 1.30115 | 0 | 0 | 0.032939 | 0 |
| 115 | 0.595876 | 0.002217 | 0 | 1 | 0 | 0 | 0.598092 | 0.593659 | 0 | 0.004433 |
| (b) | ||||||||||
| ID | Mean | Var. | Peak | Valley | Peak Top | Peak Bot. | Valley Top | Valley Bot. | Peak Range | Valley Range |
| 12 | 1.145866 | 0.154981 | 0 | 1 | 0 | 0 | 1.300847 | 0.990884 | 0 | 0.309963 |
| 25 | 1.584168 | 0.018942 | 1 | 0 | 1.60311 | 1.565226 | 0 | 0 | 0.037884 | 0 |
| 38 | 1.204525 | 0.18757 | 0 | 1 | 0 | 0 | 1.392095 | 1.016955 | 0 | 0.37514 |
| 52 | 1.810359 | 0.021382 | 1 | 0 | 1.831741 | 1.788976 | 0 | 0 | 0.042765 | 0 |
| 65 | 1.112547 | 0.109336 | 0 | 1 | 0 | 0 | 1.221883 | 1.003211 | 0 | 0.218672 |
| 78 | 2.019655 | 0.094675 | 1 | 0 | 2.11433 | 1.92498 | 0 | 0 | 0.18935 | 0 |
| 92 | 1.097061 | 0.010047 | 0 | 1 | 0 | 0 | 1.107108 | 1.087014 | 0 | 0.020093 |
| 105 | 1.745129 | 0.010731 | 1 | 0 | 1.75586 | 1.734399 | 0 | 0 | 0.021461 | 0 |
| 118 | 1.113955 | 0.005631 | 0 | 1 | 0 | 0 | 1.119586 | 1.108324 | 0 | 0.011263 |
| (c) | ||||||||||
| ID | Mean | Var. | Peak | Valley | Peak Top | Peak Bot. | Valley Top | Valley Bot. | Peak Range | Valley Range |
| 7 | 0.532054 | 0.010882 | 0 | 1 | 0 | 0 | 0.542937 | 0.521172 | 0 | 0.021765 |
| 20 | 1.098469 | 0.00871 | 1 | 0 | 1.107179 | 1.089759 | 0 | 0 | 0.01742 | 0 |
| 34 | 0.570066 | 0.011347 | 0 | 1 | 0 | 0 | 0.581412 | 0.558719 | 0 | 0.022693 |
| 48 | 0.934223 | 0.007859 | 1 | 0 | 0.942082 | 0.926363 | 0 | 0 | 0.015719 | 0 |
| 61 | 0.798602 | 0.016174 | 0 | 1 | 0 | 0 | 0.814776 | 0.782429 | 0 | 0.032347 |
| 75 | 1.308704 | 0.004071 | 1 | 0 | 1.312775 | 1.304633 | 0 | 0 | 0.008142 | 0 |
| 88 | 0.445239 | 0.002191 | 0 | 1 | 0 | 0 | 0.447429 | 0.443048 | 0 | 0.004381 |
| 101 | 1.283832 | 0.013534 | 1 | 0 | 1.297366 | 1.270298 | 0 | 0 | 0.027068 | 0 |
| 115 | 0.610893 | 0.001298 | 0 | 1 | 0 | 0 | 0.612191 | 0.609594 | 0 | 0.002597 |
| Turbine Case | Accel. Axis | WindSpeed | #Peaks/Valleys | Avg. All Peaks | Avg. Peaks’ Variances | Avg. All Valleys | Avg. Valley Variances |
|---|---|---|---|---|---|---|---|
| 3.0 | X | 00 | 9 | 0.419068 | 0.019037 | 0.010037 | 0.020074 |
| 3.0 | X | 06 | 9 | 0.767823 | 0.013936 | 0.012113 | 0.024227 |
| 3.0 | X | 12 | 9 | 0.862113 | 0.016336 | 0.010408 | 0.020817 |
| 3.0 | X | 18 | 9 | 0.948771 | 0.014 | 0.010141 | 0.020282 |
| 3.0 | Y | 00 | 9 | 1.027233 | 0.018741 | 0.005394 | 0.010787 |
| 3.0 | Y | 06 | 9 | 1.158419 | 0.018713 | 0.009505 | 0.01901 |
| 3.0 | Y | 12 | 8 | 1.212972 | 0.013009 | 0.014553 | 0.029105 |
| 3.0 | Y | 18 | 9 | 1.364735 | 0.025744 | 0.015587 | 0.031175 |
| 3.0 | Z | 00 | 9 | 2.041538 | 0.013117 | 0.006551 | 0.013102 |
| 3.0 | Z | 06 | 9 | 3.094599 | 0.026482 | 0.018394 | 0.036788 |
| 3.0 | Z | 12 | 9 | 3.197712 | 0.029044 | 0.012246 | 0.024493 |
| 3.0 | Z | 18 | 9 | 3.446215 | 0.050402 | 0.021442 | 0.042884 |
| 2.5 | X | 00 | 8 | 0.532799 | 0.010725 | 0.004935 | 0.00987 |
| 2.5 | X | 06 | 9 | 0.918827 | 0.481073 | 0.041041 | 0.082083 |
| 2.5 | X | 12 | 8 | 0.852311 | 0.113416 | 0.036543 | 0.073086 |
| 2.5 | X | 18 | 9 | 0.873083 | 0.231489 | 0.032187 | 0.064373 |
| 2.5 | Y | 00 | 12 | 1.429386 | 0.010936 | 0.006929 | 0.013859 |
| 2.5 | Y | 06 | 9 | 1.789828 | 0.072865 | 0.093513 | 0.187026 |
| 2.5 | Y | 12 | 9 | 1.696677 | 0.032836 | 0.043012 | 0.086024 |
| 2.5 | Y | 18 | 8 | 1.819861 | 0.125277 | 0.040118 | 0.080236 |
| 2.5 | Z | 00 | 9 | 2.242601 | 0.005715 | 0.004855 | 0.00971 |
| 2.5 | Z | 06 | 9 | 3.405228 | 0.036168 | 0.017841 | 0.035681 |
| 2.5 | Z | 12 | 9 | 3.288273 | 0.068447 | 0.048333 | 0.096666 |
| 2.5 | Z | 18 | 9 | 3.69345 | 0.042324 | 0.032733 | 0.065466 |
| 2.0 | X | 00 | 9 | 0.46955 | 0.014728 | 0.007318 | 0.014636 |
| 2.0 | X | 06 | 9 | 0.813965 | 0.006688 | 0.006644 | 0.013287 |
| 2.0 | X | 12 | 9 | 0.769434 | 0.025687 | 0.00883 | 0.017661 |
| 2.0 | X | 18 | 9 | 0.904054 | 0.012814 | 0.00654 | 0.01308 |
| 2.0 | Y | 00 | 9 | 1.082138 | 0.015552 | 0.005682 | 0.011363 |
| 2.0 | Y | 06 | 9 | 1.156307 | 0.017087 | 0.008378 | 0.016757 |
| 2.0 | Y | 12 | 8 | 1.213207 | 0.014997 | 0.013445 | 0.026891 |
| 2.0 | Y | 18 | 9 | 3.088382 | 0.023286 | 0.013972 | 0.027944 |
| 2.0 | Z | 00 | 9 | 1.876956 | 0.013995 | 0.007343 | 0.014686 |
| 2.0 | Z | 06 | 9 | 2.940388 | 0.020016 | 0.011664 | 0.023329 |
| 2.0 | Z | 12 | 9 | 3.114471 | 0.014417 | 0.003698 | 0.007396 |
| 2.0 | Z | 18 | 9 | 3.088382 | 0.023286 | 0.013972 | 0.027944 |
Publisher’s Note: MDPI stays neutral with regard to jurisdictional claims in published maps and institutional affiliations. |
© 2022 by the authors. Licensee MDPI, Basel, Switzerland. This article is an open access article distributed under the terms and conditions of the Creative Commons Attribution (CC BY) license (https://creativecommons.org/licenses/by/4.0/).
Share and Cite
Hsu, M.-H.; Zhuang, Z.-Y. An Intelligent Detection Logic for Fan-Blade Damage to Wind Turbines Based on Mounted-Accelerometer Data. Buildings 2022, 12, 1588. https://doi.org/10.3390/buildings12101588
Hsu M-H, Zhuang Z-Y. An Intelligent Detection Logic for Fan-Blade Damage to Wind Turbines Based on Mounted-Accelerometer Data. Buildings. 2022; 12(10):1588. https://doi.org/10.3390/buildings12101588
Chicago/Turabian StyleHsu, Ming-Hung, and Zheng-Yun Zhuang. 2022. "An Intelligent Detection Logic for Fan-Blade Damage to Wind Turbines Based on Mounted-Accelerometer Data" Buildings 12, no. 10: 1588. https://doi.org/10.3390/buildings12101588
APA StyleHsu, M.-H., & Zhuang, Z.-Y. (2022). An Intelligent Detection Logic for Fan-Blade Damage to Wind Turbines Based on Mounted-Accelerometer Data. Buildings, 12(10), 1588. https://doi.org/10.3390/buildings12101588
